Non-Stationary Flood Characteristics and Joint Risk Analysis in Inland China with Uncertainty Considerations
Abstract
1. Introduction
2. Study Area and Data
Overview of the Study Area
3. Methods
3.1. Non-Stationarity Test
3.2. GAMLSS Model
3.3. Copula-Based Modeling Approach
3.4. Bivariate Return Period
3.5. Parametric Bootstrap-Based Uncertainty Quantification Framework for Joint Design Values
- 1.
- Marginal Distribution Parameter Uncertainty
- 2.
- Sample Size Uncertainty
4. Results and Analysis
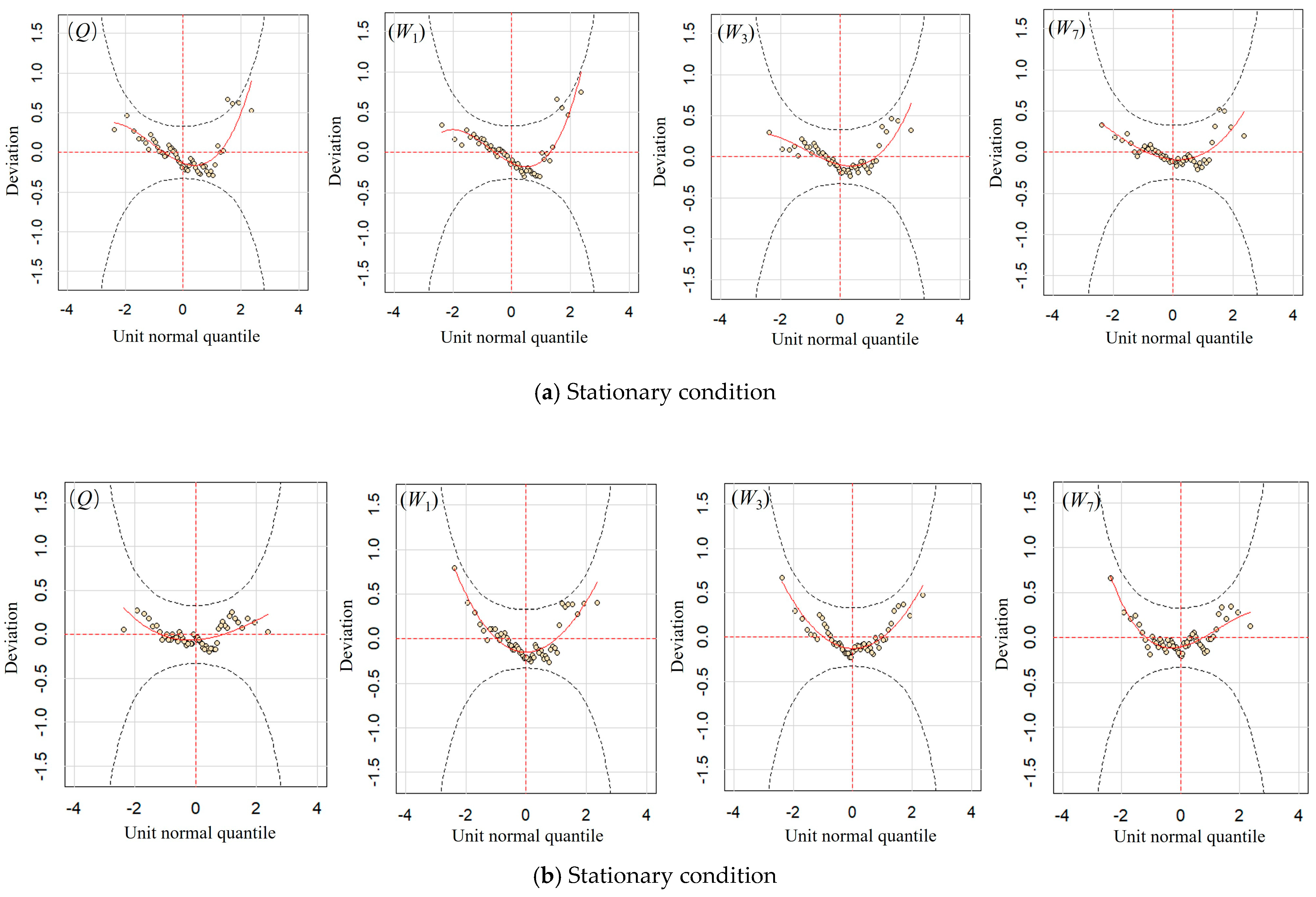
4.1. Test for Non-Stationarity of Peak Flow and Flood Volume Sequences
4.2. Analysis of Flood-Driving Factors
4.2.1. Quantifying the Contribution of Individual Climatic Factors Using GAMLSS
4.2.2. Screening of Key Climatic Covariates for Flood Series
4.3. Construction and Selection of Marginal Distribution Models for Flood Series
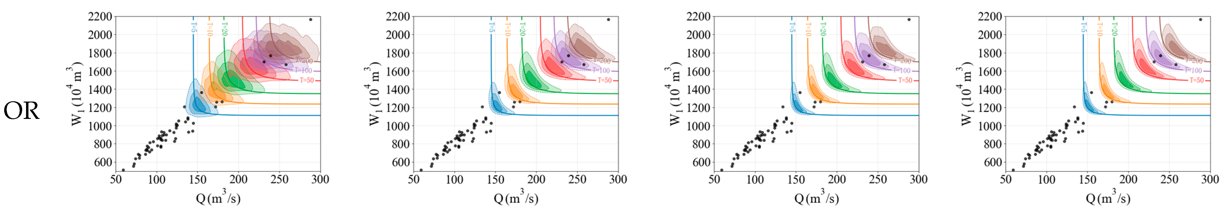
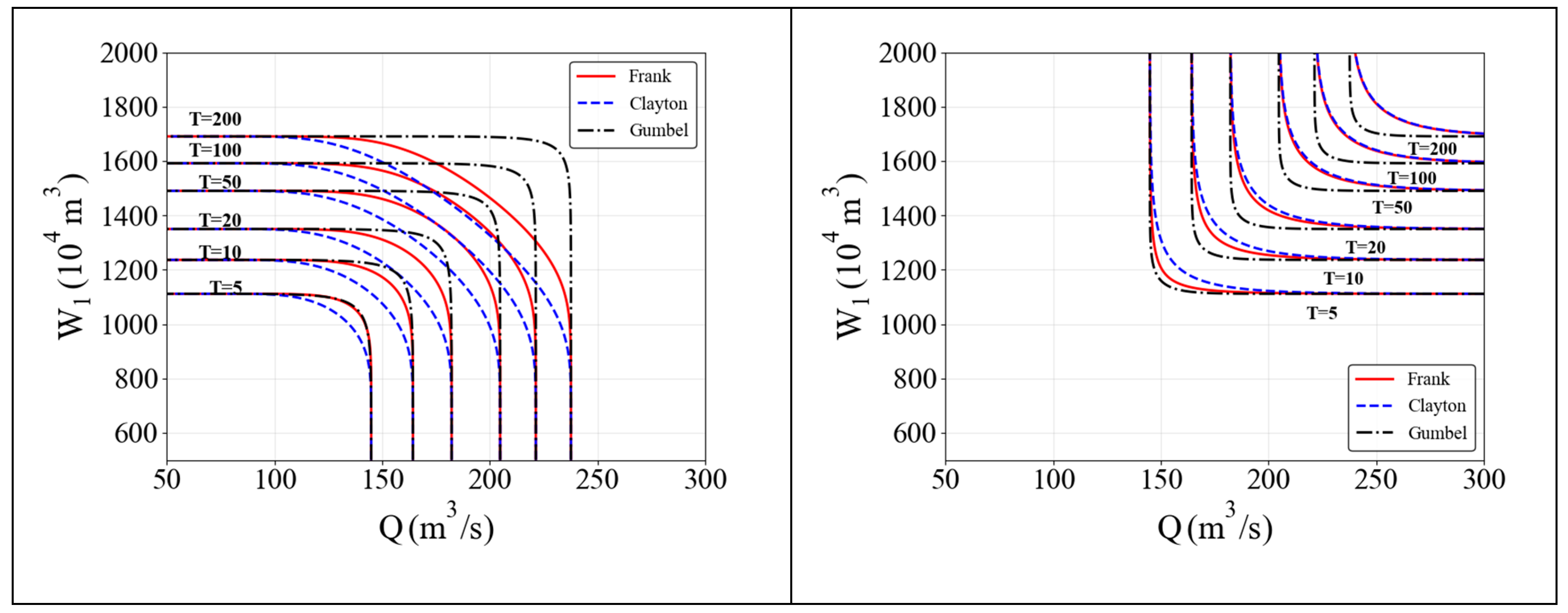
4.4. Construction and Selection of the Joint Distribution Model for Flood Peak and Volume
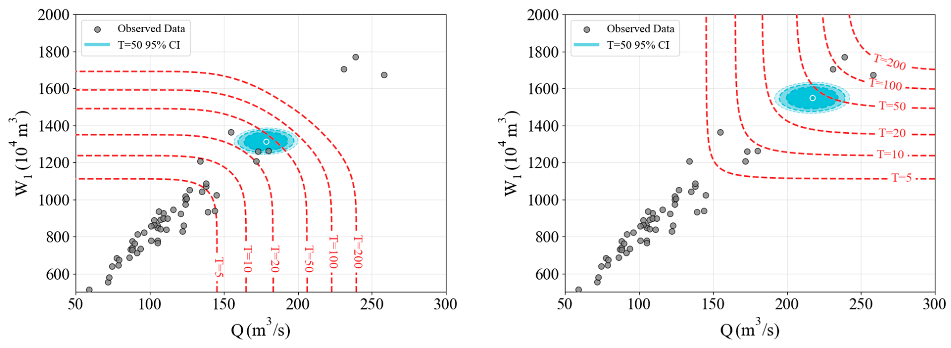
4.5. Flood Risk Assessment Under Non-Stationary Conditions Considering Uncertainties
4.5.1. Impact of Marginal Distribution Parameter Uncertainty on Flood Risk
4.5.2. Impact of Sample Size Uncertainty on Flood Risk
5. Discussion
6. Conclusions
Author Contributions
Funding
Data Availability Statement
Conflicts of Interest
References
- Xu, Z.; Chen, H.; Ren, M.; Cheng, T. Progress on disaster mechanism and risk assessment of urban flood/waterlogging disasters in China. Adv. Water Sci. 2022, 31, 713–724. [Google Scholar] [CrossRef]
- Clarke, B.; Otto, F.; Stuart-Smith, R.; Harrington, L. Extreme weather impacts of climate change: An attribution perspective. Environ. Res. Clim. 2022, 1, 012001. [Google Scholar] [CrossRef]
- Xie, P.; Chen, G.; Lei, H.; Wu, F. Hydrological alteration diagnosis system. J. Hydroelectr. Eng. 2010, 29, 85–91. [Google Scholar]
- Li, R.; Xiong, L.; Jiang, C.; Li, W.; Liu, C. Quantifying multivariate flood risk under nonstationary condition. Nat. Hazards 2023, 116, 1161–1187. [Google Scholar] [CrossRef]
- Wang, H.; Huang, S.; Fang, W.; Dai, M.; Huang, Q. Bivariate flood risk assessment considering non-stationary model. J. Xi’an Univ. Technol. 2020, 36, 507–515. [Google Scholar] [CrossRef]
- Song, M.; Zhang, J.; Liu, Y.; Liu, C.; Bao, Z.; Jin, J.; He, R.; Bian, G.; Wang, G. Time-varying copula-based compound flood risk assessment of extreme rainfall and high water level under a non-stationary environment. J. Flood Risk Manag. 2024, 17, e13032. [Google Scholar] [CrossRef]
