Geomorphodynamics in Argan Woodlands, South Morocco
Abstract
1. Introduction
2. Materials and Methods
2.1. Study Area
2.2. Rainfall Simulations
2.3. Infiltration Measurements
2.3.1. Constant-Head Single-Ring Infiltrometer
2.3.2. Tension-Disc Infiltrometer
2.4. Soil Analyses
2.5. Statistical Analyses
3. Results
3.1. Rainfall Simulations
3.1.1. Environmental Plot Characteristics
3.1.2. Soil Loss, Surface Runoff, and Sediment Concentration
3.1.3. Cluster Analysis for Rainfall Simulations
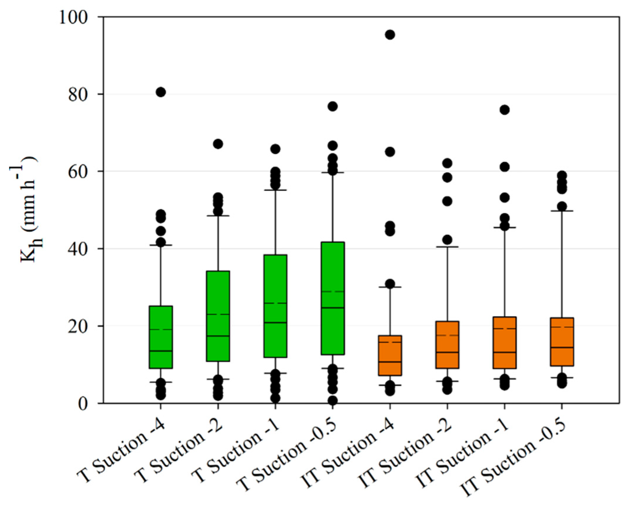
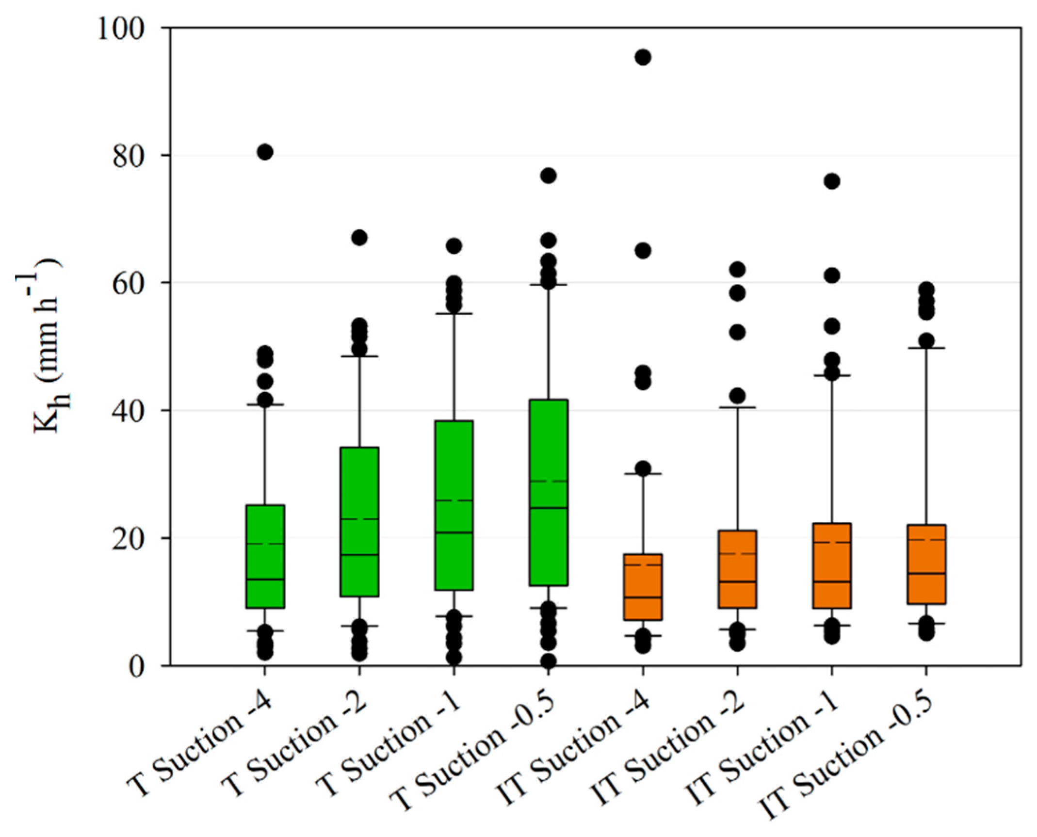
3.2. Infiltrations
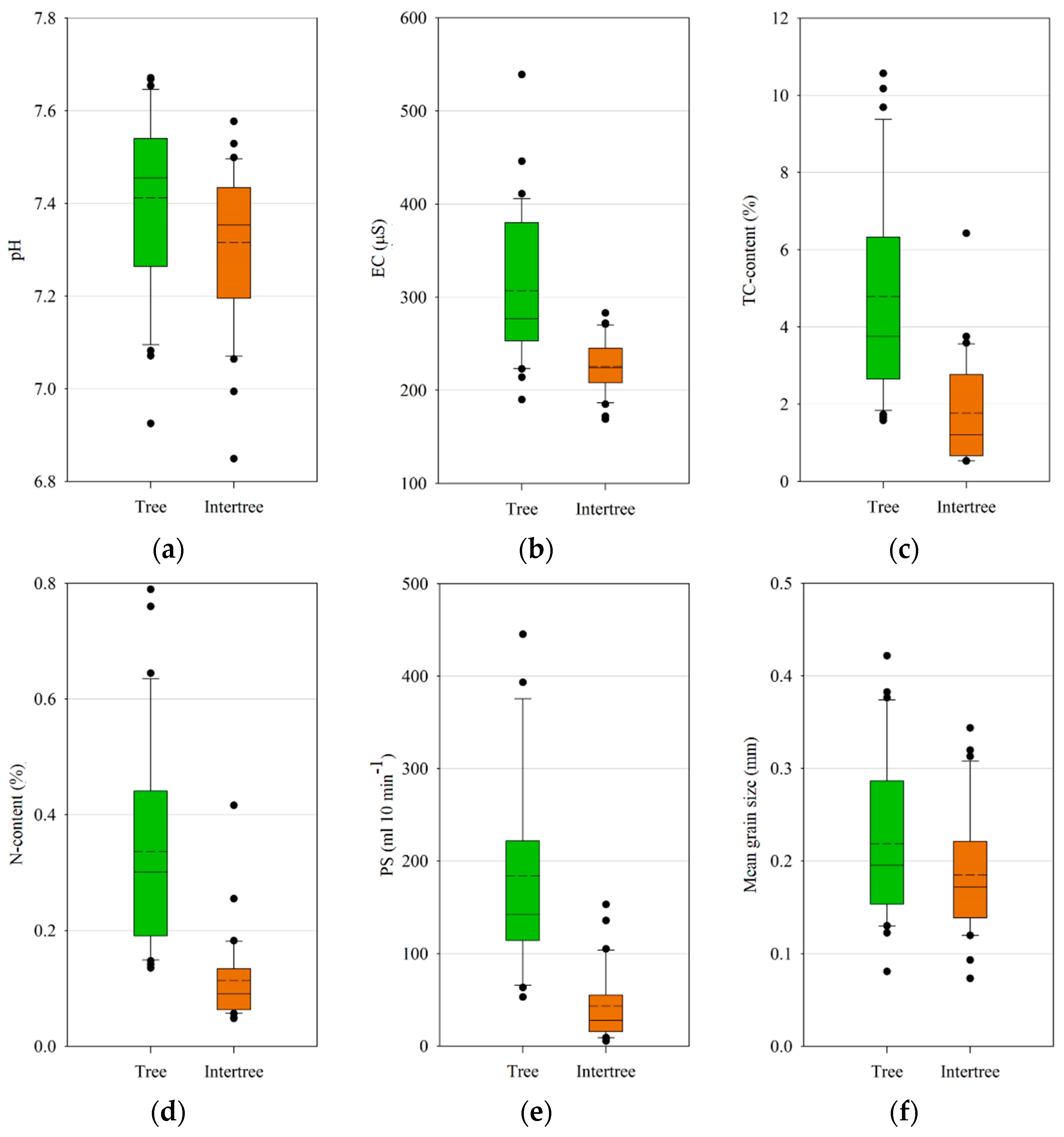
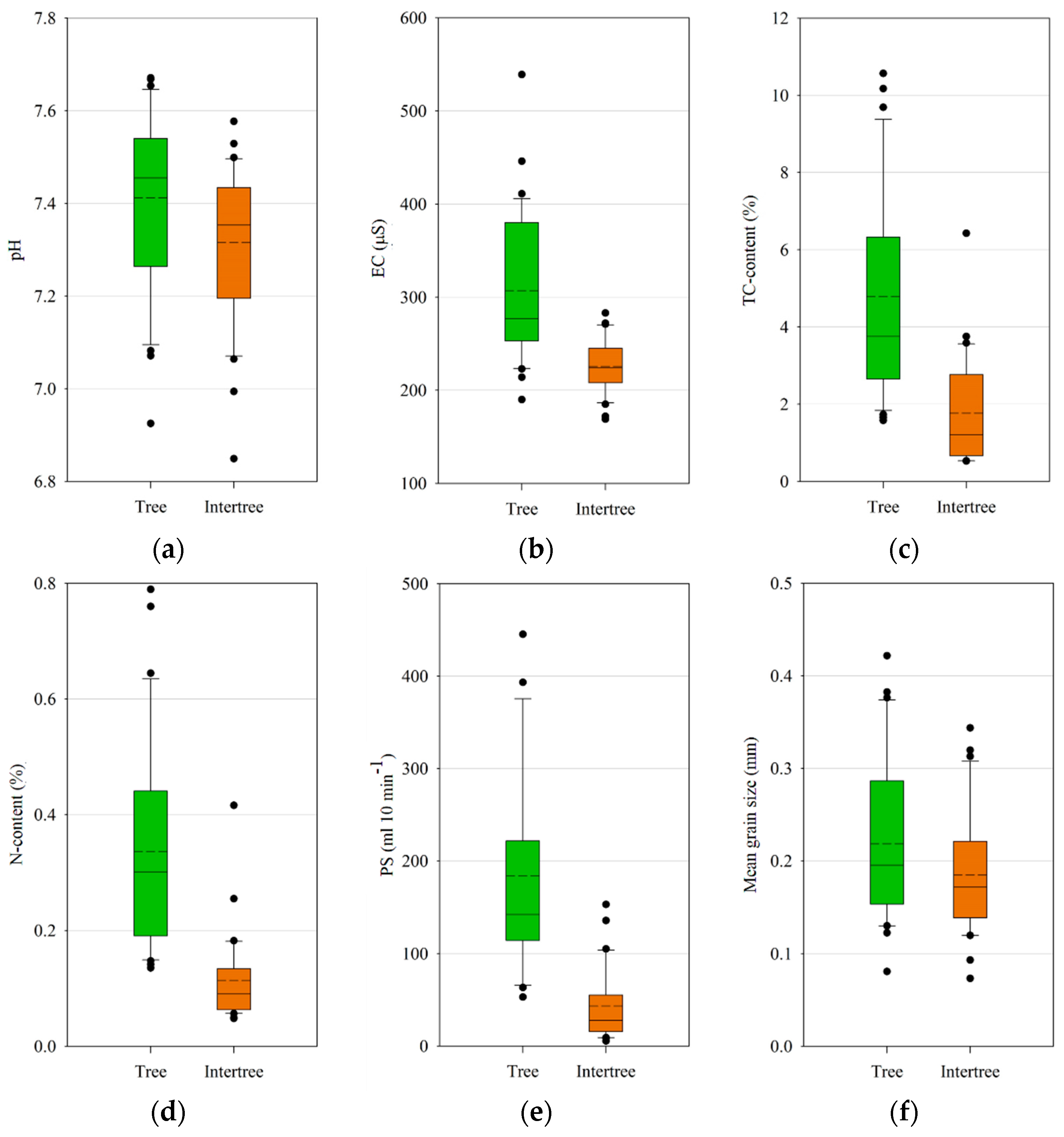
3.3. Soil Analyses
3.4. Cluster Analysis for Infiltration/Soil Analysis Results
4. Discussion
5. Conclusions
Author Contributions
Funding
Acknowledgments
Conflicts of Interest
References
- Cerdan, O.; Govers, G.; Le Bissonnais, Y.; Van Oost, K.; Poesen, J.; Saby, N.; Gobin, A.; Vacca, A.; Quinton, J.; Auerswald, K.; et al. Rates and spatial variations of soil erosion in Europe: A study based on erosion plot data. Geomorphology 2010, 122, 167–177. [Google Scholar] [CrossRef]
- Pulido, M.; Schnabel, S.; Lavado Contador, J.F.; Lozano-Parra, J.; Gómez-Gutiérrez, Á. Selecting indicators for assessing soil quality and degradation in rangelands of Extremadura (SW Spain). Ecol. Indic. 2017, 74, 49–61. [Google Scholar] [CrossRef]
- Le Polain de Waroux, Y.; Lambin, E.F. Monitoring degradation in arid and semi-arid forests and woodlands: The case of the argan woodlands (Morocco). Appl. Geogr. 2012, 32, 777–786. [Google Scholar] [CrossRef]
