Next Article in Journal
Urban Impacts on Convective Squall Lines over Chicago in the Warm Season—Part I: Observations of Multi-Scale Convective Evolution
Next Article in Special Issue
An Integrated Hydrological–Hydrodynamic Model Based on GPU Acceleration for Catchment-Scale Rainfall Flood Simulation
Previous Article in Journal
Analysis of Extreme Wind Pressure Based on Extreme Value Distribution Theory
Previous Article in Special Issue
Modeling Return Levels of Non-Stationary Rainfall Extremes Due to Climate Change
 
 
Font Type:
Arial Georgia Verdana
Font Size:
Aa Aa Aa
Line Spacing:
Column Width:
Background:
Article

A Comprehensive Analysis of Urban Flooding Under Different Rainfall Patterns: A Full-Process Perspective in Haining, China

1
School of Geomatics, Zhejiang University of Water Resources and Electric Power, No. 508, No. 2 Street, Qiantang District, Hangzhou 310018, China
2
School of Information Science and Technology, Hangzhou Normal University, Yuhangtang Road No. 2318, Hangzhou 311121, China
3
Hangzhou Meteorological Bureau, Hangzhou 310051, China
4
Faculty of Geo-Information Science and Earth Observation (ITC), University of Twente, 7500AE Enschede, The Netherlands
*
Author to whom correspondence should be addressed.
Atmosphere 2025, 16(3), 305; https://doi.org/10.3390/atmos16030305
Submission received: 5 January 2025 / Revised: 2 March 2025 / Accepted: 3 March 2025 / Published: 6 March 2025
(This article belongs to the Special Issue Advances in Rainfall-Induced Hazard Research)

Abstract

Urban flooding, driven by extreme rainfall events and urbanization, poses substantial risks to urban safety and infrastructure. This study employed a neighborhood-scale InfoWorks ICM model to analyze the full-process impacts of urban flooding under six rainfall return periods in Haining, China. The results reveal distinct non-linear responses from the 3-year to 50-year rainfall return period: (1) the surface runoff volume increases by 64.3%, with peak timing advancing by about one minute; (2) the overflow nodes rise from 37.35% to 63.24%, with durations over 30 min increasing by 78.6%; (3) the inundation areas expand by 164.9%, with maximum depths increasing by 0.31 m, showing significant regional disparities; and (4) high-risk zones, such as Haining People’s Square and Railway Station, require targeted interventions due to severe surface overflow and inundation. This comprehensive analysis emphasizes the need for tailored and phased flood prevention measures that address each stage of urban flooding. It provides a strong framework to guide urban planning and enhance resilience against rainfall-induced urban flooding.

1. Introduction

Urban flooding has become a global challenge [1,2,3], frequently causing severe damage to infrastructure and the economy, and threats to urban safety and sustainability [4]. Rapid urbanization has led to large-scale impervious surface development, significantly altering the natural hydrological cycle, reducing infiltration capacity, and intensifying stormwater runoff [5]. Moreover, with climate change driving the frequency and intensity of extreme rainfall events, the urban flooding risk has increased worldwide [6,7]. For example, the 2019 extreme rainfall event in Shenzhen, China, with a 30 min rainfall intensity of 73.4 mm (a 50-year return period), led to widespread flooding, causing 11 deaths [8]. Similar events in cities from Dhaka, Bangladesh [9] to Rotterdam, the Netherlands [10], and New York, USA [11], underscore the urgent need for effective flood and infrastructure management strategies.
Previous studies have identified rainfall as a primary driver of urban flooding [12]. For instance, O’Donnell and Thorne used empirical evidence to demonstrate that changes in rainfall are a major factor contributing to increased flood risk in the UK [13].The Intergovernmental Panel on Climate Change (IPCC) has also reported regional increases in heavy precipitation frequency and intensity [14], which are expected to exacerbate urban flooding. Additionally, previous studies have explored the impacts of different rainfall patterns on urban flooding and highlighted the significant risks posed by single-peak rainfall events [15,16,17]. For example, Qi et al. studied different rainfall patterns and found that under the same total rainfall, single-peak patterns posed the greatest risk of flooding in Haikou [12]. Similarly, Fan et al. simulated spatiotemporal flood variations in substations under rainfall events and found that single-peak rainfall caused higher flood risks than double-peak patterns [18]. However, the existing research often evaluates single rainfall scenarios, neglecting the impact of varying return periods on the flood dynamics process. Consequently, the effects of rainfall on the full urban flooding process—including rainfall dynamics, surface runoff generation, drainage system capacity, peak flow variations, and surface inundation—remain poorly understood. This gap in understanding limits the development of effective and comprehensive flood mitigation strategies.
Over the past decades, advancements in hydrological models such as the Storm Water Management Model [19], LISFLOOD [20], MIKE URBAN [21], and InfoWorks ICM [22] have significantly enhanced flood simulation. However, most existing models analyze the individual components of urban flooding in isolation, rather than capturing the integrated dynamics of the entire flood process. For instance, SWMM, a widely used one-dimensional rainfall-runoff model, lacks the capability to simulate the flood extent and interactions between surface and subsurface systems. Similarly, LISFLOOD excels at simulating large-scale river hydrology but is less suited for urban environments due to its limited capacity for detailed urban drainage modeling [23]. MIKE Urban, on the other hand, provides detailed simulations of sewer network performance but often neglects overflow diffusion processes, restricting its applicability for integrated flood risk assessments. In contrast, InfoWorks ICM stands out by offering a comprehensive modeling framework that integrates one-dimensional hydrodynamic simulations of sewer networks with two-dimensional surface water modeling. Its ability to fully solve the Saint-Venant equations for sewer flow and apply finite volume methods for surface flooding allows for the detailed simulation of coupled interactions between surface and drainage systems. This capability makes it particularly well suited for assessing the entire urban flooding process, from rainfall to runoff, sewer overflow, and surface inundation, addressing key gaps in the existing research and providing a full process for flood risk assessment and informing effective flood mitigation strategies.
This study aims to systematically investigate the impact of rainfall events with varying return periods on the entire urban flooding process, including surface runoff formation, peak flow, sewer overflow, and surface inundation. By coupling surface hydrology and drainage system dynamics, this study provides a holistic analysis of urban flooding under different rainfall scenarios. Key contributions include the following: (1) A comprehensive evaluation of the entire flooding process, from rainfall to surface inundation. (2) Insights into the differential impacts of rainfall with varying return periods, addressing existing knowledge gaps. (3) A novel framework for urban flood risk assessment, providing insights for comprehensive flood management—including storage, early warning systems, land-use planning, and drainage system design. By enhancing the understanding of urban flooding mechanisms, this research supports resilient urban planning and contributes to effective responses to extreme rainfall events under future climate scenarios.

