Effects of Tractor Passes on Hydrological and Soil Erosion Processes in Tilled and Grassed Vineyards
Abstract
1. Introduction
2. Materials and Methods
2.1. Study Site
2.2. Measurements
2.2.1. Rainfall, Runoff, and Soil Water Content
2.2.2. Soil Compaction Measurements
2.2.3. Field-Saturated Soil Hydraulic Conductivity (Kfs)
2.2.4. Statistical Analysis
3. Results
3.1. Rainfall
3.2. Soil Moisture
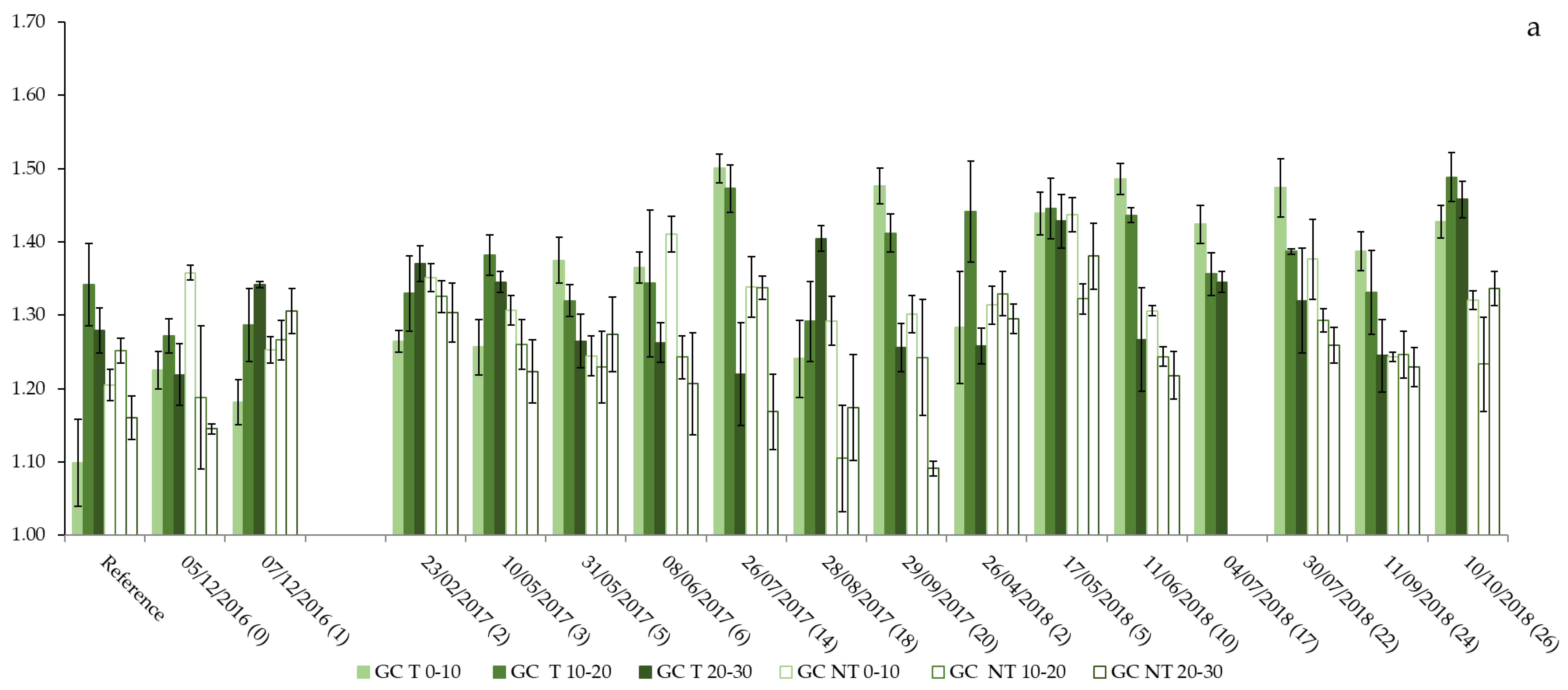
3.3. Soil Compaction
3.3.1. Proctor Test
3.3.2. Bulk Density
3.3.3. Soil Penetration Resistance
3.4. Field-Saturated Hydraulic Conductivity
3.5. Runoff and Soil Losses
4. Discussion
5. Conclusions
Author Contributions
Funding
Acknowledgments
Conflicts of Interest
References
- OIV-Organizzazione Internazionale della Vigna e del Vino. Available online: http://www.oiv.int/ (accessed on 15 August 2019).
