Projecting Future Impacts of Global Change Including Fires on Soil Erosion to Anticipate Better Land Management in the Forests of NW Portugal
Abstract
1. Introduction
2. Material and Methods
2.1. Study Site Macieira
2.2. Data Collection
2.3. Model Setup and Calibration Procedure
2.4. Climate and Fire-Related Scenarios
2.5. Land Use and Management Scenarios
2.6. Simulation Design
2.7. Data Analysis
3. Results
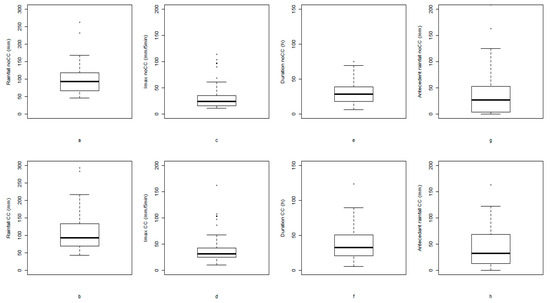
3.1. Variable Explaining Runoff and Sediment Yield in Macieira de Alcoba
3.2. Calibration of Runoff and Sediment Yields Using the LandSoil Model (2010–2014)
3.3. Impact of Climate Change on Major Precipitation Events
3.4. Impacts of Fire Frequency and Post-Fire Mulching on Erosion under Present Climate Conditions
3.5. Runoff and Sediment Yield Under Future Climate Conditions
4. Discussion
4.1. Application of LandSoil to Macieira
4.2. Overall LandSoil Results
4.3. Distinct and Combined Impacts of Global Change and Fire Frequency
4.4. Status of Post Fire Measures Implementation
5. Conclusions
Supplementary Materials
Author Contributions
Funding
Acknowledgments
Conflicts of Interest
References
- Lal, R. Accelerated soil erosion as a source of atmospheric CO2. Soil Tillage Res. 2019, 188, 35–40. [Google Scholar] [CrossRef]
- Walker, B. Global change extensive strategy agriculture options in the regions of the world. Clim. Chang. 1994, 27, 39–47. [Google Scholar] [CrossRef]
- Montgomery, D.R. Soil erosion and agricultural sustainability. Proc. Natl. Acad. Sci. USA 2007, 104, 13268–13272. [Google Scholar] [CrossRef] [PubMed]
- Vanmaercke, M.; Poesen, J.; Verstraeten, G.; de Vente, J.; Ocakoglu, F. Sediment yield in Europe: spatial patterns and scale dependency. Geomorphology 2011, 130, 142–161. [Google Scholar] [CrossRef]
- Woodward, J.C. Patterns of Erosion and Suspended Sediment Yield in Mediterranean River Basins; Wiley: Chichester, UK, 1995. [Google Scholar]
- Cerdan, O.; Govers, G.; Le Bissonnais, Y.; Van Oost, K.; Poesen, J.; Saby, N.; Gobin, A.; Vacca, A.; Quinton, J.; Auerswald, K. Rates and spatial variations of soil erosion in Europe: a study based on erosion plot data. Geomorphology 2010, 122, 167–177. [Google Scholar] [CrossRef]
- Panagos, P.; Borrelli, P.; Meusburger, K.; Alewell, C.; Lugato, E.; Montanarella, L. Estimating the soil erosion cover-management factor at the European scale. Land Use Policy 2015, 48, 38–50. [Google Scholar] [CrossRef]
- De Franchis, L.; Bleu, P.; Ibanez, F. Threats to Soils in Mediterranean Countries: Document Review; PAM, Plan Bleu: Sophia-Antipolis, France, 2003. [Google Scholar]
- Raclot, D.; Le Bissonnais, Y.; Annabi, M.; Sabir, M.; Smetanova, A. Main issues for preserving Mediterranean soil resources from water erosion under global change. L. Degrad. Dev. 2018, 29, 789–799. [Google Scholar] [CrossRef]
- García-Ruiz, J.M.; Nadal-Romero, E.; Lana-Renault, N.; Beguería, S. Erosion in Mediterranean landscapes: changes and future challenges. Geomorphology 2013, 198, 20–36. [Google Scholar] [CrossRef]
- Shakesby, R.A. Post-wildfire soil erosion in the Mediterranean: review and future research directions. Earth Sci. Rev. 2011, 105, 71–100. [Google Scholar] [CrossRef]
