Contrast Between Automated and Manual Measurements of Atmospheric PM2.5: Influences of Environmental Factors and the Improving Correction Method
Abstract
1. Introduction
2. Experimental
2.1. Overall Experimental Design
2.2. Integrated Filter-Based PM2.5 Measurements (Reference Tests)
2.3. Automated PM2.5 Measurements
2.4. Performance Parameters of the Automated Instruments
2.5. Influences of Environmental Factors on the Performance of Automated Instruments
2.5.1. Performance of Automated Samplers Under Different Temperature
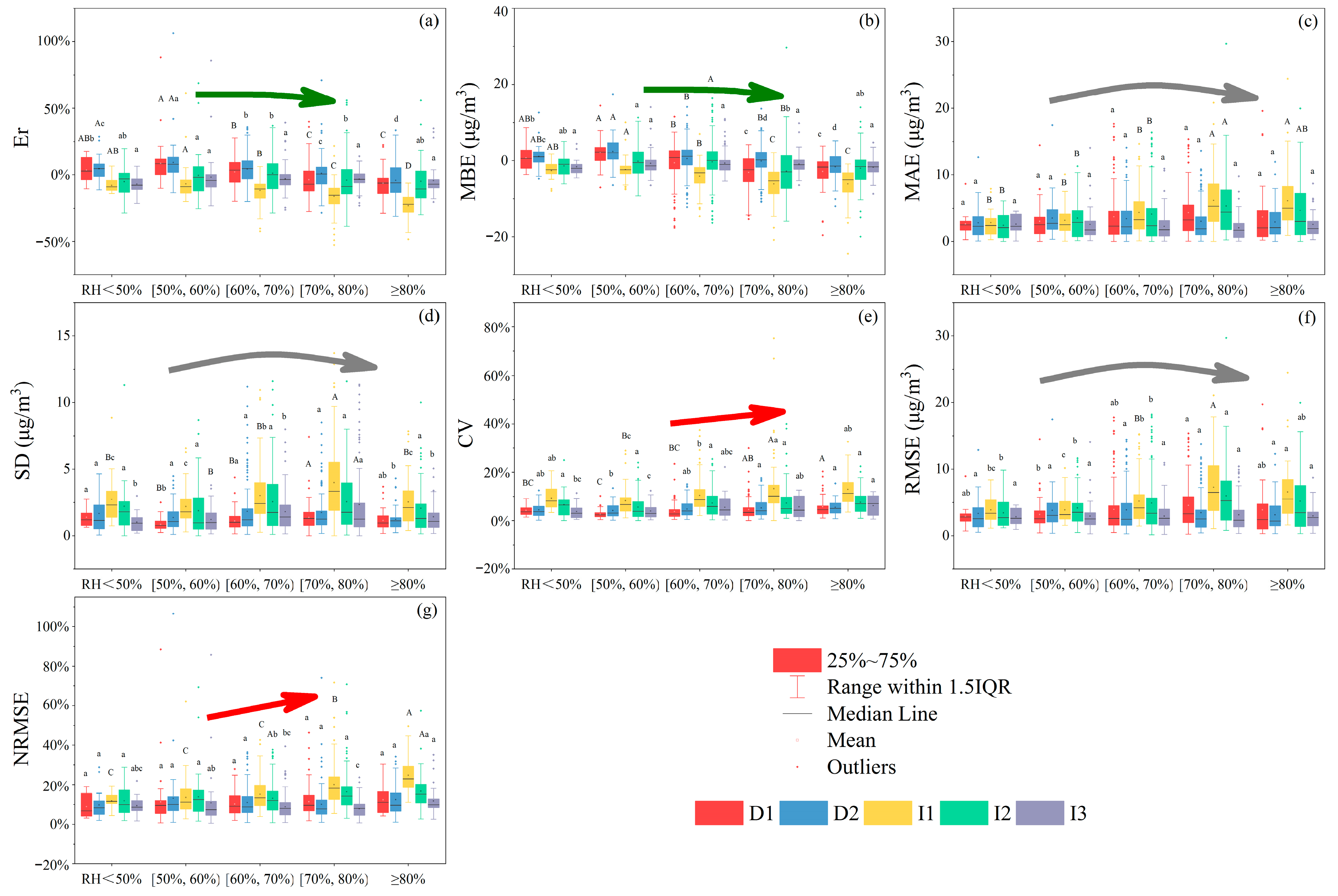
2.5.2. Performance of Automated Samplers Under Different Humidity
2.5.3. Performance of Automated Samplers Under Different PM2.5 Concentration Ranges
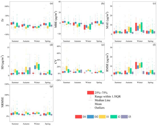
2.5.4. Performance of Automated Samplers in Different Seasons
2.6. Method Introduction of KBR Reference Tests
3. Results and Discussion
3.1. Data Efficiency
3.1.1. Efficiency of Manual Data
3.1.2. Efficiency of Automated Data
3.1.3. Instrument Failure Rates of Automated Instruments in Different Seasons
3.2. PM2.5 Concentrations and Meteorological Parameters
3.3. Errors, Precision and Accuracy of Automated Instruments
3.3.1. Overall Performance of Automated Instruments
3.3.2. Performance of Automated Instruments Under Different Temperatures
3.3.3. Performance of Automated Instruments Under Different Humidities
3.3.4. Performance of Automated Instruments Under Different PM2.5 Concentration Ranges
3.3.5. Performance of Automated Instruments in Different Seasons
3.4. KBR Reference Tests
3.4.1. Overall Test Results
3.4.2. Rolling KBR Test Results Before Corrections
