Characterizing Land Use Impacts on Channel Geomorphology and Streambed Sedimentological Characteristics
Abstract
1. Introduction
2. Methods
2.1. Study Site
2.2. PHA Data Collection and Analysis
2.2.1. Observed Channel Geomorphology
2.2.2. Observed Streambed Substrate Frequency and Embeddedness
3. Results
3.1. Observed Geomorphology
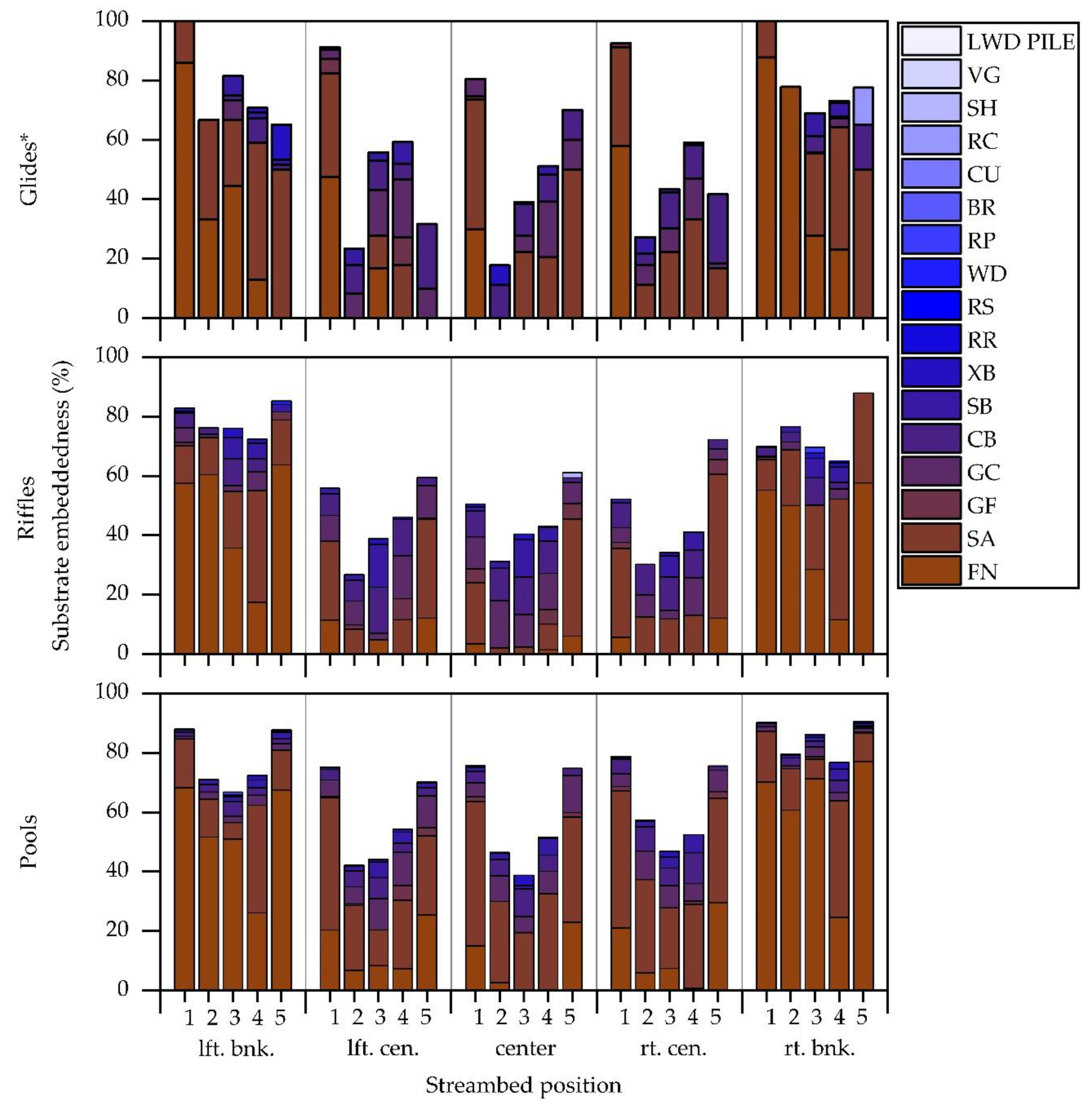
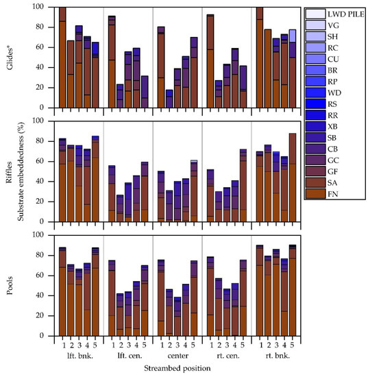
3.2. Observed Streambed Substrate Frequency and Embeddedness
4. Discussion
4.1. Observed Geomorphology
4.2. Observed Streambed Substrate Frequency and Embeddedness
4.3. Management Implications and Future Research
5. Conclusions
Author Contributions
Funding
Conflicts of Interest
References
- Van Looy, K.; Tonkin, J.D.; Floury, M.; Leigh, C.; Soininen, J.; Larsen, S.; Datry, T. The three Rs of river ecosystem resilience: Resources, recruitment, and refugia. River Res. Appl. 2019, 35, 107–120. [Google Scholar] [CrossRef]
- Keppel, G.; Van Niel, K.P.; Wardell-Johnson, G.W.; Yates, C.J.; Byrne, M.; Mucina, L.; Franklin, S.E. Refugia: Identifying and understanding safe havens for biodiversity under climate change. Glob. Ecol. Biogeogr. 2012, 21, 393–404. [Google Scholar] [CrossRef]
- Scherrer, D.; Körner, C. Topographically controlled thermal-habitat differentiation buffers alpine plant diversity against climate warming. J. Biogeogr. 2011, 38, 406–416. [Google Scholar] [CrossRef]
- Maddock, I. The importance of physical habitat assessment for evaluating river health. Freshw. Biol. 1999, 41, 373–391. [Google Scholar] [CrossRef]