- Batllori, E.; Parisien, M.; Krawchuk, M.A.; Moritz, M.A. Climate change-induced shifts in fire for Mediterranean ecosystems. Glob. Ecol. Biogeogr. 2013, 22, 1118–1129. [Google Scholar] [CrossRef]
- Pereira, M.G.; Malamud, B.D.; Trigo, R.M.; Alves, P.I. The history and characteristics of the 1980–2005 Portuguese rural fire database. Nat. Hazards Earth Syst. Sci. 2011, 11, 3343–3358. [Google Scholar] [CrossRef]
- Doerr, S.H.; Santín, C. Global trends in wildfire and its impacts: perceptions versus realities in a changing world. Philos. Trans. R. Soc. B Biol. Sci. 2016, 371, 20150345. [Google Scholar] [CrossRef] [PubMed]
- Ferreira, A.J.D.; Coelho, C.O.A.; Ritsema, C.J.; Boulet, A.K.; Keizer, J.J. Soil and water degradation processes in burned areas: lessons learned from a nested approach. Catena 2008, 74, 273–285. [Google Scholar] [CrossRef]
- Ferreira, A.J.D.; Alegre, S.P.; Coelho, C.O.A.; Shakesby, R.A.; Páscoa, F.M.; Ferreira, C.S.S.; Keizer, J.J.; Ritsema, C. Strategies to prevent forest fires and techniques to reverse degradation processes in burned areas. Catena 2015, 128, 224–237. [Google Scholar] [CrossRef]
- Campos, I.; Abrantes, N.; Pereira, P.; Keizer, J.J. Chap. 9. Polycyclic aromatic hydrocarbons; Pereira, P., Mataix-Solera, J., Úbeda, X., Rein, G., Cerda, A., Eds.; CSIRO PUBLISHING: Sydney, Australia, 2019. [Google Scholar]
- Nunes, B.; Silva, V.; Campos, I.; Pereira, J.L.; Pereira, P.; Keizer, J.J.; Gonçalves, F.; Abrantes, N. Off-site impacts of wildfires on aquatic systems—biomarker responses of the mosquitofish Gambusia holbrooki. Sci. Total Environ. 2017, 581, 305–313. [Google Scholar] [CrossRef]
- Nunes, J.P.; Naranjo Quintanilla, P.; Santos, J.M.; Serpa, D.; Carvalho-Santos, C.; Rocha, J.; Keizer, J.J.; Keesstra, S.D. Afforestation, subsequent forest fires and provision of hydrological services: A model-based analysis for a Mediterranean mountainous catchment. Land Degrad. Dev. 2018, 29, 776–788. [Google Scholar] [CrossRef]
- Bedia, J.; Herrera, S.; Gutiérrez, J.M.; Benali, A.; Brands, S.; Mota, B.; Moreno, J.M. Global patterns in the sensitivity of burned area to fire-weather: Implications for climate change. Agric. For. Meteorol. 2015, 214, 369–379. [Google Scholar] [CrossRef]
- Sousa, P.M.; Trigo, R.M.; Pereira, M.G.; Bedia, J.; Gutiérrez, J.M. Different approaches to model future burnt area in the Iberian Peninsula. Agric. For. Meteorol. 2015, 202, 11–25. [Google Scholar] [CrossRef]
- Barbero, R.; Abatzoglou, J.T.; Larkin, N.K.; Kolden, C.A.; Stocks, B. Climate change presents increased potential for very large fires in the contiguous United States. Int. J. Wildl. Fire 2015, 24, 892–899. [Google Scholar] [CrossRef]
- Wang, X.; Thompson, D.K.; Marshall, G.A.; Tymstra, C.; Carr, R.; Flannigan, M.D. Increasing frequency of extreme fire weather in Canada with climate change. Clim. Chang. 2015, 130, 573–586. [Google Scholar] [CrossRef]
- Liu, Z.; Wimberly, M.C. Direct and indirect effects of climate change on projected future fire regimes in the western United States. Sci. Total Environ. 2016, 542, 65–75. [Google Scholar] [CrossRef] [PubMed]
