Impacts of Artificial Regulation on Karst Spring Hydrograph in Northern China: Laboratory Study and Numerical Simulations
Abstract
:1. Introduction
2. Description of Study Area
3. Methodology
3.1. Conceptual Model and Laboratory Experiments
3.2. Scenarios Definition
3.3. Numerical Model
4. Results
4.1. Laboratory-Scale Numerical Model Calibration
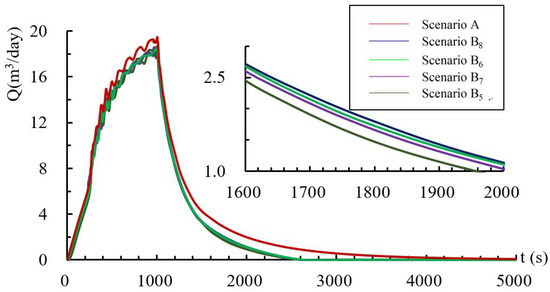
4.2. Effects on Spring Hydrographs
4.3. Effects on Recession Curves
4.4. Effects on Groundwater Flow Dynamics
5. Discussion
6. Conclusions
Author Contributions
Funding
Acknowledgments
Conflicts of Interest
References
- Hartmann, A.; Goldscheider, N.; Wagener, T.; Lange, L.; Weiler, M. Karst water resources in a changing world: Review of hydrological modeling approaches. Rev. Geophys. 2014, 52, 218–242. [Google Scholar] [CrossRef]
- Chen, Z.; Auler, A.S.; Bakalowicz, M.; Drew, D.; Griger, F.; Hartmann, J.; Jiang, J.; Moosdorf, N.; Richts, A.; Stevanovic, Z.; et al. The World Karst Aquifer Mapping project: Concept, mapping procedure and map of Europe. Hydrogeol. J. 2017, 25, 771–785. [Google Scholar] [CrossRef]
- Wu, P.; Tang, C.; Zhu, L.; Liu, C.; Cha, X.; Tao, X. Hydro-geochemical characteristics of surface water and groundwater in the karst basin, Southwest China. Hydrol. Process 2009, 23, 2012–2022. [Google Scholar] [CrossRef]
- Wada, Y.; van Beek, L.; van Kempen, C.; Reckman, J.; Vasak, S.; Bierkens, M. Global depletion of groundwater resources. Geophys. Res. Lett. 2010, 37, L20402. [Google Scholar] [CrossRef]
- Hu, K.; Chen, H.S.; Nie, Y.P.; Wang, K. Seasonal recharge and mean residence times of soil and epikarst water in a small karst catchment of southwest China. Sci. Rep. 2015, 5, 10215. [Google Scholar] [CrossRef] [PubMed]
- Foley, J.; Ramankutty, N.; Brauman, K.; Cassidy, E.; Gerber, J.; Johnston, M.; Mueller, N.; O’Connell, C.; Ray, D.; West, P.; et al. Solutions for a cultivated planet. Nature 2011, 478, 337–342. [Google Scholar] [CrossRef] [PubMed]
- Aeschbach-Hertig, W.; Gleeson, T. Regional strategies for the accelerating global problem of groundwater depletion. Nat. Geosci. 2012, 5, 853–861. [Google Scholar] [CrossRef]
- Borghi, A.; Renard, P.; Cornaton, F. Can one identify karst conduit networks geometry and properties from hydraulic and tracer test data. Adv. Water Resour. 2016, 90, 99–115. [Google Scholar] [CrossRef]
- Bakalowicz, M. Karst groundwater: A challenge for new resources. Hydrogeol. J. 2005, 13, 148–160. [Google Scholar] [CrossRef]
- Goldscheider, N.; Drew, D. Methods in Karst Hydrogeology. In IAH: International Contributions to Hydrogeology; CRC Press: Boca Raton, FL, USA, 2007. [Google Scholar]
- Hartmann, A.; Baker, A. Modelling karst vadose zone hydrology and its relevance for paleoclimate reconstruction. Earth Sci. Rev. 2017, 172, 178–192. [Google Scholar] [CrossRef]
- Filippini, M.; Squarzoni, G.; Waele, J.; Fiorucci, A.; Vigna, B.; Grillo, B.; Riva, A.; Rossetti, S.; Zini, L.; Casagrande, G.; et al. Differentiated spring behavior under changing hydrological conditions in an alpine karst aquifer. J. Hydrol. 2018, 556, 572–584. [Google Scholar] [CrossRef]
