A Multi-Index Analysis Approach to Heavy Metal Pollution Assessment in River Sediments in the Ponce Enríquez Area, Ecuador
Abstract
1. Introduction
2. Materials and Methods
2.1. Sample Collection
2.2. Sample Preparation and Analysis
3. Results
3.1. Sediment Evaluation
3.2. Enrichment Factor (EF)
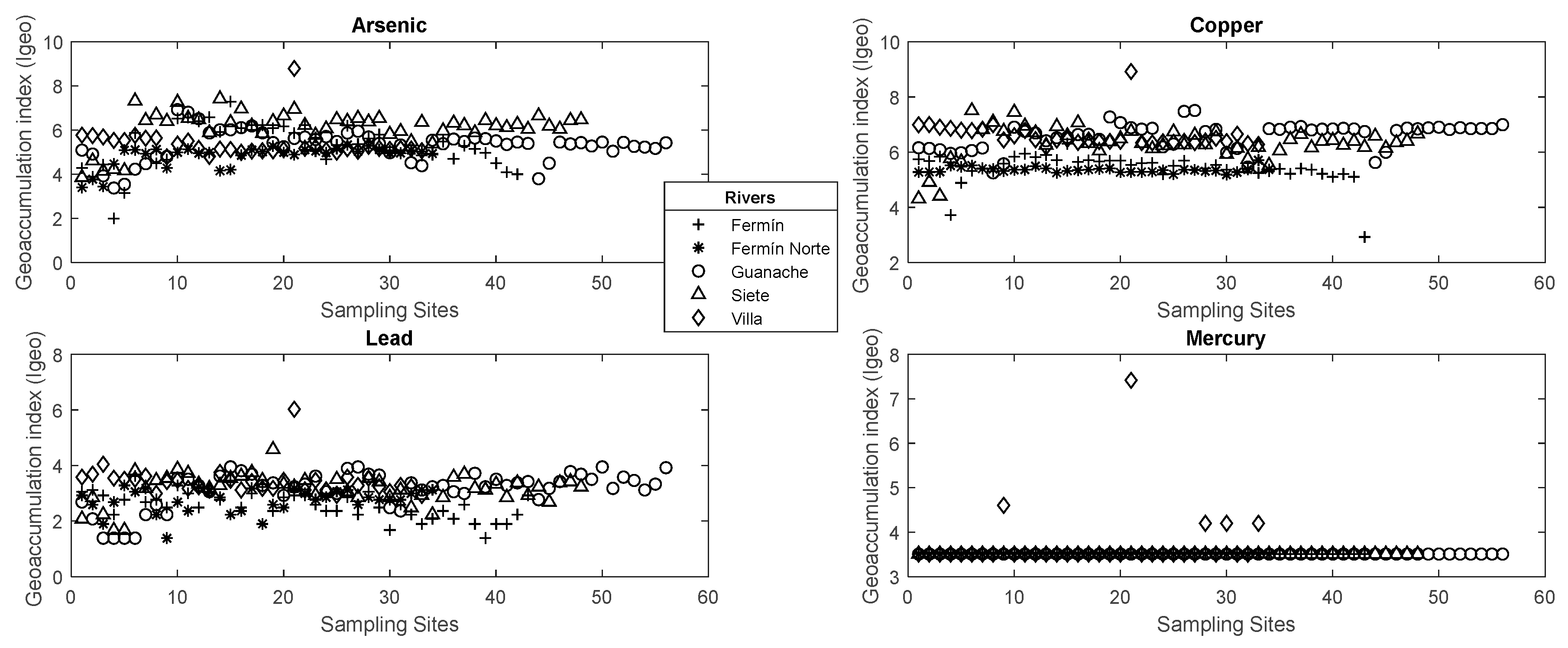
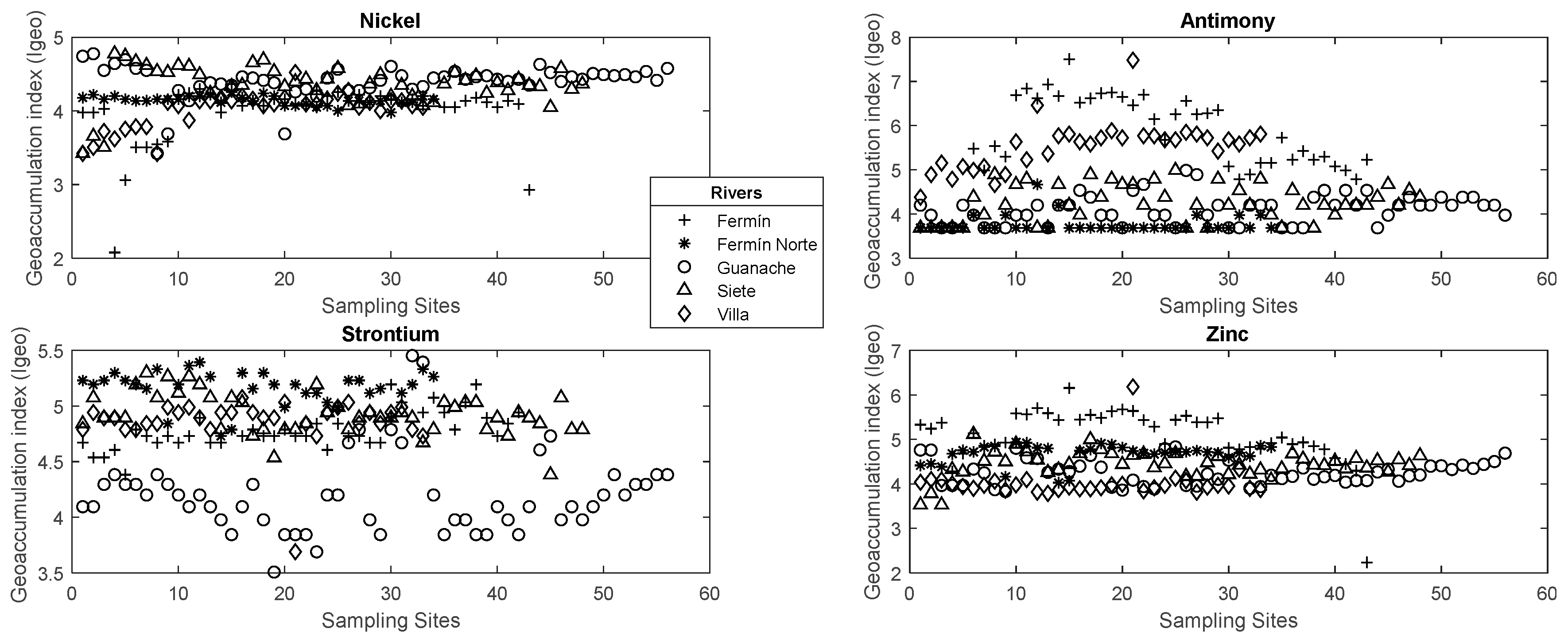
3.3. Geo-Accumulation Index (Igeo)
3.4. Contamination Factor (Cf)
3.5. Pollution Load Index (PLI)
4. Discussion
5. Conclusions
Supplementary Materials
Author Contributions
Funding
Acknowledgments
Conflicts of Interest
References
- Appleton, J.; Williams, T.; Orbea, H.; Carrasco, M. Fluvial contamination associated with artisanal gold mining in the Ponce Enriquez, Portovelo-Zaruma and Nambija areas. Ecuador. Water Air Soil Pollut. 2001, 131, 19–39. [Google Scholar] [CrossRef]
- Valentukevičienė, M.; Bagdžiūnaitė-Litvinaitienė, L.; Chadyšas, V.; Litvinaitis, A. Evaluating the Impacts of Integrated Pollution on Water Quality of the Trans-Boundary Neris (Viliya) River. Sustainability 2018, 10, 4239. [Google Scholar] [CrossRef]
- Ecuadorian Institute of Standardization NTE INEN 1 108:2011. Agua Potable. Requisitos. 2011. Available online: https://law.resource.org/pub/ec/ibr/ec.nte.1108.2011.pdf (accessed on 9 March 2019).