- Breshears, D.D.; Whicker, J.J.; Johansen, M.P.; Pinder, J.E., III. Wind and water erosion and transport in semi-arid shrubland, grassland and forest ecosystems: Quantifying dominance of horizontal wind-driven transport. Earth Surf. Process. Landf. 2003, 28, 1189–1209. [Google Scholar] [CrossRef]
- Dahan, R.; Boughlala, M.; Mrabet, R.; Laamari, A.; Balaghi, R.; Lajouad, L. A Review of Available Knowledge on Land Degradation in Morocco; The International Center for Agricultural Research in the Dry Areas (ICARDA): Aleppo, Syria, 2012; pp. 10–11. [Google Scholar]
- Schnabel, S.; Gómez Gutiérrez, A.; Lavado Contador, J.F. Grazing and soil erosion in dehesas of SW Spain. In Advances in Studies on Desertification; Romero Diaz, A., Belmonte Serrato, F., Alonso Sarria, F., Lopez Bermudez, F., Eds.; Ediciones de la Universidad de Murcia: Murcia, Spain, 2009; pp. 725–728. [Google Scholar]
- Schnabel, S.; Lozano-Parra, J.; Gutiérrez, A.; Alfonso Torreño, A. Hydrological dynamics in a small catchment with silvopastoral land use in SW Spain. Cuadernos de Investigación Geográfica 2018, 44, 557–580. [Google Scholar] [CrossRef]
- Pulido, M.; Schnabel, S.; Lavado Contador, J.F.; Lozano-Parra, J.; González, F. The impact of heavy grazing on soil quality and pasture production in rangelands of SW Spain. Land Degrad. Dev. 2016, 29, 219–230. [Google Scholar] [CrossRef]
- Wojterski, T.W. Degradation stages of oak forests in the area of Algiers. Vegetatio 1990, 87, 135–143. [Google Scholar] [CrossRef]
- Chantsallkham, J.; Reid, S.; Fernandez-Gimenez, M.; Tsevlee, A.; Yadamsuren, B.; Heiner, M. Applying a dryland degradation framework for rangelands: The case of Mongolia. Ecol. Appl. 2018, 28, 1–21. [Google Scholar] [CrossRef]
- Bochet, E.; Rubio, J.L.; Poesen, J. Modified topsoil islands within patchy Mediterranean vegetation in SE Spain. Catena 1999, 38, 23–44. [Google Scholar] [CrossRef]
