Investigating Influence of Hydrological Regime on Organic Matters Characteristic in a Korean Watershed
Abstract
1. Introduction
2. Materials and Methods
2.1. Sampling Sites
2.2. Water Quality Analysis
2.3. Molecular Composition Analysis of DOM
2.4. The SWAT Model Setup and Input Parameters
3. Results and Discussion
3.1. SWAT Model Result
3.2. Water Characteristics
3.3. Organic Matter Characterization
3.3.1. Molecular Weight (MW) Distribution
3.3.2. EEM
3.3.3. XAD
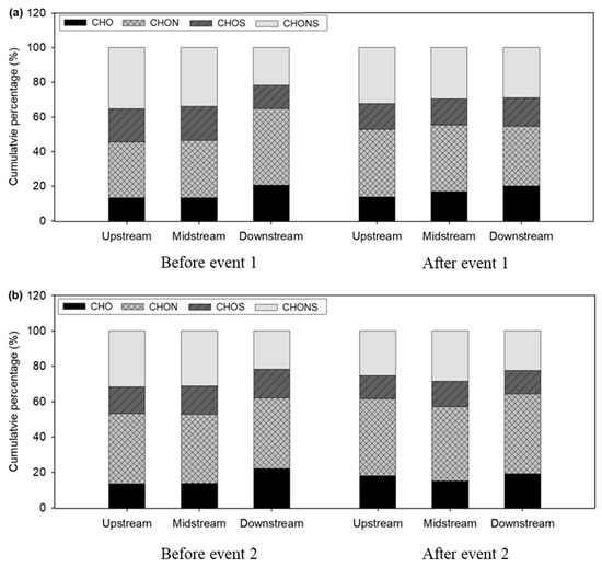
3.3.4. Orbit Trap Mass
3.4. Discussion
4. Conclusions
- (1)
- After rainfall, a large amount of terrestrial DOM flushed into the river. We found that the terrestrial DOM characteristics in the river were maintained until the DOM passed through the river completely.
- (2)
- DOM properties were analyzed by the hydrologic components from the SWAT model. Herein, we found that lateral flow could be the major source of the new organic matter after rainfall.
- (3)
- According to the orbitrap mass spectrometer analysis, the lateral flow transported a large amount of lignin into the river.
Author Contributions
Funding
Conflicts of Interest
References
- Volk, C.J.; Volk, C.B.; Kaplan, L.A. Chemical composition of biodegradable dissolved organic matter in streamwater. Limnol. Oceanogr. 1997, 42, 39–44. [Google Scholar] [CrossRef]
- Kalbitz, K.; Wennrich, R. Mobilization of heavy metals and arsenic in polluted wetland soils and its dependence on dissolved organic matter. Sci. Total Environ. 1998, 209, 27–39. [Google Scholar] [CrossRef]
- Park, J.; Cho, K.H.; Lee, E.; Lee, S.; Cho, J. Sorption of pharmaceuticals to soil organic matter in a constructed wetland by electrostatic interaction. Sci. Total Environ. 2018, 635, 1345–1350. [Google Scholar] [CrossRef] [PubMed]
- Leenheer, J.A.; Croué, J.-P. Peer reviewed: Characterizing aquatic dissolved organic matter. Environ. Sci. Technol. 2003, 37, 18A–26A. [Google Scholar] [CrossRef] [PubMed]
- Park, J.; Chon, K.; Lee, E.; Cho, J. Developing a large-volume preparative method using a handmade HPLC column to fractionate dissolved organic matter. Desalin. Water Treat. 2017, 67, 97–104. [Google Scholar] [CrossRef]
- Guo, L.; Lehner, J.K.; White, D.M.; Garland, D.S. Heterogeneity of natural organic matter from the Chena River, Alaska. Water Res. 2003, 37, 1015–1022. [Google Scholar] [CrossRef]
- Reyes, T.G.; Crisosto, J.M. Characterization of Dissolved Organic Matter in River Water by Conventional Methods and Direct Sample Analysis-Time of Flight-Mass Spectrometry. J. Chem. 2016, 2016, 1537370. [Google Scholar] [CrossRef]
- Nebbioso, A.; Piccolo, A. Molecular characterization of dissolved organic matter (DOM): A critical review. Anal. Bioanal. Chem. 2013, 405, 109–124. [Google Scholar] [CrossRef]
- Imai, A.; Fukushima, T.; Matsushige, K.; Hwan Kim, Y. Fractionation and characterization of dissolved organic matter in a shallow eutrophic lake, its inflowing rivers, and other organic matter sources. Water Res. 2001, 35, 4019–4028. [Google Scholar] [CrossRef]