3.4.3. Rolling KBR Test Results After Corrections
4. Conclusions
- The order of instrument failure rate is as follows: I3 (1.24%) < D2 (1.51%) < I2 (3.27%) < I1 (8.54%) < D1 (9.05%). The instrument failure rates of the five brands of the automated instruments all meet the Chinese national standard, though D1 has the highest failure rate.
- The average values of the Er and MBE for I1, I2 and I3 are negative, while those of D2 are positive. Except for I1, the average values of the SD, CV, RMSE, and NRMSE for the automated instruments are consistent with the standards. Meanwhile, the average values of the MAE, SD, CV, RMSE, and NRMSE for I1 and I2 are slightly higher than those for D1, D2, and I3.
- Contrasted with manual references, the absolute errors (MAE, SD, and RMSE) of the automated monitoring instruments are higher at a temperature of (T ≤ 10 °C), humidity of (60% ≤ RH < 80%), and PM2.5 concentration of (PM2.5 ≥ 75 μg/m3). Meanwhile, the relative errors (CV and NRMSE) of the automated monitoring instruments are higher at a humidity (RH > 80%) and PM2.5 concentration of (PM2.5 ≤ 15 μg/m3).
- In the KBR tests, winter data were found to be difficult to pass. Before the corrections, the pass rates of D1, D2, I1, I2, and I3 were 57.7%, 51.3%, 41.1%, 21%, and 90.2%, respectively. After the corrections, the rates increased to 79.6%, 86.6%, 81.8%, 58.9%, and 91.8%, respectively. The coefficient corrections have made the most prominent contribution to improving the pass rates of the winter samples. The quarterly correction method can significantly improve the data accuracy of automated monitoring instruments.