- Stephens, T.A.; Bledsoe, B.P. Flood Protection Reliability: The Impact of Uncertainty and Nonstationarity. Water Resour. Res. 2023, 59, e2021WR031921. [Google Scholar] [CrossRef]
- Liang, Z.; Hu, Y.; Wang, J. Advances in hydrological frequency analysis of non-stationary time series. Adv. Water Sci. 2011, 22, 864–871. [Google Scholar] [CrossRef]
- He, C.; Chen, F.; Wang, Y.; Long, A.; He, X. Flood frequency analysis of Manas River Basin in China under non-stationary condition. J. Flood Risk Manag. 2021, 14, e12745. [Google Scholar] [CrossRef]
- Rohmer, J.; Thieblemont, R.; Le Cozannet, G. Revisiting the link between extreme sea levels and climate variability using a spline-based non-stationary extreme value analysis. Weather Clim. Extrem. 2021, 33, 100352. [Google Scholar] [CrossRef]
- Mo, S.; Li, C.; Xing, H.; Jiang, K. GAMLSS Model-based Analysis on Annual Runoff in Xiaoli River Basin. J. Basic Sci. Eng. 2022, 30, 40–49. [Google Scholar] [CrossRef]
- Stasinopoulos, D.M.; Rigby, R.A. Generalized Additive Models for Location Scale and Shape (GAMLSS) in R. J. Stat. Softw. 2007, 23, 1–46. [Google Scholar] [CrossRef]
- Hao, W.; Shao, Q.; Hao, Z.; Ju, Q.; Baima, W.; Zhang, D. Non-stationary modelling of extreme precipitation by climate indices during rainy season in Hanjiang River Basin, China. Int. J. Climatol. 2019, 39, 4154–4169. [Google Scholar] [CrossRef]
- Zhang, T.; Wang, Y.; Wang, B.; Tan, S.; Feng, P. Nonstationary Flood Frequency Analysis Using Univariate and Bivariate Time-Varying Models Based on GAMLSS. Water 2018, 10, 819. [Google Scholar] [CrossRef]
- Jin, H.; Willems, P.; Chen, X.; Liu, M. Nonstationary flood and its influencing factors analysis in the Han jiang River Basin, China. J. Hydrol. 2023, 625, 129994. [Google Scholar] [CrossRef]
- Niu, B.; Li, Y.; Liu, L.; Xie, L.; Wang, L.; Jiang, X.; Feng, H.; Yu, Q.; He, J.; Lin, H. Improved identification and monitoring of meteorological, agricultural, and hydrological droughts using the modified nonstationary drought indices in the Yellow River Basin of China. J. Hydrol. 2024, 643, 131788. [Google Scholar] [CrossRef]
- Liu, Z.; Guo, S.; Xu, X.; Xu, S.; Cheng, J. Application of Copula functions in hydrology and water resources: A state-of-the-art review. Adv. Water Sci. 2021, 32, 148–159. [Google Scholar] [CrossRef]
- Chebana, F.; Ouarda, T.B.M.J. Multivariate quantiles in hydrological frequency analysis. Environmetrics 2011, 22, 63–78. [Google Scholar] [CrossRef]
- Requena, A.I.; Chebana, F.; Mediero, L. A complete procedure for multivariate index-flood model application. J. Hydrol. 2016, 535, 559–580. [Google Scholar] [CrossRef]
