Comparing Meteorological Data Sets in the Evaluation of Climate Change Impact on Hydrological Indicators: A Case Study on a Mexican Basin
Abstract
1. Introduction
2. Materials and Methods
2.1. The Study Basin and the Meteorological Data Sets
2.2. Climate Simulations and the Bias Correction Method
2.3. The Hydrological Model and Hydrological Indicators
3. Results
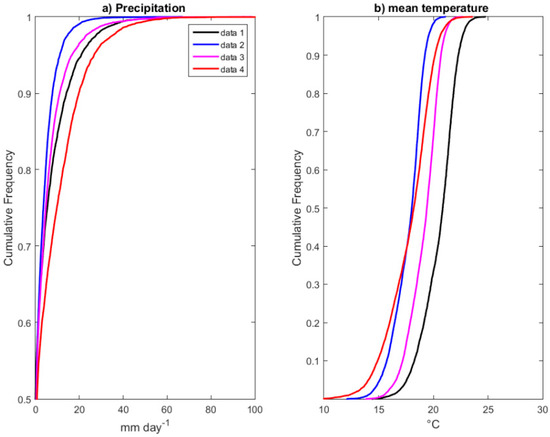
3.1. Comparison of Meteorological Data Sets in a Reference Period
3.2. Calibration and Validation of the Hydrological Model
3.3. Climate Change Signal on Meteorological Variables
3.4. Climate Change Signal on Hydrological Indicators
4. Discussion
5. Conclusions
- The meteorological data sets show underestimation (or overestimation in the case of the reanalysis) of precipitation and temperature. The hydrological model presents, to some extent, a good performance in terms of the Nash Sutcliffe Efficiency Coefficient. However, the analysis of the hydrological model’s optimized parameters shows important differences in their values, which indicates that the model leads to different representations of the basin’s hydrology.
- The use of the different meteorological data sets in the bias correction of climate simulations lead to a similar relative climate change signal (CCS, i.e., difference between reference and future period), but the magnitude of the estimated precipitation and temperature in the future periods strongly varies with the choice of dataset.
- The impact of climate change on hydrological indicators is influenced by the different model parameterization and the magnitude of the bias-corrected variables. The uncertainty related to the choice of the meteorological dataset was compared with the uncertainty related to the natural climate variability. Results show that, for the overall mean flow, the use of processed gridded data leads to a different estimation of the climate change signal. Results are mixed for the 2-year and 10-year return period high flow; thus, the CCS is, in some cases, similar to the CSS obtained with observations.
- The results on this work highlight that uncertainty related to meteorological data is not negligible when compared to natural climate variability; thus, the meteorological datasets should be evaluated before their use in the calibration of the hydrological model and in the bias correction of climate simulations for the estimation of the change impact. However, future work should consider other sources of uncertainty, such as the choice of general circulation model or regional model, the bias correction procedure, and the hydrological model.
Funding
Acknowledgments
Conflicts of Interest
References
- Arnell, N.G.; Gosling, S.N. The impacts of climate change on river flow regimes at the global scale. J. Hydrol. 2013, 486, 351–364. [Google Scholar] [CrossRef]
- Panagoulia, D. Impacts of GISS-modelled climate changes on catchment hydrology. Hydrol. Sci. J. 1992, 37, 141–163. [Google Scholar] [CrossRef]
- Horton, P.; Schaefli, B.; Mezghani, A.; Hingray, B.; Musy, A. Assessment of climate-change impacts on alpine discharge regimes with climate model uncertainty. Hydrol. Process. 2006, 20, 2091–2109. [Google Scholar] [CrossRef]
- Graham, L.P.; Hagemann, S.; Jaun, S.; Beniston, M. On interpreting hydrological change from regional climate models. Clim. Chang. 2007, 81, 97–122. [Google Scholar] [CrossRef]
- Prudhomme, C.; Davies, H. Assessing uncertainties in climate change impact analyses on the river flow regimes in the UK. Part 2: Future climate. Clim. Chang. 2008, 93, 197–222. [Google Scholar] [CrossRef]
- Velázquez, J.A.; Schmid, J.; Ricard, S.; Muerth, M.J.; Gauvin St-Denis, B.; Minville, M.; Chaumont, D.; Caya, D.; Ludwig, R.; Turcotte, R. An ensemble approach to assess hydrological models’ contribution to uncertainties in the analysis of climate change impact on water resources. Hydrol. Earth Syst. Sci. 2013, 17, 565–578. [Google Scholar] [CrossRef]
- Troin, M.; Velázquez, J.A.; Caya, D.; Brissette, F. Comparing statistical post-processing of regional and global climate scenarios for hydrological impacts assessment: A case study of two Canadian catchments. J. Hydrol. 2015, 520, 268–288. [Google Scholar] [CrossRef]
- Hydrological modeling of the Tampaon River in the context of climate change. Tecnología Ciencias Agua 2015, 6, 17–30.