- Poff, N.L.; Ward, J.V. Physical habitat template of lotic systems: Recovery in the context of historical pattern of spatiotemporal heterogeneity. Environ. Manag. 1990, 14, 629. [Google Scholar] [CrossRef]
- Klos, P.Z.; Rosenberry, D.O.; Nelson, G.R. Influence of hyporheic exchange, substrate distribution, and other physically linked hydrogeomorphic characteristics on abundance of freshwater mussels. Ecohydrology 2015, 8, 1284–1291. [Google Scholar] [CrossRef]
- Duan, X.; Wang, Z.; Zang, K. Effect of streambed sediment on benthic ecology. Int. J. Sediment Res. 2009, 24, 325–338. [Google Scholar] [CrossRef]
- Duan, X.; Wang, Z.; Tian, S. Effect of streambed substrate on macroinvertebrate biodiversity. Front. Environ. Sci. Eng. China 2008, 2, 122–128. [Google Scholar] [CrossRef]
- Erman, D.C.; Erman, N.A. The response of stream macroinvertebrates to substrate size and heterogeneity. Hydrobiologia 1984, 108, 75–82. [Google Scholar] [CrossRef]
- Nichols, J.; Hubbart, J.A.; Poulton, B.C. Using macroinvertebrate assemblages and multiple stressors to infer urban stream system condition: A case study in the central US. Urban Ecosyst. 2016, 19, 679–704. [Google Scholar] [CrossRef]
- Blann, K.L.; Anderson, J.L.; Sands, G.R.; Vondracek, B. Effects of Agricultural Drainage on Aquatic Ecosystems: A Review. Crit. Rev. Environ. Sci. Technol. 2009, 39, 909–1001. [Google Scholar] [CrossRef]
- Neitsch, S.L.; Arnold, J.G.; Kiniry, J.R.; Williams, J.R. Soil and Water Assessment Tool Theoretical Documentation Version 2009; Texas Water Resources Institute: College Station, TX, USA, 2011; Available online: https://swat.tamu.edu/documentation/ (accessed on 26 August 2018).
