Abstract
This research addresses urban heat island intensification driven by urbanization using Dianchi Lake in Kunming, China, as a case study, aiming to quantitatively evaluate the spatial extent, intensity, and land cover sensitivity differences in the cooling effects of large urban water bodies across dry/wet seasons and complex urban landscapes (forest, cropland, and impervious surfaces) to provide a scientific basis for optimizing thermal environments in low-latitude plateau cities. Based on Landsat 8/9 satellite data from dry (January) and wet (May) seasons in 2020 and 2023 used for land surface temperature (LST) retrieval combined with land use data, buffer zone gradient analysis was adopted to quantify the spatial heterogeneity of key cooling indicators within 0–1500 m lakeshore buffers. The results demonstrated significant seasonal differences. The wet season showed a greater cooling extent (600 m) and higher intensity (6.0–6.6 °C) compared with the dry season (400 m; 2.4–3.9 °C). The land cover responses varied substantially, with cropland having the largest influence (600 m), followed by impervious surfaces (400 m), while forest exhibited a minimal effective cooling range (100 m) but localized warming anomalies at 200–400 m. Sensitivity analysis confirmed that impervious surfaces were the most sensitive to water-cooling, followed by cropland, whereas forest showed the lowest sensitivity.
1. Introduction
Accelerated urbanization has significantly altered urban land use patterns and surface cover characteristics, with natural vegetated surfaces being progressively replaced by anthropogenic impervious materials, thereby fundamentally modifying urban thermal dynamics [1,2]. Escalating population density amplifies anthropogenic thermal emissions. The synergistic effects of these drivers further intensify the magnitude of the urban heat island (UHI) effect [3]. Such thermal environment modifications exert multidimensional impacts: (1) compromising public health through heat-related morbidity; (2) destabilizing energy infrastructures via amplified cooling demands; (3) degrading ecosystem services by altering species distributions; and (4) undermining urban sustainability through exacerbated carbon footprints [4,5,6]. China’s unprecedented urbanization scale, currently affecting over 66% of its permanent population [7], positions this phenomenon as a critical research frontier. Consequently, both governmental agencies and scientific communities are prioritizing the development of integrated mitigation strategies to counteract urban thermal intensification [8,9].
Studies on urban heat island effects have demonstrated that urban water bodies exert cooling effects on urban climates, as evidenced by multiple scholarly investigations [10,11,12,13]. The cooling effectiveness of urban water bodies is influenced by dual factors: the water body characteristics and surrounding environmental conditions [14]. Consequently, the cooling impact on riparian environments varies with distance and land cover changes. For instance, Cheng et al. demonstrated that the cooling effects of urban water bodies on adjacent landscapes were modulated by land cover types, with distinct cooling ranges that can be observed across different surface characteristics [15]. Du et al. further demonstrated that the cooling intensity of an urban water body shows a positive correlation with impervious surface coverage but a negative correlation with vegetation coverage [16]. Current research methodologies primarily employ field-based monitoring and satellite remote sensing for cooling effect quantification. Chang conducted extensive field measurements by establishing fixed observation points around water bodies [17], while Hathway et al. identified seasonal variations in river-induced cooling effects (1–2 °C) through in situ measurements [18,19,20]. However, such field-based approaches require dense observation networks to ensure spatial interpolation accuracy, which significantly increases logistical costs and manpower requirements. Consequently, satellite remote sensing has emerged as an alternative method for thermal environment assessment. Compared with ground measurements, satellite-derived land surface temperature (LST) data exhibit superior advantages in their temporal and spatial dimensions [21]. Enabled by satellite imagery accessibility, researchers have expanded investigations from local scales to entire water body peripheries while extending temporal analyses from single-season observations to inter-season comparisons of cooling effect variations. Furthermore, comparative studies across different urban water bodies have been facilitated through remote sensing techniques [16,22,23,24]. Satellite-based approaches effectively reveal the spatiotemporal evolution patterns of urban lake cooling effects, providing critical insights into urban thermal environment management.
Although the cooling effects of urban water bodies have been extensively discussed over the long term, many previous studies have focused on the internal factors that influence cooling efficiency, such as water body size, shape, and spatial distribution patterns [25,26,27,28], with research primarily being concentrated on small-scale analyses (e.g., individual rivers, lakes, and reservoirs) [16,29]. Few studies have compared cooling effect variations under complex urban contexts or examined the impacts of landscape patterns on cooling effects. Water volume is the primary factor influencing the thermal behaviors of water surfaces, and large volumes significantly enhance temperature regulatory capacity, with these effects weakening as distance from the water increases. Second, the uneven distribution of landscape patterns along water edges contributes to cooling magnitude differences, as variations in land cover and land use (LCLU) directly affect cooling efficiency, with only a limited number of researchers addressing cooling disparities across different riparian landscapes [30]. Third, background climatic conditions (e.g., humidity, wind speed, and direction) and water level fluctuation influence the distribution of cooling effects, resulting in seasonal variations. Integrating complex waterfront urban morphologies and spatiotemporal dynamics into research can enhance the understanding of cooling effects, allowing for the development of more comprehensive strategies for urban heat island mitigation.