- Al-Safi, H.I.J.; Kazemi, H.; Sarukkalige, P.R. Comparative study of conceptual versus distributed hydrologic modelling to evaluate the impact of climate change on future runoff in unregulated catchments. J. Water Clim. Chang. 2019. [Google Scholar] [CrossRef]
- Al-Safi, H.I.J.; Sarukkalige, P.R. Evaluation of the impacts of future hydrological changes on the sustainable water resources management of the Richmond River catchment. J. Water Clim. Chang. 2017, 9, 137–155. [Google Scholar] [CrossRef]
- IPCC. Climate Change: Impacts, adaptation, and vulnerability. Part B: Regional aspects. In Contribution of Working Group II to the Fifth Assessment Report of the Intergovernmental Panel on Climate Change; Barros, V.R., Field, C.B., Dokken, D.J., Mastrandrea, M.D., Mach, K.J., Bilir, T.E., Chatterjee, M., Ebi, K.L., Estrada, Y.O., Genova, R.C., et al., Eds.; Cambridge University Press: Cambridge, UK; New York, NY, USA, 2014; p. 688. [Google Scholar]
- Fekete, B.M.; Vörösmarty, C.J.; Roads, J.O.; Willmott, C.J. Uncertainties in precipitation and their impacts on runoff estimates. J. Clim. 2004, 17, 294–304. [Google Scholar] [CrossRef]
- Biemans, H.; Hutjes, R.W.A.; Kabat, P.; Strengers, B.J.; Gerten, D.; Rost, S. Effects of precipitation uncertainty on discharge calculations for main river basins. J. Hydrometeorol. 2009, 10, 1011–1025. [Google Scholar] [CrossRef]
- Getirana, A.C.V.; Espinoza, J.C.; Ronchail, J.; Rotunno-Filho, O.C. Assessment of different precipitation datasets and their impacts on the water balance of the Negro River basin. Hydrol. Process. 2010, 404, 304–322. [Google Scholar] [CrossRef]
- Grusson, Y.; Anctil, F.; Sauvage, S.; Sánchez Pérez, J. Testing the SWAT model with gridded weather data of different spatial resolutions. Water 2017, 9, 54. [Google Scholar] [CrossRef]
- Velázquez, J.A.; Dávila, R. Uncertainty related to processed gridded meteorological data: Implications for hydrological modelling. Ing. Investig. Tecnol. 2017, 18, 199–208. [Google Scholar] [CrossRef]
- Gao, J.; Sheshukov, A.Y.; Yen, H.; Douglas-Mankin, K.R.; White, M.J.; Arnold, J.G. Uncertainty of hydrologic processes caused by bias-corrected CMIP5 climate change projections with alternative historical data sources. J. Hydrol. 2019, 568, 551–561. [Google Scholar] [CrossRef]
- Peel, M.C.; Finlayson, B.L.; McMahon, T.A. Updated world map of the Köppen-Geiger climate classification. Hydrol. Earth Syst. Sci. 2007, 11, 1633–1644. [Google Scholar] [CrossRef]
- Instituto Mexicano de Tecnología del Agua Banco Nacional de Datos de Aguas Superficiales (BANDAS). Available online: https://www.imta.gob.mx/bandas (accessed on 31 August 2019).