- Gellis, A.C.; Myers, M.K.; Noe, G.B.; Hupp, C.R.; Schenk, E.R.; Myers, L. Storms, channel changes, and a sediment budget for an urban-suburban stream, Difficult Run, Virginia, USA. Geomorphology 2017, 278, 128–148. [Google Scholar] [CrossRef]
- Zeiger, S.J.; Hubbart, J.A. Quantifying suspended sediment flux in a mixed land use urbanizing watershed using a nested-scale study design. Sci. Total Environ. 2015, 242, 315–323. [Google Scholar] [CrossRef] [PubMed]
- Willett, C.D.; Lerch, R.N.; Schultz, R.C.; Berges, S.A.; Peacher, R.D.; Isenhart, T.M. Streambank erosion in two watersheds of the Central Claypan Region of Missouri, United States. J. Soil Water Conserv. 2012, 67, 249–263. [Google Scholar] [CrossRef]
- Huang, D. Quantifying Stream Bank Erosion Deposition Rates in a Central, U.S. Urban Watershed. Master’s Thesis, University of Missouri, Columbia, MO, USA, 2012. [Google Scholar]
- Waite, I.R.; Van Metre, P.C. Multistressor predictive models of invertebrate condition in the Corn Belt, USA. Freshw. Sci. 2017, 36, 901–914. [Google Scholar] [CrossRef]
- Meador, M.R.; Frey, J.W. Relative Importance of Water-Quality Stressors in Predicting Fish Community Responses in Midwestern Streams. JAWRA J. Am. Water Resour. Assoc. 2018, 54, 708–723. [Google Scholar] [CrossRef]
- Munn, M.D.; Waite, I.; Konrad, C.P. Assessing the influence of multiple stressors on stream diatom metrics in the upper Midwest, USA. Ecol. Indic. 2018, 85, 1239–1248. [Google Scholar] [CrossRef]
- Poff, N.L.; Allan, J.D.; Bain, M.B.; Karr, J.R.; Prestegaard, K.L.; Richter, B.D.; Stromberg, J.C. The natural flow regime. BioScience 1997, 47, 769–784. [Google Scholar] [CrossRef]
- Berkman, H.E.; Rabeni, C.F. Effect of siltation on stream fish communities. Environ. Biol. Fishes 1987, 18, 285–294. [Google Scholar] [CrossRef]
- Tufekcioglu, M.; Isenhart, T.M.; Schultz, R.C.; Bear, D.A.; Kovar, J.L.; Russell, J.R. Stream bank erosion as a source of sediment and phosphorus in grazed pastures of the Rathbun Lake Watershed in southern Iowa, United States. J. Soil Water Conserv. 2012, 67, 545–555. [Google Scholar] [CrossRef]
- Dosskey, M.G.; Vidon, P.; Gurwick, N.P.; Allan, C.J.; Duval, T.P.; Lowrance, R. The role of riparian vegetation in protecting and improving chemical water quality in streams1. JAWRA J. Am. Water Resour. Assoc. 2010, 46, 261–277. [Google Scholar] [CrossRef]
- Walsh, C.J.; Roy, A.H.; Feminella, J.W.; Cottingham, P.D.; Groffman, P.M.; Morgan, I.I.R.P. The urban stream syndrome: Current knowledge and the search for a cure. J. N. Am. Benthol. Soc. 2005, 24, 706–723. [Google Scholar] [CrossRef]
- Meyer, J.L.; Paul, M.J.; Taulbee, W.K. Stream ecosystem function in urbanizing landscapes. J. N. Am. Benthol. Soc. 2005, 24, 602–612. [Google Scholar] [CrossRef]
- Poff, N.L.; Richter, B.D.; Arthington, A.H.; Bunn, S.E.; Naiman, R.J.; Kendy, E.; Henriksen, J. The ecological limits of hydrologic alteration (ELOHA): A new framework for developing regional environmental flow standards. Freshw. Biol. 2010, 55, 147–170. [Google Scholar] [CrossRef]
- United States Census Bureau (USCB). U.S. Census Bureau: State and County Quick Facts. 2018. Available online: http://quickfacts.census.gov/qfd/states/29000.html (accessed on 13 May 2019).
