Divergent Characteristics of PCDD/Fs During Dust Storms and Haze Episodes in East China: Congener Profiles, Enrichment Mechanisms, and Health Risks
Abstract
1. Introduction
2. Experimental Materials and Methods
2.1. The Ambient Air Sampling Design
2.2. The Ambient Air Sampling and Sample Preparation
2.3. Chemical Analysis and Quantification Analysis of Dioxin in Ambient Air
3. Results and Discussion
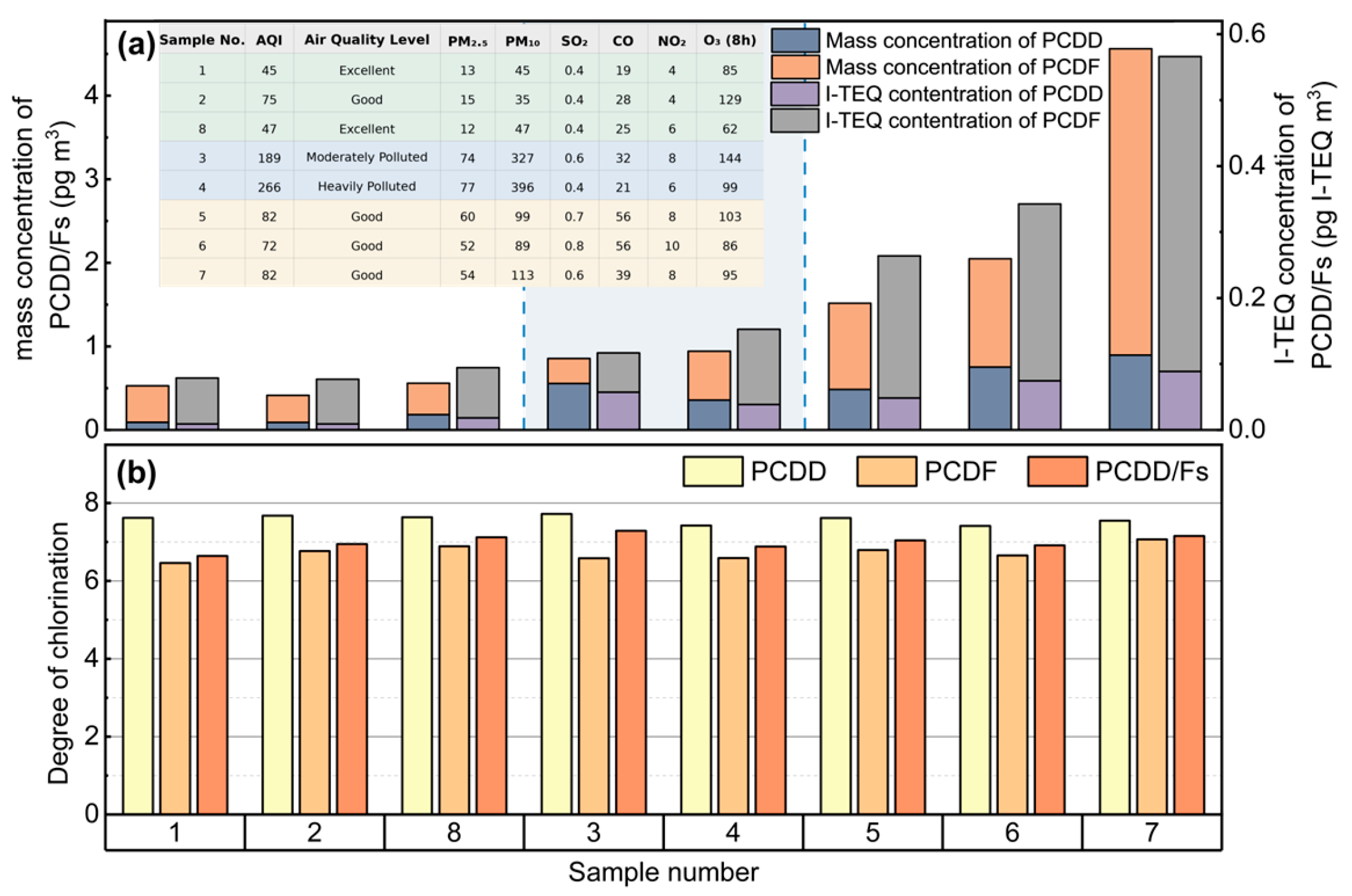
3.1. Variation for Particulate Matter of Air Pollution in a City of East China During 2022–2023
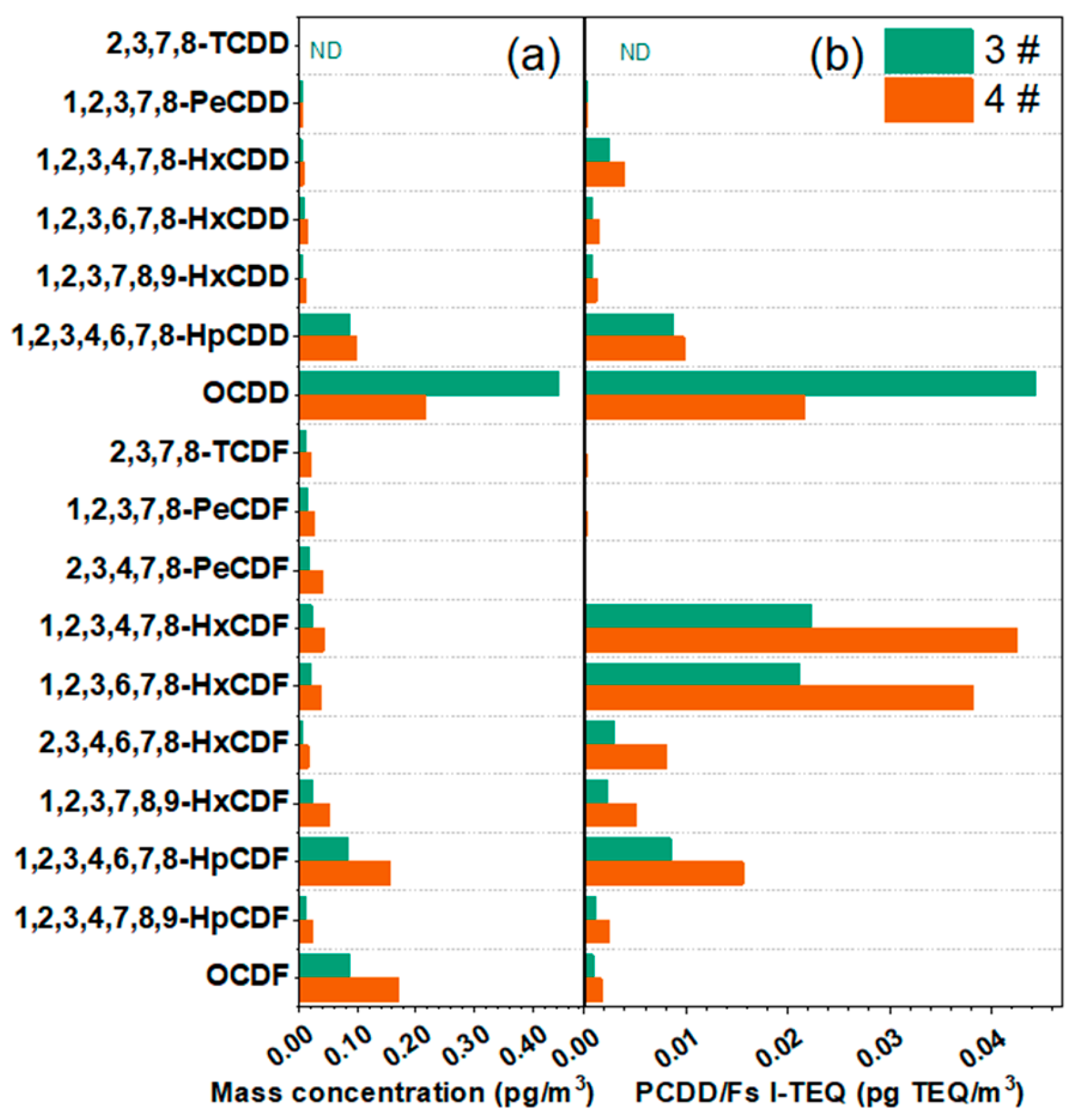
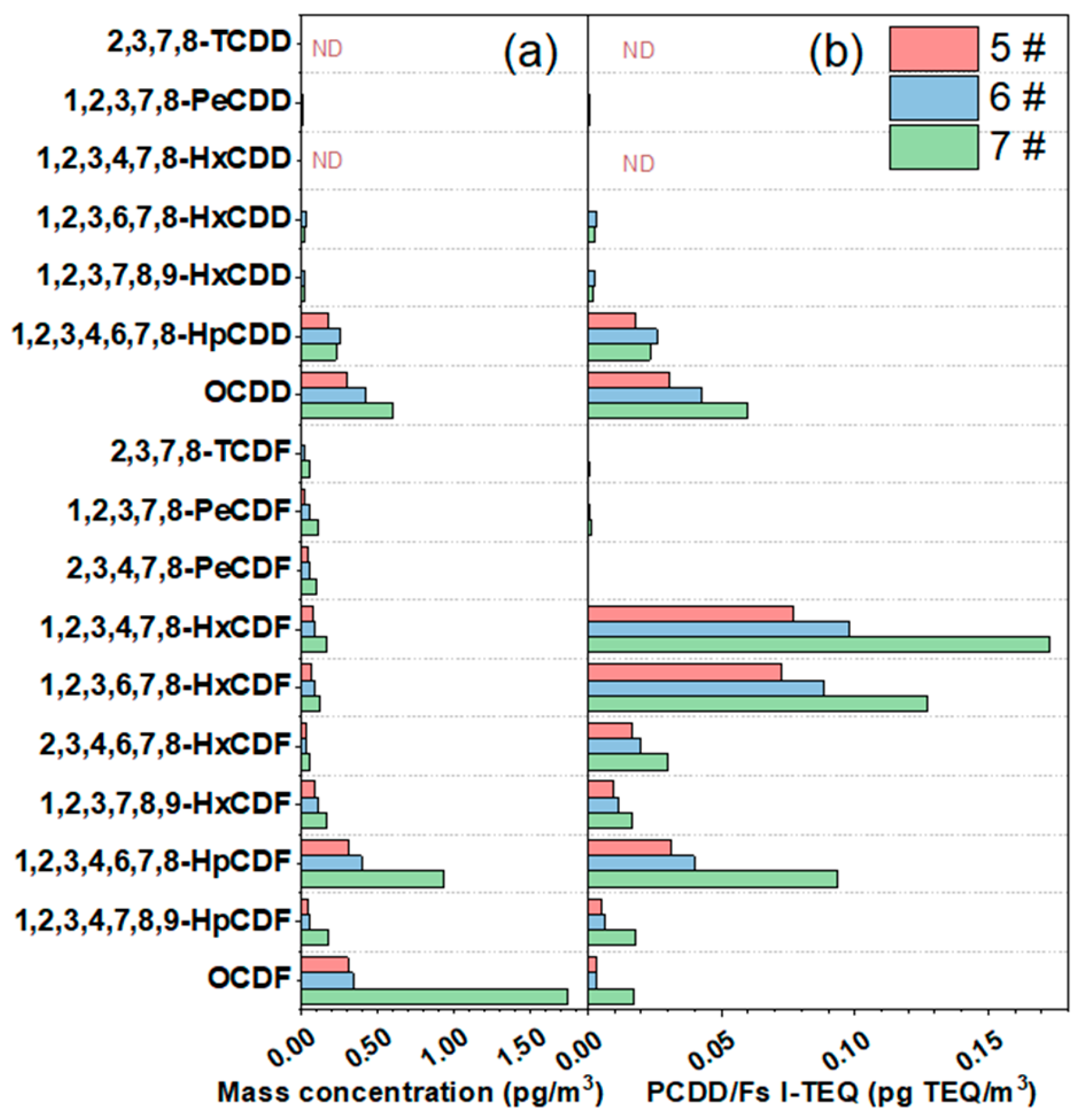
3.2. Characteristics of Dioxin Under Different Pollution Episodes
3.3. Health Risk Assessment of Inhalation Exposure to PCDD/Fs
4. Conclusions
Author Contributions
Funding
Institutional Review Board Statement
Informed Consent Statement
Data Availability Statement
Acknowledgments
Conflicts of Interest
References
- Olie, K.; Vermeulen, P.L.; Hutzinger, O. Chlorodibenzo-p-dioxins and chlorodibenzofurans are trace components of fly ash and flue gas of some municipal incinerators in The Netherlands. Chemosphere 1977, 6, 455–459. [Google Scholar] [CrossRef]