- Yang, X.; Zhu, D.; Wang, J.; Weng, S.; Hou, M. Rainstorm Combination Design during the Meiyu Season: An Example from Southern Jiangsu, China. J. Hydrol. Eng. 2022, 27, 05022022. [Google Scholar] [CrossRef]
- Abdollahi, S.; Akhoond-Ali, A.M.; Mirabbasi, R.; Adamowski, J.F. Probabilistic Event Based Rainfall-Runoff Modeling Using Copula Function. Water Resour. Manag. 2019, 33, 3799–3814. [Google Scholar] [CrossRef]
- Hasan, I.F.; Abdullah, R. Agricultural Drought Characteristics Analysis Using Copula. Water Resour. Manag. 2022, 36, 5915–5930. [Google Scholar] [CrossRef]
- Kim, S.U.; Seo, D.I. Comparison of the drought return periods by univariate, bivariate probability distribution, and copula function under SSPs scenarios. Theor. Appl. Climatol. 2024, 156, 67. [Google Scholar] [CrossRef]
- Klaho, M.; Safavi, H.; Golmohammadi, M.; Alkntar, M. Comparison between bivariate and trivariate flood frequency analysis using the Archimedean copula functions, a case study of the Karun River in Iran. Nat. Hazards 2022, 112, 1589–1610. [Google Scholar] [CrossRef]
- Xu, P.; Wang, D.; Singh, V.P.; Lu, H.; Wang, Y.; Wu, J.; Wang, L.; Liu, J.; Zhang, J. Multivariate Hazard Assessment for Nonstationary Seasonal Flood Extremes Considering Climate Change. J. Geophys. Res. Atmos. 2020, 125, 19. [Google Scholar] [CrossRef]
- Montanari, A. What do we mean by ‘uncertainty’? The need for a consistent wording about uncertainty assessment in hydrology. Hydrol. Process 2007, 21, 841–845. [Google Scholar] [CrossRef]
- Michailidi, E.M.; Bacchi, B. Dealing with uncertainty in the probability of overtopping of a flood mitigation dam. Hydrol. Earth Syst. Sci. 2017, 21, 2497–2507. [Google Scholar] [CrossRef]
- Serinaldi, F. An uncertain journey around the tails of multivariate hydrological distributions. Water Resour. Res. 2013, 49, 6527–6547. [Google Scholar] [CrossRef]
- Sharma, S.; Ghimire, G.; Talchabhadel, R.; Panthi, J.; Lee, B.; Sun, F.; Baniya, R.; Adhikari, T. Bayesian characterization of uncertainties surrounding fluvial flood hazard estimates. Hydrol. Sci. J. 2022, 67, 277–286. [Google Scholar] [CrossRef]
- Dung, N.; Merz, B.; Bárdossy, A.; Apel, H. Handling uncertainty in bivariate quantile estimation—An application to flood hazard analysis in the Mekong Delta. J. Hydrol. 2015, 527, 704–717. [Google Scholar] [CrossRef]
- Liu, Y.; Li, Y.; Ma, Y.; Jia, Q.; Su, Y. Development of a Bayesian-copula-based frequency analysis method for hydrological risk assessment—The Naryn River in Central Asia. J. Hydrol. 2020, 580, 124349. [Google Scholar] [CrossRef]
- Guo, A.; Chang, J.; Wang, Y.; Huang, Q.; Li, Y. Uncertainty quantification and propagation in bivariate design flood estimation using a Bayesian information-theoretic approach. J. Hydrol. 2020, 584, 124677. [Google Scholar] [CrossRef]