- Livneh, B.; Bohn, T.J.; Pierce, D.W.; Muñoz-Arriola, F.; Nijssen, B.; Vose, R.; Brekke, L. A spatially comprehensive, hydrometeorological data set for Mexico, the USA, and Southern Canada 1950–2013. Sci. Data 2015, 2, 150042. [Google Scholar] [CrossRef]
- Zhu, C.; Lettenmaier, D.P. Long-Term Climate and Derived Surface Hydrology and Energy Flux Data for Mexico: 1925–2004. J. Clim. 2007, 20, 1936–1946. [Google Scholar] [CrossRef]
- Saha, S.; Moorthi, S.; Pan, H.-L.; Wu, X.; Wang, J.; Nadiga, S.; Tripp, P.; Kistler, R.; Woollen, J.; Behringer, D.; et al. The NCEP climate forecast system reanalysis. Bull. Am. Meteorol. Soc. 2010, 91, 1015–1057. [Google Scholar] [CrossRef]
- CICESE Datos Climáticos Diarios del CLICOM del SMN. Available online: http://clicom-mex.cicese.mx (accessed on 31 August 2019).
- NOOAA Spatially Comprehensive, Meteorological Data Set for Mexico, the U.S., and Southern Canada. Available online: https://data.nodc.noaa.gov/cgi-bin/iso?id=gov.noaa.nodc:0129374 (accessed on 31 August 2019).
- Texas A&M University Website Global Weather Data for SWAT. Available online: https://globalweather.tamu.edu/ (accessed on 31 August 2019).
- WMO. Guide to Hydrological Practices Volume I Hydrology—From Measurement to Hydrological Information WMO-No. 168; World Meteorological Organization (WMO): Geneva, Switzerland, 2009; p. 302. [Google Scholar]
- Panagoulia, D. Hydrological modelling of a medium-size mountainous catchment from incomplete meteorological data. J. Hydrol. 1992, 137, 279–310. [Google Scholar] [CrossRef]
- Arora, V.K.; Scinocca, J.F.; Boer, G.J.; Christian, J.R.; Denman, K.L.; Flato, G.M.; Kharin, V.V.; Lee, W.G.; Merryfield, W.J. Carbon emission limits required to satisfy future representative concentration pathways of greenhouse gases. Geophys. Res. Lett. 2011, 38, L05805. [Google Scholar] [CrossRef]
- Braun, M.; Caya, D.; Frigon, A.; Slivitzky, M. Internal Variability of Canadian RCM’s Hydrological Variables at the Basin Scale in Quebec and Labrador. J. Hydrometeorol. 2012, 13, 443–462. [Google Scholar] [CrossRef]
- Mpelasoka, F.S.; Chiew, F.H.S. Influence of rainfall Scenario Construction Methods on Runoff Projections. J. Hydrometeorol. 2009, 10, 1168–1183. [Google Scholar] [CrossRef]
- Perrin, C.; Michel, C.; Andréassian, V. Improvement of a Parsimonious Model for Streamflow Simulation. J. Hydrol. 2003, 279, 275–289. [Google Scholar] [CrossRef]
- Oudin, L.; Hervieu, F.; Michel, C.; Perrin, C.; Andreassian, V.; Anctil, F.; Loumagne, C. Which Potential Evapotranspiration Input for a Lumped Rainfall-Runoff Model? Part 2—Towards a Simple and Efficient Potential Evapotranspiration Model for Rainfall Runoff Modelling. J. Hydrol. 2005, 303, 290–306. [Google Scholar] [CrossRef]
- Nash, J.E.; Sutcliffe, J.V. River flow forecasting through conceptual models, Part 1—A Discussion of Principles. J. Hydrol. 1970, 10, 282–290. [Google Scholar] [CrossRef]