- Martucci, O.; Arcese, G.; Montauti, C.; Acampora, A. Social Aspects in the Wine Sector: Comparison between Social Life Cycle Assessment and VIVA Sustainable Wine Project Indicators. Resources 2019, 8, 69. [Google Scholar] [CrossRef]
- Vaudour, E.; Costantini, E.; Jones, G.V.; Mocali, S. An overview of the recent approaches to terroir functional modelling, footprinting and zoning. Soil 2015, 1, 287–312. [Google Scholar] [CrossRef]
- Millennium Ecosystem Assessment. Ecosystems and Human Well-Being: Synthesis; Island Press: Washington, DC, USA, 2005; ISBN 1-59726-040-1. [Google Scholar]
- Beaufoy, G. EU Policies for Olive Farming; Unsustainable on All Counts; BirdLife International-WWF: Brussels, Belgium, 2001. [Google Scholar]
- Scheidel, A.; Krausmann, F. Diet, trade and land use: A socio-ecological analysis of the transformation of the olive oil system. Land Use Policy 2011, 28, 47–56. [Google Scholar] [CrossRef]
- Fernandez Escobar, R.; de la Rosa, R.; Leon, L.; Gomez, J.A.; Testi, F.; Orgaz, M.; Gil-Ribes, J.A.; Quesada-Moraga, E.; Trapero, A. Evolution and sustainability of the olive production systems. In Present and Future of the Mediterranean Olive Sector; Arcas, N., Arroyo López, F.N., Caballero, J., D’Andria, R., Fernández, M., Fernandez, E.R., Garrido, A., López-Miranda, J., Msallem, M., Parras, M., et al., Eds.; CIHEAM/IOC: Zaragoza, Spain, 2013; pp. 11–42. [Google Scholar]
- Communication from the Commission to the Council, the European Parliament, the European economic and social Committee and the Committee of the Regions. Thematic Strategy for Soil Protection; CEC: Brussels, Belgium, 2006. [Google Scholar]
- European Parliament. Proposal for a Directive of the European Parliament and of the Council Establishing a Framework for the Protection of Soil and Amending Directive 2004/35/EC; CEC: Brussels, Belgium, 2006.
- FAO & ITPS. Status of the World’s Soil Resources (Main Report); FAO: Rome, Italy, 2015; p. 608. [Google Scholar]
- Hamza, M.A.; Anderson, W.K. Soil compaction in cropping systems: A review of the nature, causes and possible solutions. Soil Tillage Res. 2005, 82, 121–145. [Google Scholar] [CrossRef]
- Biddoccu, M.; Ferraris, S.; Pitacco, A.; Cavallo, E. Temporal variability of soil management effects on soil hydrological properties, runoff and erosion at the field scale in a hillslope vineyard, North-West Italy. Soil Tillage Res. 2017, 165, 46–58. [Google Scholar] [CrossRef]
- Ferrero, A.; Usowicz, B.; Lipiec, J. Effects of Tractor Traffic on Spatial Variability of Soil Strength and Water Content in Grass Covered and Cultivated Sloping Vineyard. Soil Tillage Res. 2005, 84, 127–138. [Google Scholar] [CrossRef]
- Ferreira, C.S.S.; Keizer, J.J.; Santos, L.M.B.; Serpa, D.; Silva, V.; Cerqueira, M.; Ferreira, A.J.D.; Abrantes, N. Runoff, sediment and nutrient exports from a Mediterranean vineyard under integrated production: An experiment at plot scale. Agric. Ecosyst. Environ. 2018, 256, 184–193. [Google Scholar] [CrossRef]
- Gómez, J.A. Sustainability using cover crops in Mediterranean tree crops, olives and vines—Challenges and current knowledge. Hung. Geogr. Bull. 2017, 66, 13–28. [Google Scholar] [CrossRef]
- Bagagiolo, G.; Biddoccu, M.; Rabino, D.; Cavallo, E. Effects of rows arrangement, soil management, and rainfall characteristics on water and soil losses in Italian sloping vineyards. Environ. Res. 2018, 166, 690–704. [Google Scholar] [CrossRef]
- Kirchhoff, M.; Rodrigo-Comino, J.; Seeger, M.; Ries, J.B. Soil erosion in sloping vineyards under conventional and organic land use managements (Saar-Mosel Valley, Germany). Cuadernos de Investigación Geográfica 2017, 207, 119–140. [Google Scholar] [CrossRef]
- Comino, J.R.; Senciales, J.M.; Ramos, M.C.; Martínez-Casasnovas, J.A.; Lasanta, T.; Brevik, E.C.; Ries, J.B.; Sinoga, J.R. Understanding soil erosion processes in Mediterranean sloping vineyards (Montes de Málaga, Spain). Geoderma 2017, 296, 47–59. [Google Scholar] [CrossRef]
