Spatial and Seasonal Distribution and Transportation of Different Forms of Phosphorus in the Middle Reaches of the Yarlung Zangbo River
Abstract
1. Introduction
2. Materials and Methods
2.1. Sampling Sites and Time
2.2. Testing Methods
2.3. Model of Total Phosphorus Flux in the River
- Lt—total phosphorus flux (g/s) in the river.
- Lw—water currents phosphorus flux (g/s).
- Ls—suspended sediments phosphorus flux (g/s).
- Q—flow (m3/s).
- Cw(dp)—dissolved phosphorus content (mg/L) in water.
- Fs—suspended sediment transport rate (kg/s).
- Cs(tp)—total phosphorus concentration of suspended sediments (g/kg).
2.4. The Drawing Method of the “Specific Triangle of P”
3. Results
3.1. Fractal P and TP Concentration
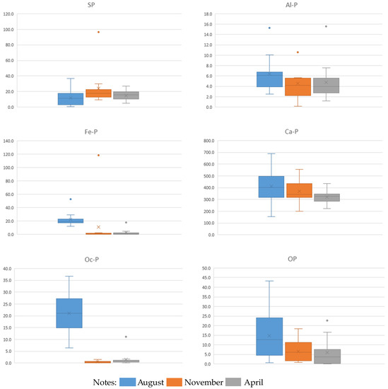
3.2. Seasonal Distribution of TP and Different Forms of P
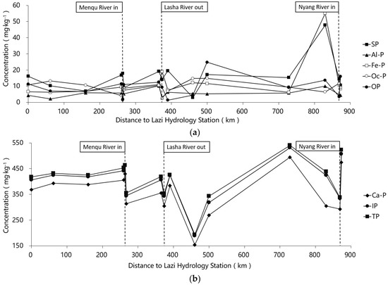
3.3. Spatial Distribution of TP and Different Forms of P
3.4. Proportion of P of Different Source and Bioavailability
3.5. Estimation of P Flux of the Mainstream
3.6. The “Specific Triangle of P” of This Research Area and Other Research Areas
4. Discussion
4.1. Comparison of Different Forms of P and TP Concentration with Other Rivers
4.2. Influencing Mechanism of Seasonal Distribution
4.3. Influencing Mechanism of Spatial Distribution
4.4. Release and Increased Risk of Different Forms of P
4.5. Transportation Characteristics of P
4.6. The “Specific Triangle of P” of Different Water Bodies in China
5. Conclusions
- (1)
- Forms of P in the YLZB River basin were classified as Ca-P, SP, Fe-P, OP, Oc-P, and Al-P. Ca-P concentration accounts for 89.21% of the IP concentration, while IP concentration accounts for 97.65% of the TP concentration.
- (2)
- As for seasonal distribution, the concentration of P in the surface sediments of the YLZB River basin is generally higher in the wet season than in the normal and dry seasons. The average concentrations of Al-P, Fe-P, Ca-P, and Oc-P and OP, including IP and TP, are greater in the wet season than in the normal and dry season.
- (3)
- From the perspective of spatial distribution, there is no uniform distribution of P concentrations and TP concentrations in the surface sediments of the YLZB River basin. The sampling sites varied according to specific situations. From the upper part of the study section to the lower part, the degree of otherness between adjacent sites became larger.
- (4)
- By comparing the results of previous studies, P in the YLZB River basin is mainly self-generated, and the amount of exogenous P input is small. Moreover, the bioavailable P concentration in the surface sediments of the YLZB River is low. Under the current climatic conditions, water quality conditions, and hydrological conditions, the release of endogenous P will not become a main factor affecting the water quality of the YLZB River.
- (5)
- In the absence of measured data, the “α” angle of the “specific triangle of “P” can be used to determine the degree of eutrophication of the overlying water conveniently for a single research area.
- (6)
- According to the estimation, the P flux of the river water (Lw), the P flux of the suspended sediments (Ls), and the TP flux of the mainstream (Lt) were obtained. The flux value increases from the upstream region to the downstream region, and Lt in the mainstream is largest in the wet season, indicating that the P in this area is mainly transported in the wet season. P in the YLZB River is mainly transported by river water, not by suspended sediments.