2. Materials and Methods

2.1. Study Area

Haining is located in the northwest of Zhejiang Province, P.R. China (Figure 1a). It experiences a subtropical monsoon climate, with an average annual precipitation of 1613.9 mm, characterized by hot, humid summers and significant rainfall concentrated from May to September [24]. This rain–heat synchrony, combined with extensive urban development, makes Haining highly prone to urban flooding. Historically, Haining has faced recurrent flood challenges. For instance, during Typhoon Lekima in 2019, the city experienced record-breaking rainfall, with hourly intensities exceeding 50 mm and widespread inundation in urban and low-lying areas. Over 150,000 people were displaced in Zhejiang Province, with significant impacts in Haining. Similarly, a rainstorm in 2021 caused local surface water accumulation and overwhelmed drainage systems, underscoring the urgent need for robust flood risk management. These climatic and hydrological vulnerabilities, coupled with urban expansion, position Haining as a critical case study for comprehensive urban flooding process analysis.

2.2. Data Sources and Preprocessing

(1) Digital Elevation Model (DEM)
The DEM used in this study has a spatial resolution of 2 m, with a vertical accuracy of ±0.15 m, generated using imagery captured by Unmanned Aerial Vehicles (UAVs). This resolution ensures sufficient precision for urban flood modeling, capturing detailed terrain variations essential for hydrodynamic simulations.
(2) UAV remote sensing imagery
The UAV remote sensing imagery was obtained through UAV aerial photography, with a mapping scale of 1:5000 and a spatial resolution of 0.5 m. The imagery consists of three channels: red (R), green (G), and blue (B).
(3) Land use data
The land use data were provided by the Haining Natural Resources and Planning Bureau. Based on the classification system from the Third National Land Survey, the land use in Haining City is divided into 25 categories.
(4) Drainage network data
The drainage network data were provided by the Haining Natural Resources and Planning Bureau. These data include drainage nodes and drainage pipelines. The attributes of the drainage nodes mainly include node ID, type, and surface elevation, while the attributes of the drainage pipelines include the IDs of the corresponding upstream and downstream nodes, bottom elevation, length, diameter, and material. There are 8027 drainage nodes and 7950 drainage pipelines in the study area.
(5) Rainfall design
Based on the rainfall intensity formula, six scenarios with different rainfall return periods were used to examine variations in urban flood responses. Referring to the Zhejiang Provincial Engineering Construction Standard—Rainfall Intensity Calculation Standard (DB33/T1191-2020), the rainfall intensity formula for Haining City is as follows:
  q = 1686.867 × ( 1 + 1.057 lg P ) ( t + 11.300 ) 0.682
where q is the design rainfall intensity [L/(s · hm2)], P is the rainfall return period (years), and t is the rainfall duration (mins). For model input, q is converted to i(mm/h) using the relation i = q/167, where i represents the rainfall intensity in mm/h.
Considering the requirements outlined in the National Standard of the People’s Republic of China—Outdoor Drainage Design Standard (GB 50014-2021), which specifies a rainfall return period of 2–3 years for the design of stormwater pipelines in the central areas of medium and small cities, a 3-year return period was selected as the minimum rainfall intensity in this study. Accordingly, six rainfall scenarios were designed with return periods of P = 3, 5, 10, 20, 30, and 50 years. The rainfall duration for all scenarios was set to 120 min, with a rainfall peak coefficient of 0.4. The temporal distribution of the designed rainfall scenarios is shown in Figure 2.
In this study, rainfall was applied uniformly across the 5 km2 study area based on a single rain gauge, with rainfall data provided at 1 min time steps. The rain gauge data, shown in Figure 2, correspond to the input values used for the simulation. Given the relatively small spatial extent of the study area, the spatial variability of rainfall distribution was assumed to be negligible. Therefore, a uniform rainfall approach was deemed appropriate for ensuring consistency in hydrological response and simplifying model implementation. The model does not adopt the rain-on-grid method as it uses a single point of rainfall input that is applied uniformly to the entire study area.

2.3. Urban Flood Modelling

2.3.1. InfoWorks ICM

InfoWorks ICM, developed by Innovyze®, is an integrated hydrological and hydrodynamic model used for simulating urban flooding processes. This model incorporates three main modules, including surface runoff calculations from the hydrological module, underground drainage simulations from the one-dimensional hydrodynamic module, and flood overflow spread from the two-dimensional hydrodynamic module. The model, using integrated catchment modeling (ICM), makes hydraulic assessments accurately and quickly, and covers the simulation of rivers, sewer systems, runoff, and surface flooding. Its flexible data exchange capabilities and GPU-based parallel processing significantly enhance both the efficiency and usability of two-dimensional hydrodynamic simulations.
A t + Q x = 0
Q t + x Q 2 A + g A h x = g A ( S 0 S f )
w h e r e   A represents the cross-sectional area of the pipe (m2), t is time (s), Q is the flow rate (m3/s), x is the length along the pipe in the flow direction (m) g   is gravity (m2/s), h is the water depth, S 0 is the bed slope, and S f is the friction slope (determined by empirical formulas such as Manning’s equation).
For two-dimensional surface flooding simulation, InfoWorks ICM uses the finite volume method to solve the shallow water equations. These equations are derived from the Navier–Stokes equations by simplifying vertical flow calculations, assuming that water flow primarily occurs in the horizontal direction. The mathematical formulation of the shallow water equations is as follows:
h t + h u x + h v x = q 1 D
h u t + x h u 2 + g h 2 2 + h u v y = g h S 0 , x S f , x + q 1 D u 1 D
h v t + x h v 2 + g h 2 2 + h u v y = g h S 0 , y S f , y + q 1 D v 1 D
where h refers to water depth (m), t is time (s), u and v are the velocity components in the x and y   directions (m/s), S 0 , x and S 0 , y represent the bottom slope components in the   x and y   directions (m2/s), S f , x and S f , y are the friction slope components in the x and y   directions (m2/s), q 1 D is outflow per unit (m3/s), and u 1 D and v 1 D denote the velocity components of q 1 D in the x and y   directions (m/s).