- Haitzer, M.; Höss, S.; Traunspurger, W.; Steinberg, C. Effects of dissolved organic matter (DOM) on the bioconcentration of organic chemicals in aquatic organisms—A review. Chemosphere 1998, 37, 1335–1362. [Google Scholar] [CrossRef]
- Park, J.; Choi, M.; Cho, J.; Chon, K. Transformation of dissolved organic matter in a constructed wetland: A molecular-level composition analysis using pyrolysis-gas chromatography mass spectrometry. Environ. Eng. Res. 2018, 23, 390–396. [Google Scholar] [CrossRef]
- Chon, K.; Chon, K.; Cho, J. Characterization of size fractionated dissolved organic matter from river water and wastewater effluent using preparative high performance size exclusion chromatography. Org. Geochem. 2017, 103, 105–112. [Google Scholar] [CrossRef]
- Ward, N.D.; Richey, J.E.; Keil, R.G. Temporal variation in river nutrient and dissolved lignin phenol concentrations and the impact of storm events on nutrient loading to Hood Canal, Washington, USA. Biogeochemistry 2012, 111, 629–645. [Google Scholar] [CrossRef]
- Inamdar, S.; Singh, S.; Dutta, S.; Levia, D.; Mitchell, M.; Scott, D.; Bais, H.; McHale, P. Fluorescence characteristics and sources of dissolved organic matter for stream water during storm events in a forested mid-Atlantic watershed. J. Geophys. Res. Biogeosci. 2011, 116, G03043. [Google Scholar] [CrossRef]
- Nguyen, H.V.-M.; Hur, J.; Shin, H.-S. Changes in Spectroscopic and Molecular Weight Characteristics of Dissolved Organic Matter in a River During a Storm Event. Water Air Soil Pollut. 2010, 212, 395–406. [Google Scholar] [CrossRef]
- Park, J.H.; Lee, J.H.; Kang, S.Y.; Kim, S.Y. Hydroclimatic controls on dissolved organic matter (DOM) characteristics and implications for trace metal transport in Hwangryong River Watershed, Korea, during a summer monsoon period. Hydrol. Process. 2007, 21, 3025–3034. [Google Scholar] [CrossRef]
- Zhang, X.; Srinivasan, R.; Debele, B.; Hao, F. Runoff simulation of the headwaters of the yellow river using The SWAT model with three snowmelt algorithms 1. JAWRA J. Am. Water Resour. Assoc. 2008, 44, 48–61. [Google Scholar] [CrossRef]
- Thompson, J.; Sørenson, H.R.; Gavin, H.; Refsgaard, A. Application of the coupled MIKE SHE/MIKE 11 modelling system to a lowland wet grassland in southeast England. J. Hydrol. 2004, 293, 151–179. [Google Scholar] [CrossRef]
- Hundecha, Y.; Bárdossy, A. Modeling of the effect of land use changes on the runoff generation of a river basin through parameter regionalization of a watershed model. J. Hydrol. 2004, 292, 281–295. [Google Scholar] [CrossRef]
- Kim, M.; Boithias, L.; Cho, K.H.; Silvera, N.; Thammahacksa, C.; Latsachack, K.; Rochelle-Newall, E.; Sengtaheuanghoung, O.; Pierret, A.; Pachepsky, Y.A. Hydrological modeling of Fecal Indicator Bacteria in a tropical mountain catchment. Water Res. 2017, 119, 102–113. [Google Scholar] [CrossRef]
- Cho, K.H.; Pachepsky, Y.A.; Kim, J.H.; Kim, J.-W.; Park, M.-H. The modified SWAT model for predicting fecal coliforms in the Wachusett Reservoir Watershed, USA. Water Res. 2012, 46, 4750–4760. [Google Scholar] [CrossRef] [PubMed]
- Abbaspour, K.C.; Yang, J.; Maximov, I.; Siber, R.; Bogner, K.; Mieleitner, J.; Zobrist, J.; Srinivasan, R. Modelling hydrology and water quality in the pre-alpine/alpine Thur watershed using SWAT. J. Hydrol. 2007, 333, 413–430. [Google Scholar] [CrossRef]