- Ramírez Requelme, M.E.; Ramos, J.F.F.; Angélica, R.S.; Brabo, E.S. Assessment of Hg-contamination in soils and stream sediments in the mineral district of Nambija, Ecuadorian Amazon (example of an impacted area affected by artisanal gold mining). Appl. Geochem. 2003, 18, 371–381. [Google Scholar] [CrossRef]
- Velásquez-López, P.C.; Veiga, M.M.; Hall, K. Mercury balance in amalgamation in artisanal and small-scale gold mining: Identifying strategies for reducing environmental pollution in Portovelo-Zaruma, Ecuador. J. Clean. Prod. 2010, 18, 226–232. [Google Scholar] [CrossRef]
- Gonçalves, A.O.; Marshall, B.G.; Kaplan, R.J.; Moreno-Chavez, J.; Veiga, M.M. Evidence of reduced mercury loss and increased use of cyanidation at gold processing centers in southern Ecuador. J. Clean. Prod. 2017, 165, 836–845. [Google Scholar] [CrossRef]
- Sandoval, F. Small-Scale Mining in the Ecuador, Mining, Minerals and Sustainable Development. 2001. Available online: http://pubs.iied.org/pdfs/G00720.pdf (accessed on 20 February 2019).
- Mendieta, G.; Wilfrido, R. Plan de Desarrollo y Ordenamiento Territorial del cantón Camilo Ponce Enríquez Fase de Actualización 2014–2015. 2016. Available online: http://dspace.ucuenca.edu.ec/handle/123456789/23513 (accessed on 20 February 2019).
- Palapa, T.; Maramis, A. Heavy Metals in Water of Stream Near an Amalgamation Tailing Ponds in Talawaan—Tatelu Gold Mining, North Sulawesi, Indonesia. Procedia Chem. 2015, 14, 428–436. [Google Scholar] [CrossRef]
- Carrillo, G.R.; Astudillo, A.A. Evaluación de las emisiones de vapor mercurial en procesos de amalgamado artesanal: Caso Cantón Ponce Enríquez, Provincia del Azuay. Maskana 2011, 2, 2. Available online: http://dspace.ucuenca.edu.ec/bitstream/123456789/5422/1/MASKANA%20si7285%20(6).pdf (accessed on 20 February 2019). [CrossRef]
- Prodeminca. Monitoreo Ambiental de las áreas mineras en el sur del Ecuador; Prodeminca: Quito, Ecuador, 1998; ISBN 997840872X. [Google Scholar]
- Ministerio del Ambiente y Ministerio de Energía y Minas. Examen Especial al Control de Explotación Minera en las Cuencas de los ríos Santa Rosa, Caluguro, Tenguel y Siete; A cargo de la Dirección Regional de Minería de El Oro; Ministerio del Ambiente y Ministerio de Energía y Minas: Quito, Ecuador, 2003. [Google Scholar]
- Ackerman, F. A procedure for correcting the grain size effect in heavy metal analyses of estuarine and coastal sediments. Environ. Technol. Lett. 1980, 1, 518–527. [Google Scholar] [CrossRef]
- Moore, F.; Forghani, G.; Qishlaqi, A. Assessment of heavy metal contamination in water and surface sediments of the Maharlu saline lake, SW Iran. Iran. J. Sci. Technol. Trans. 2009, 33, 43–55. [Google Scholar]
- Khalil, A.; Hanich, L.; Bannari, A.; Zouhri, L.; Pourret, O.; Hakkou, R. Assessment of soil contamination around an abandoned mine in a semi-arid environment using geochemistry and geostatistics: Pre-work of geochemical process modeling with numerical models. J. Geochem. Explor. 2013, 125, 117–129. [Google Scholar] [CrossRef]
- Banco Central del Ecuador, Reporte de Minería. 2018. Available online: https://contenido.bce.fin.ec/documentos/Estadisticas/Hidrocarburos/ReporteMinero012018.pdf (accessed on 20 February 2019).
- Peña Carpio, E.; Menéndez-Aguado, J.M. Environmental study of gold mining tailings in the Ponce Enriquez mining area (Ecuador). Dyna 2016, 83, 237–245. [Google Scholar] [CrossRef]
- Sierra, C.; Ruiz-Barzola, O.; Menéndez, M.; Demey, J.; Vicente-Villardón, J. Geomechanical interactions study in surface river sediments at an artisanal mining area by means of Conical (Manova)-Biplot. J. Geochem. Explor. 2017, 175, 72–81. [Google Scholar] [CrossRef]
- Canadian Council of Ministers. Canadian Sediment Quality Guidelines for the Protection of Aquatic Life. 1999. Available online: https: http://ceqg-rcqe.ccme.ca/en/index.html (accessed on 20 February 2019).