The definition and quantification of water body cooling effects remain key research foci. Researchers typically define lake cooling intensity (LCI) as the temperature difference between the cooling boundary and the water shoreline [31]. Some scholars have introduced lake cooling distance (LCD) to quantify spatial ranges, such as Toparlar et al., who defined the maximum distance interval, with a minimum 0.1 °C temperature variation serving as the cooling effect’s spatial extent [32]. Cheng et al. utilized spatial influence contours to represent cooling intensity [33], with these studies calculating cooling effect intensity from the perspective of maximum influence. However, the current maximum spatial impact index cannot comprehensively characterize the nonlinear spatial variations in land surface temperature, necessitating integrated approaches that simultaneously consider the maximum influence range and spatial continuity. Thus, some researchers define buffer zones as areas extending outward from target geographic features by specified distances, with them establishing these buffers to provide boundary conditions for systematically evaluating distance–decay relationships in thermal regulation experiments [34]. Buffer zones enable the quantification of spatial influence extents for specific elements; the methodology of creating buffers within the maximum cooling radius of water bodies (1500 m) has been extensively applied in quantitative studies of hydro-cooling effects [16,35].
This study is focused on quantifying the cooling effects of Dianchi Lake on its surrounding environment. Unlike small water bodies in previous studies, Dianchi Lake features extensive water coverage and diverse landscape patterns (including built-up areas and natural landscapes) within its watershed. Moreover, in light of urban expansion and development in recent years, an increasing amount of natural land cover has been converted into artificial impervious surfaces; in particular, diminishing green spaces have led to a reduction in the natural ecosystem’s capacity to mitigate the urban heat island effect. The aim of this work is to investigate the cooling effect range and intensity under complex urban contexts and the sensitivity of different landscape patterns to cooling effects. Understanding the spatially varying sensitivities of different land covers to large water body cooling is paramount for designing effective hydro-thermal spatial planning. Planners need to know where (proximity), on what land types (e.g., prioritize cooling impervious areas), and to what extent cooling benefits can be expected to optimize land-use allocation practices concerning valuable water resources. The results will provide references for studying urban lake cooling effects across varied landscape configurations and offer empirical support for optimizing urban lake cooling capacities to mitigate urban thermal environments.
2. Data and Methods
2.1. Study Area
Dianchi Lake is situated in the central Yunnan–Guizhou Plateau (Figure 1), located southwest of Kunming City, Yunnan Province (24°48′ N, 102°41′ E). Known as the “Spring City”, Kunming serves as the economic, political, social, and cultural hub of Yunnan Province. The area features a northern low-latitude subtropical plateau monsoon climate characterized by mild temperatures year-round, with distinct dry (November–April) and rainy (May–October) seasons. The annual precipitation level has an average value of approximately 1000 mm, with 85% of precipitation being concentrated during the rainy season. Climatic features include small seasonal temperature variations, large diurnal temperature differences, and pronounced dry–wet seasonality.
Figure 1.
Location map of Dianchi Lake in Kunming, China.
The Dianchi Lake Basin exhibits an asymmetric terraced topography centered around the lake, with wider northern, southern, and eastern margins contrasting a narrower western zone. Controlled by north–south tectonic faults, this Late Cenozoic fault basin displays a north/high–south/low elongated configuration. With a surface elevation of 1886 m, water area of 330 km2, and average depth of 5 m, this fault basin ranks among Yunnan’s nine major plateau lakes [36]. Recent industrialization and urban agglomeration in central Yunnan have driven the rapid expansion of urban construction and residential lands around Dianchi Lake. Intensive human activities have triggered significant land use changes, with current riparian land cover being dominated by forests (47%), farmland (20%), and urban areas (16%) [37]. Accelerated urbanization and population influx have substantially increased impervious surface coverage, exacerbating urban heat island effects. This process makes the utilization of urban water body cooling effects crucial for mitigating thermal environmental pressures around Dianchi Lake.
2.2. Data Processing
The surface temperature data were retrieved from satellite remote sensing images. Landsat 8/9 OLI/TIRS satellite imagery of Lake Dianchi was obtained from the USGS EarthExplorer platform (“http://earthexplorer.usgs.gov” accessed on 4 April 2025). Images from dry (January) and rainy (May) seasons in 2020 and 2023 with cloud cover levels of <10% were selected. Given that the single-channel algorithm required only one thermal infrared band and demonstrated high accuracy in temperature inversion, with atmospheric correction being the primary error source, atmospherically corrected Level-2 data containing the thermal infrared band (B10) were downloaded. ENVI 5.6 software was employed for thermal infrared band processing to generate 30-m resolution land surface temperature (LST) raster data. Spatial calibration was subsequently performed using ArcMap 10.8 to output georeferenced LST raster data.
Hydrological vector data were extracted from the OpenStreetMap database (“https://openstreetmap.us” accessed on 14 April 2025), with Lake Dianchi’s water boundary being delineated through feature analysis in ArcMap 10.8. Building on the established methodology of integrating satellite remote sensing with sample training for land cover classification [38,39], the 30-m resolution China Land Cover Dataset (“https://zenodo.org/records/12779975” accessed on 26 March 2025) published by Yang et al. [40] was utilized. Spatial feature extraction techniques were applied to isolate three dominant land types around Dianchi Lake (forest, farmland, and impervious surfaces) from the Yunnan Province data. ArcMap’s masking tool generated vector boundaries for each land cover category, establishing spatial correlations with LST data. Date source and resolution are showed in Table 1.
Table 1.
Data source and resolution.
