Analysis of Fine Dust Impacts on Incheon and Busan Port Areas Resulting from Port Emission Reduction Measures
Abstract
1. Introduction
2. Methods
2.1. Model Description
2.2. Emissions Inventory and Scenarios
- (1)
- Base Scenario, using CAPSS 2016 emissions;
- (2)
- Business As Usual (BAU) Scenario, simulating the projected 2025 air quality assuming no implementation of port emission reduction measures;
- (3)
- Reduction Scenario 1;
- (4)
- Reduction Scenario 2, with both incorporating different levels of emission control strategies for ports.
2.3. Modeling Performance Evaluation Methodology
3. Results and Discussion
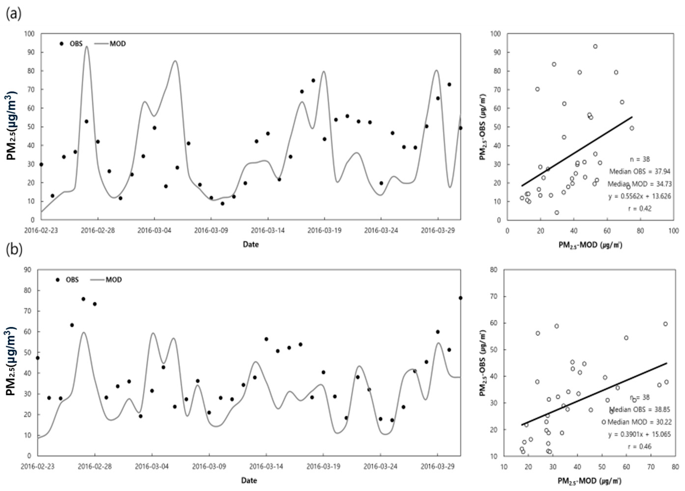
3.1. Modeling Performance
3.2. BAU Scenario
3.3. Major Ionic Species During High-Concentration PM2.5 Events
3.4. Benefits of Port Emission Controls (S1 and S2)
3.5. Analysis of Sulfate Concentration Changes
4. Conclusions
Author Contributions
Funding
Institutional Review Board Statement
Informed Consent Statement
Data Availability Statement
Acknowledgments
Conflicts of Interest
References
- Kim, M.-J.; Baek, K.-M.; Heo, J.-B.; Cheong, J.-P.; Baek, S.-O. Concentrations, health risks, and sources of hazardous air pollutants in Seoul-Incheon, a megacity area in Korea. Air Qual. Atmos. Health 2021, 14, 873–893. [Google Scholar] [CrossRef]
- Zhao, T.-T.; Pham, T.-H.; Lee, H.-S. An study on estimating cargo handling equipment emission in the Port of Incheon. J. Korea Port Econ. Assoc. 2020, 36, 21–38. [Google Scholar] [CrossRef]
- Korea Maritime Institute (KMI). Establishment of the Measures for Fine Dust in Port Cities, KMI Trend Analysis. 2017, Vol. 28. Available online: https://www.kmi.re.kr/web/trebook/view.do?rbsIdx=273&page=31&idx=30 (accessed on 27 April 2025).
- Ali, M.; Hussain, I.; Mehmud, I.; Umair, M.; Hu, S.; Sharif, H.M.A. Recent Breakthroughs and Advancements in NOX and SOX Reduction using Nanomaterials-Based Technologies: A State-of-the-Art Review. Nanomaterials 2021, 11, 3301. [Google Scholar] [CrossRef]
- Windell, L.C. The Impact of Changing Shipping Emissions on the Atmospheric Deposition of Trace Elements and Sulfur to the Western English Channel and Coastal Zone. Pearl. Available online: https://pearl.plymouth.ac.uk/gees-theses/183 (accessed on 27 April 2025).
- Capaldo, K.; Corbett, J.J.; Kasibhatla, P.; Fischbeck, P.; Pandis, S.N. Effects of ship emissions on sulphur cycling and radiative climate forcing over the ocean. Nature 1999, 400, 743–746. [Google Scholar] [CrossRef]
- Eyring, V.; Köhler, H.W.; Van Aardenne, J.; Lauer, A. Emissions from international shipping: 1. The last 50 years. J. Geophys. Res. Atmos. 2005, 110. [Google Scholar] [CrossRef]
- Son, Y.K. A Study on Improvement Measurement on the Management of Air Pollution Matter from Ships; Korea Marimine & Ocean University: Busan, Republic of Korea, 2018; Available online: http://www.dcollection.net/handler/kmo (accessed on 27 April 2025).