Supplementary Materials
Author Contributions
Funding
Institutional Review Board Statement
Informed Consent Statement
Data Availability Statement
Conflicts of Interest
References
- Tao, W.; Song, M.; Weng, S.; Chen, X.; Cui, L. Assessing the impact of environmental regulation on ecological risk induced by PM2.5 pollution: Evidence from China. J. Clean. Prod. 2024, 451, 142029. [Google Scholar] [CrossRef]
- Thangavel, P.; Park, D.; Lee, Y. Recent insights into particulate matter (PM2.5)-mediated toxicity in humans: An overview. Int. J. Environ. Res. Public Health 2022, 19, 7511. [Google Scholar] [CrossRef] [PubMed]
- Liang, C.; Duan, F.; He, K.; Ma, Y. Review on recent progress in observations, source identifications and countermeasures of PM2.5. Environ. Int. 2016, 86, 150–170. [Google Scholar] [CrossRef] [PubMed]
- Onaiwu, G.E.; Ayidu, N.J. Advancements and innovations in PM2.5 monitoring: A comprehensive review of emerging technologies. FUDMA J. Sci. 2024, 8, 243–255. [Google Scholar] [CrossRef]
- Liu, G.; Dong, X.; Kong, Z.; Dong, K. Does national air quality monitoring reduce local air pollution? The case of PM2.5 for China. J. Environ. Manag. 2021, 296, 113232. [Google Scholar] [CrossRef] [PubMed]
- EPA 40 CFR PART 53; Ambient Air Monitoring Reference and Equivalent Methods. USEPA: Washington, DC, USA, 2010.
- Khan, T.R.; Emerson, Z.I.; Mentz, K.H. Evaluation of fine particulate matter (PM2.5) concentrations measured by collocated Federal Reference Method and Federal Equivalent Method monitors in the U.S. Atmosphere 2024, 15, 978. [Google Scholar] [CrossRef]
- HJ 817-2018; Technical Specifications for Operation and Quality Control of Ambient Air Quality Automated Monitoring System for Particulate Matter (PM10 and PM2.5). The China’s Ministry of Ecology and Environment (MEE): Beijing, China, 2018.
- HJ 653-2021; Specifications and Test Procedures for Ambient Air Quality Continuous Automated Monitoring System for PM10 and PM2.5. The China’s Ministry of Ecology and Environment (MEE): Beijing, China, 2021.
- Samae, H.; Suriyawong, P.; Yawootti, A.; Phairuang, W.; Sampattagul, S. Precision and accuracy analysis of PM2.5 light-scattering sensor: Field and laboratory experiments. Atmosphere 2025, 16, 76. [Google Scholar] [CrossRef]
- Kashuba, R.; Scheff, P.A. Nonlinear regression adjustments of multiple continuous monitoring methods produce effective characterization of short-term fine particulate matter. J. Air Waste Manag. Assoc. 2008, 58, 812–820. [Google Scholar] [CrossRef] [PubMed]
- Barkjohn, K.K.; Gantt, B.; Clements, A.L. Development and application of a United States-wide correction for PM2.5 data collected with the PurpleAir sensor. Atmos. Meas. Tech. 2021, 14, 4617–4637. [Google Scholar] [CrossRef] [PubMed]