- Hubbart, J.A.; Zell, C. Considering streamflow trend analyses uncertainty in urbanizing watersheds: A base flow case study in the central United States. Earth Interact. 2013, 17, 1–28. [Google Scholar] [CrossRef]
- Lerch, R.N.; Kitchen, N.R.; Baffaut, C.; Vories, E.D. Long-term agroecosystem research in the Central Mississippi River Basin: Goodwater Creek Experimental Watershed and regional nutrient water quality data. J. Environ. Qual. 2015, 44, 37–43. [Google Scholar] [CrossRef] [PubMed]
- Miller, D.; Vandike, J. Groundwater Resources of Missouri; Missouri Department of Natural Resources Division of Geology and Land Survey Water Resources: Jefferson City, MO, USA, 1997; Volume 46, p. 136. [Google Scholar]
- Hubbart, J.A.; Holmes, J.; Bowman, G. Integrating science based decision making and TMDL allocations in urbanizing watersheds. Watershed Sci. Bull. 2010, 1, 19–24. [Google Scholar]
- Hubbart, J.A.; Kellner, E.; Hooper, L.; Lupo, A.R.; Market, P.S.; Guinan, P.E.; Stephan, K.; Fox, N.I.; Svoma, B.M. Localized Climate and Surface Energy Flux Alterations across an Urban Gradient in the Central U.S. Energies 2014, 7, 1770–1791. [Google Scholar] [CrossRef]
- Zeiger, S.J.; Hubbart, J.A. Rainfall-Stream Flow Responses in a Mixed land use Municipal Watershed of the Central, U.S.A. Environ. Earth Sci. 2018, 77, 438. [Google Scholar] [CrossRef]
- Zeiger, S.J.; Hubbart, J.A. Quantifying land use influences on event-based flow frequency, timing, magnitude, and rate of change in an urbanizing watershed of the central USA. Environ. Earth Sci. 2018, 77, 107. [Google Scholar] [CrossRef]
- Wei, L.; Hubbart, J.A.; Zhou, H. Variable streamflow contributions in nested subwatersheds of a US midwestern urban watershed. Water Resour. Manag. 2018, 32, 213–228. [Google Scholar] [CrossRef]
- Zeiger, S.J.; Hubbart, J.A. Assessing environmental flow targets using pre-settlement land cover: A SWAT modeling application. Water 2018, 10, 791. [Google Scholar] [CrossRef]
- Zeiger, S.J.; Hubbart, J.A. Quantifying urban stormwater temperature surges: A central US watershed study. Hydrology 2015, 2, 193–209. [Google Scholar] [CrossRef]
- Zeiger, S.J.; Hubbart, J.A.; Anderson, S.H.; Stambaugh, M.C. Quantifying and modelling urban stream temperature: A central US watershed study. Hydrol. Process. 2015, 30, 503–514. [Google Scholar] [CrossRef]
- Kellner, E.; Hubbart, J.A. Improving understanding of mixed land use watershed suspended sediment regimes: Mechanistic progress through high-frequency sampling. Sci. Total Environ. 2017, 598, 228–238. [Google Scholar] [CrossRef] [PubMed]
- Kellner, E.; Hubbart, J.A. Quantifying Urban Land-Use Impacts on Suspended Sediment Particle Size Class Distribution: A Method and Case Study. Stormwater J. 2014, 15, 40–50. [Google Scholar]