2.3. Analytical Method
2.3.1. Buffer Establishment and Cooling Effect Quantification
Using Dianchi lakeshore as the spatial baseline, fifteen buffer zones were established at 100-m intervals (Figure 2), with each independent buffer representing areas of equivalent spatial influence from the water body. This zonal division deconstructed the riparian land into fifteen thermal influence gradient units, each corresponding to a specific distance–decay interval, thereby providing a spatial reference framework for subsequent quantitative analysis. This buffer system deconstructed the adjacent terrestrial area into 15 thermal gradient units, each corresponding to a specific distance–decay interval, thereby providing a spatial reference framework for subsequent quantitative analyses.
Figure 2.
Buffer zones established based on the Dianchi lakeshore with intervals of 100 m.
A distance–temperature curve was generated using the distance from the buffer zones to the lakeshore as the abscissa axis and the average temperature within each buffer zone as the ordinate axis (Figure 3). The first inflection point (P) with a temperature variation of less than 0.1 °C was identified. The distance corresponding to point P was defined as the effective cooling distance (LCD), while the temperature difference between point P and the lakeshore was designated as the cooling intensity (LCI). These two indices were adopted as key metrics to evaluate the cooling effects in this study.
Figure 3.
Quantification of key indicators of the cooling effect.
2.3.2. Partition of LST According to LCLU
To precisely differentiate land surface temperature (LST) data corresponding to distinct land use types, spatial segmentation of the satellite-retrieved LST data was required. Based on the 2023 Yunnan Province land use/cover map, raster patches representing three primary land cover types (forest, cropland, and impervious surfaces) were extracted. Subsequently, LST values specific to each land cover type were obtained through overlay analysis of these extracted patches with the overall LST raster data.
2.3.3. Multi-Level Differential Analysis of the Cooling Effect
The research design incorporated a spatiotemporal experiment with dual control dimensions. The temporal dimension included 2020 and 2023, with seasonal stratification occurring into the dry and wet seasons. The spatial dimension combined 15 × 100 m buffer gradients and 3 land cover types to form 45 spatial units. Using the ArcMap Spatial Statistics module, median temperature values were extracted for each unit, ultimately constructing a structured database containing 180 observational records (4 periods × 15 buffers × 3 land covers).
This study implemented multi-level horizontal comparisons across three dimensions: seasons, distance gradients, and land cover types. By calculating the attenuation gradient of temperature changes with distance under certain homogeneous land cover types and combining them with numerical comparisons, the influence scope and intensity values of cooling effects were identified. Differences in thermal responses to aquatic cooling effects across land cover types were summarized, ultimately determining the degrees to which urban water body cooling affected surfaces with distinct attributes. This method innovatively integrated spatial gradient analysis and land cover segmentation, overcoming the limitations of traditional single-scale approaches. The technique allowed for a refined deconstruction of the multi-dimensional mechanisms governing urban water body cooling effects. Key variables and acquisition methods are showed in Table 2.
Table 2.
Key variables and acquisition methods.
3. Results and Discussion
3.1. Spatial Distribution Variation
The land surface temperature distribution derived from the thermal infrared band inversion of remote sensing satellite data (Figure 4) reveals significant seasonal differentiation in the thermal environment around Dianchi Lake. During the dry season, the daily average temperature across the study area remains relatively low, with a pronounced urban heat island core that can be observed along the eastern lakeshore, whereas low-temperature zones are concentrated in the northwestern region. In the wet season, influenced by enhanced solar radiation and increased air humidity, the overall LST increases by approximately 17 °C; however, the spatial distribution pattern remains consistent with that of the dry season.
Figure 4.
Land surface temperature distribution around Dianchi Lake in four different periods.
The observed east–west temperature disparity is intrinsically linked to the distribution of underlying surface types. As shown in Figure 5, land cover within the study area is classified into three primary categories based on the surface type: impervious, cropland, and forest. Comparative analysis between partitioned land cover data and LST distributions reveals significant spatial coupling relationships between underlying surface types and thermal environmental effects. Specifically, the northeastern lakeshore exhibits a high concentration of impervious surfaces within urban built-up areas, which spatially corresponds to the persistent high-temperature zones identified in LST inversion results. Conversely, the western lakeshore’s low-temperature zones align with densely forested areas. This spatial differentiation of heat island effects fundamentally reflects the property disparities among distinct underlying surface types [41]. Due to the influences of these thermodynamic differences, external interference factors emerge when analyzing aquatic cooling effects on terrestrial thermal environments. To refine the quantification of the cooling effect spatial extent and intensity thresholds, it is imperative to establish correlative relationships between land cover characteristics and thermal signatures.
Figure 5.
Surface temperature distributions corresponding to the three types of surfaces (May 2023).
Comparative analysis of the spatial distribution characteristics of LST across different surface types reveals significant spatial heterogeneity patterns in thermal response between impervious and farmland surfaces. The land surface temperature along the Dianchi lakeshore is lower than that in distal areas beyond the water body’s influence; even impervious surfaces characterized by higher albedo values demonstrate no discernible high-temperature zones within the lake’s proximity. This spatial differentiation pattern confirms the remarkable thermal regulation capacities of water bodies on adjacent terrestrial areas, where the cooling effects primarily originate from three synergistic mechanisms—the thermal buffering effect due to water’s high specific heat capacity, evaporative cooling processes, and local microclimate circulation [42]. Although the cooling effects of water bodies have been qualitatively validated, their precise spatial influence ranges and intensity gradients still require further quantitative investigation for comprehensive clarification.
3.2. Seasonal Differences in Cooling Effects
By overlaying buffer zone data with LST datasets, a bivariate “thermal environment–water distance” relationship diagram can be constructed. The temperature line charts in Figure 6 illustrate the correlations between the distance and thermal environment across four temporal intervals. Through analyzing the variation trends of average temperature with increasing distance from water bodies, the spatial extent and intensity gradients of cooling effects during both dry and rainy seasons can be quantitatively characterized.