- Syphard, A.D.; Sheehan, T.; Rustigian-Romsos, H.; Ferschweiler, K. Mapping future fire probability under climate change: Does vegetation matter? PLoS ONE 2018, 13, e0201680. [Google Scholar] [CrossRef] [PubMed]
- Fernández, C.; Vega, J.A. Evaluation of RUSLE and PESERA models for predicting soil erosion losses in the first year after wildfire in NW Spain. Geoderma 2016, 273, 64–72. [Google Scholar] [CrossRef]
- Ferreira, V.; Panagopoulos, T. Seasonality of Soil Erosion Under Mediterranean Conditions at the Alqueva Dam Watershed. Environ. Manag. 2014, 54, 67–83. [Google Scholar] [CrossRef] [PubMed]
- Keizer, J.J.; Silva, F.C.; Vieira, D.C.S.; González-Pelayo, O.; Campos, I.; Vieira, A.M.D.; Valente, S.; Prats, S.A. The effectiveness of two contrasting mulch application rates to reduce post-fire erosion in a Portuguese eucalypt plantation. Catena 2018, 169, 21–30. [Google Scholar] [CrossRef]
- Prats, S.A.; Malvar, M.C.; Vieira, D.C.S.; MacDonald, L.; Keizer, J.J. Effectiveness of Hydromulching to Reduce Runoff and Erosion in a Recently Burnt Pine Plantation in Central Portugal. Land Degrad. Dev. 2016, 27, 1319–1333. [Google Scholar] [CrossRef]
- Gómez-Rey, M.X.; Couto-Vázquez, A.; García-Marco, S.; Vega, J.A.; González-Prieto, S.J. Reduction of nutrient losses with eroded sediments by post-fire soil stabilisation techniques. Int. J. Wildl. Fire 2013, 22, 696–706. [Google Scholar] [CrossRef]
- Prats, S.A.; González-Pelayo, Ó.; Silva, F.C.; Bokhorst, K.J.; Baartman, J.E.M.; Keizer, J.J. Post-fire soil erosion mitigation at the scale of swales using forest logging residues at a reduced application rate. Earth Surf. Process. Landf. 2019. [Google Scholar] [CrossRef]
- Prats, S.A.; MacDonald, L.H.; Monteiro, M.; Ferreira, A.J.D.; Coelho, C.O.A.; Keizer, J.J. Effectiveness of forest residue mulching in reducing post-fire runoff and erosion in a pine and a eucalypt plantation in north-central Portugal. Geoderma 2012, 191, 115–124. [Google Scholar] [CrossRef]
- Robichaud, P.R.; Ashmun, L.E.; Sims, B.D. Post-Fire Treatment Effectiveness for Hillslope Stabilization; General Technical Report RMRS-GTR-240; US Department of Agriculture, Forest Service, Rocky Mountain Research Station: Fort Collins, CO, USA, 2010.
- Vega, J.A. Acciones urgentes contra la erosión en áreas forestales quemadas: Guía para su planificación en Galicia; INIA. Xunt.; Andavira: Santiago de Compostela, Spain, 2013; ISBN 8484087166. [Google Scholar]
- Hosseini, M.; Keizer, J.J.; Pelayo, O.G.; Prats, S.A.; Ritsema, C.; Geissen, V. Effect of fire frequency on runoff, soil erosion, and loss of organic matter at the micro-plot scale in north-central Portugal. Geoderma 2016, 269, 126–137. [Google Scholar] [CrossRef]
- Ferreira, C.G. Erosão Hídrica em Solos Florestais. Estudo em povoamentos de Pinus pinaster e Eucalyptus globulus em Macieira de Alcoba. 1996. Available online: http://www.dcs.ufla.br/site/_adm/upload/file/pdf/Prof%20Marx/Aula%205/Outro%20art%20interesse/Ferreira%201996_erosao%20em%20floresta.pdf (accessed on 10 December 2019).