- Winston, W.E.; Criss, R.E. Dynamic hydrologic and geochemical response in a perennial karst spring. Water Resour. Res. 2004, 40, W05106. [Google Scholar] [CrossRef]
- Kovács, A.; Perrocheta, P.; Király, L.; Jeannin, P. A quantitative method for the characterization of karst aquifers based on spring hydrograph analysis. J. Hydrol. 2005, 303, 152–164. [Google Scholar] [CrossRef]
- Hergarten, S.; Birk, S. A fractal approach to the recession of spring hydrographs. Geophys. Res. Lett. 2007, 34, L11401. [Google Scholar] [CrossRef]
- Geyer, T.; Birk, S.; Liedl, R.; Sauter, M. Quantification of temporal distribution of recharge in karst systems from spring hydrographs. J. Hydrol. 2008, 348, 452–463. [Google Scholar] [CrossRef]
- Chang, Y.; Wu, J.C.; Liu, L. Effects of the conduit network on the spring hydrograph of the karst aquifer. J. Hydrol. 2015, 527, 517–530. [Google Scholar] [CrossRef]
- Li, G.Q.; Goldscheider, N.; Field, M.S. Modeling karst spring hydrograph recession based on head drop at sinkholes. J. Hydrol. 2016, 542, 820–827. [Google Scholar] [CrossRef]
- Longenecker, J.; Bechtel, T.; Chen, Z.; Goldscheider, N.; Liesch, T.; Walter, R. Correlating Global Precipitation Measurement satellite data with karst spring hydrographs for rapid catchment delineation. Geophys. Res. Lett. 2017, 44, 4926–4932. [Google Scholar] [CrossRef]
- Hosseini, S.M.; Ataie-Ashtiani, B.; Simmons, C.T. Spring hydrograph simulation of karstic aquifers: Impacts of variable recharge area, intermediate storage and memory effects. J. Hydrol. 2017, 552, 225–240. [Google Scholar] [CrossRef]
- Maillet, E. Essais d’Hydraulique Souterraine et Fluviale; Hermann: Paris, France, 1905. (In French) [Google Scholar]
- Mangin, A. Contribution à L’étude Hydrodynamique des Aquifers Karstiques. Ph.D. Thesis, University of Burgundy, Dijon, France, 1975. [Google Scholar]
- Kovács, A.; Perrochet, P. A quantitative approach to spring hydrograph decomposition. J. Hydrol. 2008, 352, 16–29. [Google Scholar] [CrossRef]
- Covington, M.D.; Wicks, C.M.; Saar, M.O. A dimensionless number describing the effects of recharge and geometry on discharge from simple karstic aquifers. Water Resour. Res. 2009, 45, 6100–6108. [Google Scholar] [CrossRef]
- Bailly-Comte, V.; Martin, J.B.; Jourde, H.; Screaton, E.; Pistre, S.; Langston, A. Water exchange and pressure transfer between conduits and matrix and their influence on hydrodynamics of two karst aquifers with sinking streams. J. Hydrol. 2010, 386, 55–66. [Google Scholar] [CrossRef]
- Déry, S.J.; Stahl, K.; Moore, R.D.; Whitfield, P.; Burford, J. Detection of runoff timing changes in pluvial, nival, and glacial rivers of western Canada. Water Resour. Res. 2009, 45. [Google Scholar] [CrossRef]
- Stahl, K.; Tallaksen, L.M.; Hannaford, J.; van Lanen, H. Filling the white space on maps of European runoff trends: Estimates from a multi-model ensemble. Hydol. Earth Syst. Sci. 2012, 16, 2035–2047. [Google Scholar] [CrossRef]
- Hartmann, A.; Gleeson, T.; Wada, Y.; Wagener, T. Enhanced groundwater recharge rates and altered recharge sensitivity to climate variability through subsurface heterogeneity. Proc. Natl. Acad. Sci. USA 2017, 114, 2842–2847. [Google Scholar] [CrossRef] [PubMed]