Supplementary Materials
Supplementary File 1Author Contributions
Funding
Conflicts of Interest
References
- Wang, L.; Liang, T. Distribution patterns and dynamics of phosphorus forms in the overlying water and sediment of Dongting Lake. J. Great Lakes Res. 2016, 42, 565–570. [Google Scholar] [CrossRef]
- Elrashidi, M.A.; West, L.T.; Persaud, N. Phosphorus Loss and Forms in Runoff from Watersheds in the Great Plains. Soil Sci. 2012, 177, 638–649. [Google Scholar] [CrossRef]
- Agudelo, S.C.; Nelson, N.O.; Barnes, P.L.; Keane, T.D.; Pierzynski, G.M. Phosphorus adsorption and desorption potential of stream sediments and field soils in agricultural watersheds. J. Environ. Qual. 2011, 40, 144–152. [Google Scholar] [CrossRef] [PubMed]
- Guedes, R.S.; Melo, L.C.A.; Vergütz, L.; Rodríguez-Vila, A.; Covelo, E.F.; Fernandes, A.R. Adsorption and desorption kinetics and phosphorus hysteresis in highly weathered soil by stirred flow chamber experiments. Soil Tillage Res. 2016, 162, 46–54. [Google Scholar] [CrossRef]
- Jin, X.; Tu, Q. The Standard Methods in Lake Eutrophication Investigation, 2nd ed.; China Environmental Science Press: Beijing, China, 1990. (In Chinese) [Google Scholar]
- Ruttenberg, K.C. Development of a sequential extraction method for different forms of phosphorus in marine sediments. Limnol. Oceanogr. 1992, 37, 1460–1482. [Google Scholar] [CrossRef]
- Ruban, V.; López-Sánchez, J.F.; Pardo, P.; Rauret, G.; Muntau, H.; Quevauviller, P. Selection and evaluation of sequential extraction procedures for the determination of phosphorus forms in lake sediment. J. Environ. Monit. 1999, 1, 51–56. [Google Scholar] [CrossRef] [PubMed]
- Ruban, V.; López-Sánchez, J.F.; Pardo, P.; Rauret, G.; Muntau, H.; Quevauviller, P. Development of a harmonised phosphorus extraction procedure and certification of a sediment reference material. J. Environ. Monit. 2001, 3, 121–125. [Google Scholar] [CrossRef]
- Ma, X.; Li, Y.; Zhang, M.; Zheng, F.; Du, S. Assessment and analysis of non-point source nitrogen and phosphorus loads in the Three Gorges Reservoir Area of Hubei Province, China. Sci. Total Environ. 2011, 412, 154–161. [Google Scholar] [CrossRef]
- Zhang, W.; White, J.R.; DeLaune, R.D. Diverted Mississippi River sediment as a potential phosphorus source affecting coastal Louisiana water quality. J. Freshw. Ecol. 2012, 27, 575–586. [Google Scholar] [CrossRef]
- Xiang, S.; Zhou, W. Phosphorus forms and distribution in the sediments of Poyang Lake, China. Int. J. Sediment Res. 2011, 26, 230–238. [Google Scholar] [CrossRef]
- Zhang, L.; Fan, C.X.; Chi, Q.Q.; Wang, J.J.; Qin, B.Q. Phosphorus species distribution of sediments in Lake Taihu and its main inflow rivers. Geochimica 2004, 33, 423–432, (In Chinese with English Abstract). [Google Scholar]
- CadeMenun, B.J. Characterization of organic phosphorus form and bioavailability in lake sediments using 31P NMR and enzymatic hydrolysis. J. Environ. Qual. 2015, 44, 882. [Google Scholar]
- Bastami, K.D.; Neyestani, M.R.; Raeisi, H.; Shafeian, E.; Baniamam, M.; Shirzadi, A.; Esmaeilzadeh, M.; Mozaffari, S.; Shahrokhi, B. Bioavailability and geochemical speciation of phosphorus in surface sediments of the Southern Caspian Sea. Mar. Pollut. Bull. 2018, 126, 51–57. [Google Scholar] [CrossRef] [PubMed]
- Jin, X.; Wang, S.; Pang, Y.; Wu, F.C. Phosphorus fractions and the effect of pH on the phosphorus release of the sediments from different trophic areas in Taihu Lake, China. Environ. Poll. 2006, 139, 288–295. [Google Scholar] [CrossRef] [PubMed]
- Wu, Y.; Wen, Y.; Zhou, J.; Wu, Y. Phosphorus release from lake sediments: Effects of pH, temperature and dissolved oxygen. Ksce J. Civ. Eng. 2014, 18, 323–329. [Google Scholar] [CrossRef]
- Sun, S.J. Simulated Experiment of Phosphorus Release from Haihe River Sediment. Res. Environ. Sci. 2008, 21, 126–131. [Google Scholar]