- Tsai, C.J.; Chang, C.T.; Huang, C.H. Direct field observation of the relative humidity effect on the beta-gauge readings. J. Air Waste Manag. Assoc. 2006, 56, 834–840. [Google Scholar] [CrossRef] [PubMed][Green Version]
- Duvall, R.M.; Clements, A.L.; Hagler, G.; Kamal, A.; Kilaru, V.; Goodman, L.; Frederick, S.; Barkjohn, K.K.; VonWald, I.; Greene, D.; et al. Performance Testing Protocols, Metrics, and Target Values for Fine Particulate Matter Air Sensors: Use in Ambient, Outdoor, Fixed Site, Non-Regulatory Supplemental and Informational Monitoring Applications; US EPA Office of Research and Development: Washington, DC, USA, 2021. [Google Scholar][Green Version]
- Le, T.C.; Shukla, K.K.; Chen, Y.T.; Chang, S.C.; Lin, T.Y.; Li, Z.; Pui, D.Y.H.; Tsai, C.J. On the concentration differences between PM2.5 FEM monitors and FRM samplers. Atmos. Environ. 2020, 222, 117138. [Google Scholar] [CrossRef]
- Takahashi, K.; Minoura, H.; Sakamoto, K. Examination of discrepancies between beta-attenuation and gravimetric methods for the monitoring of particulate matter. Atmos. Environ. 2008, 42, 5232–5240. [Google Scholar] [CrossRef]
- Shukla, K.; Aggarwal, S.G. A technical overview on beta-attenuation method for the monitoring of particulate matter in ambient air. Aerosol Air Qual. Res. 2022, 22, 220195. [Google Scholar] [CrossRef]
- Shi, J.; Chen, F.; Cai, Y.; Fan, S.; Cai, J.; Chen, R.; Kan, H.; Lu, Y.; Zhao, Z. Validation of a light-scattering PM2.5 sensor monitor based on the long-term gravimetric measurements in field tests. PLoS ONE 2017, 12, e0185700. [Google Scholar] [CrossRef] [PubMed]
- Kulshrestha, U.C.; Reddy, L.A.K.; Satyanarayana, J.; Kulshrestha, M.J. Real-time wet scavenging of major chemical constituents of aerosols and role of rain intensity in Indian region. Atmos. Environ. 2009, 43, 5123–5127. [Google Scholar] [CrossRef]




| Item | USEPA Standard [6,14] | Chinese National Standard [8] | |
|---|---|---|---|
| Instrument failure rate | / | <10% | |
| Precision | CV | / | ≤15% |
| NRMSE | ≤15% [6] | / | |
| Accuracy | SD | ≤5 μg/m3 [14] | / |
| RMSE | ≤7 μg/m3 [14] | / | |
| KBR tests | Slope (k) | 1.0 ± 0.10 [6] | 1.0 ± 0.10 |
| Intercept (b) | −2 μg/m3 ≤ b ≤ 2 μg/m3 and (15.05–17.32k) μg/m3 ≤ b ≤ (15.05–13.20k) μg/m3 [6] | If k ≥ 1, −5 μg/m3 ≤ b ≤ (55–50k) μg/m3 If k < 1, (45–50k) μg/m3 ≤ b ≤ 5 μg/m3 | |
| Correlation coefficient (r) | r ≥ 0.93 [6] | r ≥ 0.95 | |
| Manual or Brands of Automated Samplers | Manual | D1 | D2 | I1 | I2 | I3 |
|---|---|---|---|---|---|---|
| Total number of data | 398 | 398 | 398 | 398 | 398 | 322 |
| Number of efficient data | 369 | 345 | 378 | 347 | 368 | 303 |
