Spatial and Temporal Variation of Dissolved Heavy Metals in the Mun River, Northeast Thailand
Abstract
1. Introduction
2. Materials and Methods
2.1. Study Area
2.2. Sample Collection and Storage
2.3. Physicochemical Measurement and Elemental Determination
2.4. Multivariate Statistics
2.5. Water Quality and Health Risk Assessment
2.5.1. Water Quality Index
2.5.2. Health Risk Assessment
2.6. Fluxes of Dissolved Heavy Metals
3. Results and Discussion
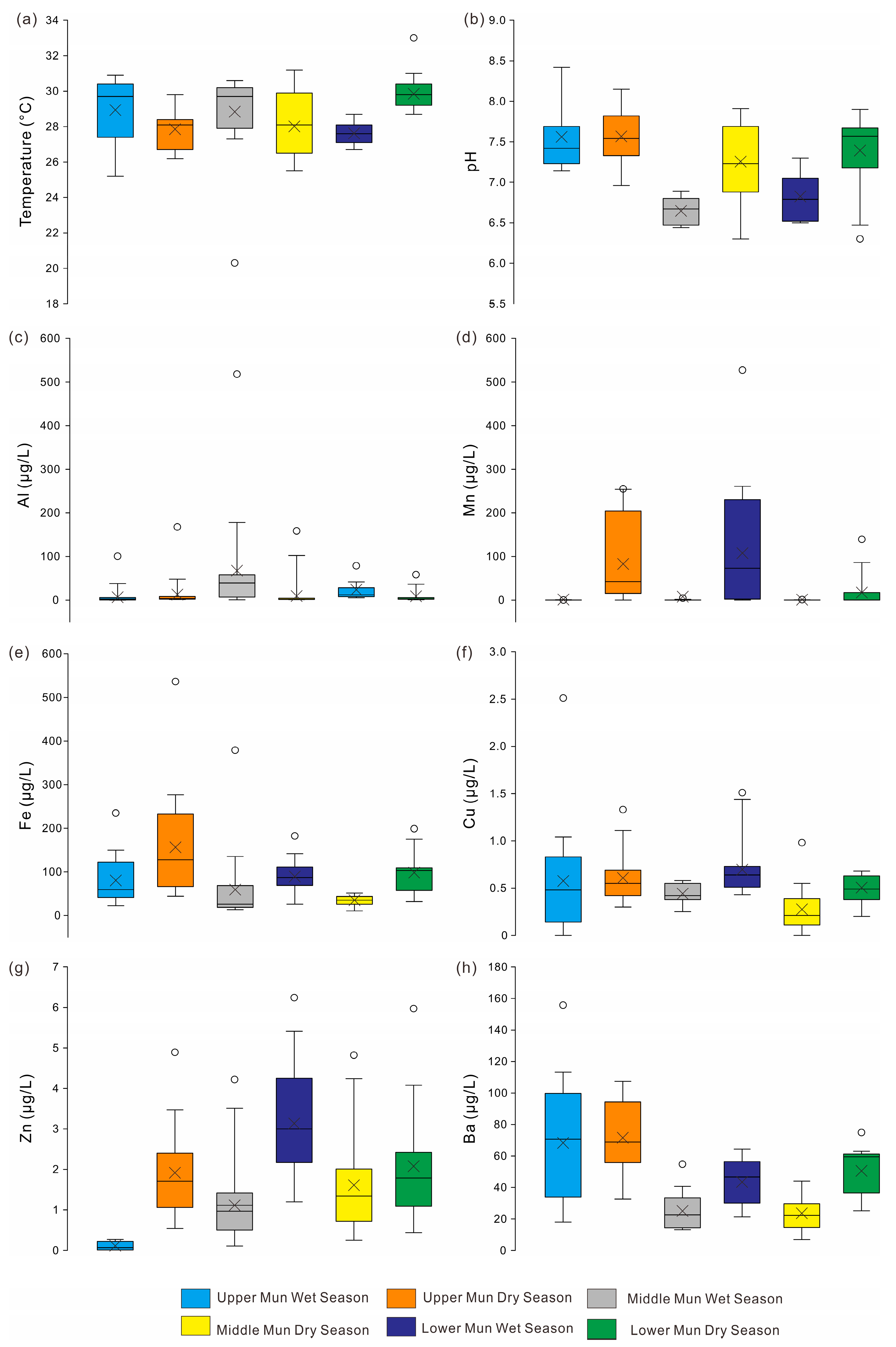
3.1. Dissolved Heavy Metals in the River Water
3.2. Source Identification
3.2.1. Correlation Matrix
3.2.2. Principal Component Analysis
3.3. Water Quality and Health Risk Assessment
3.3.1. Water Quality Index
3.3.2. Hazard Quotient and Hazard Index
3.4. Fluxes of Dissolved Heavy Metals
4. Conclusions
Supplementary Materials
Author Contributions
Funding
Acknowledgments
Conflicts of Interest
References
- Chowdhury, S.; Mazumder, M.A.J.; Al-Attas, O.; Husain, T. Heavy metals in drinking water: Occurrences, implications, and future needs in developing countries. Sci. Total Environ. 2016, 569–570, 476–488. [Google Scholar] [CrossRef] [PubMed]
- Zhang, Z.; Lu, Y.; Li, H.; Tu, Y.; Liu, B.; Yang, Z. Assessment of heavy metal contamination, distribution and source identification in the sediments from the Zijiang River, China. Sci. Total Environ. 2018, 645, 235–243. [Google Scholar] [CrossRef] [PubMed]
- Zuzolo, D.; Cicchella, D.; Catani, V.; Giaccio, L.; Guagliardi, I.; Esposito, L. Assessment of potentially harmful elements pollution in the Calore River basin (Southern Italy). Environ. Geochem. Health 2017, 39, 531–548. [Google Scholar] [CrossRef] [PubMed]
- Cai, L.; Wang, Q.; Luo, J.; Chen, L.; Zhu, R.; Wang, S.; Tang, C. Heavy metal contamination and health risk assessment for children near a large Cu-smelter in central China. Sci. Total Environ. 2019, 650, 725–733. [Google Scholar] [CrossRef] [PubMed]
- Shotyk, W.; Bicalho, B.; Cuss, C.W.; Grant-Weaver, I.; Nagel, A.; Noernberg, T.; Poesch, M.; Sinnatamby, N.R. Bioaccumulation of Tl in otoliths of Trout-perch (Percopsis omiscomaycus) from the Athabasca River, upstream and downstream of bitumen mining and upgrading. Sci. Total Environ. 2019, 650, 2559–2566. [Google Scholar] [CrossRef] [PubMed]