2.3.2. Model Validation

To assess the performance of the urban flooding model, two validation metrics were employed: the relative error ( δ ) and the Nash–Sutcliffe Efficiency (NSE) coefficient. δ evaluates the deviation between simulated ( S i ) and measured ( M i ) values, expressed as a percentage:
δ = S i M i M i × 100 %
The NSE coefficient measures the model’s ability to replicate observed values, with a value closer to 1 indicating better model performance:
N S E = 1 i = 1 n ( S i M i ) 2 i = 1 n ( M i M ¯ ) 2
where M ¯ is the mean of measured values and n is the total number of observations. Model validation was carried out using observed flow data from pipeline flow measurement equipment, located in the central part of the study area, as shown in Figure 1c. The validation process involved two rainfall events: one for calibration (an event on 3 August 2018) and one for validation (an event on 20 August 2018). The observed data, including flow measurements, were compared with the model results to assess the accuracy and reliability of the simulation. Detailed results of the validation process can be found in Table A2.

3. Results

3.1. Impact of Rainfall on Surface Runoff

3.1.1. Surface Runoff Depth Changes

Figure 3 illustrates the spatial distribution of the surface runoff depth (in mm) under six different rainfall return periods. Under low-intensity rainfall (Figure 3a–c), the overall spatial pattern of surface runoff remains relatively stable, with most areas exhibiting runoff depths below 55 mm. However, as the rainfall intensity increases (Figure 3d–f), the spatial variability of the runoff becomes more pronounced, with some areas exceeding 100 mm. Areas with higher surface runoff—notably around Haining People’s Square, Haining Railway Station, the northeastern side of Xishan Park, and residential areas near the intersection of Shuiyueting West Road and Meiyuan Road—experience substantial increases, with maximum runoff depths reaching approximately 110 mm under the highest rainfall intensity scenario (Figure 3f). In contrast, regions with lower surface runoff, including urban parks such as Xishan Park, Luotang River Park, and Meiyuan, generally maintain runoff depths below 55 mm across all return periods. This spatial distribution pattern and its response to increasing rainfall intensity align with the degree of runoff dispersion. Areas with higher surface runoff tend to be more sensitive to rainfall intensity changes, showing significantly larger increases in runoff depth compared to low-runoff regions, where changes remain moderate. Moreover, as rainfall intensity increases, both high and low runoff areas exhibit stronger spatial clustering, with these aggregation patterns becoming more distinct under extreme rainfall scenarios.

3.1.2. Peak Runoff Analysis

Peak runoff, representing the maximum surface runoff during a rainfall event, reflects the greatest stress imposed on the drainage system. Figure 4 illustrates the magnitude and corresponding timing of peak runoff under six different rainfall return periods. The range of peak runoff flow for return periods of 3, 5, 10, 20, 30, and 50 years is 0.008–1.251 m3/s, 0.009–1.493 m3/s, 0.012–1.827 m3/s, 0.014–2.167 m3/s, 0.016–2.368 m3/s, and 0.018–2.622 m3/s, respectively. Similar to the pattern of total surface runoff, the variability of peak runoff increases with rainfall intensity.
Additionally, the results indicate that in most areas, the peak runoff timing is concentrated between 52 and 55 min after the onset of rainfall, whereas regions with higher peak runoff volumes tend to experience peak runoff after 55 min. However, as rainfall intensity increases, the peak runoff timing shifts earlier, a trend that is particularly pronounced in areas with greater runoff accumulation. Figure 5 presents the overall surface runoff curve for the study area, demonstrating a lag between surface runoff peaks and rainfall peaks. As the rainfall intensity increases, the surface runoff peak advances by approximately 1 min. While this shift may appear minor, it has practical implications for urban flood management. A 1 min reduction in response time could place additional stress on the drainage infrastructure, potentially leading to earlier and more frequent system overflows. Moreover, for emergency flood mitigation measures, even a slight acceleration in peak runoff could reduce the available time for interventions, necessitating a proactive approach to drainage planning and urban resilience strategies.

3.2. Impact of Rainfall on Node Overflow

3.2.1. Node Overflow Changes

Node overflow refers to the phenomenon where the actual capacity of the urban drainage system exceeds its design limit, causing the system to fail to discharge incoming rainwater in time, which is one of the primary causes of urban flooding. Under different rainfall return periods, the proportion of overflow nodes increases with rainfall intensity. Specifically, the proportions of overflow nodes for the 3-year, 5-year, 10-year, 20-year, 30-year, and 50-year rainfall return periods are 37.35%, 45.00%, 51.76%, 57.06%, 59.41%, and 63.24%, respectively. Correspondingly, the maximum overflow volumes in the study area reach 3884 m3, 5042 m3, 6410 m3, 7617 m3, 8270 m3, and 9033 m3, respectively.
Regarding the duration time of node overflow, it was categorized into nine intervals of 15 min. The distribution of node overflow durations under different rainfall return periods is summarized in Table 1, which presents the percentage of overflow events occurring in each duration category. This classification highlights how the dominant duration intervals shift as the return period increases.
Trends in the overflow duration reveal a shift in system performance under increasing rainfall intensity. Short-duration overflows (<15 min) decrease significantly after the 10-year return period, reflecting a growing system burden as extreme rainfall conditions intensify. Medium-duration overflows (15–30 min) remain relatively stable across different return periods but show a noticeable decline under the 50-year return period, suggesting that higher rainfall intensities contribute to more persistent overflows beyond this interval. In contrast, longer-duration overflows (30–45 min) increase substantially, rising from 12.4% under the 5-year return period to 21.9% under the 50-year return period, indicating prolonged drainage system stress. Overflow durations exceeding 45 min exhibit only minor fluctuations, with variations generally within 5% across different return periods.
To assess the risk level of drainage networks, we classified the overflow risk based on overflow volume thresholds, using 100 m3 as the criterion. If a drainage node exceeds this threshold, even under a 3-year rainfall scenario, it indicates that even minor rainfall events can trigger significant overflows, classifying it as a high-risk drainage point. Conversely, if a drainage node remains below the threshold across all scenarios, including the 50-year return period, it is classified as being very low risk, indicating strong drainage capacity. Based on this classification, the six risk levels correspond to different rainfall return periods: very high, high, medium–high, medium, medium–low, and low risks correspond to the return periods of 3, 5, 10, 20, 30, and 50 years, respectively, while very low risk represents nodes that have never exceeded 100 m3 under any scenario as shown in Figure 6.

