Abstract
Here, we present the first detailed study on diffuse CO2 degassing in the lakes in the Western Group (Corvo and Flores islands) of the Azores archipelago. This research is of interest in order to determine (1) the overall CO2 emission from such lakes, as volcanic lakes are often underrepresented in the databases of these water bodies, and (2) the diffuse CO2 degassing estimates in active volcanic areas such as the Azores. The lake waters on Corvo and Flores islands are mainly of the Na–Cl type, which is likely caused by the lakes’ sea salt signatures, arising from nearby seawater spraying; however, a few samples show evidence of slight alkali earth metal and bicarbonate enrichments in the lake waters, suggesting a contribution of water–rock interaction. In this study, diffuse CO2 flux measurements were taken using the accumulation chamber method, and statistical analyses utilizing the graphical statistical approach (GSA) and sequential Gaussian simulation (sGs) were conducted on the CO2 flux data, showing that the CO2 flux values measured in these lakes were relatively low (0.0–18.6 g m−2 d−1). The results seem to indicate that there is a single source of CO2 (a biogenic source), which is also supported by the waters’ δ13C isotopic signatures. Significant differences in the final CO2 output values were verified between surveys (e.g., 0.16 t d−1 in R1; 0.32 t d−1 in R2), and these differences are probably associated with the monomictic character of the lakes. CO2 emissions ranged between 0.18 t d−1 (CE1) and 0.50 t d−1 (CW1) for the Corvo lakes and between 0.03 t d−1 (P1) and 0.32 t d−1 (R2) for the seven lakes studied on Flores Island. The presence of a dense macrophyte mass in a few of the lakes appears to enhance the CO2 flux in these lakes.
1. Introduction
Global data indicate that there are 117 × 106 lakes on the Earth, corresponding to a surface area of about 5 × 106 km2, or about 3.7% of the Earth’s nonglaciated land area [1]. Of the total number of lakes worldwide, only about 1200 are crater lakes [2]. Furthermore, of the 714 Holocene volcanoes, only about 16% contain lakes within their craters [3], which are mainly spread along volcanic arcs [4,5,6,7].
Since the 1990s, volcanic lake behavior has captured the attention of the scientific community; thus, these water bodies have been studied and monitored more closely [8]. According to Pérez et al. (2011) [9], the overall CO2 emission from volcanic lakes worldwide is approximately 117 × 106 ± 19 × 106 t year−1, with ~80% emanating from magmatic sources. Compared with the overall release of CO2 into the atmosphere from subaerial volcanism, which is estimated to be 540 × 106 t year−1 [10], volcanic lake emissions represent about 17.4% of the total. Nevertheless, as [9] only computed the CO2 emissions from a fraction of the total volcanic lakes in the world, measurements should be obtained from the remainder and the fluxes added to the global databases in order to better understand the total volcanic CO2 output.
The study of volcanic lakes permits enhanced knowledge of volcanic systems, as such lakes present a wide range of chemical characteristics, from high total dissolved solid (TDS) brines to meteoric waters; indeed, they have been called “blue windows” into the depths of a volcano [11,12]. Volcanic gases, composed mainly of water vapor and varied amounts of carbon compounds, sulfur, halogens, and several minor constituents, are the main drivers of volcanic water composition [13,14,15,16].
Natural CO2 can have several origins in that it can originate from the mantle, from carbonate rocks existing in the crust, or as the result of biogenic activity [17]. Over the last decade, studies of diffuse degassing CO2 have been conducted in volcanic lakes all over the world and in other types of water bodies, and such studies have provided important information about their spatial and temporal flux variations and have been shown to be a relevant tool for mapping hidden active faults and/or for active volcano monitoring [10,18,19,20,21,22,23,24,25]. In addition, these studies have contributed to improving the Earth’s carbon budget (e.g., [9,24,26,27,28,29,30,31,32,33,34,35,36]).
Several studies on the CO2 flux in lakes in the Azores have been conducted recently. The first was performed at Furnas Lake (52–600 t d−1 [24]), where, in addition to a biogenic source, volcanic/hydrothermal carbon is also being released at the bottom of the lake. The Furna do Enxofre Lake, located inside a volcanic cave on Graciosa Island, is also influenced by a volcanic source, and moreover, in the small area of the lake, the flux was estimated to be about 6.10 t d−1 (508.3 t km-2 d−1) [36]. In contrast, in lakes where the CO2 flux is dominated by a single biogenic source, the CO2 values are much lower, for example, 0.2 t d−1 in Lake Congro (0.88 t km−2 d−1) [35], about 0.61 t d−1 in Sete Cidades Lake, and 0.16 t d−1 in Fogo Lake, which are all located on São Miguel Island [37]. Andrade et al. [38] also estimated the CO2 emissions in the lakes on Pico Island, which ranged between 0.02–0.28 t d−1.
The current study investigates the CO2 emissions from volcanic lakes in the Western Group (Flores and Corvo islands) of the Azores archipelago, and the main objectives are to (1) characterize the water chemistry in the studied lakes, (2) estimate the CO2 emissions at the lake surface and determine their sources, (3) identify the spatial CO2 degassing patterns, and (4) compare the results from Flores and Corvo islands with other volcanic lakes in the Azores and worldwide.
2. Geological Setting
The Azores archipelago consists of nine volcanic islands located in the North Atlantic Ocean and spread along a WNW–ESE trending strip (Figure S1; Supplementary Materials), near the triple junction between the North American, African, and Eurasian lithospheric plates [39]. Geographically, the islands can be categorized into three groups: the Eastern Group, including the islands of Santa Maria and São Miguel; the Central Group, encompassing five islands (Terceira, Faial, Pico, São Jorge, and Graciosa); and the Western Group, composed of the islands of Corvo and Flores, where the present study was conducted. The islands ascend from the so-called Azores Plateau [40], which is transversed by the Mid-Atlantic Ridge (MAR) between the islands of Faial and Flores. The Western Group is located on the North American tectonic plate, west of the MAR.
The complex geodynamic setting of the archipelago explains the significant seismic and volcanic activity in the Azores archipelago, where, since the Portuguese settled the area in the fifteenth century, about 28 eruptions and more than 15 major earthquakes have been recorded [41,42]. However, on the islands of Corvo and Flores, there have been no records of any earthquake or volcanic eruption since the Portuguese settlement.
2.1. Corvo Island
With an area of about 17.1 km2, Corvo is the smallest island in the archipelago, being 6.3 km long and 4 km wide (Figure 1A). The maximum altitude on the island is 718 m (Estrelinho).
Figure 1.
Location of the studied area (UTM–WGS1984, zone 25S): (A) framework of Corvo Island with the location of the studied lakes; (B) bathymetry and CO2 flux sampling points measured in the first survey respectively for Caldeirão West (CW) and Caldeirão East (CE) lakes. The sampling locations of the geochemical vertical profiles (P) are also shown.
Dias [43] presented an explanation of the island’s geological history based on two volcanic complexes: (1) the basal complex, associated with submarine volcanism and the formation of the proto-island, corresponding to the oldest complex on the island and (2) the upper complex, formed by subaerial volcanism.
On the north side of the island, there is a volcanic caldera (locally called “Caldeirão”) with a maximum diameter of 2.3 km and a depth of 300 m [44]. The caldera floor is occupied by the two studied lakes on the island, Caldeirão W and Caldeirão E, whose characteristics are summarized in Table 1. Both lakes on Corvo Island present very shallow depths (1.9–2.8 m) and small surface areas (8.05 × 104–12.36 × 104 km2), having water storage in the range of 9.02 × 104–16.29 × 104 m3. No secondary manifestations of volcanism have been identified on the island.