- Wang, G.; Liu, G.; Liu, L. Spatial scale effect on seasonal streamflows in permafrost catchments on the Qinghai-Tibet Plateau. Hydrol. Process. 2012, 26, 973–984. [Google Scholar] [CrossRef]
- Liu, J.; Zhang, W.; Liu, T.; Li, Q. Runoff Dynamics and Associated Multi-Scale Responses to Climate Changes in the Middle Reach of the Yarlung Zangbo River Basin, China. Water 2018, 10, 295. [Google Scholar] [CrossRef]
- Nan, S.; Li, J.; Zhang, L.; An, R.; Pu, X.; Huang, W. Distribution Characteristics of Phosphorus in the Yarlung Zangbo River Basin. Water 2018, 10, 913. [Google Scholar] [CrossRef]
- Zhou, J.; Zhang, M.; Li, Z. Dams altered Yangtze River phosphorus and restoration countermeasures. J. Lake Sci. 2018, 30, 865–880. [Google Scholar]
- Bai, X.; Ding, S.; Fan, C.; Liu, T.; Shi, D.; Zhang, L. Organic phosphorus species in surface sediments of a large, shallow, eutrophic lake, Lake Taihu, China. Environ. Pollut. 2009, 157, 2507–2513. [Google Scholar] [CrossRef] [PubMed]
- Nowlin, W.H.; Evarts, J.L.; Vanni, M.J. Release rates and potential fates of nitrogen and phosphorus from sediments in a eutrophic reservoir. Freshw. Biol. 2010, 50, 301–322. [Google Scholar] [CrossRef]
- Rydin, E. Potentially mobile phosphorus in Lake Erken sediment. Water Res. 2000, 34, 2037–2042. [Google Scholar] [CrossRef]
- Martha, S.; Bianchi, T.S.; Mckee, B.A. Effect of seasonal sediment storage in the lower Mississippi River on the flux of reactive particulate phosphorus to the Gulf of Mexico. Limnol. Oceanogr. 2004, 49, 2223–2235. [Google Scholar]
- Garnier, J.; Nemery, J.; Billen, G.; Théry, S. Nutrient dynamics and control of eutrophication in the Marne River system: Modelling the role of exchangeable phosphorus. J. Hydrol. 2005, 304, 397–412. [Google Scholar] [CrossRef]
- Liu, L.Y.; Gao, X.J.; Chen, Z.M.; Song, Z.G. Distribution and Forms of Phosphorus in Intertidal Sediments of the Yangtze Estuary. J. Fudan Univ. (Nat. Sci.) 2005, 44, 1033–1036, (In Chinese with English Abstract). [Google Scholar]
- Liu, L.; Liu, X.D.; Xu, Q.; Ge, X.L.; Wang, Y.H. Phosphorous Species and Their Distribution Characters in Sediments of Miyun Reservoir. Rock Min. Anal. 2003, 22, 81–85, (In Chinese with English Abstract). [Google Scholar]
- Yuan, D.L.; Hu, G.R.; Yu, R.L. Distribution of phosphorus forms in sediments of Luoyang Estuary, Quanzhou Bay. Chin. J. Ecol. 2010, 29, 84–90, (In Chinese with English Abstract). [Google Scholar]
- He, J.; Chen, C.; Deng, W.; Xu, X.; Wang, S.; Liu, W.; Wu, X.; Wang, L. Distribution and release characteristics of phosphorus in water-sediment interface of Lake Dianchi. J. Lake Sci. 2015, 27, 799–810. [Google Scholar]
- Wen, S.F.; Shan, B.Q.; Zhang, H. Spatial Distribution Character of Phosphorus Fractions in Surface Sediment from Chaohu Lake. Environ. Sci. 2012, 33, 2322–2329, (In Chinese with English Abstract). [Google Scholar]
- Zhao, H.C.; Wang, S.R.; Jiao, L.X.; Huang, D. Characteristics of temporal and spatial distribution of the nitrogen forms in the sediments of Erhai Lake. Res. Environ. Sci. 2013, 26, 235–242, (In Chinese with English Abstract). [Google Scholar]
- Yang, G.; Qin, Y.W.; Han, C.N.; Ma, Y.Q.; Liu, Z.C.; Yang, C.C. Distribution of Phosphorus Fractions in Surface Sediments of Minjiang Mainstreams. Environ. Sci. 2018, 39, 2165–2173, (In Chinese with English Abstract). [Google Scholar]
- Lin, C.; Wang, Z.; He, M.; Li, Y.; Liu, R.; Yang, Z. Phosphorus sorption and fraction characteristics in the upper, middle and low reach sediments of the Daliao river systems, China. J. Hazard. Mater. 2009, 170, 278–285. [Google Scholar] [CrossRef] [PubMed]
- 2015 China Land Use Status Remote Sensing Monitoring Database. Available online: http://www.resdc.cn/data.aspx?DATAID=184 (accessed on 1 October 2018).