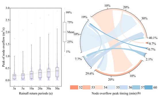
3.2.2. Peak Overflow Analysis

Based upon the simulation results, the overflow curves for all nodes under six rainfall return periods were analyzed, and peak overflow values and peak overflow times were extracted, as shown in Figure 7. The ranges of peak overflow for the 3-year, 5-year, 10-year, 20-year, 30-year, and 50-year rainfall return periods were 0.001–1.733 m3/s, 0.001–2.085 m3/s, 0.004–2.358 m3/s, 0.004–2.589 m3/s, 0.004–2.716 m3/s, and 0.004–2.872 m3/s, respectively.
Additionally, as the intensity of rainfall increases, the peak overflow time shows a similar trend to peak runoff, both occurring earlier. A comparison of the peak overflow times of 127 nodes that experienced overflow under the 3-year rainfall return period with the same nodes under the 50-year rainfall return period revealed that 96.4% of the overflow nodes had peak overflow times concentrated between the 53rd and 56th mins. Specifically, 14.2%, 4.7%, and 1.6% of the nodes had their peak overflow times shift from the 54, 55, and 56 min to the 53 min, totaling 20.5%. Additionally, 12.6% and 3.9% of the nodes shifted from the 55th and 56th min to the 54th min, totaling 16.5%, while 3.9% of the nodes shifted from the 56 to the 55 min.

3.3. Impact of Rainfall on Inundation

3.3.1. Urban Inundation Changes

To identify high-risk flooding areas within the study region, 25 sampling points were selected based on model-simulated surface inundation results. These points represent the centers of inundation and were chosen to ensure comprehensive coverage of flood-prone locations. Notably, all selected points experienced inundation under the 3-year rainfall return period, making them representative of persistent flooding hotspots. Figure 8 illustrates the spatial distribution of these sampling points. To quantify flood risk, we define inundation frequency as the number of rainfall scenarios (out of the six simulated return periods) in which the inundation depth at a given point exceeds 15 cm. This threshold is derived from the Standard for Design of Outdoor Wastewater Engineering (GB50014-2021) in China, which considers inundation depths greater than 15 cm to have adverse effects on urban operations. Based on inundation frequency, we established a risk classification system: a rating of 6 indicates that inundation depths exceeded 15 cm in all six rainfall scenarios, while ratings of 5, 4, 3, 2, and 1 correspond to the number of scenarios in which this threshold was surpassed. Higher risk levels highlight locations requiring targeted flood mitigation strategies to enhance urban resilience and adaptive capacity.
The surface inundation results summarized in Table 2 illustrate how the total inundation area, the average inundation depth, and the maximum inundation depth respond to increasing rainfall return periods. Specifically, the total inundation area shows a substantial rise, increasing from 357,502.06 m2 under the 3-year return period to 2,946,923.85 m2 under the 50-year period, a growth of more than eightfold. The average and maximum inundation depths exhibit smaller but consistent increases, with the average depth rising from 0.077 m to 0.108 m and the maximum depth reaching 1.838 m at the end of the 50-year return period. This trend highlights the escalating flood risk and severity as rainfall intensity intensifies. Inundation depth variations are primarily influenced by local topography, land use types, and drainage system efficiency. Low-lying areas and regions with high impervious surfaces exhibit greater inundation depths due to limited natural infiltration and drainage capacity.

3.3.2. Inundation Curve Analysis

The inundation curves for 25 sampling points are presented in Figure 9, showing varying degrees of inundation. Among them, sampling points 5, 6, 7, 8, 10, 16, 20, 23, and 24 experienced relatively minor inundation, with a maximum inundation depth of no more than 0.3 m. From the curves, it can be observed that water accumulates rapidly during the formation stage, with the inundation depth increasing sharply. However, the drainage phase is much slower, and only a few sampling points, such as points 22 and 25, completely drain the water. For the remaining points, the inundation depth remains at a certain level within 2 h after the rainfall ends (120–240 min). Notably, sampling points 19 and 24 showed no decrease in inundation depth after reaching their peak levels, indicating the need for manual intervention to drain the water and ensure normal ground operations.
From the perspective of inundation curves under different rainfall return periods for the same sampling points, some points, such as points 1, 5, 6, 7, 10, 14, 16, 21, and 23, were less affected by changes in the rainfall return period, showing minimal variations in both trend and values. In contrast, the remaining sampling points displayed a clear increase in both maximum inundation depth and drainage duration as the rainfall return period increased.