Table 1.
Characterization of the studied lakes on Corvo and Flores islands (residence time from Azevedo (1998) and AHA-DRA (2015) [45,46]; altitude, basin area, surface area, maximum depth, and water storage volume from the present study; geological setting according to Cruz et al. [47]: sc—subsidence caldera, ud—undifferentiated depression, and n.a.—not available.
2.2. Flores Island
Flores is the westernmost island of the Azores archipelago. Flores has an area of about 143 km2, with a maximum length of 16 km and a width of 12 km, presenting a slight elongation in the N–S direction (Figure 2A). Its maximum altitude is 915 m at Morro Alto.
Figure 2.
Location of the studied areas (UTM–WGS1984, zone 25S): (A) framework of Flores Island with the locations of the studied lakes; (B–H) bathymetry and CO2 flux sampling points measured in the first surveys, respectively, for the following lakes: (B) Branca; (C) Patos; (D) Negra; (E) Funda; (F) Comprida; (G) Rasa; and (H) Lomba. The sampling locations of the geochemical vertical profiles (P) are also shown for each lake.
Two volcanic complexes were identified on the island [45]: (1) the base complex, which includes all the volcanic formations resulting from proto-insular volcanism, and the more recent superior complex, that comprises all the formations resulting from subaerial volcanic activity [45]. All the studied lakes (Negra, Comprida, Rasa, Lomba, Funda, Patos, and Branca) are located in the superior complex, at altitudes between 260 and 644 m, presenting surface areas and maximum depths from 1.32 × 104 to 36.89 × 104 m2 and 2.5 to 114 m, respectively (Table 1). Two water bodies are associated with depressions of undifferentiated origin (Patos and Branca), while the other lakes are located inside maar craters. Other characteristics (i.e., basin area, volume, and residence time) of the studied lakes are summarized in Table 1.
3. Sampling and Statistical Approach
3.1. Water Sampling and Methods
On both islands, vertical profiles were located in the deepest area of each of the studied lakes in order to collect samples along the water column for analysis. The sampling on Corvo Island was carried out in a single survey during July 2016 (Caldeirão W: CW1; Caldeirão E: CE1) (Figure 1B). In the lakes on Flores Island, two surveys were conducted: the first survey in July 2016, (Negra: N1; Funda: F1; Patos: P1; Branca: B1; Comprida: C1; Rasa: R1; and Lomba: L1) and the second survey during March 2017, analyzing only three lakes (Comprida: C2; Rasa: R2; and Lomba: L2) due to logistical constraints (Figure 2B–H).
Water samples were collected using a 1 L-capacity SEBA sampling bottle. In the lakes on Corvo Island and in some of the lakes on Flores Island (Patos and Branca), samples were collected at every meter depth interval along the water column. In the remaining lakes, samples were collected at every two meters along the water column, except for Negra Lake, where samples were made in the epilimnion using an interval of two meters, which was increased along the water column (first to three- and five-meter intervals and then, after a depth of 30 meters, to 10-meter intervals) (Table S1; Supplementary Materials).
Measurements of temperature, pH, and electrical conductivity (EC) were made immediately after collection. Alkalinity and dissolved CO2 concentrations were also measured by titration in the field. A H2SO4 solution with 0.05 M, which was added dropwise, was used as the titrant for the alkalinity and a solution of NaOH 1/44 M was used for the dissolved CO2 titration until the required pH of 4.45 or 8.3, respectively, was reached [48].
The samples were filtered after collection in the field using filters of 0.2 μm (cellulose acetate) and stored in 125 mL polyethylene bottles, which were analyzed later for anion content via ion chromatography, and in 250 mL polyethylene bottles, which were used for the determination of the cation content via atomic absorption spectrometry. Aliquots for cation analysis were acidified using ultra-pure nitric acid. The silica content was determined using the silicomolybdic method by spectrophotometry. All the analyses were performed in the hydrogeochemistry laboratory of the Research Institute for Volcanology and Risk Assessment (IVAR, University of the Azores).
During the second survey, which was carried out in three lakes on Flores Island, a collection of samples for isotopic determinations (δ13C, δ18O, and δ2H) was made at the same location as the vertical profiles (P), when the lakes were not under the effect of the thermal stratification process (Figure 2F–H). For the analysis of dissolved inorganic carbon (DIC) δ13C, water samples were collected using the sampling procedure proposed by the International Atomic Energy Agency [49], while for the samples for δ18O and δ2H analyses, the standard procedure described by Clark and Fritz (1997) [50] was followed, and the samples were kept in high-density polyethylene (HDPE) bottles. All the isotopic analyses were carried out at the Stable Isotope Laboratory of the Estación Biológica Doñana (CSIC) in Spain, using a continuous-flow isotope-ratio mass spectrometry system (Thermo Electron) with a Flash HT Plus elemental analyzer interfaced with a Delta V Advantage mass spectrometer for the determination of δ13C and a laser spectrometer CRDS (cavity ring down spectroscopy) Picarro L2130-i for the determination of δ18O and δ2H.
3.2. CO2 Flux Measurements
The measurements of the CO2 flux at the lakes’ surfaces were made during two surveys on the same day (except in F1) as the water sample collection. A total of 1745 measurements were made during the first survey and 588 measurements during the second survey (Table 2). The GPS positioning of each measurement location was recorded, and a measurement grid with a uniform pattern was followed whenever possible (Figure 1B and Figure 2B–H).
Table 2.
Descriptive statistics of Corvo and Flores lakes’ CO2 flux data (CW1—Caldeirão West, first survey; CE1—Caldeirão East, first survey; B1—Branca, first survey; P1—Patos, first survey; N1—Negra, first survey; F1—Funda, first survey; C1—Comprida, first survey; R1—Rasa, first survey; L1—Lomba, first survey; C2—Comprida, second survey; R2—Rasa, second survey; and L2—Lomba, second survey). The sampling took place in July 2016 (survey 1) and March 2017 (survey 2).
To carry out the CO2 flux measurements, a modified accumulation chamber method (area = 594 cm2; volume = 7603 cm3) was applied [51], an approach that has been used in other studies in the Azores [24,35,36,52] and in similar studies worldwide [28,29,33]. A full description of the methodology, as well as the advantages and constraints, is provided in the literature [34], but basically consists of the increase of CO2 concentration within a chamber of known volume during a certain period of time, which is usually about 60 s. With a maximum scale of 20,000 ppm, the infrared LICOR LI-820 detector installed in the device allows for the measurement of CO2 flux in the range between 0 and 30,000 g m−2 d−1 [53]. The calibration of the CO2 equipment—a procedure that was previously described by (Andrade et al. (2019) [35,36] was made in the gas geochemistry laboratory of the IVAR (University of the Azores).
With the exception of survey F1, all the measurements were made in the same day, from early morning to the full completion of the survey, with a maximum duration of about seven hours (CE1). Therefore, our results may be affected by the effect of daylight variation on CO2 flux as observed by Yang et al. [54], which showed a decrease from early morning to the evening. Besides that, this strategy does not account for CO2 emission during the night period, and it is expected that there are differences between nighttime–daytime emissions [55].