- International Maritime Organization (IMO). Study on Effects of the Entry into Force of the Global 0.5% Fuel Oil Sulphur Content Limit on Human Health, Marine Environment Projection, MEPC 70/INF.34. 2016. Available online: https://edocs.imo.org/FinalDocuments/English/MEPC70-INF.34(E).docx (accessed on 27 April 2025).
- Park, H.; Cho, S. The effects of NH3 emission reduction on secondary inorganic aerosols evaluated by CMAQ. J. Korean Soc. Atmos. Environ. 2020, 36, 375–387. [Google Scholar] [CrossRef]
- National Institute of Environmental Research (NIER). Air Quality Modeling Guidelines; National Institute of Environmental Research (NIER), 2013; ISBN 978-89-6558-173-1. Available online: https://ecolibrary.me.go.kr/nier/#/search/detail/5568384 (accessed on 27 April 2025).
- Eder, B.; Yu, S. A performance evaluation of the 2004 release of Models-3 CMAQ. Atmos. Environ. 2006, 40, 4811–4824. [Google Scholar] [CrossRef]
- Yu, S.; Mathur, R.; Pleim, J.; Wong, D.; Gilliam, R.; Alapaty, K.; Zhao, C.; Liu, X. Aerosol indirect effect on the grid-scale clouds in the two-way coupled WRF–CMAQ: Model description, development, evaluation and regional analysis. Atmos. Chem. Phys. 2014, 14, 11247–11285. [Google Scholar] [CrossRef]
- Emery, C.; Liu, Z.; Russell, A.G.; Odman, M.T.; Yarwood, G.; Kumar, N. Recommendations on statistics and benchmarks to assess photochemical model performance. J. Air Waste Manag. Assoc. 2016, 67, 582–598. [Google Scholar] [CrossRef]
- Ministry of Environment (MOE). Special Measures to Respond to High Concentrations of Fine Dust (‘19.12~’20.3); Ministry of Environment: Sejong, Republic of Korea, 2019. Available online: https://spprmc.inha.ac.kr/spprmc/10824/subview.do;jsessionid=17FDD4B887F5FFED9352406730F1EFBF?enc=Zm5jdDF8QEB8JTJGYmJzJTJGc3Bwcm1jJTJGMjc1NiUyRjEzNzQyNSUyRmFydGNsVmlldy5kbyUzRg%3D%3D (accessed on 27 April 2025).
- Han, S.H.; Kim, Y.P. Long-term Trends of the Concentrations of Mass and Chemical Composition in PM2.5 over Seoul. J. Korean Soc. Atmos. Environ. 2015, 31, 143–156. [Google Scholar]
- Choi, J.; Park, R.J.; Lee, H.M.; Lee, S.; Jo, D.S.; Jeong, J.I.; Henze, D.K.; Woo, J.H.; Ban, S.J.; Lee, M.D.; et al. Impacts of local vs. trans-boundary emissions from different sectors on PM2.5 exposure in South Korea during the KORUS-AQ campaign. Atmos. Environ. 2019, 203, 196–205. [Google Scholar] [CrossRef]
- Jordan, C.E.; Crawford, J.H.; Beyersdorf, A.J.; Eck, T.F.; Halliday, H.S.; Nault, B.A.; Chang, L.S.; Park, J.; Park, R.; Lee, G.; et al. Investigation of factors controlling PM2.5 variability across the South Korean Peninsula during KORUS-AQ. Elem. Sci. Anthr. 2020, 8, 28. [Google Scholar] [CrossRef] [PubMed]