- Zeiger, S.J.; Hubbart, J.A. Nested-Scale Nutrient Yields from a Mixed land use Urbanizing Watershed. Hydrol. Process. 2016, 30, 1475–1490. [Google Scholar] [CrossRef]
- Hubbart, J.A.; Kellner, E.; Hooper, L.W.; Zeiger, S.J. Quantifying loading, toxic concentrations, and systemic persistence of chloride in a contemporary mixed land use watershed using an experimental watershed approach. Sci. Total Environ. 2017, 581, 822–832. [Google Scholar] [CrossRef]
- Hubbart, J.A.; Kellner, E.; Kinder, P.; Stephan, K. Challenges in aquatic physical habitat assessment: Improving conservation and restoration decisions for contemporary watersheds. Challenges 2017, 8, 31. [Google Scholar] [CrossRef]
- Hooper, L.; Hubbart, J.A. A rapid physical habitat assessment of wadeable streams for mixed land use watersheds. Hydrology 2016, 3, 37. [Google Scholar] [CrossRef]
- Hooper, L. A Stream Physical Habitat Assessment of an Urbanizing Stream of the Central U.S.A. Master’s Thesis, University of Missouri, Columbia, SC, USA, 2015. [Google Scholar]
- Harrelson, C.C.; Rawlins, C.L.; Potyondy, J.P. Stream Channel Reference Sites: An Illustrated Guide to Field Technique; Gen. Tech. Rep. RM-245; US Department of Agriculture, Forest Service, Rocky Mountain Forest and Range Experiment Station: Fort Collins, CO, USA, 1994. [Google Scholar]
- Yanites, B.J.; Tucker, G.E. Controls and limits on bedrock channel geometry. J. Geophys. Res. 2010, 115, F04019. [Google Scholar] [CrossRef]
- Monk, W.A.; Wood, P.J.; Hannah, D.M.; Wilson, D.A. Macroinvertebrate community response to inter-annual and regional river flow regime dynamics. River Res. Appl. 2008, 24, 988–1001. [Google Scholar] [CrossRef]
- Stoline, M.R. The status of multiple comparisons: Simultaneous estimation of all pairwise comparisons in one-way ANOVA designs. Am. Stat. 1981, 35, 134–141. [Google Scholar]
- Peck, D.V.; Herlihy, A.T.; Hill, B.H.; Hughes, R.M.; Kaufmann, P.R.; Klemm, D.J.; Lazorchak, J.M.; Cappaert, M. Environmental Monitoring and Assessment Program-Surface Waters Western Pilot Study: Field Operations Manual for Wadeable Streams; EPA/620/R-06/003; U.S. Environmental Protection Agency, Office of Research and Development: Washington, DC, USA, 2006; pp. 128–130.
- Wolman, M.G. A method of sampling coarse river-bed material. Trans. Am. Geophys. Union 1954, 35, 951–956. [Google Scholar] [CrossRef]
- Montgomery, D.R.; Buffington, J.M.; Peterson, N.P.; Schuett-Hames, D.; Quinn, T.P. Stream-bed scour, egg burial depths, and the influence of salmonid spawning on bed surface mobility and embryo survival. Can. J. Fish. Aquat. Sci. 1996, 53, 1061–1070. [Google Scholar] [CrossRef]
- Diana, M.; Allan, J.D.; Infante, D. The influence of physical habitat and land use on stream fish assemblages in southeastern Michigan. Am. Fish. Soc. Symp. 2006, 48, 359–374. [Google Scholar]