4. Discussion

4.1. Urban Flooding Patterns and Drainage System Limitations

Our findings reveal pronounced spatial variability in surface runoff, particularly under high-intensity rainfall events, with runoff clustering around urban centers. This clustering corresponds to regions with impervious surfaces, such as dense residential areas and paved roads, as noted in similar studies (e.g., Feng et al., 2021 [25], Zhang et al., 2021 [26], and Li et al., 2023 [1]). Conversely, urban parks and green spaces exhibited lower runoff, underscoring their mitigating role in urban flooding. The spatial variability in flood response is driven by a combination of topographic features, land use patterns, and drainage system efficiency. Low-lying areas, such as Haining People’s Square and the Railway Station, experience greater water accumulation due to limited natural drainage, slope, and lower ground elevations. In contrast, urban parks like Xishan Park demonstrate lower flood susceptibility due to their permeable surfaces, which enhance infiltration. Additionally, the drainage network structure significantly influences localized flooding. Areas with high node connectivity and larger pipe diameters exhibit faster runoff dissipation, while regions with narrower drainage channels or blocked pipelines show prolonged inundation. For example, the maximum inundation depth in the city center (1.83 m) is nearly three times higher than in the suburban residential zones (0.65 m), underscoring the need for targeted drainage interventions.
The sensitivity of high-runoff areas to rainfall intensity highlights the urgency for enhanced drainage infrastructure in these hotspots. Temporally, peak surface runoff lags behind peak rainfall by approximately 6–8 min, with shorter delays under higher intensities, aligning with studies by Jiang and Yu [17]. This underscores the need for quicker response measures during intense rainfall and strategies to encourage staggered commuting to reduce risks. Compared to previous studies focusing on a single rainfall event, our work emphasizes the dynamics of varying return periods, providing a more comprehensive understanding of how surface runoff evolves under different intensities. These findings can guide the prioritization of infrastructure investments, particularly in regions where rapid increases in runoff pose significant risks.
The increasing proportion and duration of node overflows under higher rainfall return periods highlight a critical threshold for the drainage system’s capacity, particularly in areas with insufficient infrastructure. Currently, the urban drainage system in Haining does not incorporate large-scale storage basins to mitigate flood risks, relying instead on a piped drainage network. However, in areas with frequent overflows, introducing detention basins or rainwater harvesting systems could enhance flood resilience. The shift in peak overflow timing with increasing rainfall intensity suggests systemic changes in drainage responses, which may contribute to localized flooding risks in vulnerable regions. These findings align with recent studies that emphasize aging infrastructure and capacity constraints as key factors that contribute to urban flooding. While a 1 -min shift in peak runoff timing is relatively minor, it reflects a progressive trend in the drainage network’s response to extreme rainfall. A slight advancement in peak runoff could lead to earlier system loading, potentially reducing the available response time for emergency interventions. For instance, in the Haining city center, the peak runoff time decreased from 55 min to 54 min under the 50-year rainfall scenario. While this shift alone is unlikely to cause system failures, it highlights the importance of evaluating drainage capacity and enhancing early-warning mechanisms, particularly in flood-prone areas. Additionally, unique trends in overflow duration were observed: shorter-duration overflows decreased, while intermediate durations increased under higher return periods. This suggests inefficiencies in the drainage system’s response to extreme events, emphasizing the need for real-time adaptive control measures. Such interventions could optimize system performance and help mitigate risks associated with prolonged or intensified overflows during extreme rainfall events.
The analysis of inundation curves across sampling points illustrates significant spatial heterogeneity, with some points exhibiting persistent water accumulation long after rainfall ends. This prolonged inundation at critical locations, such as sampling points 19 and 24, indicates systemic vulnerabilities that require immediate attention. Manual interventions in these areas may need to be supplemented with enhanced pumping or drainage solutions. The findings align partially with studies in similar regions, such as Li et al. (2019) [24], which also reported prolonged inundation in urban cores. However, the persistence of high inundation depths under different return periods suggests that the current system design may not adequately account for the compounding effects of frequent and extreme rainfall.
Our findings underscore the importance of integrating high-resolution spatial data into urban flood models for more accurate risk prediction and mitigation. The clustering of surface runoff and overflow nodes emphasizes the need for urban planners to prioritize green infrastructure and upgrade existing drainage systems in high-risk zones. For example, Qi et al. noted that single-peak rainfall events with the same total precipitation are more likely to trigger urban flooding in Haikou [12], which guided this study’s focus on single-peak events. However, the regional differences in the study area may introduce unaccounted variances.

4.2. Infrastructure Interventions and Future Directions

To mitigate urban flood risks, several targeted infrastructure investments are recommended: (1) Expanding drainage capacity: Upgrading undersized pipelines and enhancing network connectivity could reduce node overflows. Priority should be given to high-risk zones, such as the Haining Railway Station area, where peak overflow rates reached 2.87 m3/s. (2) Integrating green infrastructure: Expanding permeable pavements, rain gardens, and detention basins could reduce surface runoff and delay peak flows [27,28]. For instance, converting 20% of impervious roads into permeable pavements could lower peak runoff by up to 15%, based on previous urban hydrology studies [29]. (3) Implementing real-time flood monitoring: Deploying sensor-based monitoring systems at critical drainage nodes would enable the early detection of flood hotspots, allowing for rapid response actions such as pumping or the activation of emergency drainage measures to prevent prolonged inundation.
Beyond flood mitigation, future research should also consider the broader implications of sewer overflows on urban health. Floodwaters can carry contaminants, including heavy metals, pathogens, and organic pollutants, which may increase the risks of waterborne diseases. This is particularly concerning in densely populated urban areas where prolonged inundation can exacerbate public health issues. Integrating microbial contamination monitoring with flood models would provide a more comprehensive risk assessment. Additionally, the real-time monitoring of overflow nodes could help mitigate potential health hazards by enabling rapid intervention in affected areas.
Future studies should incorporate climate change scenarios to assess long-term impacts, as evolving climatic conditions may further alter rainfall intensities and flood dynamics. While our model results indicate a consistent shift in peak runoff timing under increasing rainfall intensities, real-world flood events are subject to additional complexities, such as drainage blockages, infrastructure failures, and localized variations in flow resistance, introducing uncertainties in peak timing estimations. This highlights the need for validation through real-time flood monitoring and observational data to improve predictive accuracy and ensure that model-based flood mitigation strategies align with actual urban drainage dynamics. As extreme rainfall events become more frequent, effective flood management will rely on a combination of increased storage capacity and enhanced infiltration measures to regulate excess runoff. While this study primarily focuses on hydrological responses and drainage performance, future research should explore how integrating storage-based solutions, green infrastructure, and adaptive land-use planning can strengthen flood resilience. Additionally, advancements in remote sensing, machine learning, and smart monitoring systems could further enhance flood management strategies. A data-driven, integrated approach will enable urban planners and policymakers to develop more effective and sustainable flood mitigation frameworks, reducing both the physical and health-related risks associated with urban flooding.