Figure 6.
Variation graphs of the corresponding temperatures of different types of surfaces within four periods.
Comparative analysis of land surface temperature variations between dry and rainy seasons within the 1500-m buffer zone along Dianchi Lake reveals distinct thermal patterns. During the dry season (January), weakened solar radiation leads to lower overall ambient temperatures with gentler thermal fluctuations, which are characterized by a high temperature difference of 3.3 ± 0.7 °C. The LCD exhibits spatially limited influence in this season: a positive temperature–distance correlation is observed within the proximal 400-m zone, while temperatures stabilize beyond 400 m with negligible distance-dependent effects. In contrast, during the rainy season (May), enhanced solar radiation drives higher overall temperatures and intensified thermal contrasts, which are reflected in a high temperature difference of 6.3 ± 0.2 °C. The cooling influence expands significantly, with effective thermal regulation extending to 600 m from the lakeshore. Seasonal differences are also evident in LCI: the dry season cooling rates measure 2.4 °C and 3.9 °C, while the rainy season rates intensify to 6.0 °C and 6.6 °C. These findings conclusively demonstrate that Dianchi Lake exerts stronger cooling effects during the rainy season compared to the dry season, manifesting as both broader spatial coverage and better intensity gradients.
3.3. Sensitivities of Different Surfaces to Cooling Effects
3.3.1. Variations in LCD and LCI
As shown in Figure 7, the sensitivity to cooling effects varies significantly among different land cover types. Within the 200-m nearshore zone, the cooling effect exhibits pronounced gradient variations: the average temperature in the 100-m buffer zone is markedly lower than that in inland areas. Beyond 200 m, spatial heterogeneity in cooling efficacy becomes evident, a pattern that is primarily governed by the interaction between underlying surface types and distance from the shoreline. Taking the rainy season (with broader cooling influence) as an example, impervious surfaces and farmland demonstrate distinct thermal responses: impervious surfaces exhibit LCI increases of 4.6 °C within LCD of 400 m, while farmland shows LCD extending to 600 m, with an LCI rise of 6 °C. This phenomenon indicates the following:

Figure 7.
Linear correlation graphs of surface temperature and distance in four periods.
- (1)
- The effective range of water body cooling is closely tied to underlying surface characteristics, with land cover types significantly modulating the spatial extent of cooling effects.
- (2)
- The cooling capacity of the same water body displays selective responses to different land cover types, exhibiting pronounced spatial limitations in temperature regulation for artificial impervious surfaces.
A comparative analysis of thermal performance between impervious surfaces and agricultural lands across dry and wet seasons reveals that during the dry season, impervious surfaces in riparian zones exhibit an average LST of 19.3 °C compared to that in cropland (18.5 °C). However, as the cooling effect progressively diminishes with increasing distance, a critical threshold is reached where agricultural lands gradually surpass impervious surfaces in terms of mean surface temperature. At the 600-m distance threshold, impervious surfaces record a mean LST of 21.2 °C, whereas cropland surfaces have a mean LST of 21.9 °C, ultimately resulting in stabilized thermal differentials between the two land cover types. In the wet season, impervious surfaces maintain average temperatures across all distance intervals. Agricultural lands have higher warming rates than impervious surfaces within the 300–600 m range. Beyond 600 m, the temperature difference between these surfaces gradually stabilizes.
This phenomenon can be attributed to the homogenizing of water-mediated thermal regulation within the cooling effect’s dominant range. As the cooling efficacy attenuates, the intrinsic thermal properties of surfaces (including the thermal capacity, albedo, and evaporative efficiency) become factors governing temperature variations. Consequently, these inherent thermal characteristics ultimately drive the amplification of thermal environment disparities between distinct land cover types.
A comparative analysis of thermal variations across three land cover types reveals that there are distinct thermal patterns: impervious surfaces and agricultural lands both exhibit an “ascent followed by stabilization” temperature trajectory, while forested areas demonstrate a unique “stepwise” characteristic, fundamentally differentiating their thermal behaviors from the former categories. This study designates the mean temperature within the 1000–1500 m range as the natural baseline temperature unaffected by aquatic influences. Comparative evaluation shows that impervious surfaces and agricultural lands maintain significantly lower temperatures than this baseline within the proximal 300-m zone. With increasing distance, their surface temperatures gradually converge toward the baseline, though this convergence is modulated by ambient thermal conditions. In contrast, forested areas display sub-baseline temperatures that are limited to the initial 100-m zone. A distinct warming phase occurs between 200–400 m, where peak temperatures exceed the baseline by approximately 1 °C, after which the system subsequently initiates a cooling trajectory and ultimately stabilizes at the natural baseline temperature.
This finding highlights the spatial heterogeneity in cooling effect sensitivity across different land cover types under the dual influences of seasonal variations and underlying surface properties. Specifically, the effective range of LCD demonstrates distinct spatial thresholds: 400 m for impervious surfaces, 600 m for agricultural lands, and 100 m for forested areas. Notably, the aquatic cooling mechanism exhibits non-constant characteristics, with forested systems presenting thermal response-localized warming within specific proximity ranges. The observed temperature elevation in near-water forested zones may be attributed to the humidity-mediated suppression of vegetation transpiration. High atmospheric moisture contents in riparian environments allow for the use of stomatal closure as a water conservation strategy, thereby reducing latent heat dissipation through evapotranspiration [43]. This physiological adaptation results in energy redistribution, where diminished latent heat flux increases sensible heat retention within the microclimate, ultimately elevating near-surface temperatures.