- Tang, B.; Saide, P.E.; Gao, M.; Carmichael, G.R.; Stanier, C.O. WRF-Chem quantification of transport events and emissions sensitivity in Korea during KORUS-AQ. Elem. Sci. Anthr. 2023, 11, 00096. [Google Scholar] [CrossRef]
- Bae, C.; Kim, B.-U.; Kim, H.C.; Yoo, C.; Kim, S. Long-Range Transport Influence on Key Chemical Components of PM2.5 in the Seoul Metropolitan Area, South Korea, during the Years 2012–2016. Atmosphere 2019, 11, 48. [Google Scholar] [CrossRef]
- Lee, H.W.; Won, G.M.; Jung, W.S.; Oh, E.J.; Kim, M.S.; Do, W.G. A numerical simulation of air pollutant concentration considering land and sea breeze in Ulsan area. J. Korean Environ. Sci. Soc. 2002, 11, 933–943. [Google Scholar] [CrossRef]
- Seoul Institute of Health & Environment (SIHE). Chemical Characteristics of Fine Dust(PM2.5) at Seoul in 2019; Seoul Institute of Health & Environment: Seoul, Republic of Korea, 2020; ISBN 979-11-6599-098-5. [Google Scholar] [CrossRef]
- Pinder, R.W.; Dennis, R.L.; Bhave, P.V. Observable indicators of the sensitivity of PM2.5 nitrate to emission reductions—Part I: Derivation of the adjusted gas ratio and applicability at regulatory-relevant time scales. Atmos. Environ. 2007, 42, 1275–1286. [Google Scholar] [CrossRef]
- Wang, M.; Xiao, M.; Bertozzi, B.; Marie, G.; Rörup, B.; Schulze, B.; Bardakov, R.; He, X.C.; Shen, J.; Scholz, W.; et al. Synergistic HNO3–H2SO4–NH3 upper tropospheric particle formation. Nature 2022, 605, 483–489. [Google Scholar] [CrossRef]
- Zhang, Q.; Xue, D.; Liu, X.; Gong, X.; Gao, H. Process analysis of PM2.5 pollution events in a coastal city of China using CMAQ. J. Environ. Sci. 2018, 79, 225–238. [Google Scholar] [CrossRef]
- Liu, P.; Zhang, Y.; Yu, S.; Schere, K.L. Use of a process analysis tool for diagnostic study on fine particulate matter predictions in the U.S.–Part II: Analyses and sensitivity simulations. Atmos. Pollut. Res. 2010, 2, 61–71. [Google Scholar] [CrossRef]
- Park, S.S.; Cho, S.Y.; Kim, S.J. Chemical characteristics of water soluble components in fine particulate matter at a Gwangju area. Korean Chem. Eng. Res. 2009, 48, 20–26. [Google Scholar]
- Cefalì, A.M. Systems and Technologies for the Implementation of Proficiency Tests Applied to Gaseous Micropollutants. Ph.D. Thesis, University of Milano-Bicocca, Milan, Italy, 2024. Available online: https://boa.unimib.it/retrieve/22152f64-1542-43bd-b778-2274b61d1b5f/phd_unimib_755646.pdf (accessed on 27 April 2025).