- Hawtree, D.; Nunes, J.P.; Keizer, J.J.; Jacinto, R.; Santos, J.; Rial-Rivas, M.E.; Boulet, A.-K.; Tavares-Wahren, F.; Feger, K.-H. Time series analysis of the long-term hydrologic impacts of afforestation in the Águeda watershed of north-central Portugal. Hydrol. Earth Syst. Sci. 2015, 19, 3033–3045. [Google Scholar] [CrossRef]
- Nunes, J.P.; Bernard-Jannin, L.; Rodríguez Blanco, M.L.; Santos, J.M.; Coelho, C.O.A.; Keizer, J.J. Hydrological and erosion processes in terraced fields: observations from a humid Mediterranean region in Northern Portugal. Land Degrad. Dev. 2018, 29, 596–606. [Google Scholar] [CrossRef]
- Ciampalini, R.; Follain, S.; Cheviron, B.; Le Bissonnais, Y.; Couturier, A.; Moussa, R.; Walter, C. Local Sensitivity Analysis of the LandSoil Erosion Model Applied to a Virtual Catchment. In Sensitivity Analysis in Earth Observation Modelling; Elsevier: Wales, UK, 2017; pp. 55–73. [Google Scholar]
- Ciampalini, R.; Follain, S.; Le Bissonnais, Y. LandSoil: a model for analysing the impact of erosion on agricultural landscape evolution. Geomorphology 2012, 175, 25–37. [Google Scholar] [CrossRef]
- Jenson, S.K.; Domingue, J.O. Extracting topographic structure from digital elevation data for geographic information system analysis. Photogramm. Eng. Remote Sens. 1988, 54, 1593–1600. [Google Scholar]
- Souchere, V.; King, D.; Daroussin, J.; Papy, F.; Capillon, A. Effects of tillage on runoff directions: consequences on runoff contributing area within agricultural catchments. J. Hydrol. 1998, 206, 256–267. [Google Scholar] [CrossRef]
- Souchere, V.; Cerdan, O.; Ludwig, B.; Le Bissonnais, Y.; Couturier, A.; Papy, F. Modelling ephemeral gully erosion in small cultivated catchments. Catena 2003, 50, 489–505. [Google Scholar] [CrossRef]
- Cerdan, O.; Le Bissonnais, Y.; Couturier, A.; Saby, N. Modelling interrill erosion in small cultivated catchments. Hydrol. Process. 2002, 16, 3215–3226. [Google Scholar] [CrossRef]
- Cerdan, O.; Souchère, V.; Lecomte, V.; Couturier, A.; Le Bissonnais, Y. Incorporating soil surface crusting processes in an expert-based runoff model: sealing and transfer by runoff and erosion related to agricultural management. Catena 2002, 46, 189–205. [Google Scholar] [CrossRef]
- Govers, G.; Vandaele, K.; Desmet, P.; Poesen, J.; Bunte, K. The role of tillage in soil redistribution on hillslopes. Eur. J. Soil Sci. 1994, 45, 469–478. [Google Scholar] [CrossRef]
- Van Muysen, W.; Govers, G.; Van Oost, K.; Van Rompaey, A. The effect of tillage depth, tillage speed, and soil condition on chisel tillage erosivity. J. Soil Water Conserv. 2000, 55, 355–364. [Google Scholar]
- Hutchinson, M.F.; Xu, T.; Stein, J.A. Recent progress in the ANUDEM elevation gridding procedure. Geomorphometry 2011, 2011, 19–22. [Google Scholar]
- Nunes, J.P.; Nearing, M.A. Modelling impacts of climatic change: case studies using the new generation of erosion models. Handbook of Erosion Modelling; John Wiley & Sons, Ltd.: Hoboken, NJ, USA, 2011; pp. 289–312. [Google Scholar]
- Van Vuuren, D.P.; Edmonds, J.; Kainuma, M.; Riahi, K.; Thomson, A.; Hibbard, K.; Hurtt, G.C.; Kram, T.; Krey, V.; Lamarque, J.-F. The representative concentration pathways: an overview. Clim. Chang. 2011, 109, 5–31. [Google Scholar] [CrossRef]
- Fantini, A.; Raffaele, F.; Torma, C.; Bacer, S.; Coppola, E.; Giorgi, F.; Ahrens, B.; Dubois, C.; Sanchez, E.; Verdecchia, M. Assessment of multiple daily precipitation statistics in ERA-Interim driven Med-CORDEX and EURO-CORDEX experiments against high resolution observations. Clim. Dyn. 2018, 51, 877–900. [Google Scholar] [CrossRef]
- Van Wagner, C.E. Development and Structure of the Canadian Forest Fire Weather Index System; Canadian Forestry Service: Ottawa, ON, Canada, 1987; Volume 35, ISBN 0662151984.