- Deng, D.; Qiao, J.; Liu, M.; Kołodyńska, D.; Zhang, M.; Dionysiou, D.D.; Ju, Y.; Ma, J.; Chang, M.-B. Detoxification of municipal solid waste incinerator (MSWI) fly ash by single-mode microwave (MW) irradiation: Addition of urea on the degradation of dioxin and mechanism. J. Hazard. Mater. 2019, 369, 279–289. [Google Scholar] [CrossRef]
- Ju, Y.; Deng, D.; Li, H.; You, Y.; Qiao, J.; Su, L.; Xing, W.; Liang, M.; Dionysiou, D.D. Rapid detoxification of dioxin and simultaneous stabilization of targeted heavy metals: New insight into a microwave-induced pyrolysis of fly ash. Chem. Eng. J. 2022, 429, 131939. [Google Scholar] [CrossRef]
- Ju, Y.; Zhang, K.; Yang, T.; Deng, D.; Qiao, J.; Wang, P.; You, Y.; Du, L.; Chen, G.; Kołodyńska, D.; et al. The influence of a washing pretreatment containing phosphate anions on single-mode microwave-based detoxification of fly ash from municipal solid waste incinerators. Chem. Eng. J. 2020, 387, 124053. [Google Scholar] [CrossRef]
- Trinh, M.M.; Chang, M.B. Review on occurrence and behavior of PCDD/Fs and dl-PCBs in atmosphere of East Asia. Atmos. Environ. 2018, 180, 23–36. [Google Scholar] [CrossRef]
- Guo, Z.; Sun, S.; Cao, R.; Jiang, N.; Liang, N.; Wang, Z.; Guo, J.; Li, M.; Liu, X.; Geng, N.; et al. Tracing toxic pollutants in coastal urban atmosphere: A case study on the particle-size distribution, sources, and health risks of PCDD/Fs, PCBs, PAHs, and substituted PAHs. J. Hazard. Mater. 2025, 498, 139833. [Google Scholar] [CrossRef] [PubMed]
- Tuan, N.T.; Le, H.A.; Linh, B.D.; Chi, N.D.T.; Thang, N.D.; Ly, N.T.T.; Thu, N.T.; Huyen, P.T. Unveiling respiratory health risks: PCDD/Fs adhering to particulate matter (PM10 and PM2.5) in Bien Hoa City, Dong Nai, Vietnam. Environ. Adv. 2024, 17, 100560. [Google Scholar] [CrossRef]
- Mila, A.; Cao, R.; Geng, N.; Zhu, X.; Chen, J. Characteristics of PAHs, PCDD/Fs, PCBs and PCNs in atmospheric fine particulate matter in Dalian, China. Chemosphere 2022, 288, 132488. [Google Scholar] [CrossRef]
- Liu, Y.; Peng, P.; Li, X.; Zhang, S.; Ren, M. Polychlorinated dibenzo-p-dioxins and dibenzofurans (PCDD/Fs) in water and suspended particulate matter from the Xijiang River, China. J. Hazard. Mater. 2008, 152, 40–47. [Google Scholar] [CrossRef]