Nevertheless, the meteorological conditions during each survey were relatively stable, with the difference between the atmospheric temperature in the beginning and the end of the summer surveys in the range of 3.2 °C (C1) to 7.4 °C (P1), while in winter surveys the range was between 1.5 °C to 6.1 °C (R2). The variation of the surface water temperature during the surveys was similar, being as high as 8 °C (P1) during winter and 6.4 °C (L2) in summer. Wind speed was on average as high as 2.1 m s−1 in summer and 1.1 m s−1 during winter surveys, while atmospheric pressure was almost constant.
Simultaneously with the CO2 flux measurements, some physico-chemical parameters of the water at the surface of the lakes, such as temperature, electrical conductivity, and pH, were registered. Using the measurement grid, a bathymetry survey was made with a Garmim ECHOTM 500c bathymetric probe.
3.3. CO2 Flux Data Processing
Two statistical analysis procedures were applied to the CO2 flux data, namely the graphical statistical approach (GSA) (e.g., [51]) and sequential Gaussian simulation (sGs) [56]. The GSA procedure is based on cumulative probability plots, leading to the identification of different populations in the geochemical data [57], which afterwards may be associated with diverse CO2 sources, such as biogenic processes or volcanic–hydrothermal input (e.g., [24,35,36,51,56,58,59]).
The sGs method was applied using the algorithm described by Deutsch and Journel (1998) [60], which consisted of the development of numerous simulations of the CO2 flux in the lake being studied in order to generate the final degassing map for each survey. This map, through the integration of the average values estimated (i.e., E-type map) over the lake area, allowed for the estimation of the overall diffuse CO2 emission. This methodology has been largely applied in studies related to CO2 spatial analysis in several volcanic regions, and more details on this statistical approach can be found in the literature (e.g., [24,25,27,28,33,34,35,36,51,56,58]).
The sGs was applied in the surveys from all the lakes, with the exception of Patos and Branca lakes. In these latter lakes, the sGs method was excluded considering that (1) the original data did not follow a normal distribution, (2) each survey had less than 100 measurements, and (3) it was not possible to calculate the normal scores. In addition, their experimental variograms also did not show a spatial structure, thus excluding the use of kriging as an interpolation method. Therefore, the deterministic method of inverse distance weighting (IDW) [61] was used to interpolate the data and consequently generate CO2 flux distribution maps for the Patos and Branca lakes’ surveys, considering four and ten neighboring points, respectively. For the same reason, the total CO2 output was estimated based on both methodologies (GSA and sGs) in order to compare the results and to estimate the total CO2 flux for the lakes that did not show spatial structure.
4. Results and Discussion
4.1. Chemical Composition of the Water
The main physico-chemical variables (temperature, pH, and electrical conductivity) and major ion content for the 98 samples collected (CW1: 3; CE1: 2; B1: 3; P1: 3; F1: 18; N1: 19; C1: 8; R1: 9; L1: 8; C2: 8; L2: 9; and L2: 8) are shown in Table S1. The lake waters are mainly of the Na–Cl type, despite a few samples that depict slight alkali earth metal and bicarbonate enrichments (surveys C1, C2, P1, N1, and F1 (Figure S2)). The latter enrichment suggests a contribution of water–rock interaction in addition to the sea salt signatures, which arise from the nearby seawater spraying and explain the dominance of the Na–Cl water type.
The temperatures at the surfaces of the lakes in summer were as high as 25.4 °C in Flores (P1) and 25.2 °C in Corvo (CE1), both corresponding to lakes with very shallow depths (~2 m). During the summer surveys, several lakes demonstrated thermal stratification, namely C1, L1, R1, F1, and N1, thus suggesting monomictic behavior when compared with the surveys made in the winter period, when the temperatures along the water column were rather stable (Figure 3A). This monomictic character is common in the deepest lakes of the Azores archipelago [47]. The deepest lakes studied, both located on Flores Island, showed a difference between the epilimnion and the hypolimnion in summer that reached 6.4 °C (N1; depth: 110 m) and 8.6 °C (F1; depth: 34 m) (Table S1).
Figure 3.
Geochemical profiles for several physico-chemical parameters: (A) temperature; (B) pH; (C) electrical conductivity; (D) dissolved CO2 for the Corvo and Flores lakes (CW1—Caldeirão West, first survey; CE1—Caldeirão East, first survey; B1—Branca, first survey; P1—Patos, first survey; N1—Negra, first survey; F1—Funda, first survey; C1—Comprida, first survey; R1—Rasa, first survey; L1—Lomba, first survey; C2—Comprida, second survey; R2—Rasa, second survey; and L2—Lomba, second survey). The sampling took place in July 2016 (survey 1) and March 2017 (survey 2). The right vertical scale on several plots is only for Negra Lake.
Besides the very shallow lakes, which present a rather variable pH with the surveys presenting either an acidic character (B1 and CW2) or a basic one (CW1 and P1), the effect of the water column stratification on pH was shown for N1, L1, R1, and F1 (Figure 3B): these lakes present much higher values at the surface during summer, reaching as high as 9.44 (N1), compared with the values measured at the bottom of the water column—a gradient that may result from the coupled effect of photosynthesis in the epilimnion and the CO2 emission at the surface [35]. During winter, full mixing occurs along the water column, and the pH values depict a stable behavior with depth (R2, L2).
The pH gradient observed during summer was inversely related to the dissolved CO2 increase at the studied depth (R1, L1, N1, and F1) (Figure 3C). The difference between the dissolved CO2 at the surface and the bottom reached values as high as 8 mg L−1 (R1). The CO2 enrichment in the hypolimnion suggests that the CO2 is trapped when the lakes are stratified in summer.
The electrical conductivity (EC) also showed a slight increase at the bottom of the lakes that stratify during summer (N1, F1, and L1) (Figure 3D). The majority of the lakes demonstrated an EC up to 90 µS cm−1, and even the higher values observed (P1; EC range: 171–175 µS cm−1) suggest that all the lakes have very diluted waters.
The δ18O and δ2H showed that the lake waters have a meteoric origin: the results were respectively equal to −3.27‰ (R2), −3.65‰ (L2), and −4.83‰ (C2) for δ18O and −10.0‰ (R2), −10.85‰ (L2), and −18.75‰ (C2) for δ2H, thus close to the local meteoric water line [62]. This meteoric origin was already proposed by Cruz et al. (2006) [47] and has been proposed for other lakes in the Azores [35,36,38].
4.2. CO2 Flux Descriptive Statistics
The CO2 flux values measured at the lakes’ surfaces ranged between 0 and 18.55 g m−2 d−1 in the summer survey (mean = 3.14 g m−2 d−1), while in the winter survey, they ranged from 0.61 to 11.32 g m−2 d−1 (mean = 4.05 g m−2 d−1) (Table 2).
Comparing the results from the first survey, some differences were observed between the lakes, with higher CO2 fluxes measured in the shallower lakes (18.55 g m−2 d−1; Branca Lake, ~3m) and the lowest values (0 g m−2 d−1; Negra Lake, ~115m) measured in the deepest lakes, the latter being stratified. Comparing the results of both surveys, higher CO2 fluxes were measured during the winter (11.32 g m−2 d−1), while the lowest values (0 g m−2 d−1) were recorded in the summer, the latter also associated with the stratification (Table 2).