- Li, S.; Li, J.; Zhang, Q. Water quality assessment in the rivers along the water conveyance system of the Middle Route of the South to North Water Transfer Project (China) using multivariate statistical techniques and receptor modeling. J. Hazard. Mater. 2011, 195, 306–317. [Google Scholar] [CrossRef] [PubMed]
- Wang, J.; Liu, G.; Liu, H.; Lam, P.K.S. Multivariate statistical evaluation of dissolved trace elements and a water quality assessment in the middle reaches of Huaihe River, Anhui, China. Sci. Total Environ. 2017, 583, 421–431. [Google Scholar] [CrossRef] [PubMed]
- Liang, B.; Han, G.; Liu, M.; Yang, K.; Li, X.; Liu, J. Distribution, sources, and water quality assessment of dissolved heavy metals in the Jiulongjiang River water, southeast China. Int. J. Environ. Res. Public Health 2018, 15, 2752. [Google Scholar] [CrossRef]
- Islam, S.; Ahmed, K.; Raknuzzaman, M. Heavy metal pollution in surface water and sediment: A preliminary assessment of an urban river in a developing country. Ecol. Indic. 2015, 48, 282–291. [Google Scholar] [CrossRef]
- Tepanosyan, G.; Sahakyan, L.; Belyaeva, O.; Asmaryan, S.; Saghatelyan, A. Continuous impact of mining activities on soil heavy metals levels and human health. Sci. Total Environ. 2018, 639, 900–909. [Google Scholar] [CrossRef]
- Jiang, Y.; Xie, Z.; Zhang, H. Effects of land use types on dissolved trace metal concentrations in the Le’an River Basin, China. Environ. Monit. Assess. 2017, 189, 663. [Google Scholar] [CrossRef] [PubMed]
- Shotyk, W.; Bicalho, B.; Cuss, C.W.; Donner, M.W.; Grant-Weaver, I.; Haas-neill, S.; Javed, M.B.; Krachler, M.; Noernberg, T.; Pelletier, R.; et al. Trace metals in the dissolved fraction (<0.45 μm) of the lower Athabasca River: Analytical challenges and environmental implications. Sci. Total Environ. 2017, 580, 660–669. [Google Scholar] [CrossRef] [PubMed]
- Li, R.; Tang, C.; Cao, Y.; Jiang, T.; Chen, J. The distribution and partitioning of trace metals (Pb, Cd, Cu, and Zn) and metalloid (As) in the Beijiang River. Environ. Monit. Assess. 2018, 190, 399. [Google Scholar] [CrossRef] [PubMed]
- Li, S.; Zhang, Q. Spatial characterization of dissolved trace elements and heavy metals in the upper Han River (China) using multivariate statistical techniques. J. Hazard. Mater. 2010, 176, 579–588. [Google Scholar] [CrossRef] [PubMed]