- Novara, A.; Gristina, L.; Saladino, S.S.; Santoro, A.; Cerdà, A. Soil erosion assessment on tillage and alternative soil managements in a Sicilian Vineyard. Soil Tillage Res. 2011, 117, 140–147. [Google Scholar] [CrossRef]
- Biddoccu, M.; Opsi, F.; Cavallo, E. Relationship between runoff and soil losses with rainfall characteristics and long-term soil management practices in a hilly vineyard (Piedmont, NW Italy). Soil Sci. Plant Nutr. 2014, 60, 92–99. [Google Scholar] [CrossRef]
- Biddoccu, M.; Zecca, O.; Audisio, C.; Godone, F.; Barmaz, A.; Cavallo, E. Assessment of long-term soil erosion in a mountain vineyard, Aosta Valley (NW Italy). Land Degrad. Dev. 2018, 29, 617–629. [Google Scholar] [CrossRef]
- Winter, S.; Bauer, T.; Strauss, P.; Kratschmer, S.; Paredes, D.; Popescu, D.; Landa, B.; Guzmán, G.; Gómez, J.A.; Guernion, M.; et al. Effects of vegetation management intensity on biodiversity and ecosystem services in vineyards: A meta-analysis. J. Appl. Ecol. 2018, 55, 2484–2495. [Google Scholar] [CrossRef] [PubMed]
- Novara, A.; Minacapilli, M.; Santoro, A.; Rodrigo-Comino, J.; Carrubba, A.; Sarno, M.; Venezia, G.; Gristina, L. Real cover crops contribution to soil organic carbon sequestration in sloping vineyard. Sci. Total Environ. 2019, 652, 300–306. [Google Scholar] [CrossRef] [PubMed]
- Garcia, L.; Celette, F.; Gary, C.; Ripoche, A.; Valdés-Gómez, H.; Metay, A. Management of service crops for the provision of ecosystem services in vineyards: Areview. Agric. Ecosyst. Environ. 2018, 251, 158–170. [Google Scholar] [CrossRef]
- Guzmán, G.; Cabezas, J.M.; Sánchez-Cuesta, R.; Zaller, J.G.; Gómez, J.A. A field evaluation of the impact of temporary cover crops on soil properties and vegetation communities in southern Spain vineyards. Agric. Ecosyst. Environ. 2019, 272, 135–145. [Google Scholar] [CrossRef]
- López-Vicente, M.; Álvarez, S. Stability and patterns of topsoil water content in rainfed vineyards, olive groves, and cereal fields under different soil and tillage conditions. Agric. Water Manag. 2018, 201, 167–176. [Google Scholar] [CrossRef]
- Haruna, S.; Nkongolo, N.; Anderson, S.; Eivazi, F.; Zaibon, S. In situ infiltration as influenced by cover crop and tillage management. J. Soil Water Conserv. 2018, 73, 164–172. [Google Scholar] [CrossRef]
- Capello, G.; Biddoccu, M.; Ferraris, S.; Pitacco, A.; Cavallo, E. Year-round variability of field-saturated hydraulic conductivity and runoff in tilled and grassed vineyards. Chem. Eng. Trans. 2017, 58, 739–744. [Google Scholar] [CrossRef]
- Gaudin, R.; Celette, F.; Gary, C. Contribution of runoff to incomplete off season soil water refilling in a Mediterranean vineyard. Agric. Water Manag. 2010, 97, 1534–1540. [Google Scholar] [CrossRef]
- Celette, F.; Gaudin, R.; Gary, C. Spatial and temporal changes to the water regime of a Mediterranean vineyard due to the adoption of cover cropping. Eur. J. Agron. 2008, 29, 153–162. [Google Scholar] [CrossRef]
- Fourie, J.C. Soil Management in the Breede River Valley Wine Grape Region, South Africa. Organic matter and macro-nutrient content of a medium-textured soil. S. Afr. J. Enol. Vitic. 2012, 33, 105–114. [Google Scholar] [CrossRef]
- Guilpart, N.; Metay, A.; Gary, C. Grapevine bud fertility and number of berries per bunch are determined by water and nitrogen stress around flowering in the previous year. Eur. J. Agron. 2014, 54, 9–20. [Google Scholar] [CrossRef]
- Ruiz-Colmenero, M.; Bienes, R.; Marques, M.J. Soil and water conservation dilemmas associated with the use of green cover in steep vineyards. Soil Tillage Res. 2011, 117, 221–223. [Google Scholar] [CrossRef]
- IPLA. Programma di Sviluppo Rurale 2007–2013—Monitoraggio Ambientale. Available online: http://www.regione.piemonte.it/agri/psr2007_13/dwd/monitoraggio/PSRvalutazioneFinale2016.pdf (accessed on 29 December 2018).