- Zhang, X.; Zheng, M.; Liang, Y.; Liu, G.; Zhu, Q.; Gao, L.; Liu, W.; Sun, X. Particle size distributions and gas–particle partitioning of polychlorinated dibenzo-p-dioxins and dibenzofurans in ambient air during haze days and normal days. Sci. Total Environ. 2016, 573, 876–882. [Google Scholar] [CrossRef]
- Zhang, X.; Zhu, Q.-Q.; Dong, S.-J.; Zhang, H.-X.; Wang, X.-K.; Wang, M.; Gao, L.-R.; Zheng, M.-H. Particle Size Distributions of PCDD/Fs and PBDD/Fs in Ambient Air in a Suburban Area in Beijing, China. Aerosol Air Qual. Res. 2015, 15, 1933–1943. [Google Scholar] [CrossRef]
- Pan, S.Y.; Liou, Y.T.; Chang, M.B.; Chou, K.; Ngo, T.H.; Chi, K.H. Characteristics of PCDD/Fs in PM2.5 from emission stacks and the nearby ambient air in Taiwan. Sci. Rep. 2021, 11, 8093. [Google Scholar] [CrossRef]
- HJ 77.2-2008; Ambient Air and Waste Gas Determination of Polychlorinated Dibenzo-p-Dioxins (PCDDs) and Pol-Ychlorinated Dibenzofurans (PCDFs) Isotope Dilution HRGC-HRMS. Ministry of Ecology and Environment: Beijing, China, 2008.