- Meng, Q.; Zhang, J.; Zhang, Z.; Wu, T. Geochemistry of dissolved trace elements and heavy metals in the Dan River Drainage (China): Distribution, sources, and water quality assessment. Environ. Sci. Pollut. Res. 2016, 23, 8091–8103. [Google Scholar] [CrossRef]
- Komínková, D.; Nabelkova, J. Effect of urban drainage on bioavailability of heavy metals in recipient. Water Sci. Technol. 2007, 56, 43–50. [Google Scholar] [CrossRef] [PubMed]
- Kumar, A.V.; Patil, R.S.; Nambi, K.S.V. Source apportionment of suspended particulate matter at two traffic junctions in Mumbai, India. Atmos. Environ. 2001, 35, 4245–4251. [Google Scholar] [CrossRef]
- Food and Agriculture Organization. Food and Agriculture Organization FAO Statistical Yearbook 2013; Food and Agriculture Organization of the United Nations: Rome, Italy, 2013; ISBN 9788578110796. [Google Scholar]
- Akter, A.; Babel, M.S. Hydrological modeling of the Mun River basin in Thailand. J. Hydrol. 2012, 452–453, 232–246. [Google Scholar] [CrossRef]
- Prabnakorn, S.; Maskey, S.; Suryadi, F.X.; De Fraiture, C. Rice yield in response to climate trends and drought index in the Mun River Basin, Thailand. Sci. Total Environ. 2018, 621, 108–119. [Google Scholar] [CrossRef]
- Franco-Uría, A.; López-Mateo, C.; Roca, E.; Fernández-Marcos, M.L. Source identification of heavy metals in pastureland by multivariate analysis in NW Spain. J. Hazard. Mater. 2009, 165, 1008–1015. [Google Scholar] [CrossRef]
- Zhao, Z.; Liu, G.; Liu, Q.; Huang, C.; Li, H. Studies on the spatiotemporal variability of river water quality and its relationships with soil and precipitation: A case study of the Mun River Basin in Thailand. Int. J. Environ. Res. Public Health 2018, 15, 2466. [Google Scholar] [CrossRef] [PubMed]
- Zhao, Z.; Liu, G.; Liu, Q.; Huang, C.; Li, H.; Wu, C. Distribution characteristics and seasonal variation of soil nutrients in the Mun River Basin, Thailand. Int. J. Environ. Res. Public Health 2018, 15, 1818. [Google Scholar] [CrossRef] [PubMed]
- Toda, O.; Tanji, H.; Somura, K.; Higuchi, K. Evaluation of tributaries contribution in the Mekong River Basin during rainy and dry season. In Proceedings of the 2nd Asia Pacific Association of Hydrology and Water Resources Conference, Singapore, 5–9 June 2004; pp. 239–248. [Google Scholar]
- Binnie, P. Mun River Basin Water Resources Development Master Plan; Royal Irrigation Department: Nonthaburi, Thailand, 1995.