- Panagoulia, D.; Tsekouras, G.J.; Kousiouris, G. A multi-stage methodology for selecting input variables in ANN forecasting of river flows. Glob. Nest J. 2017, 19, 49–57. [Google Scholar]
- Kim, S.; Kim, H. A new metric of absolute percentage error for intermittent demand forecasts. Int. J. Forecast. 2016, 32, 669–679. [Google Scholar] [CrossRef]
- Zhang, D.; Ni, G.; Cong, Z.; Chen, T.; Zhang, T. Statistical interpretation of the daily variation of urban water consumption in Beijing, China. Hydrol. Sci. J. 2014, 59, 181–192. [Google Scholar] [CrossRef]
- Legates, D.R.; McCabe, G.J., Jr. Evaluating the use of “goodness-of-fit” measures in hydrologic and hydroclimatic model validation. Water Resour. Res. 1999, 35, 233–241. [Google Scholar] [CrossRef]
- Pagano, T.; Hapuarachchi, P.; Wang, Q.J. Continuous Rainfall-Runoff Model Comparison and Short-Term Daily Streamflow Forecast Skill Evaluation, Australia; CSIRO; Water for a Healthy Country National Research Flagship: Melbourne, Australia, 2010; p. 70. [Google Scholar]
- Muerth, M.J.; Gauvin St-Denis, B.; Ricard, S.; Velázquez, J.A.; Schmid, J.; Minville, M.; Caya, D.; Chaumont, D.; Ludwig, R.; Turcotte, R. On the need for bias correction in regional climate scenarios to assess climate change impacts on river runoff. Hydrol. Earth Syst. Sci. 2013, 17, 1189–1204. [Google Scholar] [CrossRef]
- Velázquez, J.A.; Troin, M.; Caya, D.; Brissette, F. Evaluating the Time-Invariance Hypothesis of Climate Model Bias Correction: Implications for Hydrological Impact Studies. J. Hydrometeorol. 2015, 16. [Google Scholar] [CrossRef]
- Teutschbein, C.; Seibert, J. Is bias correction of regional climate model (RCM) simulations possible for non-stationary conditions? Hydrol. Earth Syst. Sci. 2013, 17, 5061–5077. [Google Scholar] [CrossRef]
- Ho, C.K.; Stephenson, D.B.; Collins, M.; Ferro, C.A.T.; Brown, S.J. Calibration strategies: A source of additional uncertainty in climate change projections. Bull. Am. Meteorol. Soc. 2012, 93, 21–26. [Google Scholar] [CrossRef]
- Wilcoxon, F. Individual Comparisons by Ranking Methods. Biom. Bull. 1945, 1, 80–83. [Google Scholar] [CrossRef]











| I.D. | Description | Source |
|---|---|---|
| data 1 | Observation from five meteorological stations (Figure 1) | Servicio Meteorológico Nacional (SMN) via CICESE (Ensenada Center for Scientific Research and Higher Education) website [23] |
| data 2 | Interpolated meteorological data (resolution of 1/16°) | NOAA (National Oceanic and Atmospheric Administration) website [24] |
| data 3 | Interpolated meteorological data (resolution of 1/8°) | CICESE website [23] |
| data 4 | Climate Forecast System reanalysis (CFSR; resolution of 1/2°) | Texas University website [25] |
| pctl | Precipitation (mm day−1) | |||
|---|---|---|---|---|
| data 1 | data 2 | data 3 | data 4 | |