- Huang, K.; Fan, Y. Parameter Uncertainty and Sensitivity Evaluation of Copula-Based Multivariate Hydroclimatic Risk Assessment. J. Environ. Inform. 2021, 38, 131–144. [Google Scholar] [CrossRef]
- Yin, C.; Sun, Z.; Xiong, M.; Wang, J.; Zhang, W.; Liu, Y.; Zhang, J. Compound flooding potential in the Yangtze Estuary based on Bayesian inference. Adv. Water Sci. 2025, 36, 166–176. [Google Scholar] [CrossRef]
- Yang, Y.; Chen, R.; Liu, G.; Liu, Z.; Wang, X. Trends and variability in snowmelt in China under climate change. Hydrol. Earth Syst. Sci. 2022, 26, 305–329. [Google Scholar] [CrossRef]
- Birkes, D.; Dodge, Y. Estimating the Regression Line. In Alternative Methods of Regression; Wiley Series in Probability and Statistics, Wiley-Intersciee; John Wiley & Sons, Inc.: Hoboken, NJ, USA, 1993; pp. 113–118. [Google Scholar]
- Jiang, W.; Yuan, L.; Wang, W.; Cao, R.; Zhang, Y.; Shen, W. Spatio-temporal analysis of vegetation variation in the Yellow River Basin. Ecol. Indic. 2015, 51, 117–126. [Google Scholar] [CrossRef]
- Zhou, M.; Li, Z.; Gao, M.; Zhu, W.; Zhang, S.; Ma, J.; Ta, L.; Yang, G. Revealing the Eco-Environmental Quality of the Yellow River Basin: Trends and Drivers. Remote Sens. 2024, 16, 2018. [Google Scholar] [CrossRef]
- Wang, Y.; Peng, T.; Lin, Q.; Singh, V.; Dong, X.; Chen, C.; Liu, L.; Chang, W.; Wang, G. A New Non-stationary Hydrological Drought Index Encompassing Climate Indices and Modified Reservoir Index as Covariates. Water Resour. Manag. 2022, 36, 2433–2454. [Google Scholar] [CrossRef]
- Nelsen, R.B. Copulas. In An Introduction to Copula; Springer: Berlin/Heidelberg, Germany, 2006; pp. 10–14. [Google Scholar] [CrossRef]
- Amini, S.; Bidaki, R.Z.; Mirabbasi, R.; Shafaei, M. Flood risk analysis based on nested copula structure in Armand Basin, Iran. Acta Geophys. 2022, 70, 1385–1399. [Google Scholar] [CrossRef]
- Sun, H.; Li, Z.; Chu, Y.; Ruan, X.; Wang, J.; Fan, C. An accuracy-enhanced risk assessment framework for compound flood peak-volume effects using a mixed copula-probabilistic approach: A case study of the Yangtze River Basin, China. Nat. Hazards 2025, 121, 12635–12664. [Google Scholar] [CrossRef]
- Picheny, V.; Kim, N.; Haftka, R. Application of bootstrap method in conservative estimation of reliability with limited samples. Struct. Multidisc. Optim. 2009, 41, 205–217. [Google Scholar] [CrossRef]
- Du, T.; Xiong, L.; Li, S.; Shao, J.; XU, C.; Yan, L. Risk-based nonstationary design flood and uncertainty analysis. J. Hydraul. Eng. 2016, 49, 241–253. [Google Scholar] [CrossRef]