- Zaimes, G.N.; Schultz, R.C.; Isenhart, T.M. Stream bank erosion adjacent to riparian forest buffers, row-crop fields, and continuously-grazed pastures along Bear Creek in central Iowa. J. Soil Water Conserv. 2004, 59, 19–27. [Google Scholar]
- Urban, M.L.; Rhoads, B.L. Catastrophic Human-Induced Change in Stream-Channel Planform and Geometry in an Agricultural Watershed, Illinois, USA. Ann. Assoc. Am. Geogr. 2003, 93, 783–796. [Google Scholar] [CrossRef]
- Simon, A.; Curini, A.; Darby, S.E.; Langendoen, E.J. Bank and near-bank processes in an incised channel. Geomorphology 2000, 35, 193–217. [Google Scholar] [CrossRef]
- Gellis, A.C.; Fuller, C.C.; Van Metre, P.C. Sources and ages of fine-grained sediment to streams using fallout radionuclides in the Midwestern United States. J. Environ. Manag. 2017, 194, 73–85. [Google Scholar] [CrossRef]
- Vietz, G.J.; Walsh, C.J.; Fletcher, T.D. Urban hydrogeomorphology and the urban stream syndrome: Treating the symptoms and causes of geomorphic change. Prog. Phys. Geogr. 2016, 40, 480–492. [Google Scholar] [CrossRef]
- Shields, F.D.; Lizotte, R.E.; Knight, S.S.; Cooper, C.M.; Wilcox, D. The stream channel incision syndrome and water quality. Ecol. Eng. 2010, 36, 78–90. [Google Scholar] [CrossRef]
- Jordan, B.A.; Annable, W.K.; Watson, C.C.; Sen, D. Contrasting stream stability characteristics in adjacent urban watersheds: Santa Clara Valley, California. River Res. Appl. 2010, 26, 1281–1297. [Google Scholar] [CrossRef]
- Fletcher, T.D.; Vietz, G.; Walsh, C.J. Protection of stream ecosystems from urban stormwater runoff: The multiple benefits of an ecohydrological approach. Prog. Phys. Geogr. 2014, 38, 543–555. [Google Scholar] [CrossRef]
- Trimble, S.W. Fluvial processes, morphology and sediment budgets in the Coon Creek Basin, WI, USA, 1975–1993. Geomorphology 2009, 108, 8–23. [Google Scholar] [CrossRef]
- Walters, D.M.; Leigh, D.S.; Bearden, A.B. Urbanization, sedimentation, and the homogenization of fish assemblages in the Etowah River Basin, USA. In The Interactions between Sediments and Water; Springer: Dordrecht, the Netherlands, 2003; pp. 5–10. [Google Scholar]
- Waters, T.F. Sediment in Streams: Sources, Biological Effects, and Control; American Fisheries Society: Bethesda, MA, USA, 1995. [Google Scholar]
- Paul, M.J.; Meyer, J.L. Streams in the urban landscape. Annu. Rev. Ecol. Syst. 2001, 32, 333–365. [Google Scholar] [CrossRef]







| Variable | Site #1 | Site #2 | Site #3 [km2 (%)] | Site #4 | Site #5 | HCW |
|---|---|---|---|---|---|---|
| Agricultural | 45.0 (57.0) | 56.4 (54.9) | 57.6 (49.5) | 78.5 (44.1) | 79.7 (39.4) | 85.4 (36.7) |
| Forested | 28.4 (35.9) | 37.5 (36.4) | 41.1 (35.4) | 62.8 (34.5) | 68.6 (33.1) | 74.9 (32.2) |