- Knowledge about Tibet. Available online: http://www.xizang.gov.cn/ (accessed on 1 October 2018).
- Sichuan Statistical Yearbook. 2017. Available online: http://www.sc.stats.gov.cn/tjcbw/tjnj/2017/zk/indexch.htm (accessed on 1 October 2018).
- Zhejiang Statistical Yearbook. 2017. Available online: http://zjjcmspublic.oss-cn-hangzhou.aliyuncs.com/jcms_files/jcms1/web3077/site/flash/-1/2017%E7%BB%9F%E8%AE%A1%E5%B9%B4%E9%89%B4%E5%85%89%E7%9B%98%E6%94%B9%E5%90%8E20180709/indexch.htm (accessed on 1 October 2018).
- Zhao, L. Spatio-Temporal Patterns of the Vegetation Greenness Period and Net Primary Productivity and Their Responses to Climate Change in the Middle and Lower Reaches of Yarlung Zangbo River; East China Normal University: Shanghai, China, 2011. [Google Scholar]
- Lv, Y.; Dong, G.; Yang, S.; Zhou, Q.; Cai, M. Spatio-temporal variation in NDVI in the Yarlung Zangbo River basin and its relationship with precipitation and elevation. Resour. Sci. 2014, 36, 603–611. [Google Scholar]
- Wang, P.; Wang, X.; Wang, C.; Miao, L.; Hou, J.; Yuan, Q. Shift in bacterioplankton diversity and structure: Influence of anthropogenic disturbances along the Yarlung Tsangpo River on the Tibetan Plateau, China. Sci. Rep. 2017, 7, 12529. [Google Scholar] [CrossRef] [PubMed]
- Huang, Q.H.; Wang, Z.J.; Wang, D.H.; Wang, C.X.; Ma, M.; Jin, X.C. Origins and Mobility of Phosphorus Forms in the Sediments of Lakes Taihu and Chaohu, China. J. Environ. Sci. Health Part A Toxic/Hazard. Subst. Environ. Eng. 2005, 40, 91–102. [Google Scholar] [CrossRef]
- Report on the State of the Environment in China. Available online: http://www.zhb.gov.cn/hjzl/zghjzkgb/lnzghjzkgb/201706/P020170605833655914077.pdf (accessed on 1 August 2018).
- Yangtze River Water Resources Bulletin. 2015. Available online: http://www.cjw.gov.cn/zwzc/bmgb/2018gb/34508.html (accessed on 1 August 2018).