- Burton, G.A.; Kumagai, M.; Hashitani, H.; Tanimoto, R. Sediment quality criteria in use around the world. Jpn. J. Limnol. 2004, 65, 117–134. [Google Scholar]
- Barbieri, M. The Importance of Enrichment Factor (EF) and Geoaccumulation Index (Igeo) to Evaluate the Soil Contamination. Geol. Geophys. 2016, 5, 237. [Google Scholar] [CrossRef]
- Gupta, S.; Vinod, J.; Matic, N.; Kapralova, V.; Solanki, J. Assessment of Geo-Accumulation Index of Heavy Metal and Source of Contamination by Multivariate Factor Analysis. Int. J. Hazard. Mater. 2014, 18, 18–22. [Google Scholar]
- Ji, H.; Li, H.; Zhang, Y.; Ding, H.; Gao, Y.; Xing, Y. Distribution and risk assessment of heavy metals in overlying water, porewater, and sediments of Yongding River in a coal mine brownfield. J. Soils Sediments 2018, 18, 624–639. [Google Scholar] [CrossRef]
- Tomlinson, D.C.; Wilson, J.G.; Harris, C.R.; Jeffrey, D.W. Problems in the assessment of heavy-metal levels in estuaries and the formation of a pollution index. Helgol. Mar. Res. 1980, 33, 566–575. [Google Scholar] [CrossRef]
- Adebowale, K.O.; Agunbide, F.O.; Olu-Owolabi, B. Trace metal concentration, site variations and partitioning pattern in water and bottom sediments from coastal area: A case study of Ondo Coast, Nigeria. Environ. Res. J. 2009, 3, 46–59. [Google Scholar]
- Jordá, B.R.; Romero, P.; Peña Carpio, E.; Jiménez, S.; Garcés, D.; Chang, R. Análisis preliminar de la estabilidad de escombreras y balsa de relaves en el Distrito Minero Ponce Enríquez, Ecuador. In Proceedings of the 15th LACCEI International Multi-Conference for Engineering, Education, and Technology: “Global Partnerships for Development and Engineering Education”, Boca Raton, FL, USA, 19–21 July 2017. [Google Scholar]
- Chiaradia, M.; Ulianov, A.; Kouzmanov, K.; Beate, B. Why large porphyry Cu deposits like high Sr/Y mASGMas? Sci. Rep. 2012, 2, 685. [Google Scholar] [CrossRef]
- Chiaradia, M.; Fontboté, L. Gold Rich VHMS deposits of the western cordillera of Ecuador: Mineralogy, lead isotope and metal geochemistry. In VMS Deposits of Latin America; Geological Association of Canada: St. John’s, NL, Canada, 2000; pp. 333–339. [Google Scholar]
- Wang, S.; Mulligan, C.N. Occurrence of Arsenic Contamination in Canada: Sources, Behavior and Distribution. Sci. Total Environ. 2006, 366, 701–721. [Google Scholar] [CrossRef]
- Hinton, J.J.; Veiga, M.M.; Veiga, A.; Tadeu, C. Clean artisanal gold mining: A utopian approach? J. Clean. Prod. 2003, 11, 99–115. [Google Scholar] [CrossRef]
- Hinton, J.J.; Veiga, M.M.; Beinhoff, C. Women, mercury and artisanal gold mining: Risk communication, and mitigation. J. Phys. 2003, 107, 617–620. [Google Scholar] [CrossRef]
- Veiga, M.M.; Marshall, B.G. Teaching artisanal miners about mercury pollution using songs. Extr. Ind. Soc. 2017, 4, 842–845. [Google Scholar] [CrossRef]









| River | Length (km) | Length Considered during Water Sampling Campaign (km) | Altitude Variation (m) | Number of Sampling Sites |
|---|---|---|---|---|
| Siete | 49.5 | 10 | 141 | 48 |
| Guanache | 5.6 | 5.6 | 548 | 56 |
| Fermín | 9.7 | 9.7 | 158 | 43 |