- Escudero, A.; Giménez-Benavides, L.; Iriondo, J.M.; Rubio, A. Patch Dynamics and Islands of Fertility in a High Mountain Mediterranean Community. Arctic Antarct. Alp. Res. 2004, 36, 518–527. [Google Scholar] [CrossRef][Green Version]
- Garner, W.; Steinberger, Y. A proposed mechanism for the formation of ‘Fertile Islands’ in the desert ecosystem. J. Arid Environ. 1989, 16, 257–262. [Google Scholar] [CrossRef]
- Pérez, F.L. Plant Organic Matter Really Matters: Pedological Effects of Kūpaoa (Dubautia menziesii) Shrubs in a Volcanic Alpine Area, Maui, Hawai’i. Soil Syst. 2019, 3, 31. [Google Scholar] [CrossRef]
- Qu, L.; Wang, Z.; Huang, Y.; Zhang, Y.; Song, C.; Ma, K. Effects of plant coverage on shrub fertile islands in the Upper Minjiang River Valley. Sci. China Life Sci. 2018, 61, 340–347. [Google Scholar] [CrossRef]
- Schlesinger, W.H.; Pilmanis, A.M. Plant-soil interactions in deserts. Biogeochemistry 1998, 42, 169–187. [Google Scholar] [CrossRef]
- Aguiar, M.R.; Sala, O.E. Patch structure, dynamics and implications for the functioning of arid ecosystems. Trends Ecol. Evol. 1999, 14, 273–277. [Google Scholar] [CrossRef]
- Cerdà, A. Aggregate stability under different Mediterranean vegetation types. Catena 1998, 32, 73–86. [Google Scholar] [CrossRef]
- Cerdà, A. Aggregate stability against water forces under different climates on agriculture land and scrubland in southern Bolivia. Soil Tillage Res. 2000, 57, 159–166. [Google Scholar] [CrossRef]
- Auerswald, K. Percolation Stability of Aggregates from Arable Topsoils. Soil Sci. 1995, 159, 142–148. [Google Scholar] [CrossRef]
- UNESCO. Argan, Practices and Know-How Concerning the Argan Tree. 2015. Available online: www.unesco:Culture/ich/en/RL/00955 (accessed on 22 July 2019).