- Williams, J.; Metzer, S.; Remy, S.; Huijnen, V.; Flemming, J. An Evaluation of the Regional Distribution and Wet Deposition of Secondary INORGANIC Aerosols and Their Gaseous Precursors in IFS-COMPO Cycle 49R1; European Geosciences Union: Vienna, Austria, 2024. [Google Scholar]
- Xie, F.; Su, Y.; Tian, Y.; Shi, Y.; Zhou, X.; Wang, P.; Yu, R.; Wang, W.; He, J.; Xin, J.; et al. The shifting of secondary inorganic aerosol formation mechanisms during haze aggravation: The decisive role of aerosol liquid water. Atmos. Chem. Phys. 2023, 23, 2365–2378. [Google Scholar] [CrossRef]







| WRF Initial Data | NCEP FNL Operational Global Analysis Data |
|---|---|
| SMOKE input data | Northeast Asia emissions
|
| CMAQ chemical option | SAPRC-99 AERO5 (5th generation CMAQ aerosol module) Yamartino scheme (advection) ACM2 (Asymmetric Convective Model version 2: vertical diffusion) hetchem.f: organic interferences reduce the uptake by up to 20% |
| Pollutants | Base (2016) | BAU (2025) |
|---|---|---|
| CO | 62,707 | 113,707 |
| NOx | 174,453 | 200,620 |
| SOx | 42,560 | 51,520 |
| PM10 | 8226 | 10,837 |
| PM2.5 | 7581 | 10,070 |
| VOCs | 21,368 | 45,505 |
| Port Emission Sources | CO | NOx | SOx | PM10 | PM2.5 | VOCs | |
|---|---|---|---|---|---|---|---|
| Passenger ships | B-C | - | 63.46% | 17.78% | 19.46% | 19.54% | - |
| Diesel | 94.35% | 93.54% | 15.62% | 18.59% | 18.73% | 93.58% | |
| B-A, B-B | - | - | 17.94% | 20.48% | 20.56% | - | |
| Freighters | Administrative district | 70.59% | 70.59% | 12.56% | 14.38% | 14.40% | 70.59% |
| Sea site | - | - | 17.79% | 20.37% | 20.40% | - | |
| Fishing boats | - | - | 89.69% | 93.26% | 93.37% | - | |
| Leisure ships | - | - | 89.69% | 93.26% | 93.37% | - | |
| Cargo handling equipment | 85.77% | 39.42% | - | 32.95% | 34.03% | 66.84% | |
| Vehicles in port area | 95.30% | 86.77% | - | 82.56% | 82.56% | 90.50% | |
| Variables | Mean (µg/m3) | R | NMB | NME | MB | RMSE | IOA | |
|---|---|---|---|---|---|---|---|---|
| Observation | Modeling | |||||||
| Incheon Sinheung | 37.94 | 34.73 | 0.65 | −8.47% | 46.55% | −3.21 | 23.4 | 0.65 |
| Busan Gwangbok | 38.85 | 30.22 | 0.64 | −22.21% | 34.97% | −8.63 | 18.04 | 0.64 |
| High Concentration Date of PM2.5 | PM2.5 Component Proportion | Highest Proportion Component | |||
|---|---|---|---|---|---|
| Ammonium | Sulfate | Nitrate | |||
| Incheon Port | 03-03 (67.02 µg/m3) | 5.97% | 10.87% | 5.56% | Sulfate |
| 03-04 (61.47 µg/m3) | 5.70% | 10.02% | 6.14% | Sulfate | |
| 03-05 (80.85 µg/m3) | 4.22% | 8.29% | 4.15% | Sulfate | |
| 03-06 (73.53 µg/m3) | 5.74% | 12.06% | 4.98% | Sulfate | |
| 03-17 (63.70 µg/m3) | 13.07% | 5.79% | 36.91% | Nitrate | |
| 03-18 (51.70 µg/m3) | 11.99% | 4.05% | 34.91% | Nitrate | |
| 03-19 (56.69 µg/m3) | 5.29% | 11.15% | 4.04% | Sulfate | |
| 03-28 (59.37 µg/m3) | 8.10% | 12.23% | 9.60% | Sulfate | |
| 03-29 (81.47 µg/m3) | 6.58% | 14.53% | 4.61% | Sulfate | |
| 03-31 (60.36 µg/m3) | 9.88% | 6.07% | 24.53% | Nitrate | |
| Busan port | 03-04 (68.57 µg/m3) | 2.48% | 8.07% | 0.60% | Sulfate |
| 03-05 (53.50 µg/m3) | 1.29% | 12.60% | 0.02% | Sulfate | |
| 03-06 (62.95 µg/m3) | 4.47% | 9.28% | 4.62% | Sulfate | |
| 03-29 (56.98 µg/m3) | 7.18% | 19.55% | 4.74% | Sulfate | |