- Mohan, M.; Adarsh, S. Deciphering the Variations in the Generalized Extreme Value Distribution Parameters in the Non-stationary Flood Frequency Analysis. Water Resour. Manag. 2025, 39, 5227–5248. [Google Scholar] [CrossRef]
- Hong, S.; Shi, P.; Qu, S.; Feng, Y.; Zhao, M. Flood analysis of the main stream of Huaihe River under inconsistent condition. J. Water Resour. Water Eng. 2022, 33, 69–78. [Google Scholar] [CrossRef]
- Gan, X. Xinjiang Kuitun River Flood Characteristics and Maximum Value Research. Water Conserv. Sci. Technol. Econ. 2014, 20, 56–57. [Google Scholar]
- Ma, J.; Sun, Z. Mutual Information Is Copula Entropy. Tsinghua Sci. Technol. 2008, 16, 51–54. [Google Scholar] [CrossRef]
- Ma, J. Variable selection with copula entropy. Chin. J. Appl. Probab. Stat. 2021, 37, 405–420. [Google Scholar] [CrossRef]
- Yu, X.; Zhao, Y. Simulation of Orographic Effects on Summer Rain in the the Tianshan Mountains. J. Desert Res. 2016, 36, 1133–1143. [Google Scholar] [CrossRef]
- Tian, H.; Yang, X.; Zhang, G.; Zhao, L.; Wang, Z.; Zhao, L. The Possible Weather Causes for Snowmelt Flooding in Xinjiang in Mid-March 2009. Meteorol. Mon. 2011, 37, 590–598. [Google Scholar]
- Liu, X.; Zhao, L.; Yang, J.; Hui, J.; Tang, Q.; Tian, H. Study on Distribution Features of Spring Snowmelt Flooding in Xinjiang. J. Anhui Agric. Sci. 2016, 44, 165–168. [Google Scholar] [CrossRef]
- Wang, K.; Pu, T.; Shi, X.; Kun, Y. Impact of temperature and precipitation on runoff change in the source region of Lancang River. Clim. Change Res. 2020, 16, 306–315. [Google Scholar]
- Weng, J.; Yang, Y.; Mu, Z.; Yang, L. Mechanisms and spatiotemporal variation characteristics of flooding over northwestern China. Acta Geogr. Sin. 2024, 79, 2768–2779. [Google Scholar] [CrossRef]
- Daneshkhah, A.; Remesan, R.; Chatrabgoun, O.; Holman, I. Probabilistic modeling of flood characterizations with parametric and minimum information pair-copula model. J. Hydrol. 2016, 540, 469–487. [Google Scholar] [CrossRef]
- Zhou, Y.; Guo, S.; Xu, C.; Xiong, L.; Chen, H.; Ngongondo, C.; Li, L. Probabilistic interval estimation of design floods under non-stationary conditions by an integrated approach. Hydrol. Res. 2022, 53, 259–278. [Google Scholar] [CrossRef]
- He, C.; Chen, F.; Long, A.; Luo, C.; Qiao, C. Frequency Analysis of Snowmelt Flood Based on GAMLSS Model in Manas River Basin. Water 2021, 13, 2007. [Google Scholar] [CrossRef]
- Khajehali, M.; Safavi, H.; Nikoo, M.; Najafi, M.; Alizadeh-sh, R. A copula-based multivariate flood frequency analysis under climate change effects. Sci. Rep. 2025, 15, 146. [Google Scholar] [CrossRef] [PubMed]