3.3.2. Thermal Distribution Differences
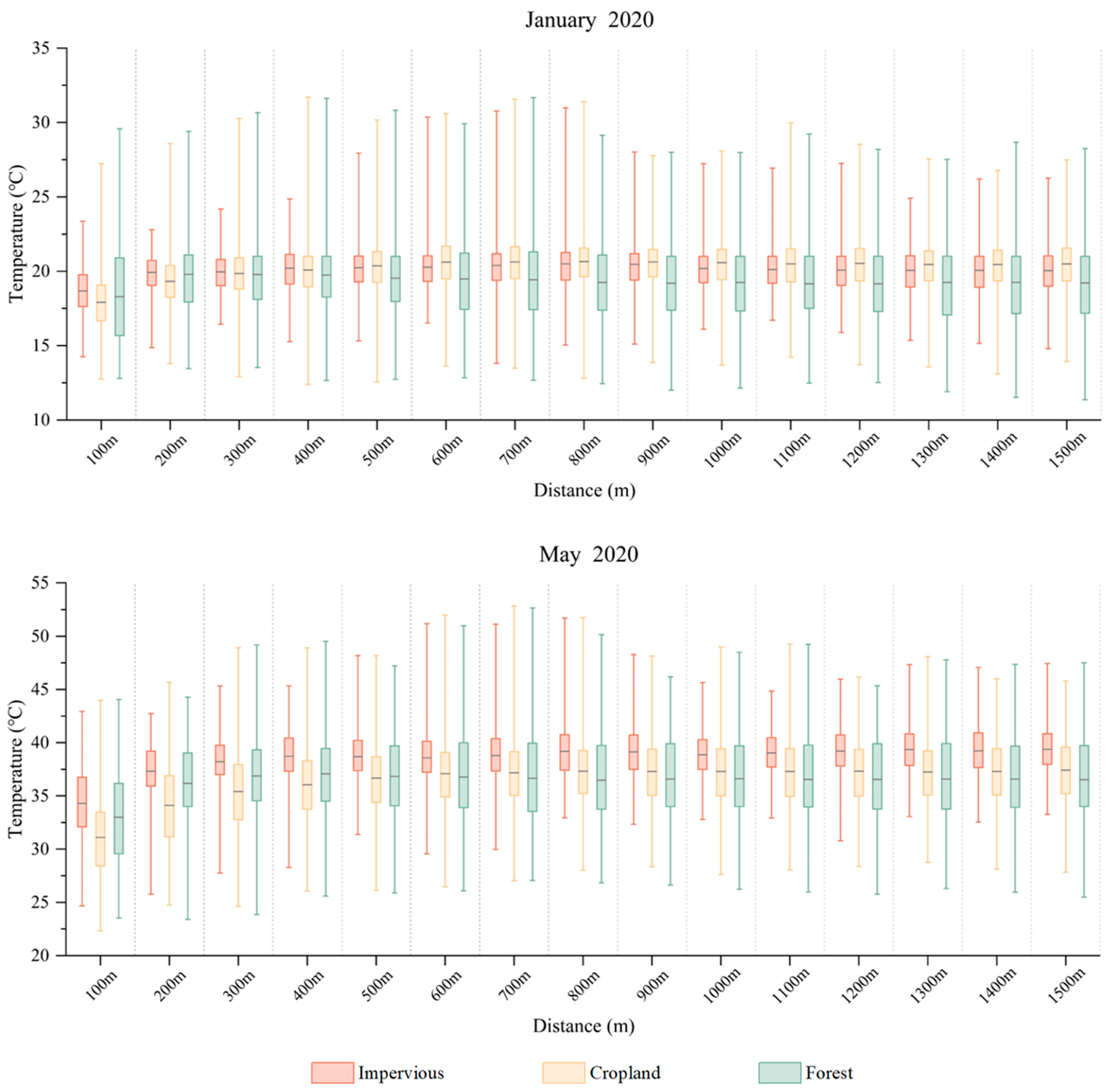
Although impervious surfaces and agricultural lands exhibit temperature responses under cooling effects, their thermal distribution patterns and value ranges demonstrate divergences (Figure 8). Boxplot analysis reveals that impervious surfaces exhibit thermal homogeneity compared to agricultural lands, with the latter showing the most pronounced temperature extremes (maximum differential: 22.6 °C). Distinct fluctuation characteristics within cooling-affected zones further differentiate these land cover types: impervious surfaces display a consistent positive correlation between overall temperature and water proximity, with minimal variation in extreme value ranges (maximum minus minimum), while agricultural lands exhibit dispersed temperature extremes lacking significant linear correlation with distance, though their central 50% temperature data (interquartile range, IQR) gradually increases with increasing distance. Forested areas within 100 m of water bodies maintain suppressed overall temperatures with stable IQR distributions, showing negligible fluctuations with distance; however, maximum temperatures exhibit marked variability without discernible linear trends.
Figure 8.
Temperature box diagrams of three types surface in 2020.