4.3. CO2 Populations
From the cumulative probability plots, only one lognormal population data (population A on the plots) was detected for the lakes on Corvo Island, suggesting only one CO2 source for each of the datasets (Figure 4A,B). For Flores Island, a single population (population A) was also identified for Branca and Patos lakes (Figure 4C,D), as well as for all the lakes studied in the second survey (C2; R2; and L2) (Figure 4G–I). The lowest values recorded in all these lakes (<20 g m−2 d−1), as well as the single population identified in the statistical approach, point to a single source of the CO2 values, which is probably biogenic.
Figure 4.
CO2 flux probability plots for the first (red) and second (black) surveys made in the studied lakes for Corvo and Flores islands: (A) Caldeirão West; (B) Caldeirão East; (C) Branca; (D) Patos; (E) Negra; (F) Funda; (G) Comprida; (H) Rasa; and (I) Lomba.
On the other hand, during the warmest summer period in the deepest lakes on Flores Island (N1; F1; C1; R1; and L1), when the water column was stratified, an overlapping of three lognormal populations was detected (Figure 4E–I), wherein population A refers to the complete absence of CO2 emission (values of 0 g m−2 d−1), population B corresponds to low flux values ranging from 0 to 3 g m−2 d−1, and population C refers to the highest measurements. The values associated with all three populations are very low and may eventually represent different effects resulting from water column stratification: population A may be associated with the areas of the lake where the stratification implies no-flux conditions, thus causing the accumulation of CO2 in the hypolimnion, which justifies the values equal to 0 g m−2 d−1 in the central and deepest parts of the lake; population C corresponds to values that were measured essentially in the lake margins, where the water column is not so deep and no constraints to the flux occur; and population B corresponds to values mostly measured in the transition zone between those two areas. A similar situation was found in other lakes in the Azores that also stratify in summer [35]. Nevertheless, these populations represent low values and probably also point to a source of a biogenic nature, as in the case of lakes with a single population.
The DIC δ13C contents measured during the present study in the Flores lakes were equal to −21.07‰ (Rasa Lake; R2), −23.05‰ (Comprida Lake; C2), and −25.64‰ (Lomba Lake; L2)—values that are depleted in relation to the actual atmospheric value (δ13C = −8.3‰ [63]) and are from a possible volcanic/hydrothermal signature (δ13C in the range from −3.5‰ to −6‰ [64]), suggesting a biogenic fractionation process, which is consistent with the interpretation of the CO2 populations and fluxes. The δ13C contents of the studied lakes were similar to the isotopic signature found in another lake in the Azores archipelago (Congro Lake; δ13C = −22.80‰ [35], resulting from a biogenic-mediated isotopic fractionation.
4.4. CO2 Degassing Maps
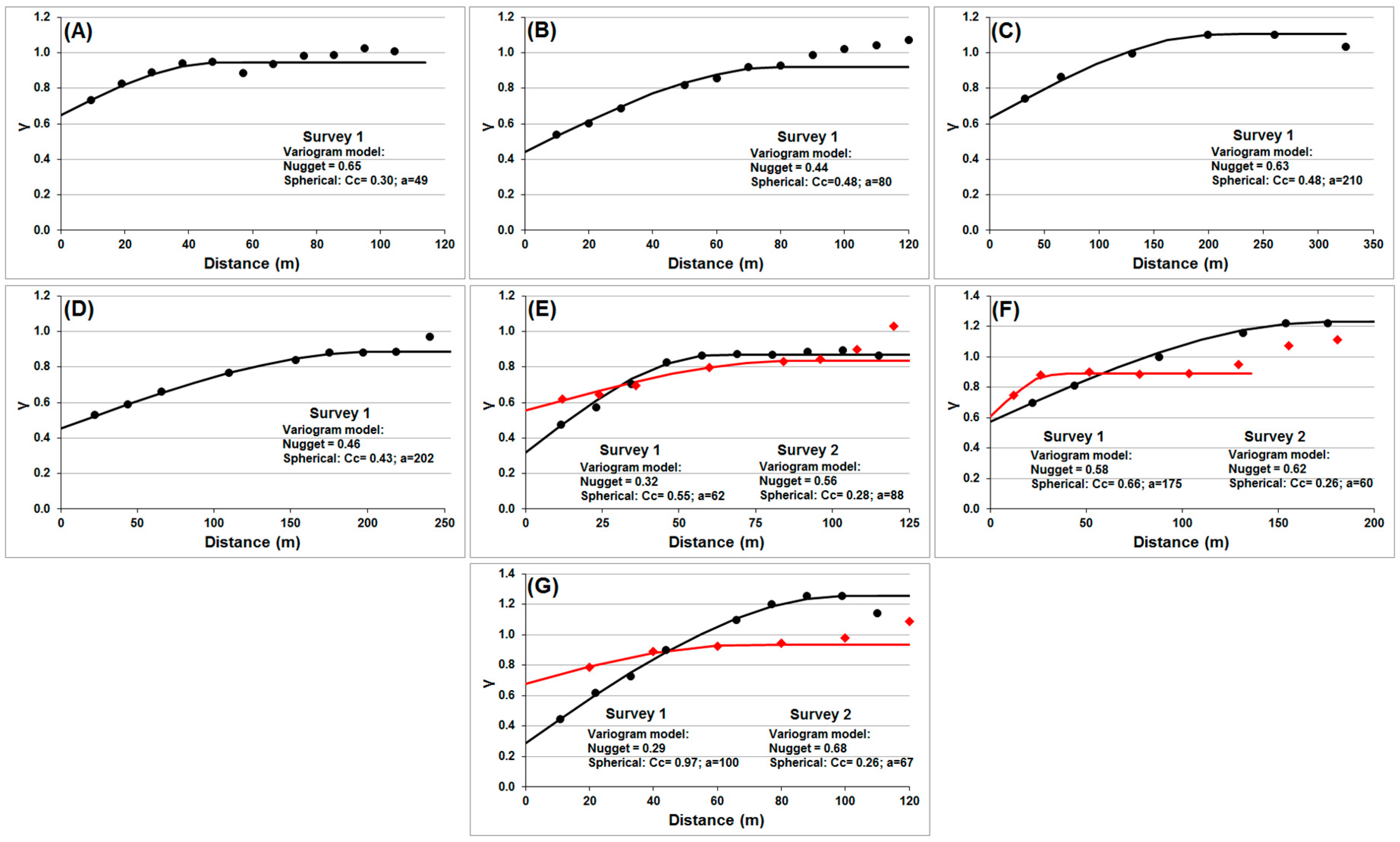
Interpolated degassing maps were elaborated based on experimental variograms that show a spherical structure, presenting different ranges and nugget values (Figure 5) for all the studied lakes, except Branca and Patos lakes. As mentioned previously, the distribution of the sampled points in these two lakes did not show spatial structure, and for this reason, a deterministic method (IDW) was used to develop the maps for those two lakes. The range of influence of each measurement from the neighbors for the different surveys varied between 49 and 210 m (Figure 5).
Figure 5.
Experimental and modeled variograms for the CO2 flux normal scores using the different datasets: (A) Caldeirão West; (B) Caldeirão East; (C) Negra; (D) Funda; (E) Comprida; (F) Rasa; and (G) Lomba lakes during the first (red) and second (black) surveys. Values for Cc (sill) and range (a; in m) are also shown for each variogram.
The CO2 flux surveys made in the Corvo lakes showed particularly low values, with some variations across the water surface (Figure 6A). In the case of CE1, the highest values were found in the margins and in areas with dense masses of macrophytes. In CW1, the values were higher than in CE1, as this lake is in a more evolved stage of eutrophication, with larger areas covered by macrophytes, which implies that it was not possible to clearly measure the lake area.