- Neitsch, S.L.; Arnold, J.G.; Kiniry, J.R.; Williams, J.R. Soil and Water Assessment Tool Theoretical Documentation Version 2009; Texas Water Resources Institute: College Station, TX, USA, 2011. [Google Scholar]
- Pyo, J.; Pachepsky, Y.A.; Kim, M.; Baek, S.-S.; Lee, H.; Cha, Y.; Park, Y.; Cho, K.H. Simulating seasonal variability of phytoplankton in stream water using the modified SWAT model. Environ. Model. Softw. 2017. [Google Scholar] [CrossRef]
- Santhi, C.; Arnold, J.G.; Williams, J.R.; Dugas, W.A.; Srinivasan, R.; Hauck, L.M. validation of the swat model on a large RWER basin with point and nonpoint sources 1. JAWRA J. Am. Water Resour. Assoc. 2001, 37, 1169–1188. [Google Scholar] [CrossRef]
- Rostamian, R.; Jaleh, A.; Afyuni, M.; Mousavi, S.F.; Heidarpour, M.; Jalalian, A.; Abbaspour, K.C. Application of a SWAT model for estimating runoff and sediment in two mountainous basins in central Iran. Hydrol. Sci. J. 2008, 53, 977–988. [Google Scholar] [CrossRef]
- Zhang, Q.; Li, L. Development and application of an integrated surface runoff and groundwater flow model for a catchment of Lake Taihu watershed, China. Quat. Int. 2009, 208, 102–108. [Google Scholar] [CrossRef]
- Srinivasan, R.; Zhang, X.; Arnold, J. SWAT ungauged: Hydrological budget and crop yield predictions in the Upper Mississippi River Basin. Trans. Asabe 2010, 53, 1533–1546. [Google Scholar] [CrossRef]
- Ligaray, M.; Baek, S.S.; Kwon, H.-O.; Choi, S.-D.; Cho, K.H. Watershed-scale modeling on the fate and transport of polycyclic aromatic hydrocarbons (PAHs). J. Hazard. Mater. 2016, 320, 442–457. [Google Scholar] [CrossRef] [PubMed]
- Guo, L.; Lu, M.; Li, Q.; Zhang, J.; Zong, Y.; She, Z. Three-dimensional fluorescence excitation–emission matrix (EEM) spectroscopy with regional integration analysis for assessing waste sludge hydrolysis treated with multi-enzyme and thermophilic bacteria. Bioresour. Technol. 2014, 171, 22–28. [Google Scholar] [CrossRef] [PubMed]
- Park, N.; Choi, Y.; Kim, D.; Kim, K.; Jeon, J. Prioritization of highly exposable pharmaceuticals via a suspect/non-target screening approach: A case study for Yeongsan River, Korea. Sci. Total Environ. 2018, 639, 570–579. [Google Scholar] [CrossRef]
- Kujawinski, E.B.; Behn, M.D. Automated analysis of electrospray ionization Fourier transform ion cyclotron resonance mass spectra of natural organic matter. Anal. Chem. 2006, 78, 4363–4373. [Google Scholar] [CrossRef]
- Phungsai, P.; Kurisu, F.; Kasuga, I.; Furumai, H. Molecular characterization of low molecular weight dissolved organic matter in water reclamation processes using Orbitrap mass spectrometry. Water Res. 2016, 100, 526–536. [Google Scholar] [CrossRef]
- Kim, S.; Kramer, R.W.; Hatcher, P.G. Graphical method for analysis of ultrahigh-resolution broadband mass spectra of natural organic matter, the van Krevelen diagram. Anal. Chem. 2003, 75, 5336–5344. [Google Scholar] [CrossRef] [PubMed]