In conclusion, impervious surfaces demonstrate the most pronounced thermal responsiveness to aquatic influences, which are characterized by marked distance-dependent temperature gradients that underscore their heightened sensitivity to cooling effects. Cropland exhibits intermediate sensitivity, where bulk temperature trends (central 50% data) align with cooling effect attenuation; however, extreme temperature fluctuations remain decoupled from aquatic regulation due to dominant autonomous variables. Forested ecosystems display minimal thermal variability, with cooling impacts being restricted to ≤100-m zones and rapid stabilization beyond 200 m, ultimately establishing their position as the least sensitive land cover type within this tripartite sensitivity hierarchy.
Urban land cover changes are related to thermal environment changes. Comparative analysis of thermal characteristics in agricultural and forested areas over two consecutive years reveals distinct temporal patterns (Figure 8). During 2020, forested zones within aquatic cooling-affected areas maintained higher temperatures than agricultural lands. As the cooling effect attenuated with increasing distance, agricultural temperatures gradually surpassed those of forests, ultimately stabilizing thermal differentials within 1.4 °C.
In contrast, 2023 witnessed a reversed thermal hierarchy where agricultural areas consistently exhibited elevated temperatures relative to forests throughout the observation period (Figure 9). The thermal disparity progressively amplified with attenuating cooling effect, reaching maximum differentials of 1.5 °C during dry seasons and escalating to 6.1 °C in wet seasons. Land cover proportion analysis (Figure 10) demonstrated a 23.6% reduction in forested area accompanied by a 18.3% expansion of agricultural land between 2020–2023. This inverse correlation suggests that surface temperature dynamics are likely linked to urban surface changes. Notably, while land use composition influences interannual thermal variability, the distance-dependent cooling relationship with Dianchi Lake remains seasonally consistent across years.
Figure 9.
Temperature box diagrams of the three surface types in 2023.
Figure 10.
Proportions of the three surface types in different buffer zones.
4. Conclusions
Compared to previous studies that were primarily focused on small water bodies or single landscape contexts, this study quantitatively reveals the complex spatiotemporal patterns of the cooling effect of a large plateau lake within a highly heterogeneous urban landscape by integrating high-resolution remote sensing with fine-scale land cover zoning analysis. Our findings not only confirm significant seasonal differences in water body cooling (larger extent and greater intensity during the rainy season) and land cover dependency (impervious surfaces being the most sensitive yet having the smallest cooling extent, whereas croplands experience cooling over the largest distance) but also, more importantly, provide the first large-scale quantification and explanation of the phenomenon where forests exhibit unique short-distance cooling coupled with localized thermal anomalies in near-shore areas.
This study focuses on the surface temperatures corresponding to three land surface types along the Dianchi Lake shoreline across four temporal periods. This study comparatively examines the thermal performance levels of these three surface types across 2 seasons and spatial gradients while quantitatively analyzing the differential cooling effects exerted by three distinct land use categories during both dry and rainy seasons at varying spatial distances. The main findings are as follows:
- (1)
- The surface temperature distribution along the Dianchi Lake shoreline exhibits a correlation with the land use type. High-temperature zones are predominantly clustered in the urban core areas of the eastern shoreline, whereas low-temperature zones are primarily concentrated in the forested regions of the western shoreline. Spatially heterogeneous land cover distributions across the eastern and western shores of Dianchi Lake contribute to thermal environmental disparities.
- (2)
- The LCD exhibits a spatial extent of approximately 400 m, with LCI ranging from 2.4 to 3.9 °C during dry seasons, whereas in rainy seasons, it demonstrates an expanded LCD of 600 m and enhanced LCI between 6.0 and 6.6 °C. From the perspective of seasonal variation, both the effective radius and thermal mitigation magnitude of the cooling effect surpass those observed in dry seasons during the rainy period.
- (3)
- Dianchi Lake manifests differential cooling ranges across distinct land use types. The cooling effect demonstrates the most extensive LCD range on agricultural lands, reaching 600 m, which is followed by 400 m for impervious surfaces. In contrast, forested areas exhibit LCD only within a 100-m radius. Impervious surfaces display the highest sensitivity to cooling effects, followed by agricultural lands, whereas forested areas exhibit the lowest responsiveness among the three surface types.
This study provides actionable urban planning recommendations for cities adjacent to large lakes to optimize thermal environments along waterfronts, particularly in low-latitude plateau regions. The findings establish a scientific framework for leveraging lacustrine cooling mechanisms in sustainable urban design, with specific implications for mitigating heat island effects through strategic land use allocation practices.
Author Contributions
Conceptualization, P.Z.; Methodology, Z.M.; Project administration, L.W.; Software, Y.C.; Writing—original draft, Z.M.; Writing—review and editing, Z.W. All authors have read and agreed to the published version of the manuscript.
Funding
This research was funded by the Science and Technology Projects of Yunnan Province’s Universities Serving Key Industries (FWCY-BSPY2024061).
Institutional Review Board Statement
Not applicable.
Informed Consent Statement
Not applicable.
Data Availability Statement
The data used in the study were obtained from the websites of the USGS EarthExplorer platform “http://earthexplorer.usgs.gov” accessed on 4 April 2025), Open Street Map (“https://openstreetmap.us” accessed on 14 April 2025) and Zendo (“https://zenodo.org/records/12779975” accessed on 26 March 2025).
Conflicts of Interest
The author declares no conflicts of interest.