Figure 6.
E-type CO2 flux maps for the Corvo (A) and Flores lakes: (B) Branca; (C) Patos; (D) Negra; (E) Funda; (F) Comprida; (G) Rasa; and (H) Lomba lakes in first survey (UTM–WGS84, zone 25S; interpolation method—sequential Gaussian simulation (sGs)).
The CO2 flux maps from all the surveys made in the Flores Island lakes showed that higher flux values can be observed in B1 (Figure 6B), mainly in the western part of the lake, and in P1 (Figure 6C) and C2 (Figure 7A), mainly in the deepest part of the lakes when stratification is not occurring. Two of these lakes (Branca (B1) and Patos (P1)) show a dense macrophyte mass that probably enhances the CO2 release due to organic matter decay—a situation similar to another already discussed for the Azorean lakes [38].
Figure 7.
E-type CO2 flux maps for the Flores lakes: (A) Comprida; (B) Rasa; and (C) Lomba lakes in the second survey (UTM–WGS84, zone 25S; interpolation method—sGs).
The degassing maps for the stratified lakes (Figure 6D–H) present their highest values in the margins, as the CO2 is not able to ascend to the surface in the central and deeper areas, a pattern that was also observed in the Azores (Furnas Lake [24]); Santiago and Congro lakes [35]), as well as being reported by several studies worldwide [26,27,29,65,66,67]. However, it should be noted that the degassing values in these lakes are very low, when compared, for example, to ones measured in lakes from the Azores where a CO2 source of volcanic–hydrothermal origin has been identified (Furnas Lake [24]; Furna do Enxofre [36]).
With respect to the lakes for which two surveys were made (Comprida, Rasa, and Lomba) some variation of the CO2 flux was shown when comparing the summer and winter data. The final output in the second survey (Figure 7A–C; Table 3) is much higher than that calculated for first survey (Figure 6F–H), resulting from the influence of the thermal stratification process, which favors the accumulation of CO2 in the hypolimnion. This phenomenon was also suggested by the water chemistry variation along the water column already discussed in Section 4.1 (Figure 3C).
Table 3.
Estimated global CO2 emissions based on two different statistical analyses (GSA—graphical statistical approach; sGs—sequential Gaussian simulation); Lakes: CW1—Caldeirão West, first survey; CE1—Caldeirão East, first survey; B1—Branca, first survey; P1—Patos, first survey; N1—Negra, first survey; F1—Funda, first survey; C1—Comprida, first survey; R1—Rasa, first survey; L1—Lomba, first survey; C2—Comprida, second survey; R2—Rasa, second survey; L2—Lomba second survey; n.d.—not determined.
4.5. CO2 Emissions and Comparison to Other Volcanic Lakes
The total amount of CO2 emitted into the atmosphere from the Corvo lakes ranged between 0.18 t d−1 (CE1) and 0.50 t d−1 (CW1) (Table 3). For comparison purposes, these values were divided by the respective lake area, corresponding to values of 2.57 t km−2 d−1 (CE1) and 4.55 t km−2 d−1 (CW1).
In the case of the lakes studied on Flores Island, the total amount of CO2 emitted into the atmosphere from the studied lakes during the summer ranged between 0.03 t d−1 (P1) and 0.36 t d−1 (F1), while during the winter, the values ranged between 0.12 t d−1 (L2) and 0.32 t d−1 (R2) (Table 3).
The values obtained during the first survey in Comprida (0.19 t d−1), Rasa (0.16 t d−1), and Lomba (0.09 t d−1) lakes were lower than those obtained during the second survey (0.31 t d−1; 0.32 t d−1; and 0.12 t d−1, respectively). The final CO2 output estimated in the current study shows that the two statistical analysis techniques performed are appropriate, providing similar final values (Table 3). The similar results observed using the different methodologies may be relevant for studies where the spatial data depicts lack of structure, and consequently, the geostatistic approaches cannot be applied.
For comparison purposes, these values were divided by the lake areas, corresponding to values in the range of 1.0–6.2 t km−2 d−1 (F1 and C2). These values are close to those estimated for other lakes in the Azores archipelago, where the main source of CO2 is biogenic, e.g., Congro Lake (São Miguel Island; 1.5–7.3 t km−2 d−1), Algar do Carvão Lake (Terceira Island; 1.5–6.7 t km−2 d−1), and Caiado (5.7 t km−2 d−1), Capitão (6.4 t km−2 d−1), and Peixinho (2.9 t km−2 d−1) lakes, all located on Pico island [35,36,38]. Nevertheless, the global fluxes emitted in the studied lakes are significantly lower compared with the CO2 emissions previously measured by Andrade et al. (2016) [24] at Furnas Lake (321 t km−2 d−1) and [36] at Furna do Enxofre Lake (508 t km−2 d−1), both with volcanic signatures.
The overall emissions, when integrated by the lake area, are also similar to values estimated in other volcanic lakes worldwide, namely Lakes Nyos (6.70 t km−2 d−1), Laguna de Botos (7.73 t km−2 d−1), Cuicocha (8.0 t km−2 d−1), and Asososca Managua (9.42 t km−2 d−1) [9], even if the scales are different with respect to surface dimension and depth.
5. Conclusions
The present study is the first to systematically study CO2 degassing in the main volcanic lakes of Corvo and Flores islands (Azores archipelago). Some of the studied lakes have a monomictic character, depicted by the occurrence of a stratified water column during the summer period, which influences CO2 emissions in these water bodies.
The floating accumulation chamber method was used in order to perform CO2 flux measurements along the lakes’ surfaces. Based on the statistical approach (GSA), different populations were identified for the CO2 emitted from the lakes with stratification. The different populations suggest diverse physical processes but with a single biogenic source, which is also supported by the carbon isotopic data (δ13C isotopic data of DIC in the lake waters varied between −21.07‰ and −25.64‰).
The higher CO2 values of Branca, Patos, and Corvo lakes are associated with areas with dense macrophyte mass. However, in the case of lakes where two surveys were made (Comprida, Rasa, and Lomba lakes) the higher CO2 emission values were registered during the coldest period of the year, when full mixing is made possible along the water column and, thus, CO2 is not trapped at the bottom of the lake. When the water column is stratified, the higher flux areas are those along the margins, as the CO2 is not able to ascend to the surface—a feature that has also been observed in other water bodies in the Azores and in the world. Therefore, despite not being surveyed during the winter period, the CO2 emission in lakes Funda and Negra lakes should also be higher during winter, showing a seasonal effect similar to the one observed in Comprida, Rasa, and Lomba lakes.
Regarding the total diffuse CO2 emissions into the atmosphere from the Western Group, these were estimated on the basis of two methodologies, the sGs and the GSA, and the values ranged between 0.18 t d−1 (Caldeirão East) and 0.50 t d−1 (Caldeirão West) for the lakes from Corvo Island and between 0.03 t d−1 (Patos Lake) and 0.36 t d−1 (Funda Lake) for the summer survey of the Flores Island lakes and between 0.12 t d−1 (Lomba Lake) and 0.32 t d−1 (Rasa Lake) for the winter survey of three of the Flores Island lakes.
The results gathered from the present study are useful in developing a better understanding of the carbon budget in active volcanic environments. Moreover, this study is complementary to other studies carried out in the Azores lakes, which are important for the seismic and volcanic activity surveillance in the archipelago.