5. Conclusions

The main conclusions are as follows:
(1) The total surface runoff volume exhibits a more discrete numerical distribution and greater spatial variability with increasing rainfall return periods. The distribution of peak surface runoff values aligns with the total surface runoff volume changes. The peak surface runoff times are primarily concentrated between 52 and 55 min after the onset of rainfall, with a general trend of earlier occurrences as the rainfall return period increases. In the study area, the peak runoff timing shifts forward by approximately one min when the rainfall return period increases from a 3-year event to a 50-year event.
(2) The proportion of nodes where overflow occurs increases from 37.35% for a 3-year return period to 63.24% for a 50-year return period, with a significant increase in overflow duration. This is primarily reflected in a noticeable decrease in the proportions of overflow durations in the intervals of less than 15 min and 15–30 min, while the proportion for durations greater than 30 min increases substantially. Similar to the trend observed in peak surface runoff timing, peak overflow timings also exhibit a tendency to occur earlier with longer rainfall return periods. This shift is primarily controlled by the increased rainfall intensity, which accelerates surface runoff generation and reduces the flow accumulation time. Additionally, under extreme rainfall conditions, the drainage system reaches its capacity limit more quickly, causing overflow to peak earlier. Unlike lower return period events, where initial precipitation may be partially absorbed or delayed by surface retention, high-intensity rainfall events rapidly exceed infiltration and storage capacities, leading to an earlier peak in overflow.
(3) Surface inundation results show significant changes with increasing rainfall return periods. Among the aspects including the inundation area, the average inundation depth, and the maximum water depth, the change in the inundation area is the most pronounced, increasing by 164.9%. The inundation process varies regionally, with some areas being significantly influenced by the rainfall return period. There are notable differences in maximum inundation depth and drainage efficiency among the inundation process curves at the same sampling points.
(4) Areas with high total surface runoff, elevated node overflow, and severe surface water accumulation in the study area are primarily located around Haining People’s Square, Haining Railway Station, the northeast side of Xishan Park, both the north and south roads adjacent to Haining No. 1 High School, and near the intersection of Shuiyueting West Road and Meiyuan Road. These regions require close monitoring during heavy rainfall events.
Despite the valuable insights gained, this study has several limitations. First, the study area is relatively small, and rainfall spatial variations were not explicitly considered during the simulations. Future research could incorporate spatially distributed rainfall to enhance model accuracy. Second, while this study focuses on the impact of rainfall on the urban flood full process, potential changes in land use scenarios were not examined, which may influence future flood dynamics. Third, model uncertainties arise from inherent assumptions and data sources, such as the accuracy of the UAV-derived DEM, which may introduce biases into the results. Lastly, while the findings provide a detailed understanding of urban flooding dynamics in Haining, their transferability to other cities with different hydrological and infrastructural conditions requires further validation. Future studies could address these limitations by incorporating diverse urban settings, real-time monitoring data, and climate change projections to improve model robustness and applicability.

Author Contributions

Conceptualization, Y.L. and Y.Z.; software, L.W.; validation, Q.Z.; formal analysis, Y.L. and Y.Z.; investigation, P.W.; resources, T.H.; data curation, P.W.; writing—original draft preparation, Y.L. and Y.Z.; writing—review and editing, T.H.; visualization, L.W.; supervision, T.H.; funding acquisition, Y.Z., Q.Z. and Y.L. All authors have read and agreed to the published version of the manuscript.

Funding

This research was funded by (1) the Zhejiang Provincial Water Resources Science and Technology Project, grant number RC2403; (2) the Hangzhou Agricultural and Social Development General Project, grant number 202203B36; and (3) the China Scholarship Council, grant number 202008330335.

Data Availability Statement

Data can be available by request.

Conflicts of Interest

The authors declare no conflicts of interest.

Appendix A

Table A1. Surface runoff model setting and parameters.
Table A1. Surface runoff model setting and parameters.
Land UseArea (km2)Infiltration ParameterInitial Loss (m)Confluence ModelConfluence Parameter
Building0.790.050.001SWMM0.018
Road0.370.120.002SWMM0.020
Grass1.580.800.005SWMM0.025
Other Impervious Surface2.430.120.002SWMM0.020
Water0.33----
Table A2. Model calibration and validation results.
Table A2. Model calibration and validation results.
EventsTimeMeasured (m3/s)Simulated (m3/s)Error (m3/s)Relative Error (%)NSE
Event on 2018.8.3 for calibration11:000.130.150.0215.380.77
12:000.200.230.0315.00
13:000.300.26−0.04−13.33
14:000.290.28−0.01−3.45
15:000.330.29−0.04−12.12
16:000.250.21−0.04−16.00
Event on 2018.8.20 for validation 4:000.160.190.0318.750.91
5:000.730.61−0.12−16.44
6:000.300.26−0.04−13.33
7:000.200.230.0315.00
8:000.250.290.0416.00
9:000.170.200.0317.65