Abbreviations
The following abbreviations are used in this manuscript:
| UHI | Urban heat island |
| LST | Land surface temperature |
| LCLU | Land cover and land use |
| LCI | Lake cooling intensity |
| LCD | Lake cooling distance |
References
- Yuan, C.; Zhu, R.; Tong, S.; Mei, S.; Zhu, W. Impact of Anthropogenic Heat from Air-Conditioning on Air Temperature of Naturally Ventilated Apartments at High-Density Tropical Cities. Energy Build. 2022, 268, 112171. [Google Scholar]
- Zhou, L.; Hu, F.; Wang, B.; Wei, C.; Sun, D.; Wang, S. Relationship between Urban Landscape Structure and Land Surface Temperature: Spatial Hierarchy and Interaction Effects. Sustain. Cities Soc. 2022, 80, 103795. [Google Scholar]
- Oke, T.R. City size and the urban heat island. Atmos. Environ. 1967 1973, 7, 769–779. [Google Scholar]
- Patz, J.A.; Campbell-Lendrum, D.; Holloway, T.; Foley, J.A. Impact of regional climate change on human health. Nature 2005, 438, 310–317. [Google Scholar]
- Ca, V.T.; Asaeda, T.; Abu, E.M. Reductions in air conditioning energy caused by a nearby park. Energy Build. 1998, 29, 83–92. [Google Scholar]
- Grimm, N.B.; Faeth, S.H.; Golubiewski, N.E.; Redman, C.L.; Wu, J.; Bai, X.; Briggs, J.M. Global Change and the Ecology of Cities. Science 2008, 319, 756. [Google Scholar]
- Kalisa, E.; Fadlallah, S.; Amani, M.; Nahayo, L.; Habiyaremye, G. Temperature and air pollution relationship during heatwaves in Birmingham, UK. Sustain. Cities Soc. 2018, 43, 111–120. [Google Scholar]
- Lo, C.P.; Quattrochi, D.A. Land-Use and Land-Cover Change, Urban Heat Island Phenomenon, and Health Implications: A Remote Sensing Approach. Photogramm. Eng. Remote Sens. 2003, 69, 1053–1063. [Google Scholar]
- Wang, Y.; Du, H.; Xu, Y.; Lu, D.; Wang, X.; Guo, Z. Temporal and spatial variation relationship and influence factors on surface urban heat island and ozone pollution in the Yangtze River Delta, China. Sci. Total Environ. 2018, 631, 921–933. [Google Scholar]
- Bartesaghi Koc, C.; Osmond, P.; Peters, A. Evaluating the cooling effects of green infrastructure: A systematic review of methods, indicators and data sources. Sol. Energy 2018, 166, 486–508. [Google Scholar]
- Bowler, D.E.; Buyung-Ali, L.; Knight, T.M.; Pullin, A.S. Urban greening to cool towns and cities: A systematic review of the empirical evidence. Landsc. Urban Plan. 2010, 97, 147–155. [Google Scholar]
- Deilami, K.; Kamruzzaman, M.; Liu, Y. Urban heat island effect: A systematic review of spatio-temporal factors, data, methods, and mitigation measures. Int. J. Appl. Earth Obs. Geoinf. 2018, 67, 30–42. [Google Scholar]
- Lamb, W.F.; Creutzig, F.; Callaghan, M.W.; Minx, J.C. Learning about urban climate solutions from case studies. Nat. Clim. Change 2019, 9, 279. [Google Scholar]
- Gunawardena, K.R.; Wells, M.J.; Kershaw, T. Utilising green and bluespace to mitigate urban heat island intensity. Sci. Total Environ. 2017, 584, 1040–1055. [Google Scholar]
- Cheng, L.; Guan, D.; Zhou, L.; Zhao, Z.; Zhou, J. Urban cooling island effect of main river on a landscape scale in Chongqing. China. Sustain. Cities Soc. 2019, 47, 101501. [Google Scholar]
- Du, H.; Song, X.; Jiang, H.; Kan, Z.; Wang, Z.; Cai, Y. Research on the cooling island effects of water body: A case study of Shanghai, China. Ecol. Indic. 2016, 67, 31–38. [Google Scholar]
- Chang, C.; Li, M.; Chang, S. A preliminary study on the local cool-island intensity of Taipei city parks. Landsc. Urban Plan. 2007, 80, 386–395. [Google Scholar]
- Hathway, E.A.; Sharples, S. The interaction of rivers and urban form in mitigating the Urban Heat Island effect: A UK case study. Build. Environ. 2012, 58, 14–22. [Google Scholar]
- Moyer, A.N.; Hawkins, T.W. River effects on the heat island of a small urban area. Urban Clim. 2017, 21, 262–277. [Google Scholar]
- Murakawa, S.; Sekine, T.; Narita, K.I.; Nishina, D. Study of the effects of a river on the thermal environment in an urban area. Energy Build. 1991, 16, 993–1001. [Google Scholar]
- Jiang, L.; Liu, S.; Liu, C.; Feng, Y. How do urban spatial patterns influence the river cooling effect? A case study of the Huangpu Riverfront in Shanghai, China. Sustain. Cities Soc. 2021, 69, 102835. [Google Scholar]
- Xue, Z.; Hou, G.; Zhang, Z.; Lyu, X.; Jiang, M.; Zou, Y.; Shen, X.; Wang, J.; Liu, X. Quantifying the cooling-effects of urban and peri-urban wetlands using remote sensing data: Case study of cities of Northeast China. Landsc. Urban Plan. 2019, 182, 92–100. [Google Scholar]
- Sun, R.; Chen, L. How can urban water bodies be designed for climate adaptation? Landsc. Urban Plan. 2012, 105, 27–33. [Google Scholar]