| Data efficiency | 92.71% | 86.68% | 94.97% | 87.19% | 92.46% | 94.10% |
| Number of O/M vacancies | 15 | 17 | 14 | 17 | 17 | 15 |
| O/M vacancy rate | 3.77% | 4.27% | 3.52% | 4.27% | 4.27% | 4.66% |
| Number of instrument failures | 14 | 36 | 6 | 34 | 13 | 4 |
| Instrument failure rate | 3.52% | 9.05% | 1.51% | 8.54% | 3.27% | 1.24% |
| Season | Number of Sampling Days | D1 | D2 | I1 | I2 | I3 | Ave. Instrument Failure Rate | |||||
|---|---|---|---|---|---|---|---|---|---|---|---|---|
| a | b | a | b | a | b | a | b | a | b | |||
| Spring | 75 | 2 | 2.7% | 0 | 0.0% | 9 | 12.0% | 0 | 0.0% | 0 | 0.0% | 2.9% |
| Summer | 131/79 c | 21 | 16.0% | 3 | 2.3% | 18 | 13.7% | 1 | 0.8% | 0 | 0.0% | 6.6% |
| Autumn | 129/105 c | 13 | 10.1% | 2 | 1.6% | 3 | 2.3% | 7 | 5.4% | 1 | 1.0% | 4.1% |
| Winter | 63 | 0 | 0.0% | 1 | 1.6% | 4 | 6.3% | 5 | 7.9% | 3 | 4.8% | 4.1% |
| Item | Summer | Autumn | Winter | Spring | Annual |
|---|---|---|---|---|---|
| Temperature (°C) | 28.6 ± 3.1 | 19.3± 4.4 | 9.6 ± 2.4 | 20.2 ± 4.6 | 20.9 ± 7.4 |
| Relative humidity (%) | 65.8 ± 10.4 | 71.3 ± 9.3 | 65.8 ± 10.8 | 64.3 ± 10.5 | 67.3 ± 10.5 |
| PM2.5 concentration (manual, μg/m3) | 23.0 ± 10.2 | 40.1 ± 22.3 | 65.4 ± 27.9 | 33.3 ± 15.9 | 36.8 ± 23.5 |
| PM2.5 concentration (D1, μg/m3) | 24.9 ± 11.3 | 39.0 ± 21.0 | 57.4 ± 25.0 | 35.2 ± 16.1 | 36.9 ± 21.2 |
| PM2.5 concentration (D2, μg/m3) | 25.0 ± 11.6 | 40.6 ± 23.8 | 60.0 ± 26.4 | 35.4 ± 17.0 | 37.3 ± 22.7 |
| PM2.5 concentration (I1, μg/m3) | 20.8 ± 9.7 | 34.3 ± 20.0 | 57.3 ± 26.7 | 29.6 ± 15.7 | 32.7 ± 21.5 |
| PM2.5 concentration (I2, μg/m3) | 23.9 ± 12.1 | 37.5 ± 20.1 | 59.4 ± 26.0 | 35.5 ± 18.7 | 35.6 ± 21.6 |
| PM2.5 concentration (I3, μg/m3) | 21.1 ± 10.8 | 39.8 ± 22.9 | 63.9 ± 29.0 | 33.8 ± 16.3 | 37.9 ± 24.7 |
| Item | D1 | D2 | I1 | I2 | I3 |
|---|---|---|---|---|---|
| Number of data | 328 | 356 | 324 | 346 | 294 |
| Er (%) | 0.5 ± 12.8 | 3.2 ± 13.7 | −13.5 ± 11.0 | −1.8 ± 15.8 | −3.5 ± 10.3 |
| MBE (μg/m3) | −1.2 ± 5.1 | 0.4 ± 4.3 | −4.6 ± 4.0 | −1.3 ± 6.0 | −1.0 ± 2.9 |
| MAE (μg/m3) | 3.7 ± 3.7 | 3.2 ± 3.0 | 4.9 ± 3.7 | 4.4 ± 4.3 | 2.3 ± 2.0 |
| SD (μg/m3) | 1.2 ± 0.8 | 1.6 ± 1.6 | 3.1 ± 2.3 | 2.4 ± 2.2 | 1.8 ± 1.9 |
| CV (%) | 4.1 ± 3.7 | 4.9 ± 3.4 | 11.4 ± 8.8 | 7.0 ± 5.9 | 5.3 ± 3.9 |
| RMSE (μg/m3) | 4.0 ± 3.6 | 3.6 ± 3.1 | 5.7 ± 3.8 | 5.1 ± 4.3 | 3.0 ± 2.2 |
| NRMSE (%) | 11.0 ± 8.0 | 11.3 ± 9.8 | 17.5 ± 9.8 | 14.6 ± 9.9 | 9.3 ± 7.6 |
| Brand | Sampling Time | k | b | r | Pass/Not Pass Standard ① | Reason for Not Passing the Test | Pass/Not Pass Standard ② | Reason for not Passing the Test |
|---|---|---|---|---|---|---|---|---|
| D1 | Summer, 2022 (n = 26) | 1.114 | −1.500 | 0.987 | No | k > 1.1 | No | k > 1.1 |