- GB 3095-2012; Ambient Air Quality Standards. Ministry of Ecology and Environment: Beijing, China, 2012.
- Ehrlich, C.; Noll, G.; Kalkoff, W.-D.; Baumbach, G.; Dreiseidler, A. PM10, PM2.5 and PM1.0—Emissions from indus-trial plants—Results from measurement programmes in Germany. Atmos. Environ. 2007, 41, 6236–6254. [Google Scholar] [CrossRef]
- Lv, D.; Chen, Y.; Zhu, T.; Li, T.; Shen, F.; Li, X.; Mehmood, T. The pollution characteristics of PM10 and PM2.5 during summer and winter in Beijing, Suning and Islamabad. Atmos. Pollut. Res. 2019, 10, 1159–1164. [Google Scholar] [CrossRef]
- Allen, R.W.; Gombojav, E.; Barkhasragchaa, B.; Byambaa, T.; Lkhasuren, O.; Amram, O.; Takaro, T.K.; Janes, C.R. An assessment of air pollution and its attributable mortality in Ulaanbaatar, Mongolia. Air Qual. Atmos. Health 2013, 6, 137–150. [Google Scholar] [CrossRef] [PubMed]
- Chi, K.-H.; Hung, N.T.; Chang, M.-B.; Lin, C.-Y.; Li, C.-T. Increase of Ambient PCDD/F and PCB Concentrations in Northern Taiwan during Asian Dust Storm and Winter Monsoon Episodes. Aerosol Air Qual. Res. 2014, 14, 1323–1332. [Google Scholar] [CrossRef]
- Yu, X.; Tian, H.; Sun, H.; Hsieh, Y.-K.; Tian, X. Atmospheric Total-PCDD/Fs-WHO2005-TEQ Concentrations and Dry Deposition Fluxes in Shanghai and Nanjing, China. Aerosol Air Qual. Res. 2021, 21, 210059. [Google Scholar] [CrossRef]
- Liu, X.; Cui, K.; Hsieh, Y.-K.; Wang, Y.-F.; Wang, R. Study on air quality index, atmospheric pollutants and dry deposition of PCDD/Fs in the ambient air near Southwest China. Aerosol Air Qual. Res. 2022, 22, 220160. [Google Scholar] [CrossRef]
- Pan, S.Y.; Hsu, Y.S.; Hsu, Y.C.; Ngo, T.H.; Chou, C.C.K.; Lin, N.H.; Chi, K.H. The Long-Term Monitoring of Atmospheric Polychlorinated Dibenzo-p-Dioxin Dibenzofurans at a Background Station in Taiwan during Biomass Burning Seasons in El Niño and La Niña Events. Atmosphere 2024, 15, 1002. [Google Scholar] [CrossRef]
- Zhao, R.; Cui, K.; Wang, W.; Wang, L.C.; Yan, P. Atmospheric PM2.5 and Total PCDD/Fs-WHO2005-TEQ Levels: A Case of Handan and Kaifeng Cities, China. Aerosol Air Qual. Res. 2018, 18, 994–1007. [Google Scholar] [CrossRef]
- Cao, R.; Zhang, H.; Zhao, L.; Zhang, Y.; Geng, N.; Teng, M.; Zou, L.; Gao, Y.; Ni, Y.; Fu, Q.; et al. Hazy Weather–Induced Variation in Environmental Behaviors of Persistent Organic Pollutants: A Case Study for PCDD/Fs and PBDEs in Eastern China. Environ. Sci. Technol. 2018, 52, 8173–8182. [Google Scholar] [CrossRef]
- Lee, S.-J.; Park, H.; Choi, S.-D.; Lee, J.-M.; Chang, Y.-S. Assessment of variations in atmospheric PCDD/Fs by Asian dust in Southeastern Korea. Atmos. Environ. 2007, 41, 5876–5886. [Google Scholar] [CrossRef]
- Hung, N.T.; Ting, H.W.; Chi, K.H. Evaluation of the Relative Health Risk Impact of Atmospheric PCDD/Fs in PM2.5 in Taiwan. Aerosol Air Qual. Res. 2018, 18, 2591–2599. [Google Scholar] [CrossRef]
- Chi, K.H.; Huang, Y.-T.; Nguyen, H.M.; Tran, T.T.-H.; Chantara, S.; Ngo, T.H. Characteristics and Health Impacts of PM2.5-Bound PCDD/Fs in Three Asian Countries. Environ. Int. 2022, 167, 107441. [Google Scholar] [CrossRef]
- US EPA. Exposure and Human Health Reassessment of 2,3,7,8-Tetrachlorodibenzo-p-Dioxin (TCDD) and Related Compounds; US EPA: Washington, DC, USA, 2003.