References

  1. Li, Y.; Osei, F.B.; Hu, T.; Stein, A. Urban flood susceptibility mapping based on social media data in Chengdu city, China. Sustain. Cities Soc. 2023, 88, 104307. [Google Scholar] [CrossRef]
  2. Cao, W.; Zhou, Y.; Güneralp, B.; Li, X.; Zhao, K.; Zhang, H. Increasing global urban exposure to flooding: An analysis of long-term annual dynamics. Sci. Total Environ. 2022, 817, 153012. [Google Scholar] [CrossRef] [PubMed]
  3. Green, D.; O’Donnell, E.; Johnson, M.; Slater, L.; Thorne, C.; Zheng, S.; Stirling, R.; Chan, F.K.S.; Li, L.; Boothroyd, R.J. Green infrastructure: The future of urban flood risk management? WIREs Water 2021, 8, e1560. [Google Scholar] [CrossRef]
  4. Ruan, J.; Chen, Y.; Yang, Z. Assessment of temporal and spatial progress of urban resilience in Guangzhou under rainstorm scenarios. Int. J. Disaster Risk Reduct. 2021, 66, 102578. [Google Scholar] [CrossRef]
  5. Dey, H.; Shao, W.; Haque, M.M.; VanDyke, M. Enhancing Flood Risk Analysis in Harris County: Integrating Flood Susceptibility and Social Vulnerability Mapping. J. Geovisualization Spat. Anal. 2024, 8, 19. [Google Scholar] [CrossRef]
  6. Ji, X.; Dong, W.; Wang, W.; Dai, X.; Huang, H. Impacts of Climate Change on Extreme Precipitation Events and Urban Waterlogging: A Case Study of Beijing. Nat. Hazards Rev. 2024, 25, 05023014. [Google Scholar] [CrossRef]
  7. Wang, M.; Fu, X.; Zhang, D.; Chen, F.; Liu, M.; Zhou, S.; Su, J.; Tan, S.K. Assessing urban flooding risk in response to climate change and urbanization based on shared socio-economic pathways. Sci. Total Environ. 2023, 880, 163470. [Google Scholar] [CrossRef]
  8. Mai, C.; Du, Y.; Li, M. Processes of Colliding Cold Pools Derived from a 356-m-High Shenzhen Met-Tower during an Extremely Heavy Rainfall Event. Mon. Weather Rev. 2023, 151, 1571–1585. [Google Scholar] [CrossRef]
  9. Alam, R.; Quayyum, Z.; Moulds, S.; Radia, M.A.; Sara, H.H.; Hasan, M.T.; Butler, A. Dhaka city water logging hazards: Area identification and vulnerability assessment through GIS-remote sensing techniques. Environ. Monit. Assess. 2023, 195, 543. [Google Scholar] [CrossRef]
  10. Tian, X.; ten Veldhuis, M.-c.; Schleiss, M.; Bouwens, C.; van de Giesen, N. Critical rainfall thresholds for urban pluvial flooding inferred from citizen observations. Sci. Total Environ. 2019, 689, 258–268. [Google Scholar] [CrossRef]
  11. Agonafir, C.; Pabon, A.R.; Lakhankar, T.; Khanbilvardi, R.; Devineni, N. Understanding New York City street flooding through 311 complaints. J. Hydrol. 2022, 605, 127300. [Google Scholar] [CrossRef]
  12. Qi, W.; Ma, C.; Xu, H.; Zhao, K. Urban flood response analysis for designed rainstorms with different characteristics based on a tracer-aided modeling simulation. J. Clean. Prod. 2022, 355, 131797. [Google Scholar] [CrossRef]
  13. O’Donnell, E.C.; Thorne, C.R. Drivers of future urban flood risk. Philos. Trans. R. Soc. A 2020, 378, 20190216. [Google Scholar] [CrossRef] [PubMed]
  14. Nissen, K.M.; Ulbrich, U. Increasing frequencies and changing characteristics of heavy precipitation events threatening infrastructure in Europe under climate change. Nat. Hazards Earth Syst. Sci. 2017, 17, 1177–1190. [Google Scholar] [CrossRef]
  15. Zhang, H.; Zhang, J.; Fang, H.; Yang, F. Urban flooding response to rainstorm scenarios under different return period types. Sustain. Cities Soc. 2022, 87, 104184. [Google Scholar] [CrossRef]
  16. Mei, C.; Liu, J.; Wang, H.; Li, Z.; Yang, Z.; Shao, W.; Ding, X.; Weng, B.; Yu, Y.; Yan, D. Urban flood inundation and damage assessment based on numerical simulations of design rainstorms with different characteristics. Sci. China Technol. Sci. 2020, 63, 2292–2304. [Google Scholar] [CrossRef]
  17. Jiang, W.; Yu, J. Impact of rainstorm patterns on the urban flood process superimposed by flash floods and urban waterlogging based on a coupled hydrologic–hydraulic model: A case study in a coastal mountainous river basin within southeastern China. Nat. Hazards 2022, 112, 301–326. [Google Scholar] [CrossRef]
  18. Fan, C.; Hou, J.; Li, D.; Chen, G.; Guan, B.; Wang, T.; Pinpin, L.; Gao, X. Characteristics and drivers of flooding in recently built urban infrastructure during extreme rainfall. Urban Clim. 2024, 56, 102018. [Google Scholar] [CrossRef]
  19. Rossman, L.A. Storm Water Management Model User’s Manual, version 5.0; National Risk Management Research Laboratory, Office of Research and Development, US Environmental Protection Agency: Cincinnati, OH, USA, 2010. [Google Scholar]
  20. De Roo, A.P.J.; Wesseling, C.G.; Van Deursen, W.P.A. Physically based river basin modelling within a GIS: The LISFLOOD model. Hydrol. Process. 2000, 14, 1981–1992. [Google Scholar] [CrossRef]
  21. Bisht, D.S.; Chatterjee, C.; Kalakoti, S.; Upadhyay, P.; Sahoo, M.; Panda, A. Modeling urban floods and drainage using SWMM and MIKE URBAN: A case study. Nat. Hazards 2016, 84, 749–776. [Google Scholar] [CrossRef]
  22. Chen, Y.; Hou, H.; Li, Y.; Wang, L.; Fan, J.; Wang, B.; Hu, T. Urban inundation under different rainstorm scenarios in Lin’an City, China. Int. J. Environ. Res. Public Health 2022, 19, 7210. [Google Scholar] [CrossRef] [PubMed]
  23. Van Der Knijff, J.M.; Younis, J.; De Roo, A.P.J. LISFLOOD: A GIS-based distributed model for river basin scale water balance and flood simulation. Int. J. Geogr. Inf. Sci. 2010, 24, 189–212. [Google Scholar] [CrossRef]
  24. Li, Y.; Hu, T.; Zheng, G.; Shen, L.; Fan, J.; Zhang, D. An Improved Simplified Urban Storm Inundation Model Based on Urban Terrain and Catchment Modification. Water 2019, 11, 2335. [Google Scholar] [CrossRef]