| Autumn, 2022 (n = 37) | 0.813 | 4.309 | 0.974 | No | k < 0.9, b < 45–50k | No | k < 0.9, b > 2 | |
| Winter, 2022 (n = 54) | 0.880 | −0.263 | 0.989 | No | k < 0.9, b < 45–50k | No | k < 0.9, b < 15.05–13.72k | |
| Spring, 2023 (n = 70) | 0.977 | 2.288 | 0.974 | Yes | No | b > 2 | ||
| Summer, 2023 (n = 75) | 1.020 | 1.350 | 0.982 | Yes | Yes | |||
| Autumn, 2023 (n = 67) | 0.937 | 1.488 | 0.992 | Yes | Yes | |||
| Total (n = 329) | 0.862 | 4.071 | 0.983 | No | k < 0.9 | No | k < 0.9, b > 2 | |
| D2 | Summer, 2022 (n = 42) | 1.185 | −0.290 | 0.983 | No | k > 1.1, b > 55–50k | No | k > 1.1 |
| Autumn, 2022 (n = 45) | 0.976 | 1.265 | 0.986 | Yes | Yes | |||
| Winter, 2022 (n = 53) | 0.940 | −2.360 | 0.993 | No | b < 45–50k | No | b < −2 | |
| Spring, 2023 (n = 74) | 1.046 | 0.344 | 0.975 | Yes | Yes | |||
| Summer, 2023 (n = 77) | 1.063 | −0.188 | 0.983 | Yes | Yes | |||
| Autumn, 2023 (n = 68) | 1.065 | −1.719 | 0.995 | Yes | Yes | |||
| Total (n = 359) | 0.940 | 2.587 | 0.983 | Yes | No | b > 2 | ||
| I1 | Summer, 2022 (n = 42) | 0.947 | −1.206 | 0.978 | Yes | Yes | ||
| Autumn, 2022 (n = 47) | 0.802 | 0.545 | 0.975 | No | k < 0.9, b < 45–50k | No | b < 15.05–13.72 k | |
| Winter, 2022 (n = 50) | 0.948 | −5.156 | 0.994 | No | b < 45–50k | No | b < −2 | |
| Spring, 2023 (n = 61) | 0.923 | −0.497 | 0.976 | Yes | Yes | |||
| Summer, 2023 (n = 61) | 0.941 | −1.079 | 0.983 | Yes | Yes | |||
| Autumn, 2023 (n = 63) | 0.935 | −1.878 | 0.996 | No | b < 45–50k | No | b < 15.05–13.72 k | |
| Total (n = 324) | 0.893 | −0.644 | 0.989 | No | k < 0.9, b < 45–50k | No | k < 0.9, b < 15.05–13.72 k | |
| I2 | Summer, 2022 (n = 43) | 1.021 | 0.041 | 0.974 | Yes | Yes | ||
| Autumn, 2022 (n = 42) | 0.809 | 2.859 | 0.987 | No | k < 0.9, b < 45–50k | No | k < 0.9, b > 2 | |
| Winter, 2022 (n = 49) | 0.873 | 1.499 | 0.979 | No | k < 0.9 | No | k < 0.9 | |
| Spring, 2023 (n = 73) | 1.134 | −2.549 | 0.967 | No | k > 1.1 | No | b < −2 | |
| Summer, 2023 (n = 75) | 1.141 | −2.186 | 0.928 | No | k > 1.1 | No | b < −2 | |
| Autumn, 2023 (n = 67) | 0.891 | 2.261 | 0.980 | No | k < 0.9 | No | b > 2 | |
| Total (n = 349) | 0.884 | 2.933 | 0.970 | No | k < 0.9 | No | b > 2 | |
| I3 | Autumn, 2022 (n = 32) | 0.942 | 2.365 | 0.993 | Yes | No | b > 2 | |
| Winter, 2022 (n = 52) | 1.019 | −2.010 | 0.992 | Yes | No | b < −2 | ||
| Spring, 2023 (n = 73) | 1.013 | −0.640 | 0.972 | Yes | Yes | |||
| Summer, 2023 (n = 74) | 1.000 | −1.759 | 0.990 | Yes | Yes | |||
| Autumn, 2023 (n = 66) | 0.976 | −0.670 | 0.997 | Yes | Yes | |||
| Total (n = 297) | 1.002 | −1.091 | 0.993 | Yes | Yes |
| Brand | Season | Number of the Data | k Judgment/ Passing Times (Pass Rate) | b Judgment/ Passing Times (Pass Rate) | r Judgment/ Passing Times (Pass Rate) | KBR Result/ Passing Times (Pass Rate) |