- Berrisford, P.; Dee, D.P.; Poli, P.; Brugge, R.; Fielding, M.; Fuentes, M.; Kallberg, P.W.; Kobayashi, S.; Uppala, S.; Simmons, A. The ERA-Interim archive Version 2.0; ECMWF: Reading, UK, 2011. [Google Scholar]
- Gudmundsson, L.; Bremnes, J.B.; Haugen, J.E.; Engen-Skaugen, T. Downscaling RCM precipitation to the station scale using statistical transformations–a comparison of methods. Hydrol. Earth Syst. Sci. 2012, 16, 3383–3390. [Google Scholar] [CrossRef]
- Prats, S.; Malvar, M.; Martins, M.A.S.; Keizer, J.J. Post-fire soil erosion mitigation: a review of the last research and techniques developed in Portugal. Cuad. Investig. Geográfica 2014, 40, 403–428. [Google Scholar] [CrossRef]
- Badia, D.; Marti, C. Seeding and mulching treatments as conservation measures of two burned soils in the central ebro valley, ne spain. Arid Soil Res. Rehabil. 2000, 14, 219–232. [Google Scholar] [CrossRef]
- Fernández, C.; Vega, J.A. Are erosion barriers and straw mulching effective for controlling soil erosion after a high severity wildfire in NW Spain? Ecol. Eng. 2016, 87, 132–138. [Google Scholar] [CrossRef]
- Rodriguez-Blanco, M.L.; Taboada-Castro, M.M.; Palleiro, L.; Taboada-Castro, M.T. Assessment of the effects of rainfall variability on the hydrological regime of a small rural catchment in Northwest Spain: preliminary results. In Proceedings of the EGU General Assembly Conference Abstracts, Vienna, Austria, 2–7 May 2010; Volume 12, p. 14227. [Google Scholar]
- Alves, A.M. O eucaliptal em Portugal: impactes ambientais e investigação cientifica; Univ. Técnica, Inst. Superior de Agronomia: Lisbon, Portugal, 2007; ISBN 9728669259. [Google Scholar]
- Nunes, J.P.; Doerr, S.H.; Sheridan, G.; Neris, J.; Santín, C.; Emelko, M.B.; Silins, U.; Robichaud, P.R.; Elliot, W.J.; Keizer, J. Assessing water contamination risk from vegetation fires: challenges, opportunities and a framework for progress. Hydrol. Process. 2018. [Google Scholar] [CrossRef]
- Malvar, M.C.; Silva, F.C.; Prats, S.A.; Vieira, D.C.S.; Coelho, C.O.A.; Keizer, J.J. Short-term effects of post-fire salvage logging on runoff and soil erosion. For. Ecol. Manag. 2017, 400, 555–567. [Google Scholar] [CrossRef]
- Santos, R.M.B.; Sanches Fernandes, L.F.; Pereira, M.G.; Cortes, R.M.V.; Pacheco, F.A.L. A framework model for investigating the export of phosphorus to surface waters in forested watersheds: Implications to management. Sci. Total Environ. 2015, 536, 295–305. [Google Scholar] [CrossRef] [PubMed]
- Shakesby, R.A.; Boakes, D.J.; Coelho, C.O.A.; Gonçalves, A.J.B.; Walsh, R.P.D. Limiting the soil degradational impacts of wildfire in pine and eucalyptus forests in Portugal: a comparison of alternative post-fire management practices. Appl. Geogr. 1996, 16, 337–355. [Google Scholar] [CrossRef]
- Li, Z.; Fang, H. Impacts of climate change on water erosion: A review. Earth-Sci. Rev. 2016, 163, 94–117. [Google Scholar] [CrossRef]
- Paroissien, J.-B.; Darboux, F.; Couturier, A.; Devillers, B.; Mouillot, F.; Raclot, D.; Le Bissonnais, Y. A method for modeling the effects of climate and land use changes on erosion and sustainability of soil in a Mediterranean watershed (Languedoc, France). J. Environ. Manag. 2015, 150, 57–68. [Google Scholar] [CrossRef]