- Wu, J.; Li, C.; Zhang, X.; Zhao, Y.; Liang, J.; Wang, Z. Seasonal variations and main influencing factors of the water cooling islands effect in Shenzhen. Ecol. Indic. 2020, 117, 106699. [Google Scholar]
- Verhagen, W.; Van Teeffelen, A.J.A.; Compagnucci, A.B.; Poggio, L.; Gimona, A.; Verburg, P.H. Effects of landscape configuration on mapping ecosystem service capacity: A review of evidence and a case study in Scotland. Landsc. Ecol. 2016, 31, 1457–1479. [Google Scholar]
- Sun, R.; Chen, L. Effects of green space dynamics on urban heat islands: Mitigation and diversification. Ecosyst. Serv. 2017, 23, 38–46. [Google Scholar]
- Peng, J.; Liu, Q.; Xu, Z.; Lyu, D.; Du, Y.; Qiao, R.; Wu, J. How to effectively mitigate urban heat island effect? A perspective of waterbody patch size threshold. Landsc. Urban Plan. 2020, 202, 103873. [Google Scholar]
- Jiang, Y.; Huang, J.; Shi, T.; Li, X. Cooling Island Effect of Blue-Green Corridors: Quantitative Comparison of Morphological Impacts. Int. J. Environ. Res. Public Health 2021, 18, 11917. [Google Scholar]
- Kang, X.M.; Cui, L.J.; Zhao, X.S. Analysis on the function of relieving heat island effect in wetland in Beijing. Chin. Agric. Sci. Bull. 2015, 31, 199–205. [Google Scholar]
- Wang, Y.; Ouyang, W. Investigating the heterogeneity of water cooling effect for cooler cities. Sustain. Cities Soc. 2021, 75, 103281. [Google Scholar]
- Peng, J.; Dan, Y.; Qiao, R.; Liu, Y.; Dong, J.; Wu, J. How to quantify the cooling effect of urban parks? Linking maximum and accumulation perspectives. Remote Sens. Environ. 2021, 252, 112135. [Google Scholar]
- Toparlar, Y.; Blocken, B.; Maiheu, B.; van Heijst, G.J.F. The effect of an urban park on the microclimate in its vicinity: A case study for Antwerp, Belgium. Int. J. Climatol. 2018, 38, E303–E322. [Google Scholar]
- Cheng, X.; Wei, B.; Chen, G.; Li, J.; Song, C. Influence of park size and its surrounding urban landscape patterns on the park cooling effect. J. Urban Plan. Dev. 2015, 141, A4014002. [Google Scholar]
- Zhou, Y.; Gao, W.; Yang, C.; Shen, Y. Exploratory analysis of the influence of landscape patterns on lake cooling effect in Wuhan, China. Urban Clim. 2021, 39, 100969. [Google Scholar]
- Feyisa, G.L.; Dons, K.; Meilby, H. Efficiency of parks in mitigating urban heat island effect: An example from Addis Ababa. Landsc. Urban Plan. 2014, 123, 87–95. [Google Scholar]
- Yang, K.; Yu, Z.; Luo, Y.; Yang, Y.; Zhao, L.; Zhou, X. Spatial and temporal variations in the relationship between lake water surface temperatures and water quality—A case study of Dianchi Lake. Sci. Total Environ. 2018, 624, 859–871. [Google Scholar]
- Zhan, X.; Bo, Y.; Zhou, F.; Liu, X.; Paerl, H.W.; Shen, J.; Wang, R.; Li, F.; Tao, S.; Dong, Y.; et al. Evidence for the Importance of Atmospheric Nitrogen Deposition to Eutrophic Lake Dianchi, China. Environ. Sci. Technol. 2017, 51, 6699–6708. [Google Scholar]
- Gómez, C.; White, J.C.; Wulder, M.A. Optical remotely sensed time series data for land cover classification: A review. ISPRS J. Photogramm. Remote Sens. 2016, 116, 55–72. [Google Scholar]
- Calderón-Loor, M.; Hadjikakou, M.; Bryan, B.A. High-resolution wall-to-wall land-cover mapping and land change assessment for Australia from 1985 to 2015. Remote Sens. Environ. 2021, 252, 112148. [Google Scholar]
- Yang, J.; Huang, X. The 30 m annual land cover dataset and its dynamics in China from 1990 to 2019. Earth Syst. Sci. Data 2021, 13, 3907–3925. [Google Scholar]
- Wu, C.; Lung, S.C.; Jan, J. Development of a 3-D urbanization index using digital terrain models for surface urban heat island effects. ISPRS J. Photogramm. Remote Sens. 2013, 81, 1–11. [Google Scholar]
- Zhou, X.; Chen, H. Impact of urbanization-related land use land cover changes and urban morphology changes on the urban heat island phenomenon. Sci. Total Environ. 2018, 635, 1467–1476. [Google Scholar] [PubMed]
- Smith, W.K.; Nobel, P.S. Influences of seasonal changes in leaf morphology on water-use efficiency for three desert broadleaf shrubs. Ecology 1977, 58, 1033–1043. [Google Scholar]
Disclaimer/Publisher’s Note: The statements, opinions and data contained in all publications are solely those of the individual author(s) and contributor(s) and not of MDPI and/or the editor(s). MDPI and/or the editor(s) disclaim responsibility for any injury to people or property resulting from any ideas, methods, instructions or products referred to in the content. |
© 2025 by the authors. Licensee MDPI, Basel, Switzerland. This article is an open access article distributed under the terms and conditions of the Creative Commons Attribution (CC BY) license (https://creativecommons.org/licenses/by/4.0/).