Comparing the output of CO2 computed in the studied water bodies with other volcanic lakes in the Azores archipelago, is possible to show that the values from this study are lower than the ones calculated for lakes where emissions have a hydrothermal/volcanic signature, [24,36], and are closer to the ones estimated in lakes where CO2 flux presents only a biogenic origin [35,36,38].
The overall CO2 emission for Flores and Corvo lakes corresponds to about 0.01% of the estimated global CO2 emissions from volcanic lakes worldwide (104 × 106 t year−1; [9]).
Supplementary Materials
The following are available online at https://www.mdpi.com/2073-4441/11/3/599/s1: Figure S1: Setting of the Azores archipelago within the North American (NA), Eurasian (Eu), and Nubian (Nu) triple junction. Tectonic structures: MAR—Mid-Atlantic Ridge; EAFZ—East Azores Fracture Zone; GF—Gloria Fault; and TR—Terceira Rift. The Eu–Nu boundary in the Azores, limited by a dotted black line representing the TR main structure (based on Hipólito et al. [68]); Figure S2: Major ion relative water composition represented by means of a piper-type diagram for the Corvo and Flores lakes (CW1—Caldeirão West, first survey; CE1—Caldeirão East, first survey; B1—Branca, first survey; P1—Patos, first survey; N1—Negra, first survey; F1—Funda first survey; C1— Comprida, first survey; R1—Rasa, first survey; L1—Lomba, first survey; C2—Comprida, second survey; R2—Rasa, second survey; and L2—Lomba, second survey). The sampling took place in July 2016 (survey 1) and March 2017 (survey 2); Table S1: Chemical data (averages) collected in the Corvo and Flores lake profiles performed along the water column: main variables (temperature, pH, and electrical conductivity), major ion composition, and SiO2 content (n.d.—not detected). Lakes: CW1—Caldeirão West, first survey; CE1—Caldeirão East, first survey; B1—Branca, first survey; P1—Patos, first survey; N1—Negra, first survey; F1—Funda, first survey; C1—Comprida, first survey; R1—Rasa, first survey; L1—Lomba, first survey; C2—Comprida, second survey; R2—Rasa, second survey; and L2—Lomba, second survey. The surveys were carried out in July 2016 (survey 1) and March 2017 (survey 2).
Author Contributions
C.A., J.V.C., and F.V. designed the investigation; C.A. collected data in field and in the laboratory, and performed the data processing and analysis as well as wrote most of the manuscript; J.V.C. and F.V. collaborated on the original draft preparation; C.A., J.V.C., F.V., and R.C. revised the paper; all authors have read and approved the manuscript.
Funding
César Andrade is supported by a PhD Grant from Fundação para a Ciência e a Tecnologia (SFRH/BD/101962/2014).
Acknowledgments
The authors are grateful for the comments of the reviewers and the editor, which helped to improve the original version of the manuscript.
Conflicts of Interest
The authors declare no conflict of interest.
References
- Verpoorter, C.; Kutser, T.; Seekell, A.D.; Tranvik, L.J. A global inventory of lakes based on high-resolution satellite imagery. Geophys. Res. Lett. 2014, 41, 6396–6402. [Google Scholar] [CrossRef]
- Meybeck, M. Global distribution of lakes. In Physics and Chemistry of Lakes; Lerman, A., Imboden, D.M., Gat, J.R., Eds.; Springer: Berlin, Germany, 1995; pp. 1–35. [Google Scholar]
- Delmelle, P.; Bernar, A.; Kusakabe, M.; Fischer, T.P.; Takano, B. Geochemistry of the magmatic-hydrotermal system of Kawah Ijen volcano, East Java, Indonesia. J. Volcanol. Geotherm. Res. 2000, 97, 31–53. [Google Scholar] [CrossRef]
- Rowe, G.L.J.; Ohsawa, S.; Takano, B.; Brantley, S.L.; Fernandez, J.F.; Barquero, J. Using crater lake chemistry to predict volcanic activity at Poás volcano, Costa Rica. Bull. Volcanol. 1992, 54, 494–503. [Google Scholar] [CrossRef]
- Simkin, T.; Sieber, L. Volcanoes of the World, 2nd ed.; Geoscience Press: Tucson, AZ, USA, 1994. [Google Scholar]
- Pasternack, G.B.; Varekamp, J.C. Volcanic lake systematics I. Physical constraints. Bull Volcanol. 1997, 58, 528–538. [Google Scholar] [CrossRef]
- Delmelle, P.; Bernard, A. Downstream composition changes of acidic volcanic waters discharged into the Banyupahit stream, Ijen caldera, Indonesia. J. Volcanol. Geotherm. Res. 2000, 97, 55–75. [Google Scholar] [CrossRef]
- Rouwet, D.; Tassi, F.; Mora-Amador, R.A.; Sandri, L.; Chiarini, V. Past, present and future of volcanic lake monitoring. J. Volcanol. Geotherm. Res. 2014, 272, 78–97. [Google Scholar] [CrossRef]
- Pérez, N.M.; Hernández, P.A.; Padilla, G.; Nolasco, D.; Barrancos, J.; Melián, G.; Padrón, E.; Dionis, S.; Calvo, D.; Rodríguez, F.; et al. Global CO2 emission from volcanic lakes. Geology 2011, 39, 235–238. [Google Scholar] [CrossRef]
- Burton, M.R.; Sawyer, G.M.; Granieri, D. Deep carbon emissions from volcanoes. Rev. Mineral. Geochem. 2013, 75, 323–354. [Google Scholar] [CrossRef]
- Christenson, B.; Németh, K.; Rouwet, D.; Tassi, F.; Vandemeulebrouck, J.; Varekamp, J.C. Volcanic Lakes. In Volcanic Lakes, Advances in Volcanology; Rouwet, D., Christenson, B., Tassi, F., Vandemeulebrouck, J., Eds.; Springer: Heidelberg, Germany, 2015; pp. 1–20. [Google Scholar]
- Varekamp, J.C. The chemical composition and evolution of volcanic lakes. In Volcanic Lakes, Advances in Volcanology; Rouwet, D., Christenson, B., Tassi, F., Vandemeulebrouck, J., Eds.; Springer-Verlag: Berlin, Germany, 2015. [Google Scholar]
- Baubron, J.C.; Allard, P.; Sabroux, J.; Tedesco, D.; Toutain, J.P. Soil gas emanations as precursory indicators of volcanic eruptions. J. Geol. Soc. Lond. 1991, 148, 571–576. [Google Scholar] [CrossRef]
- Giggenbach, W.F. Chemical composition of volcanic gases. In Monitoring and Mitigation of Volcano Hazards; Scarpa, R., Tilling, R.I., Eds.; Springer-Verlag: Berlin, Germany, 1996; pp. 221–253. [Google Scholar]
- Delmelle, P.; Stix, J. Volcanic Gases. In Encyclopedia of Volcanoes; Sigurdsson, H., Ed.; American Press: Beirut, Lebanon, 2000; pp. 803–815. [Google Scholar]