- Smetanová, A.; Nunes, J.; Symenoakis, E.; Brevik, E.; Schindelwolf, M.; Ciampalini, R. Mapping and modelling soil erosion to address societal challenges in a changing world. Land Degrad. Dev. 2019. [Google Scholar] [CrossRef]
- De Figueiredo, T.; Fonseca, F.; Lima, E.; Fleischfresser, L.; Hernandez, Z. Assessing Performance of Post-Fire Hillslope Erosion Control Measures Designed for Different Implementation Scenarios in NE Portugal: Simulations Applying USLE; Nova Scien.: Bragança, Portugal, 2017. [Google Scholar]
- Prats, S.A.; Wagenbrenner, J.W.; Martins, M.A.S.; Malvar, M.C.; Keizer, J.J. Mid-term and scaling effects of forest residue mulching on post-fire runoff and soil erosion. Sci. Total Environ. 2016, 573, 1242–1254. [Google Scholar] [CrossRef]
- Prats, S.A.; dos Santos Martins, M.A.; Malvar, M.C.; Ben-Hur, M.; Keizer, J.J. Polyacrylamide application versus forest residue mulching for reducing post-fire runoff and soil erosion. Sci. Total Environ. 2014, 468, 464–474. [Google Scholar] [CrossRef]
- Brauman, K.A.; Daily, G.C.; Duarte, T.K.; Mooney, H.A. The nature and value of ecosystem services: An overview highlighting hydrologic services. Annu. Rev. Environ. Resour. 2007, 32, 67–98. [Google Scholar] [CrossRef]
- Jones, O.D.; Nyman, P.; Sheridan, G.J. A stochastic coverage model for erosion events caused by the intersection of burnt forest and convective thunderstorms. In Proceedings of the MODSIM 2011—19th International Congress on Modelling and Simulation—Sustaining Our Future: Understanding and Living with Uncertainty, Perth, Australia, 12–16 December 2011; pp. 2338–2344. [Google Scholar]
- Lopes, A.F.; Macdonald, J.L.; Quinteiro, P.; Arroja, L.; Carvalho-Santos, C.; Cunha-e-Sá, M.A.; Dias, A.C. Surface vs. groundwater: The effect of forest cover on the costs of drinking water. Water Resour. Econ. 2019, 28, 100123. [Google Scholar] [CrossRef]
- Mulumba, L.N.; Lal, R. Mulching effects on selected soil physical properties. Soil Tillage Res. 2008, 98, 106–111. [Google Scholar] [CrossRef]










| Characteristics | Value |
|---|---|
| Altitude | 440 to 620 m asl |
| Gravelius compactness coefficient | 1.2 |
| Average Slope | 16% |
| Average channel slope | 11% |
| Drainage density | 2.4 km km−2 |
| Landuse | forest (60%), cropland (23%), terraced cropland (12%), urban (5%) |
| Geology | granite (lowland), schist (slopes) |
| Soil | CMu (lowland), LPu (slopes) |
| No Climate Change (noCC) |
|---|
| No fire |
| 1 fire |
| 1 fire + Mulch |
| 2 fires |
| 2 fires + Mulch |
| No Climate Change (noCC) | Climate Change (CC) Including 1 Fire | Climate Change (CC) Including 2 Fires | |
|---|---|---|---|
| S0 Control | Period: 1986–2005 1 fire in 1995 | Period: 2041–2060 1 fire in 2051 | Period: 2041–2060 2 fires in 2042 and 2051 |
| S1 Business as usual | |||
| S2 Market-oriented | |||
| S3 Environmental protection | |||
| S4 Sustainable |
| Cumulative Runoff during 3 Post-Fire Years (mm) | Cumulative Runoff (mm) | Relative Contribution of Fire Events * to Runoff | SY during 3 Post-Fire Years (Mg ha−1) | SY (SY) (Mg ha−1) | Relative Contribution of Fire Events * to SY | ||
|---|---|---|---|---|---|---|---|
| Absolute values | Control (S0 + 1 fire) (i) | 299 | 1948 | 15% | 0.27 | 0.63 | 43% |
| Control without fire (ii) | 229 | 1878 | 12% | 0.06 | 0.42 | 15% | |
| Control + mulch (iii) | 279 | 1927 | 14% | 0.17 | 0.53 | 32% | |
| 2 fires (iv) | 755 | 2042 | 37% | 0.56 | 0.81 | 69% | |