| Al-P | Fe-P | Ca-P | Oc-P | IP | OP | TP | |
|---|---|---|---|---|---|---|---|
| SP | 0.166 | 0.640 ** | −0.057 | −0.357 * | 0.134 | −0.132 | 0.121 |
| Al-P | 0.413 ** | −0.004 | 0.117 | 0.119 | 0.242 | 0.136 | |
| Fe-P | 0.119 | 0.214 | 0.373 ** | 0.272 | 0.388 ** | ||
| Ca-P | 0.400 ** | 0.962 ** | 0.163 | 0.955 ** | |||
| Oc-P | 0.463 ** | 0.373 ** | 0.483 ** | ||||
| IP | 0.221 | 0.997 ** | |||||
| OP | 0.296 * |
| Site | Lazi Hydrological Station | Nugesha Hydrological Station | Nuxia Hydrological Station | ||||||
|---|---|---|---|---|---|---|---|---|---|
| Medium | suspended sediments | water currents | Total | suspended sediments | water currents | Total | suspended sediments | water currents | Total |
| P flux (kg/s) | 0.38 | 22.54 | 22.92 | 5.62 | 53.58 | 59.20 | 0.49 | 202.95 | 203.44 |
| Yarlung Zangbo River (Middle Reaches) | Minjiang River | Daliao River Systems | ||||||||||
|---|---|---|---|---|---|---|---|---|---|---|---|---|
| Location | Qinghai-Tibet Plateau | Chengdu Plain | Liaodong Bay | |||||||||
| Length (km) | 1293 | 735 | 922 | |||||||||
| Drainage Area (km2) | 163,951 | 135,881 | 26,790 | |||||||||
| Cites | Shigatse | Lasha | Shannan | Nyingchi | Chengdu | Meishan | Leshan | Yibin | Shenyang | Liaoyang | Anshan | Yinkou |
| Population (10,000 persons) | 79 | 95 | 36 | 22 | 1592 | 300 | 327 | 451 | 734 | 179 | 346 | 233 |
| GDP (100 million yuan) | 202 | 422 | 127 | 116 | 12,170 | 1117 | 1407 | 1653 | 5546 | 667 | 1462 | 1156 |
| Land use information | ![]() | ![]() | ![]() | |||||||||
| Notes | 1 Cultivated land, 2 Woodland, 3 Grassland, 4 Water bodies,5 Urban and rural areas, industrial and mining areas, residential land,6 Outside the province or outside the country, ocean, or unused land,7 ● Points we use to indicate the flow of the river. | |||||||||||
| C(TP) range (mg/kg) | 194.0~540.7 | 522.17~979.22 | 479~1202 | |||||||||
| Average C(TP) (mg/kg) | 408.2 | 744.98 | 670 | |||||||||
| Average C(Fe-P) (mg/kg) | 12.4 | 89.92 | 102.53 | |||||||||
| Rivers | YLZB River | The Yangtze Estuarine and Tidal Flat | Luoyang River | Yili River and Xitiao River of Taihu Lake Basin |
| α | 4.41° | 24.37° | 58.15° | 91.78° |
| Water quality | excellent | excellent | good | Taihu Lake: mildly eutrophic |
| Lakes or Reservoirs | Miyun Reservoir | Dianchi Lake | Chaohu Lake | Erhai Lake |
| α | 43.33° | 94.09° | 96.81° | 82.49° |
| Nutrient condition | medium level of nutrients | moderately eutrophic | mildly eutrophic | medium level of nutrients |
© 2018 by the authors. Licensee MDPI, Basel, Switzerland. This article is an open access article distributed under the terms and conditions of the Creative Commons Attribution (CC BY) license (http://creativecommons.org/licenses/by/4.0/).
Share and Cite
Cheng, X.; Huang, Y.; Pu, X.; An, R.; Huang, W.; Li, J.; Wang, W.; Li, R. Spatial and Seasonal Distribution and Transportation of Different Forms of Phosphorus in the Middle Reaches of the Yarlung Zangbo River. Water 2018, 10, 1858. https://doi.org/10.3390/w10121858
Cheng X, Huang Y, Pu X, An R, Huang W, Li J, Wang W, Li R. Spatial and Seasonal Distribution and Transportation of Different Forms of Phosphorus in the Middle Reaches of the Yarlung Zangbo River. Water. 2018; 10(12):1858. https://doi.org/10.3390/w10121858
Chicago/Turabian StyleCheng, Xiaolong, Yanan Huang, Xunchi Pu, Ruidong An, Wendian Huang, Jia Li, Wei Wang, and Ran Li. 2018. "Spatial and Seasonal Distribution and Transportation of Different Forms of Phosphorus in the Middle Reaches of the Yarlung Zangbo River" Water 10, no. 12: 1858. https://doi.org/10.3390/w10121858
APA StyleCheng, X., Huang, Y., Pu, X., An, R., Huang, W., Li, J., Wang, W., & Li, R. (2018). Spatial and Seasonal Distribution and Transportation of Different Forms of Phosphorus in the Middle Reaches of the Yarlung Zangbo River. Water, 10(12), 1858. https://doi.org/10.3390/w10121858