| Fermín Norte | - | - | - | 34 |
| Villa | 3.6 | 3.6 | 211 | 33 |
| Values | Quality |
|---|---|
| EF < 2 | Deficiency to minimal enrichment |
| 2 < EF < 5 | Moderate enrichment |
| 5 < EF < 20 | Significant enrichment |
| 20 < EF < 40 | Very high enrichment |
| Values | Quality |
|---|---|
| 0 | No pollution |
| 1 | Background pollution |
| >1 | Elevated pollution level |
| Element | Cu | Pb | Zn | Ni | As | Cd | Sb | Sr | Hg |
|---|---|---|---|---|---|---|---|---|---|
| ISQG (ppm) | 18.7 | 35 | 123 | 21 | 5.9 | 0.7 | 2 | 2 | 0.17 |
| River Siete | 100% | 4% | 63% | 100% | 100% | 8% | 81% | 100% | 2% |
| River Guanache | 100% | 9% | 25% | 100% | 100% | 13% | 86% | 100% | 0% |
| River Fermín | 100% | 0% | 88% | 97% | 100% | 0% | 35% | 100% | 6% |
| River Villa | 100% | 6% | 3% | 100% | 100% | 3% | 100% | 100% | 36% |
| River | Elements | Cu | Pb | Zn | Ni | As | Cd | Sb | Sr | Hg |
|---|---|---|---|---|---|---|---|---|---|---|
| MDL (ppm) | 1 | 3 | 1 | 1 | 2 | 0.5 | 3 | 1 | 1 | |
| ISQG (ppm) | 18.7 | 35 | 123 | 21 | 5.9 | 0.7 | 2 | 2 | 0.17 | |
| Siete | mean | 483.7 | 20.3 | 132.5 | 5960.9 | 842.8 | 0.73 | 6.4 | 20.61 | 1.00 |
| SD | 258.9 | 11.0 | 37.4 | 14.4 | 506.9 | 0.3 | 3.1 | 4,74 | 0.14 | |
| Guanache | mean | 592.5 | 21.6 | 110.2 | 62.6 | 383.6 | 0.9 | 5.2 | 10.79 | under MDL |
| SD | 256.0 | 10.1 | 32.0 | 11.8 | 273.2 | 0.3 | 2.4 | 5.37 | - | |
| Fermín | mean | 160.0 | 12.9 | 164.2 | 47.4 | 205.4 | under MDL | 4.0 | 26.35 | under MDL |
| SD | 17.3 | 4.6 | 31.6 | 2.9 | 68.80 | - | 2.1 | 3.88 | - | |
| Villa | mean | 687.8 | 31.0 | 98.7 | 42.6 | 589.03 | 9.3 | 23.0 | 19.73 | 1.5 |
| SD | 899.0 | 50.6 | 112.6 | 9.7 | 1671.9 | 1.6 | 21.3 | 3.03 | 0.8 |
© 2019 by the authors. Licensee MDPI, Basel, Switzerland. This article is an open access article distributed under the terms and conditions of the Creative Commons Attribution (CC BY) license (http://creativecommons.org/licenses/by/4.0/).
Share and Cite
Aguilar Pesantes, A.; Peña Carpio, E.; Vitvar, T.; María Mahamud López, M.; Menéndez-Aguado, J.M. A Multi-Index Analysis Approach to Heavy Metal Pollution Assessment in River Sediments in the Ponce Enríquez Area, Ecuador. Water 2019, 11, 590. https://doi.org/10.3390/w11030590
Aguilar Pesantes A, Peña Carpio E, Vitvar T, María Mahamud López M, Menéndez-Aguado JM. A Multi-Index Analysis Approach to Heavy Metal Pollution Assessment in River Sediments in the Ponce Enríquez Area, Ecuador. Water. 2019; 11(3):590. https://doi.org/10.3390/w11030590
Chicago/Turabian StyleAguilar Pesantes, Alby, Elizabeth Peña Carpio, Tomas Vitvar, Manuel María Mahamud López, and Juan M. Menéndez-Aguado. 2019. "A Multi-Index Analysis Approach to Heavy Metal Pollution Assessment in River Sediments in the Ponce Enríquez Area, Ecuador" Water 11, no. 3: 590. https://doi.org/10.3390/w11030590
APA StyleAguilar Pesantes, A., Peña Carpio, E., Vitvar, T., María Mahamud López, M., & Menéndez-Aguado, J. M. (2019). A Multi-Index Analysis Approach to Heavy Metal Pollution Assessment in River Sediments in the Ponce Enríquez Area, Ecuador. Water, 11(3), 590. https://doi.org/10.3390/w11030590