| 2 fires + mulch (v) | 710 | 1992 | 36% | 0.34 | 0.59 | 58% | |
| Relative values (%) | Impact of preventing fire occurrence (ii − i)/i | −23% | −3% | −82% | −33% | ||
| Impact of doubling fire frequency (iv − i)/i | 153% | 5% | 86% | 28% | |||
| Impact of mulch if 1 fire (iii − i)/i | −7% | −1% | −35% | −16% | |||
| Impact of mulch if 2 fires (v − iv)/iv | −6% | −2% | −40% | −28% |
| Parameter | Runoff (mm) | Sediment Yield (Mg ha−1) | |||||||||
|---|---|---|---|---|---|---|---|---|---|---|---|
| Scenario | S0 | S1 | S2 | S3 | S4 | S0 | S1 | S2 | S3 | S4 | |
| Absolute values | Control (noCC + 1 fire) (i) | 2046 | 2064 | 2098 | 2029 | 2044 | 0.61 | 0.80 | 1.17 | 0.29 | 0.47 |
| CC including 1 fire (ii) | 2227 | 2489 | 2513 | 2262 | 2311 | 0.73 | 1.17 | 1.65 | 0.35 | 0.52 | |
| CC including 2 fires (iii) | 2314 | 2576 | 2612 | 2340 | 2465 | 0.90 | 1.38 | 1.78 | 0.46 | 0.65 | |
| Relative changes | Impact of CC if 1 fire ((ii) − (i))/(i) | 9% | 21% | 20% | 11% | 13% | 19% | 45% | 41% | 21% | 11% |
| Impact of CC if 2 fires ((iii) − (i))/(i) | 13% | 25% | 24% | 15% | 21% | 48% | 73% | 52% | 59% | 38% | |
| Impact of fire under CC ((iii) − (ii))/(ii) | 4% | 3% | 4% | 3% | 7% | 23% | 18% | 8% | 29% | 12% | |
| Impact of LU under present climate conditions (comparison of Sx − S0 /S0 for (i)) | 1% | 3% | −1% | 0% | 31% | 92% | −52% | −23% | |||
| Impact of LU under CC (comparison of Sx − S0 /S0 for (iii)) | 11% | 13% | 1% | 7% | 53% | 98% | −49% | −28% | |||
| Combined impact of LU + CC (with 2 fires) (comparison of S1−S4 including CC (iii) to S0 without CC) | 13% | 26% | 28% | 14% | 20% | 48% | 126% | 192% | −25% | 7% | |
© 2019 by the authors. Licensee MDPI, Basel, Switzerland. This article is an open access article distributed under the terms and conditions of the Creative Commons Attribution (CC BY) license (http://creativecommons.org/licenses/by/4.0/).
Share and Cite
Pastor, A.V.; Nunes, J.P.; Ciampalini, R.; Koopmans, M.; Baartman, J.; Huard, F.; Calheiros, T.; Le-Bissonnais, Y.; Keizer, J.J.; Raclot, D. Projecting Future Impacts of Global Change Including Fires on Soil Erosion to Anticipate Better Land Management in the Forests of NW Portugal. Water 2019, 11, 2617. https://doi.org/10.3390/w11122617
Pastor AV, Nunes JP, Ciampalini R, Koopmans M, Baartman J, Huard F, Calheiros T, Le-Bissonnais Y, Keizer JJ, Raclot D. Projecting Future Impacts of Global Change Including Fires on Soil Erosion to Anticipate Better Land Management in the Forests of NW Portugal. Water. 2019; 11(12):2617. https://doi.org/10.3390/w11122617
Chicago/Turabian StylePastor, Amandine Valérie, Joao Pedro Nunes, Rossano Ciampalini, Myke Koopmans, Jantiene Baartman, Frédéric Huard, Tomas Calheiros, Yves Le-Bissonnais, Jan Jacob Keizer, and Damien Raclot. 2019. "Projecting Future Impacts of Global Change Including Fires on Soil Erosion to Anticipate Better Land Management in the Forests of NW Portugal" Water 11, no. 12: 2617. https://doi.org/10.3390/w11122617
APA StylePastor, A. V., Nunes, J. P., Ciampalini, R., Koopmans, M., Baartman, J., Huard, F., Calheiros, T., Le-Bissonnais, Y., Keizer, J. J., & Raclot, D. (2019). Projecting Future Impacts of Global Change Including Fires on Soil Erosion to Anticipate Better Land Management in the Forests of NW Portugal. Water, 11(12), 2617. https://doi.org/10.3390/w11122617