- Brouwer, C.; Heibloem, M. Irrigation water management: Irrigation water needs. Train. Man. 1986, 3, 1–11. [Google Scholar]
- Peel, M.C.; Finlayson, B.L.; McMahon, T.A. Updated world map of the Köppen-Geiger climate classification. Hydrol. Earth Syst. Sci. 2007, 11, 1633–1644. [Google Scholar] [CrossRef]
- Yang, K.; Han, G.; Liu, M.; Li, X.; Liu, J.; Zhang, Q. Spatial and seasonal variation of O and H isotopes in the Jiulong River, Southeast China. Water 2018, 10, 1677. [Google Scholar] [CrossRef]
- Simeonov, V.; Stratis, J.A.; Samara, C.; Zachariadis, G.; Voutsa, D.; Anthemidis, A.; Sofoniou, M.; Kouimtzis, T. Assessment of the surface water quality in Northern Greece. Water Res. 2003, 37, 4119–4124. [Google Scholar] [CrossRef]
- Nabizadeh, R.; Amin, M.V.; Alimohammadi, M.; Naddafi, K.; Mahvi, A.H.; Yousefzadeh, S. Development of innovative computer software to facilitate the setup and computation of water quality index. J. Environ. Health Sci. Eng. 2013, 11, 1. [Google Scholar] [CrossRef] [PubMed]
- Štambuk-Giljanović, N. Water quality evaluation by index in Dalmatia. Water Res. 1999, 33, 3423–3440. [Google Scholar] [CrossRef]
- Lim, D.S.; Roh, T.H.; Kim, M.K.; Kwon, Y.C.; Choi, S.M.; Kwack, S.J.; Kim, K.B.; Yoon, S.; Kim, H.S.; Lee, B.-M. Non-cancer, cancer, and dermal sensitization risk assessment of heavy metals in cosmetics. J. Toxicol. Environ. Health Part A 2018, 81, 432–452. [Google Scholar] [CrossRef] [PubMed]
- United States Environmental Protection Agency. Risk Assessment Guidance for Superfund Volume I: Human Health Evaluation Manual (Part E, Supplemental Guidance for Dermal Risk Assessment); Office of Superfund Remediation and Technology Innovation: Washington, DC, USA, 2004.
- World Health Organization. Guidelines for Drinking Water Quality: Fourth Edition Incorporating the First Addendum; WHO: Geneva, Switzerland, 2017; ISBN 9789241549950. [Google Scholar]
- United States Environmental Protection Agency 2012. Edition of the Drinking Water Standards and Health Advisories; United States Environmental Protection Agency: Washington, DC, USA, 2012.
- China GB 5749-2006 Environmental Quality. Standards for Drinking Water Quality; Standards Press of China: Beijing, China, 2006. [Google Scholar]
- Akoto, O.; Bismark Eshun, F.; Darko, G.; Adei, E. Concentrations and Health Risk Assessments of Heavy Metals in Fish from the Fosu Lagoon. Int. J. Environ. Res. 2014, 8, 403–410. [Google Scholar]
- Chanpiwat, P.; Sthiannopkao, S. Status of metal levels and their potential sources of contamination in Southeast Asian rivers. Environ. Sci. Pollut. Res. 2014, 21, 220–233. [Google Scholar] [CrossRef] [PubMed]
- Kumar, S.; Binod, S.; Nayak, B.; Kumar, T.; Dinabandhu, K. Dynamics and quantification of dissolved heavy metals in the Mahanadi river estuarine system, India. Environ. Monit. Assess. 2012, 184, 1157–1179. [Google Scholar] [CrossRef]
- Bu, H.; Wang, W.; Song, X.; Zhang, Q. Characteristics and source identification of dissolved trace elements in the Jinshui River of the South Qinling Mts., China. Environ. Sci. Pollut. Res. 2015, 22, 14248–14257. [Google Scholar] [CrossRef] [PubMed]