- Sarrazin, F.; Hartmann, A.; Pianosi, F.; Rosolem, R.; Wagener, T. V2Karst V1.0: A parsimonious large-scale integrated vegetationrecharge model to simulate the impact of climate and land cover change in karst regions. Geosci. Model Dev. 2017, 11, 4933–4964. [Google Scholar] [CrossRef]
- Taylor, R.G.; Scanlon, B.; Döll, P.; Rodell, M.; van Beek, R.; Wada, Y.; Longuevergne, L.; Leblanc, M.; S. Famiglietti, J.; Edmunds, M.; et al. Ground water and climate change. Nat. Clim. Chang. 2012, 3, 322–329. [Google Scholar]
- Gleeson, T.; Wada, Y.; Bierkens, M.F.; van Beek, L. Water balance of global aquifers revealed by groundwater footprint. Nature 2012, 488, 197–200. [Google Scholar] [CrossRef] [PubMed]
- Fleury, P.; Bakalowicz, M.; Marsily, G.D. Submarine springs and coastal karst aquifers: A review. J. Hydrol. 2007, 339, 79–92. [Google Scholar] [CrossRef]
- Fleury, P.; Plagnes, V.; Bakalowicz, M. Modelling of the functioning of karst aquifers with a reservoir model: Application to Fontaine de Vaucluse (South of France). J. Hydrol. 2007, 345, 38–49. [Google Scholar] [CrossRef]
- Karimi, H.; Taheri, K. Hazards and mechanism of sinkholes on Kaboudar Ahang and Famenin plains of Hamadan, Iran. Nat. Hazards 2010, 55, 481–499. [Google Scholar] [CrossRef]
- Ravbar, N.; Kovačič, G. Analysis of human induced changes in a karst landscape-the filling of dolines in the Kras plateau, Slovenia. Sci. Total Environ. 2013, 447, 143–151. [Google Scholar]
- Dillon, P. Future management of aquifer recharge. Hydrogeol. J. 2005, 13, 313–316. [Google Scholar] [CrossRef]
- Vacher, H.L.; Hutchings, W.C.; Budd, D.A. Metaphors and models: The ASR bubble in the Floridan Aquifer. Ground Water 2006, 44, 144–154. [Google Scholar] [CrossRef]
- Ward, J.D.; Simmons, C.T.; Dillon, P.J.; Pavelic, C. Integrated assessment of lateral flow, density effects and dispersion in aquifer storage and recovery. J. Hydrol. 2009, 370, 83–99. [Google Scholar] [CrossRef]
- Barker, J.L.B.; Hassan, M.M.; Sultana, S.; Ahmed, K.; Robinson, C. Numerical evaluation of community-scale aquifer storage, transfer and recovery technology: A case study from coastal Bangladesh. J. Hydrol. 2016, 540, 861–872. [Google Scholar] [CrossRef]
- Daher, W.; Pistre, S.; Kneppers, A.; Bakalowicz, M.; Najem, W. Karst and artificial recharge: Theoretical and practical problems-a preliminary approach to artificial recharge assessment. J. Hydrol. 2011, 408, 189–202. [Google Scholar] [CrossRef]
- Qian, J.Z.; Zhan, H.B.; Wu, Y.F.; Li, F.; Wang, J. Fractured-karst spring-flow protections: A case study in Jinan, China. Hydrogeol. J. 2006, 14, 1192–1205. [Google Scholar] [CrossRef]
- Kang, F.X.; Jin, M.G.; Qin, P.R. Sustainable yield of a karst aquifer system: A case study of Jinan springs in northern China. Hydrogeol. J. 2011, 19, 851–863. [Google Scholar] [CrossRef]
- Wang, J.; Jin, M.G.; Lu, G.P.; Zhang, D.; Kang, F.; Jia, B. Investigation of discharge-area groundwater for recharge source characterization on different scales: The case of Jinan in northern China. Hydrogeol. J. 2016, 24, 1723–1737. [Google Scholar] [CrossRef]