|---|---|---|---|---|---|---|
| D1 | Spring | 47 | 42 (89.4%) | 44 (93.6%) | 43 (91.5%) | 40 (85.1%) |
| Summer | 57 | 25 (43.9%) | 44 (77.2%) | 57 (100%) | 25 (43.9%) | |
| Autumn | 60 | 47 (78.3%) | 53 (88.3%) | 60 (100%) | 47 (78.3%) | |
| Winter | 32 | 3 (9.4%) | 3 (9.4%) | 32 (100%) | 1 (3.1%) | |
| All | 196 | 117 (59.7%) | 144 (73.5%) | 192 (98%) | 113 (57.7%) | |
| D2 | Spring | 49 | 35 (71.4%) | 45 (91.8%) | 45 (91.8%) | 31 (63.3%) |
| Summer | 75 | 31 (41.3%) | 47 (62.7%) | 74 (98.7%) | 30 (40%) | |
| Autumn | 69 | 46 (66.7%) | 67 (97.1%) | 69 (100%) | 46 (66.7%) | |
| Winter | 31 | 31 (100%) | 8 (25.8%) | 31 (100%) | 8 (25.8%) | |
| All | 224 | 143 (63.8%) | 167 (74.6%) | 219 (97.8%) | 115 (51.3%) | |
| I1 | Spring | 39 | 23 (59%) | 19 (48.7%) | 37 (94.9%) | 17 (43.6%) |
| Summer | 59 | 49 (83.1%) | 53 (89.8%) | 59 (100%) | 49 (83.1%) | |
| Autumn | 66 | 47 (71.2%) | 13 (19.7%) | 66 (100%) | 13 (19.7%) | |
| Winter | 28 | 28 (100%) | 0 (0%) | 28 (100%) | 0 (0%) | |
| All | 192 | 147 (76.6%) | 85 (44.3%) | 190 (99.0%) | 79 (41.1%) | |
| I2 | Spring | 48 | 5 (10.4%) | 13 (27.1%) | 45 (93.8%) | 2 (4.2%) |
| Summer | 74 | 52 (70.3%) | 51 (68.9%) | 29 (39.2%) | 29 (39.2%) | |
| Autumn | 65 | 26 (40%) | 38 (58.5%) | 53 (81.5%) | 14 (21.5%) | |
| Winter | 27 | 13 (48.1%) | 6 (22.2%) | 27 (100%) | 0 (0%) | |
| All | 214 | 96 (44.9%) | 108 (50.5%) | 154 (72%) | 45 (21%) | |
| I3 | Spring | 48 | 45 (93.8%) | 46 (95.8%) | 46 (95.8%) | 43 (89.6%) |
| Summer | 52 | 48 (92.3%) | 48 (92.3%) | 52 (100%) | 48 (92.3%) | |
| Autumn | 54 | 54 (100%) | 54 (100%) | 54 (100%) | 54 (100%) | |
| Winter | 30 | 30 (100%) | 21 (70%) | 30 (100%) | 21 (70%) | |
| All | 184 | 177 (96.2%) | 169 (91.8%) | 182 (98.9%) | 166 (90.2%) |
| Brand | Season | Number of the Data | k Judgment/ Passing Times (Pass Rate) | b Judgment/ Passing Times (Pass Rate) | r Judgment/ Passing Times (Pass Rate) | KBR Result/ Passing Times (Pass Rate) |
|---|---|---|---|---|---|---|
| D1 | Spring | 47 | 32 (68.1%) | 47 (100%) | 43 (91.5%) | 30 (63.8%) |
| Summer | 57 | 36 (63.2%) | 51 (89.5%) | 57 (100%) | 36 (63.2%) | |
| Autumn | 60 | 58 (96.7%) | 60 (100%) | 60 (100%) | 58 (96.7%) | |
| Winter | 32 | 32 (100%) | 32 (100%) | 32 (100%) | 32 (100%) | |
| All | 196 | 158 (80.6%) | 190 (96.7%) | 192 (98%) | 156 (79.6%) | |
| D2 | Spring | 49 | 45 (91.8%) | 49 (100%) | 45 (91.8%) | 43 (87.8%) |
| Summer | 75 | 53 (70.7%) | 55 (73.3%) | 74 (98.7%) | 52 (69.3%) | |
| Autumn | 69 | 68 (98.6%) | 69 (100%) | 69 (100%) | 68 (98.6%) | |
| Winter | 31 | 31 (100%) | 31 (100%) | 31 (100%) | 31 (100%) | |
| All | 224 | 197 (87.9%) | 204 (91.1%) | 199 (97.5%) | 194 (86.6%) | |