- Ehrig, F.R. Die Arganie. Charakter, Ökologie und wirtschaftliche Bedeutung eines Tertiärreliktes in Marokko. Petermanns Geographische Mitteilungen 1974, 118, 117–125. [Google Scholar]
- Müller-Hohenstein, K.; Popp, H. Marokko. Ein Islamisches Entwicklungsland mit Kolonialer Vergangenheit, 1st ed.; Klett: Stuttgart, Germany, 1990; pp. 860–862. [Google Scholar]
- Benabid, A. Forest Degradation in Morocco. In The North African Environment at Risk (State, Culture, and Society in Arab North Africa); Swearingen, W.D., Bencherifa, A., Eds.; Westview Press: Boulder, CO, USA, 1996; pp. 175–190. [Google Scholar]
- Culmsee, H. Vegetation und Weidenutzung im Westlichen Hohen Atlas (Marokko). Eine Nachhaltigkeitsbewertung aus geobotanischer Sicht. Dissertationes Botanicae 2004, 389, 1–244. [Google Scholar]
- McGregor, H.V.; Dupont, L.; Stuut, J.-B.W.; Kuhlmann, H. Vegetation change, goats, and religion: A 2000-year history of land use in southern Morocco. Quat. Sci. Rev. 2009, 28, 1434–1448. [Google Scholar] [CrossRef]
- Kirchhoff, M.; Peter, K.D.; Aït Hssaine, A.; Ries, J.B. Land use in the Souss region, South Morocco and its influence on wadi dynamics. Zeitschrift für Geomorphologie 2019, 62, 137–160. [Google Scholar] [CrossRef]
- Mulholland, B.; Fullen, M.A. Cattle trampling and soil compaction on loamy sands. Soil Use Manag. 1991, 7, 189–192. [Google Scholar] [CrossRef]
- Stavi, I.; Ungar, E.D.; Lavee, H.; Sarah, P. Livestock modify ground surface microtopography and penetration resistance in a semi-arid shrubland. Arid Land Res. Manag. 2009, 23, 237–247. [Google Scholar] [CrossRef]
- D’Oleire-Oltmanns, S.; Marzolff, I.; Peter, K.D.; Ries, J.B. Unmanned aerial vehicle (UAV) for monitoring soil erosion in Morocco. Remote Sens. 2012, 4, 3390–3416. [Google Scholar] [CrossRef]
- Elmouden, A.; Bouchaou, L.; Snoussi, M. Constraints on alluvial clay mineral assemblages in semiarid regions. The Souss Wadi Basin (Morocco, Northwestern Africa). Geologica Acta 2005, 3, 3–13. [Google Scholar] [CrossRef]
- Mensching, H. Marokko—Die Landschaften im Maghreb; Keysersche Verlagsbuchhandlung: Heidelberg, Germany, 1957; pp. 210–221. [Google Scholar]
- Ambroggi, R. Etude géologique du versant meridional du Haut-Atlas occidental et de la plaine du Souss. Notes et Mémoires du Service Géologique 1963, 157, 322. [Google Scholar]
- Bhiry, N.; Rognon, P.; Occhietti, S. Origine et diagénèsedes sédiments quaternaires de la vallée moyenne du Souss. Sciences Géologiques Mémoire 1989, 84, 135–144. [Google Scholar]
- Aït Hssaine, A.; Bridgland, D. Pliocene–Quaternary fluvial and aeolian records in the Souss Basin, southwest Morocco: A geomorphological model. Glob. Planet. Chang. 2009, 68, 288–296. [Google Scholar] [CrossRef]
- Aït Hssaine, A. Evolution géomorphologique du piémont sud-atlasique dans la région de Taroudant (SW-Maroc) au cours du Tertiaire et du Pléistocène inférieur. Bulletin de l’Institut Scientifique 2000, 22, 17–28. [Google Scholar]
- Peter, K.D.; d’Oleire-Oltmanns, S.; Ries, J.B.; Marzolff, I.; Aït Hssaine, A. Soil erosion in gully catchments affected by land-levelling measures in the Souss Basin, Morocco, analysed by rainfall simulation and UAV remote sensing data. Catena 2014, 113, 24–40. [Google Scholar] [CrossRef]
- Ghanem, H. Monographie pédologique de la plaine du Souss. Serv. Rech. Ecol. Direction de la Recherche Agronomique 1974, 5, 101. [Google Scholar]
- Rössler, M.; Kirscht, H.; Rademacher, C.; Platt, S. Demographic development in Southern Morocco: Migration, urbanization and the role of institutions in resource management. In Impacts of Global Change on the Hydrological Cycle in West and Northwest Africa; Speth, P., Christoph, M., Diekkrüger, B., Eds.; Springer: Berlin, Germany, 2010; pp. 305–314. [Google Scholar]
- Barrow, C.J.; Hicham, H. Two complimentary and integrated land uses of the western High Atlas Mountains, Morocco: The potential for sustainable rural livelihoods. Appl. Geogr. 2000, 20, 369–394. [Google Scholar] [CrossRef]
- Köppen, W.; Geiger, G. Handbuch der Klimatologie; Gebrüder Borntraeger: Berlin, Germany, 1930; pp. 176–184. [Google Scholar]
- Endlicher, W.; Weischet, W. Regionale Klimatologie: Die Alte Welt: Europa, Afrika, Asien; Teubner: Leipzig, Germany, 2000; pp. 200–202. [Google Scholar]