- Cerdà, A.; Keesstra, S.D.; Rodrigo-Comino, J.; Novara, A.; Pereira, P.; Brevik, E.; Giménez-Morera, A.; Fernández-Raga, M.; Pulido, M.; di Prima, S.; et al. Runoff initiation, soil detachment and connectivity are enhanced as a consequence of vineyards plantations. J. Environ. Manag. 2017, 202, 268–275. [Google Scholar] [CrossRef] [PubMed]
- Ramos, M.C.; Martínez-Casasnovas, J.A. Impact of land levelling on soil moisture and runoff variability in vineyards under different rainfall distributions in a Mediterranean climate and its influence on crop productivity. J. Hydrol. 2006, 31, 131–146. [Google Scholar] [CrossRef]
- Lagacherie, P.; Coulouma, G.; Ariagno, P.; Virat, P.; Boizard, H.; Richard, G. Spatial variability of soil compaction over a vineyard region in relation with soils and cultivation operations. Geoderma 2006, 134, 207–216. [Google Scholar] [CrossRef]
- Marinello, F.; Pezzuolo, A.; Cillis, D.; Chiumenti, A.; Sartori, L. Traffic effects on soil compaction and sugar beet (Beta vulgaris L.) taproot quality parameters. Span. J. Agric. Res. 2017, 15, 11. [Google Scholar] [CrossRef]
- Spinelli, R.; Magagnotti, N.; Cavallo, E.; Capello, G.; Biddoccu, M. Reducing soil compaction after thinning work in agroforestry plantations. Agrofor. Syst. 2019, 93, 1765–1779. [Google Scholar] [CrossRef]
- Alaoui, A.; Roggerb, M.; Pethc, S.; Blöschlb, G. Does soil compaction increase floods? A review. J. Hydrol. 2018, 557, 631–642. [Google Scholar] [CrossRef]
- Tropeano, D. Rate of soil erosion processes on vineyards in Central Piedmont (NW Italy). Earth Surf. Process. Landf. 1984, 9, 253–266. [Google Scholar] [CrossRef]
- Boni, A.; Casnedi, R. Note illustrative della Carta Geologica d’Italia alla scala 1:100,000 Fogli 69 e 70 Asti-Alessandria; Servizio Geologico d’Italia, Poligrafica & Cartevalori: Ercolano (Napoli), Italy, 1970; p. 64. [Google Scholar]
- Soil Survey Staff. Keys to Soil Taxonomy, 11th ed.; USDA-Natural Resources Conservation Service: Washington, DC, USA, 2010.
- FAO/ISRIC/ISSS. World Reference Base for Soil Resources; World Soil Resources Report, No. 84; FAO: Rome, Italy, 1998. [Google Scholar]
- Kottek, M.; Grieser, J.; Beck, C.; Rudolf, B.; Rubel, F. World Map of the Köppen-Geiger climate classification updated. Meteorol. Z. 2006, 15, 259–263. [Google Scholar] [CrossRef]
- Biddoccu, M.; Ferraris, S.; Opsi, F.; Cavallo, E. Long-term monitoring of soil management effects on runoff and soil erosion in sloping vineyards in Alto Monferrato (North-West Italy). Soil Tillage Res. 2016, 155, 176–189. [Google Scholar] [CrossRef]
- Sohne, W. Druckverteilung im Boden und Boden-verformung unter Schlepperreifen. Grundlagen der Landtechnik 1953, 5, 49–63. [Google Scholar]
- Bagarello, V.; Iovino, M.; Elrick, D. A simplified falling-head technique for rapid determination of fieldsaturated hydraulic conductivity. Soil Sci. Soc. Am. J. 2004, 68, 66–73. [Google Scholar] [CrossRef]
- ARS-USDA. RIST Rainfall Intensity Summarization Tool. 2015. Available online: http://www.ars.usda.gov/Research/docs.htm?docid=3251 (accessed on 4 April 2019).
- Brown, L.C.; Foster, G.R. Storm erosivity using idealized intensity distributions. Trans. ASAE 1987, 30, 379–386. [Google Scholar] [CrossRef]
- Renard, K.G.; Foster, G.R.; Weesies, G.A.; McCool, D.K.; Yoder, D.C. Predicting Soil Erosion by Water: A Guide to Conservation Planning with the Revised Universal Soil Loss Equation (RUSLE); US Department of Agriculture Agricultural Handbook No.703; USDA: Washington, DC, USA, 1997.