- Hu, Y.; Liang, Z.; Wang, J.; Yang, H. Determination of design hydrologic characteristics with sampling uncertainty considerations. Adv. Water Sci. 2013, 24, 667–674. [Google Scholar] [CrossRef]
- Yin, J.; Guo, S.; Wu, X.; Liu, Z.; Xiong, F. Uncertainty of bivariate design flood estimation and its impact on reservoir flood prevention. J. Hydraul. Eng. 2018, 49, 715–724. [Google Scholar] [CrossRef]
- Butts, M.; Payne, J.; Kristensen, M.; Madsen, H. An evaluation of the impact of model structure on hydrological modelling uncertainty for streamflow simulation. J. Hydrol. 2004, 298, 242–266. [Google Scholar] [CrossRef]











| Station | Longitude (°E) | Latitude (°N) | Recode Period | Station | Longitude (°E) | Latitude (°N) | Recode Period |
|---|---|---|---|---|---|---|---|
| Wusu | 84.67 | 44.43 | 1959–2014 | Bayanbulak | 84.15 | 43.03 | 1959–2014 |
| Bole | 82.07 | 44.90 | 1959–2014 | Shawan | 85.61 | 44.33 | 1960–2014 |
| Nileke | 82.52 | 43.80 | 1959–2014 | Paotai | 85.25 | 44.85 | 1959–2014 |
| Jinghe | 82.90 | 44.61 | 1959–2014 | Karamay | 84.85 | 45.61 | 1959–2014 |
| Alashankou | 82.56 | 45.18 | 1959–2014 | Tuoli | 83.60 | 46.55 | 1959–2014 |
| Xinyuan | 83.30 | 43.45 | 1959–2014 |
| Flood Series | |Z| | β | Sequence Trend |
|---|---|---|---|
| Q | 0.43 | >0 | No significant increase |
| W1 | 0.71 | >0 | No significant increase |
| W3 | 1.03 | >0 | No significant increase |
| W7 | 0.80 | >0 | No significant increase |
| Distribution Type | GD | AIC | BIC |
|---|---|---|---|
| LOGNO | 560.58 | 568.58 | 576.68 |
| GA | 566.36 | 574.36 | 582.46 |
| GU | 612.35 | 620.35 | 628.45 |
| LO | 575.04 | 583.04 | 591.14 |
| NO | 583.27 | 591.27 | 599.37 |
| WEI | 585.34 | 591.34 | 597.42 |
| Variable | Mu | Sigma | ||||
|---|---|---|---|---|---|---|
| GD | AIC | BIC | GD | AIC | BIC | |
| original | 560.75 | 568.75 | 576.85 | 560.75 | 568.75 | 576.85 |
| P6–8 | −7.49 | −5.31 | −3.29 | −3.80 | −1.63 | 0.40 |
| P | −6.53 | −4.36 | −2.34 | −1.34 | 0.84 | 2.86 |
| T3–5 | −3.47 | −1.30 | 0.73 | −5.66 | −3.49 | −1.47 |
| T5–9 | −0.82 | 1.35 | 3.37 | −1.42 | 0.75 | 2.78 |
| T6–8 | −0.77 | 1.40 | 3.43 | −2.06 | −0.61 | 1.41 |
| S | −1.88 | 0.29 | 2.32 | −1.71 | 0.37 | 2.49 |
| Flood Series | Model Type | μ-Related Indicators | σ-Related Indicators | AIC | BIC | Distribution Type |
|---|---|---|---|---|---|---|
| Q | Stationary | - | - | 567.51 | 571.56 | LOGNO |
| Non-Stationary | P6–8 | T3–5 + S | 557.70 | 567.82 | LOGNO | |
| W1 | Stationary | - | - | 782.69 | 786.74 | LOGNO |
| Non-Stationary | P6–8 + T6–8 | - | 770.64 | 778.75 | LOGNO | |
| W3 | Stationary | - | - | 885.23 | 889.28 | LOGNO |
| Non-Stationary | P6–8 + T6–8 | - | 875.17 | 883.27 | LOGNO | |