- Saidi, M.E. Contribution à L’hydrologie Profonde et Superficielle du Bassin du Souss (Maroc). Climatologie, Hydrologie, Crues et Bilans Hydrologiques en Milieu Sub-Aride. Ph.D. Thesis, Cadi Ayyad University, Sorbonne, Paris, France, 1995. [Google Scholar]
- Cerdà, A. Parent material and vegetation affect soil erosion in eastern Spain. Soil Sci. Soc. Am. J. 1999, 63, 362–368. [Google Scholar] [CrossRef]
- Iserloh, T.; Fister, W.; Seeger, M.; Willger, H.; Ries, J.B. A small portable rainfall simulator for reproducible experiments on soil erosion. Soil Tillage Res. 2012, 124, 131–137. [Google Scholar] [CrossRef]
- Iserloh, T.; Ries, J.B.; Cerdà, A.; Echeverría, M.T.; Fister, W.; Geißler, C.; Kuhn, N.J.; León, F.J.; Peters, P.; Schindewolf, M.; et al. Comparative measurements with seven rainfall simulators on uniform bare fallow land. Zeitschrift für Geomorphologie 2013, 57, 11–26. [Google Scholar] [CrossRef]
- Saleh, A. Soil roughness measurement: Chain method. J. Soil Water Conserv. 1993, 48, 527–529. [Google Scholar]
- Thomsen, L.M.; Baartman, J.E.M.; Barneveld, R.J.; Starkloff, T.; Stolte, J. Soil surface roughness: Comparing old and new measuring methods and application in a soil erosion model. SOIL 2015, 1, 399–410. [Google Scholar] [CrossRef]
- Peter, K.D.; Ries, J.B. Infiltration rates affected by land levelling measures in the Souss valley, South Morocco. Zeitschrift für Geomorphologie 2013, 57, 59–72. [Google Scholar] [CrossRef]
- Tricker, A.S. The infiltration cylinder: Some comments on its use. J. Hydrol. 1978, 36, 383–391. [Google Scholar] [CrossRef]
- Hills, R.C. The determination of the infiltration capacity of field soils using the cylinder infiltrometer. Br. Geomorphol. Res. Group Tech. Bull. 1970, 3, 1–24. [Google Scholar]
- Link, M. Das Einring-Infiltrometer mit schwimmergeregelter Überstauhöhe—Ein neues Gerät zur Messung von Infiltrationsraten in Böden. Geoöko 2000, 21, 121–132. [Google Scholar]
- Reynolds, W.D.; Elrick, D.E. Ponded Infiltration from a Single Ring: I. Analysis of Steady Flow. Soil Sci. Soc. Am. J. 1990, 54, 1233–1241. [Google Scholar] [CrossRef]
- Elrick, D.E.; Reynolds, W.D. Infiltration from Constant-Head Well Permeameters and Infiltrometers. In Advances in Measurement of Soil Physical Properties: Bringing Theory into Practice; Topp, C.G., Reynolds, W.D., Green, R.E., Eds.; SSSA Special Publication 30: Madison, WI, USA, 1992; pp. 1–24. [Google Scholar]
- Zhang, R. Determination of soil sorptivity and hydraulic conductivity from the disk infiltrometer. Soil Sci. Soc. Am. J. 1997, 61, 1024–1030. [Google Scholar] [CrossRef]
- Perroux, K.M.; White, I. Designs for disc permeameters. Soil Sci. Soc. Am. J. 1988, 52, 1205–1215. [Google Scholar] [CrossRef]
- Van Genuchten, M.T. A Closed-Form Equation for Predicting the Hydraulic Conductivity of Unsaturated Soils. Soil Sci. Soc. Am. J. 1980, 44, 892–898. [Google Scholar] [CrossRef]
- Carsel, R.F.; Parrish, R.S. Developing joint probability distributions of soil water retention characteristics. Water Resour. Res. 1988, 24, 755–769. [Google Scholar] [CrossRef]
- Reynolds, W.D.; Bowman, B.T.; Brunke, R.R.; Drury, C.F.; Tan, C.S. Comparison of Tension Infiltrometer, Pressure Infiltrometer, and Soil Core Estimates of Saturated Hydraulic Conductivity. Soil Sci. Soc. Am. J. 2000, 64, 478–484. [Google Scholar] [CrossRef]
- DIN ISO 11265:1997-06. Bodenbeschaffenheit—Bestimmung der Spezifischen Elektrischen Leitfähigkeit; Beuth Verlag: Berlin, Germany, 1997. [Google Scholar]
- Köhn, M. Korngrößenanalyse vermittels Pipettenanalyse. Tonindustrie-Zeitung 1929, 53, 729–731. [Google Scholar]
- Becher, H.H.; Kainz, M. Auswirkungen einer langjährigen Stallmistdüngung auf das Bodengefüge im Lößgebiet bei Straubing. Zeitschrift für Acker und Pflanzenbau 1983, 152, 152–158. [Google Scholar]
- Becher, H.H. Influence of long-term liming on aggregate stability of a loess-derived soil. Int. Agrophys. 2001, 15, 67–72. [Google Scholar]
- Mbagwu, J.S.C.; Auerswald, K. Relationship of percolation stability of soil aggregates to land use, selected properties, structural indices and simulated rainfall erosion. Soil Tillage Res. 1999, 50, 197–206. [Google Scholar] [CrossRef]