- Raffelli, G.; Previati, M.; Canone, D.; Gisolo, G.; Bevilacqua, I.; Capello, G.; Biddoccu, M.; Cavallo, E.; Deiana, R.; Cassiani, G.; et al. Local- and Plot-Scale Measurements of Soil Moisture: Time and Spatially Resolved Field Techniques in Plain, Hill and Mountain Sites. Water 2017, 9, 706. [Google Scholar] [CrossRef]
- Ampoorter, E.; Goris, R.; Cornelis, W.; Verheyen, K. Impact of mechanized logging on compaction status of sandy forest soils. For. Ecol. Manag. 2007, 241, 162–174. [Google Scholar] [CrossRef]
- Proctor, R. Fundamental principles of soil compaction. Eng. News Rec. 1933, 111, 245–248, 286–289, 348–351. [Google Scholar]
- Herrick, J.E.; Jones, T.L. A dynamic cone penetrometer for measuring soil penetration resistance. Soil Sci. Soc. Am. J. 2002, 66, 1320–1324. [Google Scholar] [CrossRef]
- Halliday, D.; Resnick, R. Physics, for Students of Science and Engineering, combined edition; John Wiley & Sons: Hoboken, NJ, USA, 1963. [Google Scholar]
- Busscher, W.J.; Bauer, P.J.; Camp, C.R.; Sojka, R.E. Correction of cone index for soil water content differences in a coastal plain soil. Soil Tillage Res. Amst. 1997, 43, 205–217. [Google Scholar] [CrossRef]
- Busscher, W.J. Adjustment of flat-tipped penetrometer resistance data to a common water content. Trans. ASAE 1990, 33, 519–524. [Google Scholar] [CrossRef]
- Vaz, C.M.P.; Manieri, J.M.; de Maria, I.C.; Tuller, M. Modeling and correction of soil penetration resistance for varying soil water content. Geoderma 2011, 166, 92–101. [Google Scholar] [CrossRef]
- Jakobsen, B.F.; Dexter, A.R. Effect of soil structure on wheat root growth, water uptake and grain yield. A computer simulation model. Soil Tillage Res. 1987, 10, 331–345. [Google Scholar] [CrossRef]
- Bodhinayake, W.; Si, B.C.; Noborio, K. Determination of hydraulic properties in sloping landscapes from tension and double-ring infiltrometers. Vadose Zone J. 2004, 3, 964–970. [Google Scholar] [CrossRef]
- Warrick, A.W. Environmental Soil Physics; Hillel, D., Ed.; Academic Press: San Diego, CA, USA, 1998; pp. 665–675. [Google Scholar]
- Bagarello, V.; Sgroi, A. Using the simplified falling head technique to detect temporal changes in field-saturated hydraulic conductivity at the surface of a sandy loam soil. Soil Tillage Res. 2007, 94, 283–294. [Google Scholar] [CrossRef]
- Snedecor, G.W. Statistical Methods Applied to Experiments in Agriculture and Biology; Iowa State College Press: Ames, IA, USA, 1957. [Google Scholar]
- Whalley, W.R.; To, J.; Kay, B.D.; Whitmore, A.P. Prediction of the penetrometer resistance of soils with models with few parameters. Geoderma 2007, 137, 370–377. [Google Scholar] [CrossRef]
- Capello, G.; Biddoccu, M.; Ferraris, S.; Pitacco, A.; Cavallo, E. Effects of Soil Management and Traffic on Water and Soil Conservation in Agriculture: A Case Study in Piedmont. In Proceedings of the 15th Biennial Conference Euromediterranean Network of Experimental and Representative Basins, At Coimbra, Portugal, 9–13 September 2014. [Google Scholar]
- Alagna, V.; Bagarello, V.; Di Prima, S.; Guaitoli, F.; Iovino, M.; Cerdà, A. Using Beerkan experiments to estimate hydraulic conductivity of a crusted loamy soil in a Mediterranean vineyard. J. Hydrol. Hydromech. 2019, 67, 191–200. [Google Scholar] [CrossRef]
- Barik, K.; Aksakal, E.L.; Islam, K.R.; Sari, S.; Angin, I. Spatial variability in soil compaction properties associated with field traffic operations. Catena 2014, 120, 122–133. [Google Scholar] [CrossRef]