- Spruill, C.A.; Workman, S.R.; Taraba, J.L. Simulation of daily and monthly stream discharge from small watersheds using the SWAT model. Trans. ASAE 2000, 43, 1431. [Google Scholar] [CrossRef]
- Hargreaves, G.H.; Samani, Z.A. Reference crop evapotranspiration from temperature. Appl. Eng. Agric. 1985, 1, 96–99. [Google Scholar] [CrossRef]
- Moriasi, D.N.; Arnold, J.G.; Van Liew, M.W.; Bingner, R.L.; Harmel, R.D.; Veith, T.L. Model evaluation guidelines for systematic quantification of accuracy in watershed simulations. Trans. Asabe 2007, 50, 885–900. [Google Scholar] [CrossRef]
- Kalbitz, K.; Solinger, S.; Park, J.-H.; Michalzik, B.; Matzner, E. Controls on the dynamics of dissolved organic matter in soils: A review. Soil Sci. 2000, 165, 277–304. [Google Scholar] [CrossRef]
- Li, F.; Yuasa, A.; Muraki, Y.; Matsui, Y. Impacts of a heavy storm of rain upon dissolved and particulate organic C, N and P in the main river of a vegetation-rich basin area in Japan. Sci. Total Environ. 2005, 345, 99–113. [Google Scholar] [CrossRef] [PubMed]
- Hudson, N.; Baker, A.; Reynolds, D. Fluorescence analysis of dissolved organic matter in natural, waste and polluted waters—A review. River Res. Appl. 2007, 23, 631–649. [Google Scholar] [CrossRef]
- Park, N.; Kwon, B.; Kim, S.-D.; Cho, J. Characterizations of the colloidal and microbial organic matters with respect to membrane foulants. J. Membr. Sci. 2006, 275, 29–36. [Google Scholar] [CrossRef]
- Lee, S.; Cho, J.; Elimelech, M. Combined influence of natural organic matter (NOM) and colloidal particles on nanofiltration membrane fouling. J. Membr. Sci. 2005, 262, 27–41. [Google Scholar] [CrossRef]
- Meng, F.; Huang, G.; Yang, X.; Li, Z.; Li, J.; Cao, J.; Sun, L. Identifying the sources and fate of anthropogenically impacted dissolved organic matter (DOM) in urbanized rivers. Water Res. 2013, 47, 5027–5039. [Google Scholar] [CrossRef]
- Elifantz, H.; Kautsky, L.; Mor-Yosef, M.; Tarchitzky, J.; Bar-Tal, A.; Chen, Y.; Minz, D. Microbial activity and organic matter dynamics during 4 years of irrigation with treated wastewater. Microb. Ecol. 2011, 62, 973–981. [Google Scholar] [CrossRef] [PubMed]
- Inamdar, S.P.; O’Leary, N.; Mitchell, M.J.; Riley, J.T. The impact of storm events on solute exports from a glaciated forested watershed in western New York, USA. Hydrol. Process. 2006, 20, 3423–3439. [Google Scholar] [CrossRef]
- Austnes, K.; Evans, C.D.; Eliot-Laize, C.; Naden, P.S.; Old, G.H. Effects of storm events on mobilisation and in-stream processing of dissolved organic matter (DOM) in a Welsh peatland catchment. Biogeochemistry 2010, 99, 157–173. [Google Scholar] [CrossRef]
- Vance, G.F.; David, M.B. Chemical characteristics and acidity of soluble organic substances from a northern hardwood forest floor, central Maine, USA. Geochim. Cosmochim. Acta 1991, 55, 3611–3625. [Google Scholar] [CrossRef]
- Jardine, P.M.; Wilson, G.V.; McCarthy, J.F.; Luxmoore, R.J.; Taylor, D.L.; Zelazny, L.W. Hydrogeochemical processes controlling the transport of dissolved organic carbon through a forested hillslope. J. Contam. Hydrol. 1990, 6, 3–19. [Google Scholar] [CrossRef]