- Bhattarai, R.; Dutta, D. A comparative analysis of sediment yield simulation by empirical and process-oriented models in Thailand. Hydrol. Sci. J. 2008, 53, 1253–1269. [Google Scholar] [CrossRef][Green Version]
- Yu, J.B.; Chen, X.B.; Mao, P.L.; Wu, C.F.; Dong, H.F.; Shan, K. The Spatial Differentiation of Soil Trace Nutrient Elements in New-Born Coastal Wetland. Wetl. Sci. 2010, 8, 213–219. [Google Scholar]
- Bu, H.; Song, X.; Guo, F. Dissolved trace elements in a nitrogen-polluted river near to the Liaodong Bay in Northeast China. Mar. Pollut. Bull. 2017, 114, 547–554. [Google Scholar] [CrossRef] [PubMed]
- Shiller, A.M. Dissolved trace elements in the Mississippi River: Seasonal, interannual, and decadal variability. Geochim. Cosmochim. Acta 1997, 61, 4321–4330. [Google Scholar] [CrossRef]
- Gao, L.; Wang, Z.; Shan, J.; Chen, J.; Tang, C.; Yi, M. Ecotoxicology and Environmental Safety Distribution characteristics and sources of trace metals in sediment cores from a trans-boundary watercourse: An example from the Shima River, Pearl River Delta. Ecotoxicol. Environ. Saf. 2016, 134, 186–195. [Google Scholar] [CrossRef]
- Strady, E.; Tuc, Q.; Julien, N. Spatial variation and risk assessment of trace metals in water and sediment of the Mekong Delta. Chemosphere 2017, 179, 367–378. [Google Scholar] [CrossRef]
- Wilbers, G.; Becker, M.; Thi, L.; Sebesvari, Z.; Renaud, F.G. Spatial and temporal variability of surface water pollution in the Mekong Delta, Vietnam. Sci. Total Environ. 2014, 485–486, 653–665. [Google Scholar] [CrossRef]







| Min | Max | Mean | Median | SD 1 | K-S Test 2 | |
|---|---|---|---|---|---|---|
| Wet Season | ||||||
| T (°C) | 20.30 | 31.10 | 28.47 | 28.70 | 1.89 | 0.181 |
| pH | 6.36 | 8.42 | 7.01 | 6.89 | 0.49 | 0.014 |
| Al (μg/L) | nd3 | 517.96 | 34.76 | 12.01 | 75.17 | 0.000 |
| Mn (μg/L) | 0.03 | 4.35 | 0.39 | 0.22 | 0.61 | 0.000 |
| Fe (μg/L) | 8.04 | 378.90 | 57.94 | 41.48 | 60.61 | 0.000 |
| Cu (μg/L) | nd | 2.51 | 0.47 | 0.41 | 0.37 | 0.000 |
| Zn (μg/L) | nd | 4.82 | 1.07 | 0.81 | 1.13 | 0.000 |
| Ba (μg/L) | 6.24 | 155.75 | 38.99 | 26.66 | 31.10 | 0.000 |
| Dry Season | ||||||
| T (°C) | 24.00 | 33.00 | 28.58 | 28.70 | 1.79 | 0.198 |
| pH | 6.11 | 8.51 | 7.41 | 7.50 | 0.49 | 0.086 |
| Al (μg/L) | 0.27 | 167.42 | 12.99 | 2.32 | 33.00 | 0.000 |
| Mn (μg/L) | 0.09 | 527.00 | 72.17 | 20.70 | 104.94 | 0.000 |
| Fe (μg/L) | 21.49 | 536.05 | 114.64 | 103.07 | 80.91 | 0.000 |
| Cu (μg/L) | 0.17 | 1.51 | 0.60 | 0.58 | 0.27 | 0.001 |
| Zn (μg/L) | 0.15 | 6.24 | 2.38 | 2.03 | 1.41 | 0.019 |
| Ba (μg/L) | 11.96 | 115.89 | 55.18 | 58.41 | 22.37 | 0.063 |
| Elements | WHO 1 | US EPA 2 | China 3 |
|---|---|---|---|
| Al (μg/L) | 200 | / | 200 |
| Mn (μg/L) | 400 | / | 100 |
| Fe (μg/L) | 300 | / | 300 |
| Cu (μg/L) | 2000 | 1300 | 1000 |
| Zn (μg/L) | / | / | 1000 |
| Ba (μg/L) | 1300 | 2000 | 700 |
| Element | World Average 1 | Tonle Sap-Bassac Rivers, Cambodia 1 | Citarum River, Indonesia 1 | Lower Chao Phraya River, Thailand 1 | Saigon River, Vietnam 1 | Mahanadi River, India (Wet Season) 2 | Mahanadi River, India (Dry Season) 2 |
|---|---|---|---|---|---|---|---|
| Al | 32 | 11 | 130 | 100 | 245 | / | / |
| Mn | 34 | 1 | 260 | 210 | 90 | 22.04 | 17.51 |