- Bogunovic, I.; Bilandzija, D.; Andabaka, Z.; Stupic, D.; Comino, J.R.; Cacic, M.; Brezinscak, L.; Maletic, E.; Pereira, P. Soil compaction under different management practices in a Croatian vineyard. Arab. J. Geosci. 2017, 10, 340. [Google Scholar] [CrossRef]
- O’Keefe, S. The Recovery of Soils after Compaction: A Laboratory Investigation into the Effect of Wet/Dry Cycles on Bulk Density and Soil Hydraulic Functions. Ph.D. Thesis, Cranfield University at Silsoe, National Soil Resources Institute, Cranfield, UK, 2009. [Google Scholar]
- Gómez, J.A.; Llewellyn, C.; Basch, G.; Sutton, P.B.; Dyson, J.S.; Jones, C.A. The effects of cover crops and conventional tillage on soil and runoff loss in vineyards and olive groves in several Mediterranean countries. Soil Use Manag. 2011, 27, 502–514. [Google Scholar] [CrossRef]
- Marques, M.J.; García-Muñoz, S.; Muñoz-Organero, G.; Bienes, R. Soil conservation beneath grass cover in hillside vineyards under mediterranean climatic conditions (Madrid, Spain). Land Degrad. Dev. 2010, 21, 122–131. [Google Scholar] [CrossRef]
- Capello, G.; Biddoccu, M.; Cavallo, E. Seasonal Variability and Effect of Tractor Passes on Soil Compaction, Field-Saturated Hydraulic Conductivity, Runoff and Soil Erosion in Tilled and Grassed Vineyards. In Proceedings of the Sixth International Congress on Mountain and Steep Slope Viticulture, San Cristobal de la Laguna (Isla de Tenerife), Spain, 26–28 April 2018; ISBN 978-88-902330-5-0. [Google Scholar]
- Jiang, X.; Liu, X.; Wang, E.; Li, X.G.; Sun, R.; Shi, W. Effects of tillage pan on soil water distribution in alfalfa-corn crop rotation systems using a dye tracer and geostatistical methods. Soil Tillage Res. 2015, 150, 68–77. [Google Scholar] [CrossRef]








| Model | New Holland TN95FA | New Holland TK80A |
|---|---|---|
| Engine power (CV/kW) | 95/67.9 | 80/57.4 |
| Front tyres | PIRELLI TM 700, 280/70 R18 | Iron track |
| Rear tyres | PIRELLI TM 700, 420/70 R24 | Iron track |
| Inflation pressure, front tyre (kPa) | 150 | - |
| Inflation pressure, rear tyre (kPa) | 150 | - |
| Total mass (kg) | 2760 | 4280 |
| Front mass (kg) | 1000 | - |
| Rear mass (kg) | 1760 | - |
| Max additional equipment mass (kg) | 600 | 900 |
| Date | GC | CT | ||||
|---|---|---|---|---|---|---|
| dd/mm/yyyy | Passes N | SWC NT (m3 m−3) | SWC T (m3 m−3) | Passes N | SWC NT (m3 m−3) | SWC T (m3 m−3) |
| 11/10/2016 | - | ripped | ||||
| 05/12/2016 | 0.374 | 0.387 | 0.300 | 0.357 | ||
| 05/12/2016 | 1 × tyred | 1 × tyred | ||||
| 07/12/2016 | 0.365 | 0.404 | 0.304 | 0.385 | ||
| 20/02/2017 | 0.349 | 0.381 | 0.308 | 0.369 | ||
| 21/02/2017 | 1 x tyred | 1 × tyred | ||||
| 23/02/2017 | 0.378 | 0.395 | 0.346 | 0.389 | ||
| 09/05/2017 | 1 × tyred | 1 × tyred | ||||
| 10/05/2017 | 0.337 | 0.380 | 0.286 | 0.374 | ||
| 11/05/2017 | 1 × tracked (mulched) | ripped | ||||
| 25/05/2017 | 1 × tyred | 1 × tyred | ||||
| 31/05/2017 | 0.179 | 0.175 | 0.188 | 0.162 | ||
| 01/06/2017 | 1 × tracked | 1 × tracked | ||||
| 08/06/2017 | 0.133 | 0.149 | 0.082 | 0.167 | ||
| 09/06/2017 | 1 × tyres | 1 × tyred | ||||
| 16/06/2017 | 1 × tracked | 1 × tracked | ||||
| 23/06/2017 | 2 × tracked | 2 × tracked | ||||
| 26/06/2017 | 1 × tyred | 1 × tyred | ||||
| 04/07/2017 | 1 × tyred | 1 × tyred | ||||
| 12/07/2017 | 1 × tyred | 1 × tyred | ||||