| I1 | Spring | 39 | 31 (79.5%) | 39 (100%) | 37 (94.9%) | 29 (74.4%) |
| Summer | 59 | 43 (72.9%) | 59 (100%) | 59 (100%) | 43 (72.9%) | |
| Autumn | 70 | 60 (85.7%) | 66 (94.3%) | 68 (97.1%) | 59 (84.3%) | |
| Winter | 28 | 28 (100%) | 28 (100%) | 28 (100%) | 28 (100%) | |
| All | 196 | 162 (82.7%) | 192 (98%) | 192 (98%) | 159 (81.1%) | |
| I2 | Spring | 48 | 37 (77.1%) | 46 (95.8%) | 45 (93.8%) | 34 (70.8%) |
| Summer | 74 | 31 (41.9%) | 46 (62.2%) | 29 (39.2%) | 24 (32.4%) | |
| Autumn | 65 | 61 (93.8%) | 61 (93.8%) | 53 (81.5%) | 53 (81.5%) | |
| Winter | 27 | 27 (100%) | 15 (55.6%) | 27 (100%) | 15 (55.6%) | |
| All | 214 | 156 (72.9%) | 168 (78.5%) | 154 (72%) | 126 (58.9%) | |
| I3 | Spring | 48 | 39 (81.3%) | 46 (95.8%) | 46 (95.8%) | 37 (77.1%) |
| Summer | 52 | 48 (92.3%) | 52 (100%) | 52 (100%) | 48 (92.3%) | |
| Autumn | 54 | 54 (100%) | 54 (100%) | 54 (100%) | 54 (100%) | |
| Winter | 30 | 30 (100%) | 30 (100%) | 30 (100%) | 30 (100%) | |
| All | 184 | 171 (92.9%) | 182 (98.9%) | 182 (98.9%) | 169 (91.8%) |
Disclaimer/Publisher’s Note: The statements, opinions and data contained in all publications are solely those of the individual author(s) and contributor(s) and not of MDPI and/or the editor(s). MDPI and/or the editor(s) disclaim responsibility for any injury to people or property resulting from any ideas, methods, instructions or products referred to in the content. |
© 2025 by the authors. Licensee MDPI, Basel, Switzerland. This article is an open access article distributed under the terms and conditions of the Creative Commons Attribution (CC BY) license (https://creativecommons.org/licenses/by/4.0/).
Share and Cite
Dai, D.; Li, J.; Xiao, K.; Li, L. Contrast Between Automated and Manual Measurements of Atmospheric PM2.5: Influences of Environmental Factors and the Improving Correction Method. Atmosphere 2025, 16, 1112. https://doi.org/10.3390/atmos16091112
Dai D, Li J, Xiao K, Li L. Contrast Between Automated and Manual Measurements of Atmospheric PM2.5: Influences of Environmental Factors and the Improving Correction Method. Atmosphere. 2025; 16(9):1112. https://doi.org/10.3390/atmos16091112
Chicago/Turabian StyleDai, Dongjue, Jingang Li, Kuang Xiao, and Li Li. 2025. "Contrast Between Automated and Manual Measurements of Atmospheric PM2.5: Influences of Environmental Factors and the Improving Correction Method" Atmosphere 16, no. 9: 1112. https://doi.org/10.3390/atmos16091112
APA StyleDai, D., Li, J., Xiao, K., & Li, L. (2025). Contrast Between Automated and Manual Measurements of Atmospheric PM2.5: Influences of Environmental Factors and the Improving Correction Method. Atmosphere, 16(9), 1112. https://doi.org/10.3390/atmos16091112