| 50 | 0 | 0.33 | 0.37 | 0.67 |
| 75 | 5.39 | 3.59 | 4.66 | 9.73 |
| 90 | 20.86 | 11.13 | 16.64 | 26.64 |
| Temperature (°C) | ||||
| 10 | 18.28 | 15.75 | 17.19 | 14.91 |
| 50 | 20.87 | 18.03 | 19.40 | 18.20 |
| 90 | 22.30 | 19.23 | 20.69 | 20.15 |
| Data 1 | Data 2 | Data 3 | Data 4 | ||
|---|---|---|---|---|---|
| NS | Cal. | 0.79 | 0.87 | 0.88 | 0.54 |
| Val. | 0.84 | 0.85 | 0.58 | 0.52 | |
| MAPE (%) | Cal | 46.4 | 101.8 | 28.8 | 44.5 |
| Val | 56.5 | 113.1 | 33.8 | 84.6 | |
| TS5 (%) | Cal. | 6.9 | 7.9 | 7.2 | 8.0 |
| Val. | 6.5 | 5.4 | 12.9 | 3.2 | |
| TS25 (%) | Cal | 32.4 | 34.3 | 42.4 | 33.6 |
| Val | 29.8 | 27.6 | 58.6 | 19.8 | |
| TS50 (%) | Cal | 60.6 | 50 | 91.4 | 61.3 |
| Val | 52.6 | 40.3 | 81.3 | 37.6 |
| Data 1–Data 2 | Data 1–Data 3 | Data 1–Data 4 | Data 2–Data 3 | Data 2–Data 4 | Data 3–Data 4 | |||
|---|---|---|---|---|---|---|---|---|
| OMF | 2041–2060 | rcp45 | <0.001 | <0.001 | <0.001 | 0.017 | 0.815 | 0.017 |
| rcp85 | <0.001 | <0.001 | <0.001 | 0.922 | 0.074 | 0.107 | ||
| 2081–2100 | rcp45 | <0.001 | <0.001 | 0.001 | 0.627 | 0.876 | 0.415 | |
| rcp85 | <0.001 | <0.001 | <0.001 | <0.001 | <0.001 | <0.001 | ||
| HF2 | 2041–2060 | rcp45 | <0.001 | 0.404 | 0.332 | 0.0041 | <0.001 | 0.103 |
| rcp85 | 0.0137 | 0.107 | 0.187 | 0.001 | 0.0014 | 0.741 | ||
| 2081–2100 | rcp45 | 0.0379 | 0.341 | 0.180 | 0.0043 | 0.0019 | 0.800 | |
| rcp85 | 0.0416 | <0.001 | 0.0011 | <0.001 | <0.001 | 0.268 | ||
| HF10 | 2041–2060 | rcp45 | 0.907 | 0.0088 | 0.712 | 0.0043 | 0.404 | 0.013 |
| rcp85 | 0.999 | 0.0397 | 0.953 | 0.0457 | 0.969 | 0.071 | ||
| 2081–2100 | rcp45 | 0.938 | 0.1744 | 0.831 | 0.1806 | 0.892 | 0.207 | |
| rcp85 | 0.712 | <0.001 | 0.332 | <0.001 | 0.193 | 0.001 |
© 2019 by the author. Licensee MDPI, Basel, Switzerland. This article is an open access article distributed under the terms and conditions of the Creative Commons Attribution (CC BY) license (http://creativecommons.org/licenses/by/4.0/).
Share and Cite
Velázquez-Zapata, J.A. Comparing Meteorological Data Sets in the Evaluation of Climate Change Impact on Hydrological Indicators: A Case Study on a Mexican Basin. Water 2019, 11, 2110. https://doi.org/10.3390/w11102110
Velázquez-Zapata JA. Comparing Meteorological Data Sets in the Evaluation of Climate Change Impact on Hydrological Indicators: A Case Study on a Mexican Basin. Water. 2019; 11(10):2110. https://doi.org/10.3390/w11102110
Chicago/Turabian StyleVelázquez-Zapata, Juan Alberto. 2019. "Comparing Meteorological Data Sets in the Evaluation of Climate Change Impact on Hydrological Indicators: A Case Study on a Mexican Basin" Water 11, no. 10: 2110. https://doi.org/10.3390/w11102110
APA StyleVelázquez-Zapata, J. A. (2019). Comparing Meteorological Data Sets in the Evaluation of Climate Change Impact on Hydrological Indicators: A Case Study on a Mexican Basin. Water, 11(10), 2110. https://doi.org/10.3390/w11102110