| 25/07/2017 | 1 × tyred | 1 × tyred | ||||
| 26/07/2017 | 0.081 | 0.100 | 0.078 | 0.091 | ||
| 02/08/2017 | 3 × tyred | 3 × tyred | ||||
| 10/08/2017 | 1 × tyred | 1 × tyred | ||||
| 28/08/2017 | 0.060 | 0.119 | 0.048 | 0.042 | ||
| 12/09/2017 | 1 × tracked | 1 × tracked | ||||
| 13/09/2017 | 1 × tracked | 1 × tracked | ||||
| 27/09/2017 | 0.120 | 0.192 | 0.092 | 0.113 | ||
| 28/09/2017 | - | ripped | ||||
| TOT YEAR 1 | 18 | 17 | ||||
| 26/03/2018 | 1 × tracked | 1 × tracked | ||||
| 28/03/2018 | 1 × tyred | 1 × tyred | ||||
| 26/04/2018 | 0.237 | 0.219 | 0.278 | 0.356 | ||
| 27/04/2018 | 1 × tracked (mulched) | ripped | ||||
| 08/05/2018 | 1 × tyres | 1 × tyred | ||||
| 16/05/2018 | 1 × tyres | 1 × tyres | ||||
| 17/05/2018 | - | - | (no passes) | 0.247 | 0.247 | |
| 17/05/2018 | 0.322 | 0.377 | 0.266 | 0.342 | ||
| 25/05/2018 | 1 × tyres | 1 × tyred | ||||
| 28/05/2018 | 2 × tracked | 2 × tracked | ||||
| 01/06/2018 | 1 × tyred | 1 × tyred | ||||
| 10/06/2018 | 1 × tyred | 1 × tyred | ||||
| 11/06/2018 | 0.261 | 0.318 | 0.150 | 0.299 | ||
| 13/06/2018 | 2 × tracked | 2 × tracked | ||||
| 18/06/2018 | 1 × tracked | 1 × tracked | ||||
| 18/06/2018 | 1 × tyred | 1 × tyred | ||||
| 19/06/2018 | 1 × tyred | 1 × tyred | ||||
| 29/06/2018 | 1 × tyred | 1 × tyred | ||||
| 03/07/2018 | 1 × tyred | 1 × tyred | ||||
| 04/07/2018 | - | 0.257 | 0.258 | 0.293 | ||
| 09/07/2018 | 1 × tyred | 1 × tyred | ||||
| 13/07/2018 | 1 × tyred | 1 × tyred | ||||
| 19/07/2018 | 1 × tyred | 1 × tyred | ||||
| 27/07/2018 | 1 × tyred | 1 × tyred | ||||
| 30/07/2018 | 0.196 | 0.253 | 0.115 | 0.138 | ||
| 07/08/2018 | 1 × tyred | 1 × tyred | ||||
| 11/09/2018 | 0.167 | 0.256 | 0.156 | 0.170 | ||
| 26/09/2018 | 1 × tracked | 1 × tracked | ||||
| 27/09/2018 | 1 × tracked | 1 × tracked | ||||
| 10/10/2018 | 0.256 | 0.293 | 0.258 | 0.275 | ||
| 25/10/2018 | 1 × tyred | 1 × tyred | ||||
| - | ripped | |||||
| TOT YEAR 2 | 25 | 22 | ||||
| Year 1 | Rainfall Events Category | Number of Events | Av. Rainfall Depth (mm) | Av. Duration (h) | Av. Max 15 | Av. Rainfall Erosivity EI30 | Cumulated Rainfall | Cumulated Rainfall Erosivity EI30 | cum RO CT | cum RO GC |
| 1–10 | 28 | 3.8 | 6.2 | 6.3 | 3.3 | 106.4 | 91.4 | 0.1 | 0.0 | |
| 10–50 | 12 | 27.1 | 27.1 | 9.7 | 31.0 | 325.6 | 371.5 | 5.1 | 2.9 | |
| 50–100 | 0 | |||||||||
| 100–200 | 1 | 127.2 | 70.2 | 8.4 | 117.2 | 127.2 | 117.2 | 0.5 | 0.8 | |
| >200 | 0 | |||||||||
| 41 | 559.2 | 580.1 | ||||||||
| Total P (mm) | 569 | 76% | ||||||||
| Year 2 | Rainfall Events Category | Number of Events | Av. Rainfall Depth (mm) | Av. Duration (h) | Av. Max 15 | Av. Rainfall Erosivity EI30 | Cumulated Rainfall | Cumulated Rainfall Erosivity EI30 | cum RO CT | cum RO GC |
| 1–10 | 29 | 3.6 | 10.8 | 4.1 | 1.6 | 104.2 | 47.3 | 0.1 | 0.1 | |
| 10–50 | 18 | 27.1 | 25.6 | 16.9 | 62.8 | 488.2 | 1130.7 | 14.4 | 2.8 | |
| 50–100 | 3 | 65.1 | 56.0 | 36.5 | 430.3 | 195.4 | 1291.0 | 8.7 | 2.9 | |
| 100–200 | 1 | 101.4 | 105.3 | 7.2 | 64.2 | 101.4 | 64.2 | 27.1 | 2.6 | |
| >200 | 1 | 217.4 | 57.2 | 45.8 | 1602.0 | 217.4 | 1602.0 | 40.5 | 11.2 | |
| 52 | 1106.6 | 4135.2 | ||||||||
| Total P (mm) | 1125 | 53% |
| Year 1 (2016–2017) | CT-T | CT-NT | CT All | GC-T | GC-NT | GC All | ||||||||||||
| Date | NP | SWC10 m3 m−3 | BD10 g m−3 | Kfs mm h−1 | SWC10 m3 m−3 | BD10 g m−3 | Kfs mm h−1 | Runoff mm | SL kg ha−1 | SWC10 m3 m−3 | BD10 g m−3 | Kfs mm h−1 | SWC10 m3 m−3 | BD10 g m−3 | Kfs mm h−1 | Runoff mm | SL kg ha−1 | |