- He, K.Q.; Wen, D.; Zhang, S.Q.; Lu, Y. Analysis on the Rational Exploitation and Regulatory Storage of Karst Water Resources in the Central-South Region of Shandong Province, China. Water Resour. Manag. 2010, 24, 349–362. [Google Scholar]
- Zhang, C.Y.; Shu, L.C.; Lu, C.P.; Appiah-Adjei, E.; Wang, X. Experimental determination of fractures and conduits and the applicability of Cubic law in closed fractures. Exp. Ther. Fluid Sci. 2015, 69, 1–7. [Google Scholar] [CrossRef]
- Shoemaker, W.B.; Kuniansky, E.L.; Birk, S.; Bauer, S.; Swain, E. Documentation of a Conduit Flow Process (CFP) for MODFLOW-2005. In U.S. Geological Survey Techniques and Methods; USGS: Reston, VA, USA, 2007. [Google Scholar]
- Galvao, P.; Halihan, T.; Hirata, R. The karst permeability scale effect of Sete Lagoas, MG, Brazil. J. Hydrol. 2016, 532, 149–162. [Google Scholar] [CrossRef]
- Halihan, T.; Sharp, J.M., Jr.; Mace, R.E. Flow in the San Antonio Segment of the Edwards Aquifer: Matrix, Fractures, or Conduits? In Groundwater Flow and Contaminant Transport in Carbonate Aquifers; Wicks, C.M., Sasowsky, I.D., Eds.; Balkema: Rotterdam, The Netherlands, 2000; pp. 129–146. [Google Scholar]
- Király, L. Rapport Sur L’état Actuel Des Connaissances Dans Le Domaine Des Caractères Physique Des Roches Karstique. In Hydrogeology of Karstic Terrains; Burger, A., Dubertet, L., Eds.; International Association of Hydrogeologists: Paris, France, 1975; pp. 53–67. [Google Scholar]
- Chen, L.; Sela, S.; Svoray, T.; Assouline, S. Scale dependence of Hortonian rainfall-runoff processes in a semiarid environment. Water Resour. Res. 2016, 52, 5149–5166. [Google Scholar] [CrossRef]
- Wang, M.; Chen, H.; Zhang, W.; Wang, K. Influencing factors on soil nutrients at different scales in a karst area. Catena 2019, 175, 411–420. [Google Scholar] [CrossRef]
- Wood, E.F.; Sivapalan, M.; Beven, K.; Band, L. Effects of spatial variability and scale with implications to hydrologic modeling. J. Hydrol. 1988, 102, 1–4. [Google Scholar] [CrossRef]
- Houben, G.J.; Stoeckl, L.; Mariner, K.E.; Mariner, K.; Choudhury, A. The influence of heterogeneity on coastal groundwater flow—physical and numerical modeling of fringing reefs, dykes and structured conductivity fields. Adv. Water Resour. 2018, 113, 155–166. [Google Scholar] [CrossRef]
- Padilla, A.; Pulido-Bosch, A. Simple procedure to simulate karstic aquifers. Hydrol. Process 2008, 22, 1876–1884. [Google Scholar] [CrossRef]
- Tritz, S.; Guinot, V.; Jourde, H. Modelling the behavior of a karst system catchment using non-linear hysteretic conceptual model. J. Hydrol. 2011, 397, 250–262. [Google Scholar] [CrossRef]
- Birk, S.; Hergarten, S. Early recession behavior of spring hydrographs. J. Hydrol. 2010, 387, 24–32. [Google Scholar] [CrossRef]
- Atkinson, T.C. Diffuse flow and conduit flow in limestone terrain in the Mendip Hills, Somerset (Great Britain). J. Hydrol. 1977, 35, 93–110. [Google Scholar] [CrossRef]
- Baedke, S.J.; Krothe, N.C. Derivation of effective hydraulic parameters of a Karst Aquifer from discharge hydrograph analysis. Water Resour. Res. 2001, 37, 13–19. [Google Scholar] [CrossRef]