- Howlett, D.S.; Moreno, G.; Mosquera Losada, M.R.; Ramachandran Nair, P.K.; Nair, V.D. Soil carbon storage as influenced by tree cover in the Dehesa cork oak silvopasture of central-western Spain. J. Environ. Monit. 2011, 13, 1897–1904. [Google Scholar] [CrossRef] [PubMed]
- Aiello, R.; Bagarello, V.; Barbagallo, S.; Consoli, S.; Di Prima, S.; Giordano, G.; Iovino, M. An assessment of the Beerkan method to determine the hydraulic properties of a sandy loam soil. Geoderma 2014, 235–236, 300–307. [Google Scholar] [CrossRef]
- Alagna, V.; Di Prima, S.; Rodrigo-Comino, J.; Iovino, M.; Pirastru, M.; Keesstra, S.D.; Novara, A.; Cerdà, A. The Impact of the Age of Vines on Soil Hydraulic Conductivity in Vineyards in Eastern Spain. Water 2017, 10, 14. [Google Scholar] [CrossRef]
- Ravi, S.; Breshears, D.D.; Huxman, T.E.; D’Odorico, P. Land degradation in drylands: Interactions among hydrologic-aeolian erosion and vegetation dynamics. Geomorphology 2010, 116, 236–245. [Google Scholar] [CrossRef]
- Culmsee, H. Vegetation and pastoral use in the Western High Atlas Mountains (Morocco). An assessment of sustainability from the geobotanical perspective. In Pour une Nouvelle Perception des Fonctions des Montagnes du Maroc, Actes du 7eme Colloque Maroco-Allemand, Rabat, Morocco, 2004; Aït Hamza, M., Popp, H., Eds.; Publications de la Faculté des Lettres et des Sciences Humaines de Rabat. Série: Colloques et Séminaires, Rabat, Morocco, 2005; Volume 119, pp. 67–80. [Google Scholar]
- Kenny, L. Biologie de l’Arganier. In Atlas de l’Arganier, 1st ed.; Kenny, L., Ed.; Institut agronomique et vétérinaire Hassan II: Rabat, Morocco, 2007; pp. 43–44. [Google Scholar]
- Charrouf, Z.; Guillaume, D. Sustainable Development in Northern Africa: The Argan Forest Case. Sustainability 2009, 1, 1012–1022. [Google Scholar] [CrossRef]
- Reid, K.D.; Wilcox, B.P.; Breshears, D.D.; MacDonald, L. Runoff and Erosion in a Piñon-Juniper Woodland: Influence of Vegetation Patches. Soil Sci. Soc. Am. J. 1999, 63, 1869–1879. [Google Scholar] [CrossRef]
- Pierson, F.B.; Williams, C.J.; Hardegree, S.P.; Clark, P.E.; Kormos, P.R.; Al-Hamdan, O.Z. Hydrologic and Erosion Responses of Sagebrush Steppe Following Juniper Encroachment, Wildfire, and Tree Cutting. Rangel. Ecol. Manag. 2013, 66, 274–289. [Google Scholar] [CrossRef]
- Ceballos, A.; Cerdà, A.; Schnabel, S. Runoff production and erosion processes on a dehesa in western Spain. Geogr. Rev. 2002, 92, 333–353. [Google Scholar] [CrossRef]
- Sheng, H.; Cai, T. Influence of Rainfall on Canopy Interception in Mixed Broad-Leaved-Korean Pine Forest in Xiaoxing’an Moundains, Northeastern China. Forests 2019, 10, 248. [Google Scholar] [CrossRef]
- Geißler, C.; Kühn, P.; Böhnke, M.; Bruelheide, H.; Shi, X.; Scholten, T. Splash erosion potential under tree canopies in subtropical SE China. Catena 2012, 91, 85–93. [Google Scholar] [CrossRef]
- Ries, J.B.; Iserloh, T.; Seeger, M.; Gabriels, D. Rainfall simulations—Constraints, needs and challenges for a future use in soil erosion research. Zeitschrift für Geomorphologie 2013, 57, 1–10. [Google Scholar] [CrossRef]
- Kamphorst, A. A small rainfall simulator for the determination of soil erodibility. Neth. J. Agric. Sci. 1987, 35, 407–415. [Google Scholar]
- Bochet, E.; Poesen, J.; Rubio, J.L. Runoff and soil loss under individual plants of semi-arid Mediterranean shrubland: Influence of plant morphology and rainfall intensity. Earth Surf. Process. Landf. 2006, 31, 536–549. [Google Scholar] [CrossRef]
- Ludwig, J.A.; Wilcox, B.P.; Breshears, D.D.; Tongway, D.J.; Imeson, A.C. Vegetation Patches and Runoff-Erosion as Interacting Ecohydrological Processes in Semiarid Landscapes. Ecology 2005, 86, 288–297. [Google Scholar] [CrossRef]
- Gispert, M.; Emran, M.; Pardini, G.; Doni, S.; Ceccanti, B. The impact of land management and abandonment on soil enzymatic activity, glomalin content and aggregate stability. Geoderma 2013, 202–203, 51–61. [Google Scholar] [CrossRef]
- Plaza-Bonilla, D.; Cantero-Martínez, C.; Viñas, P.; Álvaro-Fuentes, J. Soil aggregation and organic carbon protection in a no-tillage chronosequence under Mediterranean conditions. Geoderma 2013, 193–194, 76–82. [Google Scholar] [CrossRef]
- Douglas, J.T.; Goss, M.J. Stability and organic matter content of surface soil aggregates under different methods of cultivation and in grassland. Soil Tillage Res. 1982, 2, 155–175. [Google Scholar] [CrossRef]