| Autumn tillage/mowing | 11/10/2016 | |||||||||||||||||
| After 1st passage | 07/12/2016 | 1–1 | 0.357 | 1.42 | 1 | 0.300 | 1.20 | 1297 | 0.387 | 1.18 | 49 | 0.374 | 1.25 | 242 | ||||
| After 2–3 passages (tyred) | 10/05/2017 | 3–3 | 0.374 | 1.45 | 3 | 0.286 | 1.32 | 599 | 0.380 | 1.26 | 53 | 0.337 | 1.31 | 145 | ||||
| Spring tillage/mowing | 11/05/2017 | |||||||||||||||||
| After 1–2 passages (tyred) | 31/05/2017 | 1–5 | 0.162 | 1.28 | 26 | 0.188 | 1.18 | 219 | 0.175 | 1.38 | 86 | 0.179 | 1.24 | 1484 | ||||
| After more than 10 passages | 26/07/2017 | 10–14 | 0.091 | 1.34 | 5 | 0.078 | 1.24 | 430 | 0.100 | 1.50 | na | 0.081 | 1.34 | na | ||||
| Before harvest | 28/08/2017 | 14–18 | 0.042 | 1.16 | 23 | 0.048 | 1.19 | 33 | 0.119 | 1.24 | 57 | 0.060 | 1.29 | 99 | ||||
| End of season (after harvest) | 27/09/2017 | 16–20 | 0.113 | 1.34 | 16 | 0.092 | 1.15 | 68 | 0.192 | 1.48 | 527 | 0.120 | 1.30 | 52 | ||||
| Total | 5.62 | 5.8 | 3.67 | 3.3 | ||||||||||||||
| Year 2 (2017–2018) | CT-T | CT-NT | CT all | GC-T | GC-NT | GC all | ||||||||||||
| Date | NP | SWC10 m3 m−3 | BD10 g m−3 | Kfs mm h−1 | SWC10 m3 m−3 | BD10 g m−3 | Kfs mm h−1 | Runoff mm | SL kg ha−1 | SWC10 m3 m−3 | BD10 g m−3 | Kfs mm h−1 | SWC10 m3 m−3 | BD10 g m−3 | Kfs mm h−1 | Runoff mm | SL kg ha−1 | |
| Autumn tillage/mowing | 28/09/2017 | |||||||||||||||||
| After 1st passage | na | |||||||||||||||||
| After 2–3 passages (tyred) | 26/04/2018 | 2–2 | 0.356 | 1.49 | 2 | 0.278 | 1.35 | 576 | 0.219 | 1.28 | 99 | 0.237 | 1.31 | 440 | ||||
| Spring tillage/mowing | 27/04/2018 | |||||||||||||||||
| After 1–2 passages (tyred) | 17/05/2018 | 2–5 | 0.342 | 1.50 | 3 | 0.266 | 1.21 | 2642 | 0.377 | 1.44 | 45 | 0.322 | 1.44 | 173 | ||||
| After more than 10 passages | 04/07/2018 | 14–17 | 0.293 | 1.59 | 4 | 0.258 | 1.3 | 120 | 0.257 | 1.42 | 371 | na | na | 151 | ||||
| Before harvest | 11/09/2018 | 21–24 | 0.170 | 1.52 | 4 | 0.156 | 1.38 | 35 | 0.256 | 1.39 | 12 | 0.167 | 1.24 | 32 | ||||
| End of season (after harvest) | 10/10/2018 | 23–26 | 0.275 | 1.50 | 7 | 0.258 | 1.43 | 46 | 0.293 | 1.43 | 190 | 0.256 | 1.32 | 450 | ||||
| Total | 90.78 | 3089.3 | 19.55 | 524.0 | ||||||||||||||
© 2019 by the authors. Licensee MDPI, Basel, Switzerland. This article is an open access article distributed under the terms and conditions of the Creative Commons Attribution (CC BY) license (http://creativecommons.org/licenses/by/4.0/).
Share and Cite
Capello, G.; Biddoccu, M.; Ferraris, S.; Cavallo, E. Effects of Tractor Passes on Hydrological and Soil Erosion Processes in Tilled and Grassed Vineyards. Water 2019, 11, 2118. https://doi.org/10.3390/w11102118
Capello G, Biddoccu M, Ferraris S, Cavallo E. Effects of Tractor Passes on Hydrological and Soil Erosion Processes in Tilled and Grassed Vineyards. Water. 2019; 11(10):2118. https://doi.org/10.3390/w11102118
Chicago/Turabian StyleCapello, Giorgio, Marcella Biddoccu, Stefano Ferraris, and Eugenio Cavallo. 2019. "Effects of Tractor Passes on Hydrological and Soil Erosion Processes in Tilled and Grassed Vineyards" Water 11, no. 10: 2118. https://doi.org/10.3390/w11102118
APA StyleCapello, G., Biddoccu, M., Ferraris, S., & Cavallo, E. (2019). Effects of Tractor Passes on Hydrological and Soil Erosion Processes in Tilled and Grassed Vineyards. Water, 11(10), 2118. https://doi.org/10.3390/w11102118