| W7 | Stationary | - | - | 964.73 | 968.78 | LOGNO |
| Non-Stationary | P6–8 + T5–9 + S | S | 956.58 | 968.73 | LOGNO |
| Flood Series | Model | Mean | Variance | Kurtosis | Filliben CC | ||
|---|---|---|---|---|---|---|---|
| Q | Stationary | 4.742 | 0.323 | 0.000 | 1.018 | 4.041 | 0.970 |
| Non-Stationary | 4.432 + 0.012 × P6–8 | exp (−0.746 – 0.051 × T3–5 − 0.004 × S) | −0.005 | 1.018 | 2.593 | 0.992 | |
| W1 | Stationary | 6.810 | 0.280 | 0.000 | 1.018 | 3.995 | 0.973 |
| Non-Stationary | 3.384 + 0.019 × P6–8 + 0.149 × T6–8 | 0.242 | 0.000 | 1.018 | 3.046 | 0.981 | |
| W3 | Stationary | 7.796 | 0.260 | 0.000 | 1.018 | 3.221 | 0.985 |
| Non-Stationary | 4.545 + 0.016 × P6–8 + 0.144 × T6–8 | 0.229 | 0.000 | 1.018 | 3.021 | 0.983 | |
| W7 | Stationary | 8.555 | 0.247 | 0.000 | 1.018 | 2.594 | 0.986 |
| Non-Stationary | 4.940 + 0.017 × P6–8 + 0.167 × T3–5 + 0.010 × S | exp (0.026 + 0.009 × S) | −0.000 | 1.018 | 3.020 | 0.987 |
| Correlation Coefficient | Q vs. W1 | Q vs. W3 | Q vs. W7 |
|---|---|---|---|
| Kendall’s τ | 0.84 | 0.77 | 0.74 |
| Spearman’s ρ | 0.96 | 0.91 | 0.90 |
| Pearson’s r | 0.98 | 0.93 | 0.87 |
| Copula Model | AIC | BIC | OLS | |
|---|---|---|---|---|
| Gumbel | 2.91 | −338.96 | −336.94 | 0.08 |
| Clayton | 2.98 | −320.31 | −318.29 | 0.06 |
| Frank | 10.87 | −358.55 | −356.53 | 0.04 |
| Return Period (Years) | Q (m3/s) | W1 (104 m3) | ||||
|---|---|---|---|---|---|---|
| Mean | 95% CI | Interval Width | Mean | 95% CI | Interval Width | |
| 5 | 143.04 | [138.61, 146.75] | 8.14 | 1087.41 | [1047.69, 1147.39] | 99.70 |
| 10 | 160.70 | [156.95, 168.43] | 11.48 | 1209.49 | [1165.30, 1276.20] | 110.89 |
| 20 | 178.88 | [172.89, 188.35] | 15.46 | 1320.56 | [1272.32, 1393.40] | 121.08 |
| 50 | 201.54 | [191.48, 216.56] | 25.09 | 1457.83 | [1404.57, 1538.23] | 133.66 |
| 100 | 218.79 | [206.75, 235.96] | 29.21 | 1557.17 | [1500.29, 1643.06] | 142.77 |
| 200 | 234.72 | [222.45, 256.90] | 34.45 | 1654.02 | [1593.59, 1745.25] | 151.65 |
| Return Period (Years) | AND Return Period Criterion | OR Return Period Criterion | ||||||
|---|---|---|---|---|---|---|---|---|
| Mean Q (m3/s) | Mear W1 (104 m3) | 95% CI for Q (m3/s) | 95% CI for W1 (104 m3) | Mean Q (m3/s) | Mear W1 (104 m3) | 95% CI for Q (m3/s) | 95% CI for W1 (104 m3) | |
| 5 | 136.18 | 1039.01 | [132.23, 138.75] | [1001.05, 1096.31] | 151.07 | 1141.26 | [145.71, 156.42] | [1099.57, 1204.21] |
| 10 | 150.63 | 1138.21 | [145.31, 155.87] | [1096.63, 1200.99] | 172.42 | 1282.07 | [167.74, 180.61] | [1235.23, 1352.78] |
| 20 | 162.46 | 1220.81 | [158.61, 170.26] | [1176.21, 1288.14] | 193.24 | 1405.08 | [183.73, 206.05] | [1353.75, 1482.58] |