| Fe | 66 | 10 | 230 | 100 | 370 | 222.3 | 113.5 |
| Cu | 1.5 | 1 | 3 | 4 | 5 | 9.53 | 9.86 |
| Zn | 0.6 | / | 12 | 53 | 75 | 18.76 | 23.21 |
| Ba | 23 | 7 | 30 | 175 | 19 | / | / |
| Al | Mn | Fe | Cu | Zn | Ba | |
|---|---|---|---|---|---|---|
| Wet Season | ||||||
| Al | 1 | |||||
| Mn | 0.414 1 | 1 | ||||
| Fe | 0.736 1 | 0.391 1 | 1 | |||
| Cu | 0.025 | 0.237 | 0.470 1 | 1 | ||
| Zn | 0.042 | 0.425 1 | −0.131 | 0.001 | 1 | |
| Ba | −0.113 | 0.031 | 0.522 1 | 0.703 1 | −0.411 1 | 1 |
| Dry Season | ||||||
| Al | 1 | |||||
| Mn | 0.041 | 1 | ||||
| Fe | 0.344 1 | −0.118 | 1 | |||
| Cu | 0.129 | 0.366 1 | −0.048 | 1 | ||
| Zn | 0.148 | 0.292 2 | 0.005 | 0.217 | 1 | |
| Ba | −0.078 | 0.053 | 0.500 1 | 0.006 | −0.106 | 1 |
| Variable | PC 1 | PC 2 | PC 3 | Communalities |
|---|---|---|---|---|
| Wet Season | ||||
| Al | 0.96 | 0.14 | −0.04 | 0.94 |
| Mn | 0.46 | 0.68 | 0.13 | 0.70 |
| Fe | 0.94 | −0.09 | 0.27 | 0.96 |
| Cu | 0.10 | 0.31 | 0.83 | 0.80 |
| Zn | −0.09 | 0.90 | −0.01 | 0.81 |
| Ba | 0.10 | −0.51 | 0.74 | 0.82 |
| Eigenvalues (%) | 2.32 | 1.65 | 1.07 | |
| Variance (%) | 38.61 | 27.43 | 17.78 | |
| Cumulative (%) | 38.61 | 66.04 | 83.82 | |
| Dry Season | ||||
| Al | 0.08 | 0.03 | 0.91 | 0.84 |
| Mn | 0.82 | 0.04 | −0.13 | 0.69 |
| Fe | −0.12 | 0.77 | 0.49 | 0.85 |
| Cu | 0.74 | 0.02 | 0.06 | 0.55 |
| Zn | 0.58 | −0.17 | 0.34 | 0.48 |
| Ba | 0.05 | 0.92 | −0.18 | 0.89 |
| Eigenvalues (%) | 1.65 | 1.57 | 1.09 | |
| Variance (%) | 27.46 | 26.16 | 18.11 | |
| Cumulative (%) | 27.46 | 53.62 | 71.73 | |
| Wet Season | Dry Season | |||
|---|---|---|---|---|
| Adults | Children | Adults | Children | |
| Al | 3.38 × 10−4 | 5.17 × 10−4 | 6.52 × 10−5 | 9.97 × 10−5 |
| Mn | 3.35 × 10−4 | 5.57 × 10−4 | 3.21 × 10−2 | 5.33 × 10−2 |
| Fe | 3.92 × 10−3 | 6.05 × 10−3 | 9.74 × 10−3 | 1.50 × 10−2 |
| Cu | 2.89 × 10−4 | 4.42 × 10−4 | 4.10 × 10−4 | 6.27 × 10−4 |
| Zn | 7.54 × 10−5 | 1.14 × 10−4 | 1.88 × 10−4 | 2.85 × 10−4 |
| Ba | 1.07 × 10−2 | 1.64 × 10−2 | 2.35 × 10−2 | 3.59 × 10−2 |
© 2019 by the authors. Licensee MDPI, Basel, Switzerland. This article is an open access article distributed under the terms and conditions of the Creative Commons Attribution (CC BY) license (http://creativecommons.org/licenses/by/4.0/).
Share and Cite
Liang, B.; Han, G.; Liu, M.; Li, X.; Song, C.; Zhang, Q.; Yang, K. Spatial and Temporal Variation of Dissolved Heavy Metals in the Mun River, Northeast Thailand. Water 2019, 11, 380. https://doi.org/10.3390/w11020380
Liang B, Han G, Liu M, Li X, Song C, Zhang Q, Yang K. Spatial and Temporal Variation of Dissolved Heavy Metals in the Mun River, Northeast Thailand. Water. 2019; 11(2):380. https://doi.org/10.3390/w11020380
Chicago/Turabian StyleLiang, Bin, Guilin Han, Man Liu, Xiaoqiang Li, Chao Song, Qian Zhang, and Kunhua Yang. 2019. "Spatial and Temporal Variation of Dissolved Heavy Metals in the Mun River, Northeast Thailand" Water 11, no. 2: 380. https://doi.org/10.3390/w11020380
APA StyleLiang, B., Han, G., Liu, M., Li, X., Song, C., Zhang, Q., & Yang, K. (2019). Spatial and Temporal Variation of Dissolved Heavy Metals in the Mun River, Northeast Thailand. Water, 11(2), 380. https://doi.org/10.3390/w11020380