| Urban | 3.7 (4.7) | 6.6 (6.4) | 15 (13.0) | 37.1 (20.4) | 54.9 (26.5) | 67.6 (29.0) |
| Wetland | 1.9 (2.4) | 2.4 (2.3) | 2.5 (2.1) | 3.6 (2.0) | 4.4 (2.0) | 4.9 (2.1) |
| Total area | 79.0 | 102.9 | 116.2 | 182.0 | 207.5 | 232.8 |
| Stream length § | 22.8 | 29.8 | 35.4 | 43.6 | 53.0 | 56.1 |
| Code | Description |
|---|---|
| LWD PILE | Large woody debris |
| VG | Vegetation |
| SH | Shell |
| CU | Culvert |
| BR | Bridge |
| RP | Rip-rap |
| WD | Wood |
| RS | Smooth Bedrock (>4000 mm) |
| RR | Rough Bedrock (>4000 mm) |
| RC | Concrete/asphalt (>4000 mm) |
| XB | Large boulder (1000 to 4000 mm) |
| SB | Small boulder (256 to 1000 mm) |
| CB | Cobble (64 to 256 mm) |
| GC | Coarse gravel (16 to 64 mm) |
| GF | Fine gravel (2 to 16 mm) |
| SA | Sand (0.06 to 2 mm) |
| FN | Silt/clay/muck (<0.06 mm) |
| Variable § | Site #1 | Site #2 | Site #3 | Site #4 | Site #5 |
|---|---|---|---|---|---|
| Channel width (m km−2) † | 0.14 abc | 0.19 ade | 0.15 df | 0.16 bg | 0.12 cefg |
| Bankfull width (m km−2) † | 0.23 a | 0.27 abcd | 0.23 b | 0.23 c | 0.21 d |
| Bank height (m km−2) † | 0.47 abc | 0.39 ad | 0.44 e | 0.38 bf | 0.56 cdef |
| Bankfull depth (m km−2) † | 0.42 abcd | 0.36 ae | 0.37 bf | 0.34 cg | 0.49 defg |
| Min bank angle (°) | 28.0 ab | 22.5 ac | 22.0 bd | 25.4 | 28.0 cd |
| Max bank angle (°) | 47.8 abc | 38.7 a | 40.3 b | 39.9 c | 44.4 |
| Width: depth (--) | 6.3 abc | 10.2 ade | 8.5 bdfg | 10.3 cfh | 6.6 egh |
| Bed slope (%) | 0.14 abcd | 0.22 aef | 0.24 agh | 0.18 aeg | 0.16 dfh |
| Substrate Type | Left Bank | Left Center | Center (%) | Right Center | Right Bank |
|---|---|---|---|---|---|
| Silt/clay/muck (FN) | 57.9 | 17.5 | 11.6 | 17.6 | 62.0 |
| Sand (SA) | 17.3 | 28.8 | 33.9 | 34.3 | 17.5 |
| Fine gravel (GF) | 0.2 | 5.1 | 6.1 | 4.1 | 0.4 |
| Coarse gravel (GC) | 3.5 | 20.1 | 21.3 | 16.8 | 3.3 |
| Cobble (CB) | 5.6 | 13.0 | 13.8 | 15.9 | 4.1 |
| Small boulder (SB) | 3.7 | 4.3 | 4.3 | 4.3 | 3.0 |
| Large boulder (XB) | 1.4 | 0.6 | 1.2 | 0.9 | 1.2 |
| Rough Bedrock (RR) | 4.2 | 5.9 | 3.7 | 2.5 | 1.2 |
| Smooth Bedrock (RS) | 1.5 | 2.0 | 1.4 | 1.1 | 1.1 |
| Wood (WD) | 2.9 | 0.4 | 0.6 | 0.4 | 2.5 |
| Rip-rap (RP) | 0.8 | 0.3 | 0.1 | 0.1 | 1.7 |
| Bridge (BR) | -- | -- | 0.1 | -- | -- |
| Culvert (CU) | -- | -- | -- | -- | -- |
| Concrete/asphalt (RC) | 0.1 | -- | -- | -- | 0.3 |
| Shell (SH) | -- | -- | 0.1 | -- | -- |
| Vegetation (VG) | 0.9 | 2.0 | 1.6 | 2.1 | 1.8 |
| Large woody debris (LWD PILE) | 0.1 | 0.1 | 0.1 | 0.1 | -- |
| Substrate Type | Site #1 | Site #2 | Site #3 (%) | Site #4 | Site #5 |
|---|---|---|---|---|---|
| Silt/clay/muck (FN) | 40 | 26 | 23 | 9 | 42 |
| Sand (SA) | 32 | 18 | 13 | 29 | 25 |
| Fine gravel (GF) | 4 | 1 | 1 | 3 | 4 |