| 50 | 177.84 | 1314.40 | [172.11, 187.28] | [1266.38, 1386.89] | 217.47 | 1549.10 | [205.45, 234.16] | [1492.51, 1634.54] |
| 100 | 188.52 | 1377.48 | [180.38, 200.14] | [1327.16, 1453.45] | 234.05 | 1650.01 | [221.79, 256.12] | [1589.73, 1741.01] |
| 200 | 197.97 | 1436.07 | [188.39, 212.68] | [1383.61, 1515.28] | 250.18 | 1747.15 | [234.85, 275.44] | [1683.32, 1843.51] |
| n | AND Return Period Criterion | OR Return Period Criterion | ||||||||
|---|---|---|---|---|---|---|---|---|---|---|
| Mean Q (m3/s) | Mear W1 (104 m3) | 95% CI with of Q | 95% CI with of W1 | 75% HDR Area S (×106 m6/s) | Mean Q (m3/s) | Mear W1 (104 m3) | 95% CI with of Q | 95% CI with of W1 | 75% HDR Area S (×106 m6/s) | |
| 56 | 194.77 | 1405.20 | 53.80 | 185.21 | 248.40 | 249.55 | 1691.08 | 81.64 | 214.38 | 263.91 |
| 200 | 196.10 | 1408.96 | 27.50 | 98.53 | 125.38 | 246.16 | 1691.78 | 43.20 | 116.00 | 130.41 |
| 400 | 197.02 | 1408.51 | 19.71 | 67.56 | 92.40 | 248.46 | 1688.51 | 29.76 | 77.24 | 94.66 |
| 500 | 198.65 | 1409.75 | 16.73 | 61.00 | 81.40 | 248.98 | 1689.82 | 26.00 | 70.72 | 81.16 |
Disclaimer/Publisher’s Note: The statements, opinions and data contained in all publications are solely those of the individual author(s) and contributor(s) and not of MDPI and/or the editor(s). MDPI and/or the editor(s) disclaim responsibility for any injury to people or property resulting from any ideas, methods, instructions or products referred to in the content. |
© 2026 by the authors. Licensee MDPI, Basel, Switzerland. This article is an open access article distributed under the terms and conditions of the Creative Commons Attribution (CC BY) license.
Share and Cite
Han, Y.; Chen, F.; He, C.; Xu, X.X.; Wang, T.; Zhao, F. Non-Stationary Flood Characteristics and Joint Risk Analysis in Inland China with Uncertainty Considerations. Atmosphere 2026, 17, 281. https://doi.org/10.3390/atmos17030281
Han Y, Chen F, He C, Xu XX, Wang T, Zhao F. Non-Stationary Flood Characteristics and Joint Risk Analysis in Inland China with Uncertainty Considerations. Atmosphere. 2026; 17(3):281. https://doi.org/10.3390/atmos17030281
Chicago/Turabian StyleHan, Yingying, Fulong Chen, Chaofei He, Xuewen Xu Xu, Tongxia Wang, and Fengnian Zhao. 2026. "Non-Stationary Flood Characteristics and Joint Risk Analysis in Inland China with Uncertainty Considerations" Atmosphere 17, no. 3: 281. https://doi.org/10.3390/atmos17030281
APA StyleHan, Y., Chen, F., He, C., Xu, X. X., Wang, T., & Zhao, F. (2026). Non-Stationary Flood Characteristics and Joint Risk Analysis in Inland China with Uncertainty Considerations. Atmosphere, 17(3), 281. https://doi.org/10.3390/atmos17030281