- WHO. Air Quality Guidelines for Particulate Matter, Ozone, Nitrogen Dioxide and Sulfur Dioxide; WHO: Geneva, Switzerland, 2005. [Google Scholar]
- Nouwen, J.; Cornelis, C.; De Fré, R.; Wevers, M.; Viaene, P.; Mensink, C.; Patyn, J.; Verschaeve, L.; Hooghe, R.; Maes, A.; et al. Health Risk Assessment of Dioxin Emissions from Municipal Waste Incinerators: The Neerlandquarter (Wilrijk, Belgium). Chemosphere 2001, 43, 909–923. [Google Scholar] [CrossRef]
- Ma, X.; Jiang, X.G.; Jin, Y.Q.; Liu, H.M.; Li, X.D.; Chen, T.; Yan, J.H. Dispersion Modeling and Health Risk Assessment of Dioxin Emissions from Municipal Solid Waste Incinerators: A Case Study from China. J. Zhejiang Univ. Sci. A 2012, 13, 69–78. [Google Scholar] [CrossRef]
- van Leeuwen, F.X.R.; Feeley, M.; Schrenk, D.; Larsen, J.C.; Farland, W.; Younes, M. Dioxins: WHO’s Tolerable Daily Intake (TDI) Revisited. Chemosphere 2000, 40, 1095–1101. [Google Scholar] [CrossRef] [PubMed]








| Samples | Group A—Clean | Group B—Dust | Group C—Haze | |||||
|---|---|---|---|---|---|---|---|---|
| 1# | 2# | 8# | 3# | 4# | 5# | 6# | 7# | |
| Sample Date | 2022.10 | 2022.10 | 2023.11 | 2023.04 | 2023.04 | 2023.11 | 2023.11 | 2023.11 |
| PM2.5 | 13 | 12 | 12 | 74 | 77 | 60 | 52 | 54 |
| 2378-TCDD | ND | ND | ND | ND | ND | ND | ND | ND |
| 12378-PeCDD | ND | ND | ND | 4.9 | 7.2 | ND | 11.6 | 15.3 |
| 123478-HxCDD | ND | ND | ND | 4.9 | 7.8 | ND | ND | ND |
| 123678-HxCDD | ND | ND | ND | 7.7 | 14.4 | ND | 33.2 | 24.0 |
| 123789-HxCDD | ND | ND | ND | 7.0 | 12.2 | ND | 25.2 | 22.5 |
| 1234678-HpCDD | 32.9 | 27.5 | 63.4 | 86.4 | 98.5 | 177.0 | 258.0 | 233.0 |
| OCDD | 58.5 | 62.6 | 120.4 | 444.0 | 217.0 | 307.7 | 424.0 | 600.0 |
| ΣPCDDs | 91.4 | 90.1 | 183.8 | 554.9 | 357.1 | 484.7 | 752 | 894.8 |
| ΣTEQ PCDDs | 1.4 | 1.2 | 1.5 | 5.7 | 8.2 | 4.2 | 15.8 | 16.4 |
| 2378-TCDF | 22.8 | ND | ND | 12.0 | 21.0 | ND | 25.1 | 61.9 |
| 12378-PeCDF | 24.1 | ND | ND | 15.0 | 25.9 | 30.4 | 63.5 | 118.6 |
| 23478-PeCDF | 30.0 | 23.1 | 23.0 | 18.9 | 40.6 | 50.8 | 62.9 | 105.9 |
| 123478-HxCDF | 33.1 | 26.4 | 28.7 | 22.3 | 42.5 | 76.9 | 97.7 | 173.0 |
| 123678-HxCDF | 25.8 | 22.2 | 29.0 | 21.2 | 38.2 | 72.8 | 88.3 | 127.0 |
| 123789-HxCDF | ND | ND | ND | 6.0 | 16.2 | 32.9 | 39.6 | 60.1 |
| 234678-HxCDF | 30.4 | 26.6 | 33.0 | 22.6 | 51.2 | 96.0 | 116.0 | 166.0 |
| 1234678-HpCDF | 162.5 | 135.7 | 121.2 | 84.8 | 156.0 | 311.0 | 399.0 | 938.0 |
| 1234789-HpCDF | 30.3 | 24.2 | 16.7 | 11.1 | 23.7 | 51.2 | 61.6 | 177.0 |