| Coarse gravel (GC) | 9 | 19 | 16 | 18 | 14 |
| Cobble (CB) | 7 | 16 | 21 | 17 | 5 |
| Small boulder (SB) | 2 | 5 | 9 | 10 | 2 |
| Large boulder (XB) | 0 | 1 | 3 | 3 | 1 |
| Rough Bedrock (RR) | 3 | 10 | 9 | 1 | 1 |
| Smooth Bedrock (RS) | 0 | 0 | 2 | 8 | 0 |
| Wood (WD) | 2 | 2 | 0 | 0 | 1 |
| Rip-rap (RP) | 0 | 1 | 1 | 0 | 1 |
| Bridge (BR) | -- | -- | 0 | -- | -- |
| Culvert (CU) | -- | -- | -- | -- | -- |
| Concrete/asphalt (RC) | 0 | -- | -- | -- | 0 |
| Shell (SH) | -- | -- | 0 | -- | -- |
| Vegetation (VG) | 2 | 2 | 1 | 0 | 4 |
| Large woody debris (LWD PILE) | 0 | 0 | 0 | 0 | -- |
| Bank Position | Site (#) | Riffles | Glides (%) * | Pools |
|---|---|---|---|---|
| Left bank | Site #1 | 83 | 100 | 88 |
| Site #2 | 76 | 67 | 71 | |
| Site #3 | 76 | 81 | 67 | |
| Site #4 | 72 | 71 | 72 | |
| Site #5 | 85 | 65 | 88 | |
| Left center | Site #1 | 56 | 91 | 75 |
| Site #2 | 27 | 23 | 42 | |
| Site #3 | 39 | 56 | 44 | |
| Site #4 | 46 | 59 | 54 | |
| Site #5 | 59 | 32 | 70 | |
| Center | Site #1 | 51 | 80 | 76 |
| Site #2 | 31 | 18 | 46 | |
| Site #3 | 40 | 39 | 39 | |
| Site #4 | 43 | 51 | 52 | |
| Site #5 | 61 | 70 | 75 | |
| Right center | Site #1 | 52 | 93 | 79 |
| Site #2 | 30 | 27 | 57 | |
| Site #3 | 34 | 43 | 47 | |
| Site #4 | 41 | 59 | 52 | |
| Site #5 | 72 | 42 | 76 | |
| Right bank | Site #1 | 70 | 100 | 90 |
| Site #2 | 77 | 78 | 80 | |
| Site #3 | 70 | 69 | 86 | |
| Site #4 | 65 | 73 | 77 | |
| Site #5 | 88 | 78 | 90 |
| Site (#) | Pools | Riffles (%) | Glides | Dry |
|---|---|---|---|---|
| Site #1 | 78.6 | 13.1 | 0.0 | 8.3 |
| Site #2 | 72.1 | 23.6 | 4.3 | 0.0 |
| Site #3 | 64.3 | 25.0 | 10.7 | 0.0 |
| Site #4 | 56.1 | 28.0 | 15.9 | 0.0 |
| Site #5 | 85.7 | 12.2 | 2.1 | 0.0 |
© 2019 by the authors. Licensee MDPI, Basel, Switzerland. This article is an open access article distributed under the terms and conditions of the Creative Commons Attribution (CC BY) license (http://creativecommons.org/licenses/by/4.0/).
Share and Cite
Zeiger, S.J.; Hubbart, J.A. Characterizing Land Use Impacts on Channel Geomorphology and Streambed Sedimentological Characteristics. Water 2019, 11, 1088. https://doi.org/10.3390/w11051088
Zeiger SJ, Hubbart JA. Characterizing Land Use Impacts on Channel Geomorphology and Streambed Sedimentological Characteristics. Water. 2019; 11(5):1088. https://doi.org/10.3390/w11051088
Chicago/Turabian StyleZeiger, Sean J., and Jason A. Hubbart. 2019. "Characterizing Land Use Impacts on Channel Geomorphology and Streambed Sedimentological Characteristics" Water 11, no. 5: 1088. https://doi.org/10.3390/w11051088
APA StyleZeiger, S. J., & Hubbart, J. A. (2019). Characterizing Land Use Impacts on Channel Geomorphology and Streambed Sedimentological Characteristics. Water, 11(5), 1088. https://doi.org/10.3390/w11051088