- Giggenbach, W.F.; Tedesco, D.; Sulistiyo, Y.; Caprai, A.; Cioni, R.; Favara, R.; Fischer, T.P.; Hirabayashi, J.-I.; Korzhinsky, M.; Martini, M.; et al. Evaluation of results from the fourth and fifth IAVCEI field workshops on volcanic gases, Vulcano island, Italy and Java, Indonesia. J. Volcanol. Geotherm. Res. 2001, 108, 157–172. [Google Scholar] [CrossRef]
- Toutain, J.P.; Baubron, J.C.; Bronec, J.; Allard, P.; Briole, P.; Marty, B.; Miele, G.; Tedesco, D.; Luongo, G. Continuous monitoring of distal gas emanations at Vulcano, Southern Italy. Bull. Volcanol. 1992, 54, 147–155. [Google Scholar] [CrossRef]
- Baubron, J.C.; Allard, P.; Toutain, J.P. Diffuse volcanic emissions of carbon dioxide from Vulcano Island, Italy. Nature 1990, 344, 51–53. [Google Scholar] [CrossRef] [PubMed]
- Pérez, N.M.; Wakita, H.; Lolok, D.; Patia, H.; Talai, B.; Mckee, C.O. Anomalous soil gas CO2 concentrations and relation to seismic activity at Rabaul caldera, Papua New Guinea. Geogaceta 1996, 20, 1000–1003. [Google Scholar]
- Aiuppa, A.; Caleca, A.; Federico, C.; Gurrieri, S.; Valenza, M. Diffuse degassing of carbon dioxide at Somma-Vesuvius volcanic complex (Southern Italy) and its relation with regional tectonics. J. Volcanol. Geotherm. Res. 2004, 133, 55–79. [Google Scholar] [CrossRef]
- Werner, C.; Cardellini, C. Comparison of carbon dioxide emissions with fluid upflow, chemistry, and geologic structures at the Rotorua geothermal system, New Zealand. Geothermics 2006, 35, 221–238. [Google Scholar] [CrossRef]
- Toutain, J.P.; Sortino, F.; Baubron, J.C.; Richon, O.; Surono, S.S.; Nonell, A. Structure and CO2 budget of Merapi volcano during inter-eruptive periods. Bull. Volcanol. 2009, 71, 815–826. [Google Scholar] [CrossRef]
- Mazot, A.; Schwandner, F.M.; Christenson, B.; de Ronde, C.E.J.; Inguaggiato, S.; Scott, B.; Graham, D.; Britten, K.; Keeman, J.; Tan, K. CO2 discharge from the bottom of volcanic Lake Rotomahana, New Zealand. Geochem. Geophys. Geosyst. 2014, 15, 577–588. [Google Scholar] [CrossRef]
- Andrade, C.; Viveiros, F.; Cruz, J.V.; Coutinho, R.; Silva, C. Estimation of the CO2 flux from Furnas Volcanic Lake (São Miguel, Azores). J. Volcanol. Geotherm. Res. 2016, 315, 51–64. [Google Scholar] [CrossRef]
- Sun, Y.; Guo, Z.; Liu, J.; Du, J. CO2 diffuse emission from maar lake: An example in Changbai volcanic field, NE China. J. Volcanol. Geotherm. Res. 2017, 349, 146–162. [Google Scholar] [CrossRef]
- Kusakabe, M.; Ohba, T.; Issa, Y.Y.; Satake, H.; Ohizumi, T.; Evans, W.C.; Tanyileke, G.; Kling, G.W. Evolution of CO2 in LakesMonoun and Nyos, Cameroon, before and during controlled degassing. Geochem. J. 2008, 42, 93–118. [Google Scholar] [CrossRef]
- Padrón, E.; Hernández, P.A.; Toulkeridis, T.; Pérez, N.M.; Marrero, R.; Melián, G.; Virgili, G.; Notsu, K. Diffuse CO2 emission rate from Pululahua and the lake-filled Cuicocha calderas, Ecuador. J. Volcanol. Geotherm. Res. 2008, 176, 163–169. [Google Scholar] [CrossRef]
- Mazot, A.; Taran, Y. CO2 flux from the volcanic Lake of El Chichon (Mexico). Geofis. Int. 2009, 48, 73–83. [Google Scholar]
- Hernández, P.A.; Mori, T.; Padrón, E.; Sumino, H.; Pérez, N. Carbon dioxide emission from Katanuma volcanic lake, Japan. Earth Planets Space 2011, 63, 1151–1156. [Google Scholar] [CrossRef]
- Mazot, A.; Rouwet, D.; Taran, Y.; Inguaggiato, Y.; Varley, N. CO2 and He degassing at El Chichon volcano, Chiapas, Mexico: Gas flux, origin and relationship with local and regional tectonics. Bull. Volcanol. 2011, 73, 423–441. [Google Scholar] [CrossRef]
- Caudron, C.; Mazot, A.; Bernard, A. Carbon dioxide dynamics in Kelud volcanic lake. J. Geophys. Res. Solid Earth 2012, 117. [Google Scholar] [CrossRef]
- Chiodini, G.; Tassi, F.; Caliro, S.; Chiarabba, C.; Vaselli, O.; Rouwet, D. Time-dependent CO2 variations in Lake Albano associated with seismic activity. Bull. Volcanol. 2012, 74, 861–871. [Google Scholar] [CrossRef]
- Arpa, M.C.; Hernández, P.A.; Padrón, E.; Reniva, P.; Padilla, G.D.; Bariso, E.; Melián, G.V.; Barrancos, J.; Nolasco, D.; Calvo, D.; et al. Geochemical evidence of magma intrusion inferred from diffuse CO2 emissions and fumaroles plume chemistry: The 2010–2011 volcanic unrest at Taal Volcano, Philippines. Bull. Volcanol. 2013, 75, 747. [Google Scholar] [CrossRef]
- Mazot, A.; Bernard, A. Lakes. In Volcanic Lakes, Advances in Volcanology; Rouwet, D., Christenson, B., Tassi, F., Vandemeulebrouck, J., Eds.; Springer-Verlag: Heidelberg, Germany, 2015; pp. 341–354. [Google Scholar]
- Andrade, C.; Viveiros, F.; Cruz, J.V.; Branco, R.; Moreno, L.; Silva, C.; Coutinho, R.; Pacheco, J. Diffuse CO2 flux emission in two maar crater lakes from São Miguel (Azores, Portugal). J. Volcanol. Geotherm. Res. 2019, 369, 188–202. [Google Scholar] [CrossRef]
- Andrade, C.; Viveiros, F.; Cruz, J.V.; Coutinho, R.; Branco, R. CO2 flux from two lakes in volcanic caves in the Azores (Portugal). Appl. Geochem. 2019, in press. [Google Scholar] [CrossRef]
- Melián, G.; Somoza, L.; Padrón, E.; Pérez, N.M.; Hernández, P.A.; Sunino, H.; Forjaz, V.H.; França, Z. Surface CO2 emission and rising bubble plumes from degassing of crater lakes in São Miguel Island, Azores. In Geochemistry and Geophysics of Active Volcanic Lakes; Ohba, T., Capaccioni, B., Caudron, C., Eds.; Geological Society: London, UK, 2016. [Google Scholar]
- Andrade, C.; Cruz, J.V.; Viveiros, F.; Branco, R.; Coutinho, R. CO2 degassing from Pico Island (Azores, Portugal) volcanic lakes. Limnologica 2019, in press. [Google Scholar]
- Searle, R. Tectonic pattern of the Azores spreading centre and triple junction. Earth Planet. Sci. Lett. 1980, 51, 415–434. [Google Scholar] [CrossRef]
- Needham, H.; Francheteau, J. Some characteristics of the rift valhey in the Atlantic Ocean near 36°48′ North. Earth Planet. Sci. Lett. 1974, 22, 29–43. [Google Scholar] [CrossRef]