| OCDF | 77.9 | 65.7 | 123.2 | 86.3 | 170.0 | 309.0 | 343.0 | 1740.0 |
| ΣPCDFs | 436.9 | 323.9 | 374.8 | 300.2 | 585.3 | 1031 | 1296.7 | 3667.5 |
| ΣTEQ PCDFs | 29.9 | 21.3 | 22.4 | 19.6 | 40.5 | 59.3 | 76.7 | 131.1 |
| ΣPCDD/Fs | 528.3 | 414.0 | 558.6 | 855.1 | 942.4 | 1515.7 | 2048.7 | 4562.3 |
| ΣTEQ PCDD/Fs | 31.3 | 22.4 | 23.9 | 25.3 | 48.7 | 63.4 | 92.5 | 147.6 |
| Scenario | Adult ADD (pg · kg−1 · d−1) | Adult HQ | Adult CR | Child ADD (pg · kg−1 · d−1) | Child HQ | Child CR |
|---|---|---|---|---|---|---|
| Good air | 0.011 | 5.5 × 10−3 | 1.1 × 10−3 | 0.024 | 1.2 × 10−2 | 2.4 × 10−3 |
| Dust storm | 0.016 | 7.9 × 10−3 | 1.6 × 10−3 | 0.035 | 1.7 × 10−2 | 3.5 × 10−3 |
| Haze | 0.043 | 2.16 × 10−2 | 4.3 × 10−3 | 0.094 | 4.7 × 10−2 | 9.4 × 10−3 |
Disclaimer/Publisher’s Note: The statements, opinions and data contained in all publications are solely those of the individual author(s) and contributor(s) and not of MDPI and/or the editor(s). MDPI and/or the editor(s) disclaim responsibility for any injury to people or property resulting from any ideas, methods, instructions or products referred to in the content. |
© 2026 by the authors. Licensee MDPI, Basel, Switzerland. This article is an open access article distributed under the terms and conditions of the Creative Commons Attribution (CC BY) license.
Share and Cite
Shao, X.; Yang, J.; Liu, C.; Zhang, Y.; Ju, Y. Divergent Characteristics of PCDD/Fs During Dust Storms and Haze Episodes in East China: Congener Profiles, Enrichment Mechanisms, and Health Risks. Atmosphere 2026, 17, 111. https://doi.org/10.3390/atmos17010111
Shao X, Yang J, Liu C, Zhang Y, Ju Y. Divergent Characteristics of PCDD/Fs During Dust Storms and Haze Episodes in East China: Congener Profiles, Enrichment Mechanisms, and Health Risks. Atmosphere. 2026; 17(1):111. https://doi.org/10.3390/atmos17010111
Chicago/Turabian StyleShao, Xiang, Jing Yang, Congcong Liu, Yong Zhang, and Yongming Ju. 2026. "Divergent Characteristics of PCDD/Fs During Dust Storms and Haze Episodes in East China: Congener Profiles, Enrichment Mechanisms, and Health Risks" Atmosphere 17, no. 1: 111. https://doi.org/10.3390/atmos17010111
APA StyleShao, X., Yang, J., Liu, C., Zhang, Y., & Ju, Y. (2026). Divergent Characteristics of PCDD/Fs During Dust Storms and Haze Episodes in East China: Congener Profiles, Enrichment Mechanisms, and Health Risks. Atmosphere, 17(1), 111. https://doi.org/10.3390/atmos17010111