| Pollutants | Port | BAU Scenario | Reduction Scenario I | Reduction Scenario II | ||
|---|---|---|---|---|---|---|
| Monthly Average Concentration | Monthly Average Concentration | Concentration Reduction Rate | Monthly Average Concentration | Concentration Reduction Rate | ||
| PM2.5 | Incheon Port | 35.53 µg/m3 | 33.72 µg/m3 | 5.08% | 33.42 µg/m3 | 5.93% |
| Pyeongtaek Dangjin port | 43.96 µg/m3 | 43.06 µg/m3 | 2.06% | 42.86 µg/m3 | 2.51% | |
| Busan port | 32.35 µg/m3 | 24.39 µg/m3 | 24.60% | 23.20 µg/m3 | 28.29% | |
| Ulsan port | 31.87 µg/m3 | 30.70 µg/m3 | 3.66% | 30.55 µg/m3 | 4.12% | |
| SO2 | Incheon Port | 11.1 ppb | 6.6 ppb | 40.58% | 6.3 ppb | 43.71% |
| Pyeongtaek Dangjin port | 8.3 ppb | 6.5 ppb | 21.63% | 6.4 ppb | 23.31% | |
| Busan port | 37.7 ppb | 11.7 ppb | 68.94% | 9.7 ppb | 74.32% | |
| Ulsan port | 42.2 ppb | 39.7 ppb | 5.99% | 39.5 ppb | 6.45% | |
| Area | Date | Sulfate (μg/m3) | Nitrate (μg/m3) | Ammonium (μg/m3) | ||||||
|---|---|---|---|---|---|---|---|---|---|---|
| BAU | Red I | Red II | BAU | Red I | Red II | BAU | Red I | Red II | ||
| Incheon | 3/3 | 6.125 | −0.070 | −0.062 | 3.132 | +0.013 | −0.022 | 3.364 | −0.017 | −0.024 |
| 3/4 | 7.194 | −0.184 | −0.183 | 4.410 | +0.021 | −0.016 | 4.095 | −0.062 | −0.074 | |
| 3/5 | 6.053 | −0.158 | −0.168 | 3.030 | +0.029 | +0.009 | 3.082 | −0.037 | −0.046 | |
| 3/6 | 8.234 | −0.027 | −0.024 | 3.403 | +0.017 | +0.024 | 3.921 | −0.002 | 0.000 | |
| Busan | 3/4 | 5.513 | −0.365 | −0.393 | 0.413 | +0.011 | +0.018 | 1.695 | −0.006 | −0.004 |
| 3/5 | 5.975 | −0.489 | −0.532 | 0.010 | 0.000 | 0.000 | 0.611 | 0.000 | 0.000 | |
| 3/6 | 6.218 | −1.536 | −1.612 | 3.095 | +0.398 | +0.429 | 2.995 | −0.007 | −0.009 | |
Disclaimer/Publisher’s Note: The statements, opinions and data contained in all publications are solely those of the individual author(s) and contributor(s) and not of MDPI and/or the editor(s). MDPI and/or the editor(s) disclaim responsibility for any injury to people or property resulting from any ideas, methods, instructions or products referred to in the content. |
© 2025 by the authors. Licensee MDPI, Basel, Switzerland. This article is an open access article distributed under the terms and conditions of the Creative Commons Attribution (CC BY) license (https://creativecommons.org/licenses/by/4.0/).
Share and Cite
Kang, M.-S.; Kim, J.-H.; Sunwoo, Y.; Hong, K.-H. Analysis of Fine Dust Impacts on Incheon and Busan Port Areas Resulting from Port Emission Reduction Measures. Atmosphere 2025, 16, 521. https://doi.org/10.3390/atmos16050521
Kang M-S, Kim J-H, Sunwoo Y, Hong K-H. Analysis of Fine Dust Impacts on Incheon and Busan Port Areas Resulting from Port Emission Reduction Measures. Atmosphere. 2025; 16(5):521. https://doi.org/10.3390/atmos16050521
Chicago/Turabian StyleKang, Moon-Seok, Jee-Ho Kim, Young Sunwoo, and Ki-Ho Hong. 2025. "Analysis of Fine Dust Impacts on Incheon and Busan Port Areas Resulting from Port Emission Reduction Measures" Atmosphere 16, no. 5: 521. https://doi.org/10.3390/atmos16050521
APA StyleKang, M.-S., Kim, J.-H., Sunwoo, Y., & Hong, K.-H. (2025). Analysis of Fine Dust Impacts on Incheon and Busan Port Areas Resulting from Port Emission Reduction Measures. Atmosphere, 16(5), 521. https://doi.org/10.3390/atmos16050521