- Dewandel, B.; Lachassagne, P.; Bakalowicz, M.; Weng, P.; Al-Malki, A. Evaluation of aquifer thickness by analyzing recession hydrographs. Application to the Oman ophiolite hard-rock aquifer. J. Hydrol. 2003, 274, 248–269. [Google Scholar] [CrossRef]
- Lu, C.H.; Gong, R.L.; Luo, J. Analysis of stagnation points for a pumping well in recharge areas. J. Hydrol. 2009, 373, 442–452. [Google Scholar] [CrossRef]
- Jiang, X.W.; Wang, X.S.; Wan, L.; Shemin, G. An analytical study on stagnation points in nested flow systems in basins with depth-decaying hydraulic conductivity. Water Resour. Res. 2011, 47, W01512. [Google Scholar] [CrossRef]
- Tóth, J. Groundwater as a geologic agent: An overview of the causes, processes, and manifestations. Hydrogeol. J. 1999, 7, 1–14. [Google Scholar] [CrossRef]
























| Scenarios | Settings of Different Scenarios | |||||
|---|---|---|---|---|---|---|
| Scenario A | No artificial recharge and no groundwater exploitation | |||||
| Pumping/Injection rates (m3/day) | Downstream location | Upstream location | ||||
| Conduit zone | Fissures zone | Conduit zone | Fissures zone | |||
| W1 | W2 | W3 | W4 | |||
| Scenario B | Pumping | 0.5 | B1 | B2 | B3 | B4 |
| 1 | B5 | B6 | B7 | B8 | ||
| 1.5 | B9 | B10 | B11 | B12 | ||
| Scenario C | Injection | 1.5 | C1 | C2 | C3 | C4 |
| 2 | C5 | C6 | C7 | C8 | ||
| 3 | C9 | C10 | C11 | C12 | ||
| Thickness of Distance Spacer | Fissures Zone | Conduit Zone | |||||
|---|---|---|---|---|---|---|---|
| Kfissures zone (m/s) | Ss (Specific Storage) | NuRe | NlRe | τ (Tortuosity) | R (Roughness) | αex (m2/s) | |
| 0.2 mm | 0.005 | 0.2 | 0 | 0 | 1 | 0.003 | 12.5 |
| 0.7 mm | 0.01 | 0.3 | 0 | 0 | 1 | 0.003 | 17.8 |
| 1.5 mm | 0.08 | 0.35 | 0 | 0 | 1 | 0.003 | 20.4 |
© 2019 by the authors. Licensee MDPI, Basel, Switzerland. This article is an open access article distributed under the terms and conditions of the Creative Commons Attribution (CC BY) license (http://creativecommons.org/licenses/by/4.0/).
Share and Cite
Wu, P.; Shu, L.; Li, F.; Chen, H.; Xu, Y.; Zou, Z.; Mabedi, E.C. Impacts of Artificial Regulation on Karst Spring Hydrograph in Northern China: Laboratory Study and Numerical Simulations. Water 2019, 11, 755. https://doi.org/10.3390/w11040755
Wu P, Shu L, Li F, Chen H, Xu Y, Zou Z, Mabedi EC. Impacts of Artificial Regulation on Karst Spring Hydrograph in Northern China: Laboratory Study and Numerical Simulations. Water. 2019; 11(4):755. https://doi.org/10.3390/w11040755
Chicago/Turabian StyleWu, Peipeng, Longcang Shu, Fulin Li, Huawei Chen, Yang Xu, Zhike Zou, and Esther Chifuniro Mabedi. 2019. "Impacts of Artificial Regulation on Karst Spring Hydrograph in Northern China: Laboratory Study and Numerical Simulations" Water 11, no. 4: 755. https://doi.org/10.3390/w11040755
APA StyleWu, P., Shu, L., Li, F., Chen, H., Xu, Y., Zou, Z., & Mabedi, E. C. (2019). Impacts of Artificial Regulation on Karst Spring Hydrograph in Northern China: Laboratory Study and Numerical Simulations. Water, 11(4), 755. https://doi.org/10.3390/w11040755