- Goebel, M.; Woche, S.K.; Bachmann, J. Quantitative analysis of a liquid penetration kinetics and slaking of aggregates as related to solid-liquid interfacial properties. J. Hydrol. 2012, 442–443, 63–74. [Google Scholar] [CrossRef]
- Le Bissonais, Y. Aggregate stability and assessment of soil crustability and erodibility: I. Theory and methodology. Eur. J. Soil Sci. 1996, 47, 425–437. [Google Scholar] [CrossRef]
- Nciizah, A.D.; Wakindiki, I.I.C. Soil sealing and crusting effects on infiltration rate: A critical review of shortfalls in prediction models and solutions. Arch. Agron. Soil Sci. 2015, 61, 1211–1230. [Google Scholar] [CrossRef]
- Guzmán, G.; Perea-Moreno, A.-J.; Gómez, J.A.; Cabrerizo-Morales, M.Á.; Martínez, G.; Giráldez, J.V. Water Related Properties to Assess Soil Quality in Two Olive Orchards of South Spain under Different Management Strategies. Water 2019, 11, 367. [Google Scholar] [CrossRef]
- Lichner, L.; Orfánus, T.; Nováková, K.; Šír, M.; Tesař, M. The Impact of Vegetation on Hydraulic Conductivity of Sandy Soil. Soil Water Res. 2007, 2, 59–66. [Google Scholar] [CrossRef]
- Abrahams, A.D.; Parsons, A.J. Relation between infiltration and stone cover on a semiarid hillslope, Southern Arizona. J. Hydrol. 1991, 122, 49–59. [Google Scholar] [CrossRef]
- Brakensiek, D.L.; Rawls, W.J. Soil containing rock fragments: Effects on infiltration. Catena 1994, 23, 99–110. [Google Scholar] [CrossRef]
- Eldridge, D.J.; Freudenberger, D. Ecosystem wicks: Woodland trees enhance water infiltration in a fragmented agricultural landscape in eastern Australia. Austral Ecol. 2005, 30, 336–347. [Google Scholar] [CrossRef]
- Castellano, M.J.; Valone, T.J. Livestock, soil compaction and water infiltration rate: Evaluating a potential desertification recovery mechanism. J. Arid Environ. 2007, 71, 97–108. [Google Scholar] [CrossRef]
- Jeddi, K.; Cortina, J.; Chaieb, M. Acacia Salicina, Pinus halepensis and Eucalyptus occidentalis improve soil surface conditions in arid southern Tunisia. J. Arid Environ. 2009, 73, 1005–1013. [Google Scholar] [CrossRef]
- Fu, H.; Pei, S.; Chen, Y.; Wan, C. Influence of Shrubs on Soil Chemical Properties in Alxa Desert Steppe, China. In Proceedings: Shrubland Dynamics—Fire and Water; Lubbock, USA, 10–12 August 2004; Sosebee, R.E., Wester, D.B., Britton, C.M., McArthur, E.D., Kitchen, S.G., Eds.; U.S. Department of Agriculture, Forest Service, Rocky Mountain Research Station: Fort Collins, CO, USA, 2007; pp. 117–122. [Google Scholar]
- Ries, J.B.; Andres, K.; Wirtz, S.; Tumbrink, J.; Wilms, T.; Peter, K.D.; Burczyk, M.; Butzen, V.; Seeger, M. Sheep and goat erosion—Experimental geomorphology as an approach for the quantification of underestimated processes. Zeitschrift für Geomorphologie 2014, 58, 23–45. [Google Scholar] [CrossRef]
- Berthrong, S.T.; Jobbágy, E.G.; Jackson, R.B. A global meta-analysis of soil exchangeable cations, pH, carbon, and nitrogen with afforestation. Ecol. Appl. 2009, 19, 2228–2241. [Google Scholar] [CrossRef] [PubMed]
- Alba-Sánchez, F.; López-Sáez, J.A.; Nieto-Lugilde, D.; Svenning, J.-C. Long-term climate forcings to assess vulnerability in North Africa dry argan woodlands. Appl. Veg. Sci. 2015, 18, 283–296. [Google Scholar] [CrossRef]
- Azevedo, J.; Morgan, D.L. Fog precipitation in coastal California forests. Ecology 1974, 55, 1135–1141. [Google Scholar] [CrossRef]
- Nyaga, J.M.; Neff, J.C.; Cramer, M.D. The Contribution of Occult Precipitation to Nutrient Deposition on the West Coast of South Africa. PLoS ONE 2015, 10, 1–21. [Google Scholar] [CrossRef][Green Version]
- Cunningham, R.K. Cation-anion relationships in crop nutrition: III. Relationships between the ratios of sum of the cations: Sum of the anions and nitrogen concentrations in several plant species. J. Agric. Sci. 1964, 63, 109–111. [Google Scholar] [CrossRef]
- Riley, D.; Barber, S.A. Bicarbonate Accumulation and pH Changes at the Soybean (Glycine max (L.) Merr.) Root-Soil Interface. Soil Sci. Soc. Am. J. 1969, 33, 905–908. [Google Scholar] [CrossRef]
- Boulmane, M.; Oubrahim, H.; Halim, M.; Bakker, M.R.; Augusto, L. The potential of Eucalyptus plantations to restore degraded soils in semi-arid Morocco (NW Africa). Ann. For. Sci. 2017, 74, 57. [Google Scholar] [CrossRef]