- Sleighter, R.L.; Hatcher, P.G. The application of electrospray ionization coupled to ultrahigh resolution mass spectrometry for the molecular characterization of natural organic matter. J. Mass Spectrom. 2007, 42, 559–574. [Google Scholar] [CrossRef]
- Schnitzer, M. Humic substances: Chemistry and reactions. In Developments in Soil Science; Elsevier: Amsterdam, The Netherlands, 1978; pp. 1–64. [Google Scholar]









| Parameter | Desrctiption | Value |
|---|---|---|
| Alpha_Bf | Baseflow recession constant | 0.954 |
| Ch_N2 | Manning coefficent for channel | 0.2029 |
| Cn2 | SCS runoff curve number | 0.015 |
| Ch_K2 | Effective hydraulic conducitivbity in main channel alluvium | 126 |
| Rchrg_dp | Deep aquifer percolation fraction | 0.085 |
| Sol_Awc | Available water capacity of soil layer | −0.375 |
| Epco | Plant uptake compensation factor | 0.22 |
| Biomix | Biological mixing efficiency | 0.805 |
| Slsubbsn | Average slope length | 135 |
| Esco | Soil evaporation compensation factor | 0.285 |
| Event 1 | Event 2 | |
|---|---|---|
| Rainfall Duration (hour) | 118 | 14 |
| Rainfall (mm) | 254 | 47.2 |
| Maximum rainfall intensity (mm/hr) | 15.9 | 11.2 |
| Date | 2018-06-29~2018-07-07 | 2018-07-25~2018-08-13 |
| Surface runoff (mm) | 49.45 | 0.11 |
| Lateral flow (mm) | 102.2 | 12.98 |
| Ground water (mm) | 1.87 | 0 |
| Event 1 | Event 2 | |||
|---|---|---|---|---|
| Lateral flow (mm) | Ground flow (mm) | Lateral flow (mm) | Ground flow (mm) | |
| Before rainfall | 0.09 | 0.00 | 0.35 | 0.00 |
| After rainfall | 7.52 | 0.26 | 1.93 | 0.01 |
| Event 1 | Event 2 | ||||||
|---|---|---|---|---|---|---|---|
| Up | Mid | Down | Up | Mid | Down | ||
| DOC (mg C/L) | Before rainfall | 1.61 (±0.5) | 2.16 (±1.0) | 0.78 (±0.7) | 2.00 (±0.7) | 2.50 (±1.0) | 1.90 (±0.4) |
| After rainfall | 3.70 (±1.2) | 4.03 (±0.8) | 5.29 (±1.2) | 2.97 (±1.0) | 3.16 (±0.8) | 2.80 (±0.6) | |
| Conductivity (μS/cm) | Before rainfall | 301 (±20) | 5048 (±25) | 25480 (±10) | 218 (±14) | 803 (±16) | 27310 (±10) |
| After rainfall | 146 (±13) | 169 (±8) | 405 (±11) | 207 (±15) | 412 (±10) | 21000 (±10) | |
© 2019 by the authors. Licensee MDPI, Basel, Switzerland. This article is an open access article distributed under the terms and conditions of the Creative Commons Attribution (CC BY) license (http://creativecommons.org/licenses/by/4.0/).
Share and Cite
Baek, S.; Lee, H.; Park, J.; Cho, K.H. Investigating Influence of Hydrological Regime on Organic Matters Characteristic in a Korean Watershed. Water 2019, 11, 512. https://doi.org/10.3390/w11030512
Baek S, Lee H, Park J, Cho KH. Investigating Influence of Hydrological Regime on Organic Matters Characteristic in a Korean Watershed. Water. 2019; 11(3):512. https://doi.org/10.3390/w11030512
Chicago/Turabian StyleBaek, SangSoo, Hyuk Lee, Jongkwan Park, and Kyung Hwa Cho. 2019. "Investigating Influence of Hydrological Regime on Organic Matters Characteristic in a Korean Watershed" Water 11, no. 3: 512. https://doi.org/10.3390/w11030512
APA StyleBaek, S., Lee, H., Park, J., & Cho, K. H. (2019). Investigating Influence of Hydrological Regime on Organic Matters Characteristic in a Korean Watershed. Water, 11(3), 512. https://doi.org/10.3390/w11030512