- Pacheco, J.M.; Ferreira, T.; Queiroz, G.; Wallenstein, N.; Coutinho, R.; Cruz, J.V.; Pimentel, A.; Silva, R.; Gaspar, J.L.; Goulart, C. Notas sobre a geologia do arquipélago dos Açores. In Geologia de Portugal; Dias, R., Araújo, A., Terrinha, P., Kullberg, J.C., Eds.; Escolar Editora: Lisboa, Portugal, 2013; pp. 595–690. [Google Scholar]
- Gaspar, J.L.; Queiroz, G.; Ferreira, T.; Medeiros, A.R.; Goulart, C.; Medeiros, J. Earthquakes and volcanic eruptions in the Azores region: Geodynamic implications from major historical events and instrumental seismicity. In Volcanic Geology of S. Miguel Island (Azores Archipelago); Gaspar, J.L., Guest, J.E., Duncan, A.M., Barriga, F.J.A.S., Chester, D.K., Eds.; Geological Society: London, UK, 2015. [Google Scholar]
- Dias, J.L.F. Geologia e tectónica da ilha do Corvo (Açores-Portugal): Contributos para o ordenamento do espaço físico. Master’s Thesis, Universidade de Coimbra, Coimbra, Portugal, 2001. [Google Scholar]
- França, Z.; Cruz, J.V.; Nunes, J.C.; Forjaz, V.H. Geologia dos Açores: Uma Perspetiva Actual. Açoreana 2003, 10, 11–140. [Google Scholar]
- Azevedo, J.M. Geologia e hidrogeologia da ilha das Flores, Açores. Ph.D. Thesis, Universidade de Coimbra, Coimbra, Portugal, 1998. [Google Scholar]
- AHA-DRA. Plano de Gestão da Região Hidrográfica dos Açores—RH9; Versão para consulta pública; Secretaria Regional do Ambiente e do Mar: Ponta Delgada, Portugal, 2015. (In Portuguese) [Google Scholar]
- Cruz, J.V.; Antunes, P.; França, Z.; Nunes, J.C.; Amaral, C. Volcanic lakes from the Azores archipelago (Portugal): Geological setting and geochemical characterization. J. Volcanol. Geotherm. Res. 2006, 156, 135–157. [Google Scholar] [CrossRef]
- APHA-AWWA-WPCF. Standard Methods for the Examination of Water and Wastewater; American Public Health Association: Washington, DC, USA, 1985. [Google Scholar]
- IAEA. Sampling Procedures for Isotope Hydrology; Water Resources Programe: Vienna, Austria, 2017; pp. 3–6. [Google Scholar]
- Clark, I.D.; Fritz, P. Environmental isotopes in Hydrology; Lewis Publishers: New York, NY, USA, 1997. [Google Scholar]
- Chiodini, G.; Cioni, R.; Guidi, M.; Raco, B.; Marini, L. Soil CO2 flux measurements in volcanic and geothermal areas. Appl. Geochem. 1998, 13, 543–552. [Google Scholar] [CrossRef]
- Andrade, C. Emissão de CO2 em lagos vulcânicos dos Açores: quantificação e implicações hidrogeoquímicas. Master’s Thesis, Universidade dos Açores, Ponta Delgada, Portugal, 2014. [Google Scholar]
- West Systems. Portable diffuse flux meter with LI-COR CO2 detector Handbook; West Systems Srl: Pontedera, Italy, 2014. [Google Scholar]
- Yang, R.; Xu, Z.; Liu, S.; Xu, J.Y. Daily pCO2 and CO2 flux variations in a subtropical mesotrophic shallow lake. Water Res. 2019, 153, 29–38. [Google Scholar] [CrossRef] [PubMed]
- Liu, H.; Zhang, Q.; Katul, G.G.; Cole, J.J.; Chapin, F.S., III; MacIntyre, S. Large CO2 effluxes at night and during synoptic weather events significantly contribute to CO2 emissions from a reservoir. Environ. Res. Lett. 2016, 11, 064001. [Google Scholar] [CrossRef]
- Cardellini, C.; Chiodini, G.; Frondini, F. Application of stochastic simulation to CO2 flux from soil. Mapping and quantification of gas release. J. Geophys. Res. Solid Earth 2003, 108, 2425. [Google Scholar] [CrossRef]
- Sinclair, A.J. Selection of threshold values in geochemical data using probability graphs. J. Geochem. Explor. 1974, 3, 129–149. [Google Scholar] [CrossRef]
- Viveiros, F.; Cardellini, C.; Ferreira, T.; Caliro, S.; Chiodini, G.; Silva, C. Soil CO2 emissions at Furnas Volcano, São Miguel Island, Azores archipelago: Volcano monitoring perspectives, geomorphologic studies, and land use planning application. J. Geophys. Res. 2010, 115, 1–17. [Google Scholar] [CrossRef]
- Viveiros, F.; Marcos, M.; Faria, C.; Gaspar, J.L.; Ferreira, T.; Silva, C. Soil CO2 degassing path along volcano-tectonic structures in the Pico-Faial-São Jorge Islands (Azores Archipelago, Portugal). Front. Earth Sci. 2017, 5, 50. [Google Scholar] [CrossRef]
- Deutsch, C.V.; Journel, A.G. GSLIB: Geostatistical Software Library and User Guide, 2nd ed.; Oxford University: Oxford, UK, 1998. [Google Scholar]
- Landim, P.M.B. Análise Estatística de Dados Geológicos, 2nd ed.; Editora-UNESP: São Paulo, Brazil, 2003. [Google Scholar]
- Rodrigues, R.J.R. Hidrologia de Ilhas Vulcânicas. Master’s Thesis, Laboratório Nacional de Engenharia Civil, Lisboa, Portugal, 1995. [Google Scholar]
- Clark, I. Groundwater Geochemistry and Isotopes; CRC Press: Boca Raton, London, 2015. [Google Scholar]
- Cartigny, P.; Harris, J.W.; Javoy, M. Diamond genesis, mantle fractionations and mantle nitrogen content: A study of δ13C–N concentrations in diamonds. Earth Planet. Sci. Lett. 2001, 185, 85–98. [Google Scholar] [CrossRef]
- Kantha, L.H.; Freeth, S.J. A numerical simulation of the evolution of temperature and CO2 stratification in Lake Nyos since the 1986 disaster. J. Geophys. Res. Solid Earth 1996, 101, 8187–8203. [Google Scholar] [CrossRef]
- Rantakari, M.; Kortelainen, P. Interannual variation and climatic regulation of the CO2 emission from large boreal lakes. Glob. Change Biol. 2005, 11, 1368–1380. [Google Scholar] [CrossRef]
- Schmid, M.; Halbwachs, M.; Wüest, A. Simulation of CO2 concentrations, temperature, and stratification in Lake Nyos for different degassing scenarios. Geochem. Geophys. Geosyst. 2006, 7, Q06019. [Google Scholar] [CrossRef]
- Hipólito, A.; Madeira, J.; Carmo, R.; Gaspar, J.L. Neotectonics of Graciosa Island (Azores): A contribution to seismic hazard assessment of a volcanic area in a complex geodynamic setting. Ann. Geophys. 2014, 56, 6. [Google Scholar]
© 2019 by the authors. Licensee MDPI, Basel, Switzerland. This article is an open access article distributed under the terms and conditions of the Creative Commons Attribution (CC BY) license (http://creativecommons.org/licenses/by/4.0/).