| Site | Principal Attribute | Study Area | Rainfall Simulations | Infiltration Measurements | Soil Analysis |
|---|---|---|---|---|---|
| ABA1n | silvopastoral | Aït Baha | X | X | X |
| ABA1s | steep slope >10° | Aït Baha | X | X | X |
| ABH1n | silvopastoral | Aït Baha | X | X | X |
| ABH1x | grazing exclusion | Aït Baha | X | X | X |
| ABH2c | cultivated | Aït Baha | X | X | X |
| ABH2t | terraced | Aït Baha | X | X | X |
| AOU1a | afforestation | Aït Baha | X | X | |
| AOU2a | afforestation | Aït Baha | X | X | |
| AOU2x | grazing exclusion | Aït Baha | X | X | |
| MAO1n | silvopastoral | Aït Baha | X | X | X |
| MAO2t | terraced | Aït Baha | X | X | X |
| SHY1g | gullies | Aït Baha | X | X | X |
| TAS1r | rock fragment cover | Aït Baha | X | X | X |
| BOU1b | browsed | Taroudant | X | X | X |
| BOU1n | silvopastoral | Taroudant | X | X | X |
| IRG1c | cultivated | Taroudant | X | X | |
| IRG1n | silvopastoral | Taroudant | X | X | |
| IRG2d | dense | Taroudant | X | X | |
| IRG2n | silvopastoral | Taroudant | X | X | |
| IRG3c | cultivated | Taroudant | X | X | |
| IRG3l | logged | Taroudant | X | X | |
| IRG3n | silvopastoral | Taroudant | X | X | |
| TLK1n | silvopastoral | Taroudant | X | X | X |
| TLK1x | grazing exclusion | Taroudant | X | X | X |
| AZR1c | cultivated | Ida-Outanane | X | X | X |
| AZR1n | silvopastoral | Ida-Outanane | X | X | X |
| AZR2c | cultivated | Ida-Outanane | X | X | X |
| AZR2n | silvopastoral | Ida-Outanane | X | X | X |
| OUF1d | dense | Ida-Outanane | X | X | |
| OUF1n | silvopastoral | Ida-Outanane | X | X |
| Type | Slope (°) | Roughness (Cr) | Vegetation Cover (%) | Stone Cover (%) | Soil Moisture (%) |
|---|---|---|---|---|---|
| Tree | 4.3 ± 4.4 | 6.8 ± 4.4 | 36.8 ± 28.4 * | 35.0 ± 21.4 * | 4.4 ± 4.5 |
| Intertree | 4.2 ± 4.2 | 7.5 ± 4.0 | 10.2 ± 14.1 * | 51.9 ± 20.5 * | 3.4 ± 3.8 |
| Cluster | SSC (g L−1) | SSL (g m−2) | AO (L m−2) | Slope (°) | Tree/Intertree |
|---|---|---|---|---|---|
| Cluster 1 | 1.35 | 13.73 | 4.55 | 6.26 | 15/4 |
| Cluster 2 | 8.95 | 53.26 | 46.91 | 7.38 | 3/14 |
| Study Area | pH | EC (µS cm−1) | TC-Content (%) | N-Content (%) | PS (mL 10 min−1) | Mean Grain Size (mm) |
|---|---|---|---|---|---|---|
| Aït Baha | 7.34 ± 0.21 | 250.42 ± 73.01 | 2.33 ± 1.67 | 0.17 ± 0.13 | 108.77 ± 104.47 | 0.20 ± 0.09 |
| Taroudant | 7.33 ± 0.17 | 264.00 ± 64.87 | 3.73 ± 3.17 | 0.25 ± 0.22 | 121.39 ± 119.43 | 0.21 ± 0.06 |
| Ida-Outanane | 7.47 ± 0.11 | 299.14 ± 70.53 | 4.32 ± 2.48 | 0.28 ± 0.16 | 102.32 ± 71.86 | 0.17 ± 0.09 |
| Study Area | K (cmolc kg−1) | Na (cmolc kg−1) | Mg (cmolc kg−1) | Ca (cmolc kg−1) |
|---|---|---|---|---|
| Aït Baha | 4.27 ± 1.63 | 0.80 ± 0.40 | 5.66 ± 1.57 | 35.76 ± 5.58 |
| Taroudant | 4.95 ± 2.04 | 0.98 ± 0.48 | 5.57 ± 1.67 | 36.45 ± 6.52 |
| Ida-Outanane | 5.87 ± 1.96 | 1.15 ± 1.01 | 5.32 ± 2.23 | 43.66 ± 3.66 |
| Cluster | TC (%) | EC (µS cm−1) | N (%) | Vegetation Cover (%) | PS (mL 10 min−1) | Ksat (mm h−1) | pH | Tree/Intertree |
|---|---|---|---|---|---|---|---|---|
| Cluster 1 | 1.74 | 223.42 | 0.12 | 5.88 | 60.10 | 141.19 | 7.30 | 6/27 |
| Cluster 2 | 5.20 | 315.46 | 0.36 | 34.29 | 186.03 | 211.17 | 7.46 | 22/2 |
© 2019 by the authors. Licensee MDPI, Basel, Switzerland. This article is an open access article distributed under the terms and conditions of the Creative Commons Attribution (CC BY) license (http://creativecommons.org/licenses/by/4.0/).
Share and Cite
Kirchhoff, M.; Engelmann, L.; Zimmermann, L.L.; Seeger, M.; Marzolff, I.; Aït Hssaine, A.; Ries, J.B. Geomorphodynamics in Argan Woodlands, South Morocco. Water 2019, 11, 2193. https://doi.org/10.3390/w11102193
Kirchhoff M, Engelmann L, Zimmermann LL, Seeger M, Marzolff I, Aït Hssaine A, Ries JB. Geomorphodynamics in Argan Woodlands, South Morocco. Water. 2019; 11(10):2193. https://doi.org/10.3390/w11102193
Chicago/Turabian StyleKirchhoff, Mario, Lars Engelmann, Lutz Leroy Zimmermann, Manuel Seeger, Irene Marzolff, Ali Aït Hssaine, and Johannes B. Ries. 2019. "Geomorphodynamics in Argan Woodlands, South Morocco" Water 11, no. 10: 2193. https://doi.org/10.3390/w11102193
APA StyleKirchhoff, M., Engelmann, L., Zimmermann, L. L., Seeger, M., Marzolff, I., Aït Hssaine, A., & Ries, J. B. (2019). Geomorphodynamics in Argan Woodlands, South Morocco. Water, 11(10), 2193. https://doi.org/10.3390/w11102193