  25. Feng, B.; Zhang, Y.; Bourke, R. Urbanization impacts on flood risks based on urban growth data and coupled flood models. Nat. Hazards 2021, 106, 613–627. [Google Scholar] [CrossRef]
  26. Zhang, Q.; Wu, Z.; Guo, G.; Zhang, H.; Tarolli, P. Explicit the urban waterlogging spatial variation and its driving factors: The stepwise cluster analysis model and hierarchical partitioning analysis approach. Sci. Total Env. 2021, 763, 143041. [Google Scholar] [CrossRef]
  27. Amare, M.T.; Demissie, S.T.; Beza, S.A.; Erena, S.H. Impacts of Land Use/Land Cover Changes on the Hydrology of the Fafan Catchment Ethiopia. J. Geovisualization Spat. Anal. 2024, 8, 10. [Google Scholar] [CrossRef]
  28. Shahzad, H.; Myers, B.; Boland, J.; Hewa, G.; Johnson, T. Stormwater runoff reduction benefits of distributed curbside infiltration devices in an urban catchment. Water Res. 2022, 215, 118273. [Google Scholar] [CrossRef]
  29. Wang, J.; Meng, Q.; Zou, Y.; Qi, Q.; Tan, K.; Santamouris, M.; He, B.-J. Performance synergism of pervious pavement on stormwater management and urban heat island mitigation: A review of its benefits, key parameters, and co-benefits approach. Water Res. 2022, 221, 118755. [Google Scholar] [CrossRef]
Figure 1. Study area: (a) location within China, (b) locations of study area and measuring equipment, (c) pipeline flow measuring equipment, and (d) river level monitor equipment.
Figure 1. Study area: (a) location within China, (b) locations of study area and measuring equipment, (c) pipeline flow measuring equipment, and (d) river level monitor equipment.
Atmosphere 16 00305 g001
Figure 2. The rainfall characteristics under the six designed rainfall scenarios.
Figure 2. The rainfall characteristics under the six designed rainfall scenarios.
Atmosphere 16 00305 g002
Figure 3. The spatial distribution of the surface runoff depth (in mm) under six different rainfall return periods, where (af) represent the return periods of 3, 5, 10, 20, 30, and 50 years, respectively.
Figure 3. The spatial distribution of the surface runoff depth (in mm) under six different rainfall return periods, where (af) represent the return periods of 3, 5, 10, 20, 30, and 50 years, respectively.
Atmosphere 16 00305 g003
Figure 4. Peak runoff flow and peak runoff timing.
Figure 4. Peak runoff flow and peak runoff timing.
Atmosphere 16 00305 g004
Figure 5. The overall surface runoff flow curve of the study area.
Figure 5. The overall surface runoff flow curve of the study area.
Atmosphere 16 00305 g005
Figure 6. Node overflow risk map: very high risk represents nodes where overflow volumes exceed 100 m3, even under the 3-year return period, while very low risk corresponds to nodes that have never experienced overflow under any scenario.
Figure 6. Node overflow risk map: very high risk represents nodes where overflow volumes exceed 100 m3, even under the 3-year return period, while very low risk corresponds to nodes that have never experienced overflow under any scenario.
Atmosphere 16 00305 g006
Figure 7. (a) Peak of node overflow rate. (b) Change in node overflow peak timing.
Figure 7. (a) Peak of node overflow rate. (b) Change in node overflow peak timing.
Atmosphere 16 00305 g007
Figure 8. The spatial distribution of inundation frequency and sampling points. Numbers 1–25 represent the selected simulation sampling locations.
Figure 8. The spatial distribution of inundation frequency and sampling points. Numbers 1–25 represent the selected simulation sampling locations.
Atmosphere 16 00305 g008
Figure 9. Inundation process curves for the sampling points. Numbers 1–25 correspond to the sampling points used for inundation analysis. The curves represent the temporal changes in inundation depth at various sampling points across the study area under six different rainfall return periods. Each plot corresponds to a specific sampling point, with the color coding in the legend indicating the return period: 3-year, 5-year, 10-year, 20-year, 30-year, and 50-year.
Figure 9. Inundation process curves for the sampling points. Numbers 1–25 correspond to the sampling points used for inundation analysis. The curves represent the temporal changes in inundation depth at various sampling points across the study area under six different rainfall return periods. Each plot corresponds to a specific sampling point, with the color coding in the legend indicating the return period: 3-year, 5-year, 10-year, 20-year, 30-year, and 50-year.
Atmosphere 16 00305 g009
Table 1. The proportions of the node overflow duration (%) under different rainfall return periods.
Table 1. The proportions of the node overflow duration (%) under different rainfall return periods.
Duration (min)<1516–3031–4546–6061–7576–9091–105106–120>120
3 y44.1%32.3%16.5%3.9%0.8%1.6%0%0.7%1%
5 y42.5%34.0%12.4%6.5%2.0%2.0%0%0.6%0%
10 -y33.0%33.5%14.2%10.2%3.4%3.4%1.7%0%0.6%
20 -y27.3%33.0%16.5%8.2%7.7%3.6%3.1%0%0.5%
30 -y22.3%34.2%18.8%8.4%6.9%4.0%5.0%0%0.5%
50 -y23.7%27.4%21.9%8.8%7.0%4.2%4.2%2.3%0.5%
Table 2. Surface inundation results.
Table 2. Surface inundation results.
Rainfall Return PeriodTotal Inundation Area (m2)Average Inundation Depth (m)Maximum Inundation Depth (m)
3 -y357,502.060.0771.586
5 -y487,258.180.0801.603
10 -y652,415.540.0881.725
20 -y777,855.360.0981.783
30 -y857,796.450.1031.804
50 -y2,946,923.850.1081.838
Disclaimer/Publisher’s Note: The statements, opinions and data contained in all publications are solely those of the individual author(s) and contributor(s) and not of MDPI and/or the editor(s). MDPI and/or the editor(s) disclaim responsibility for any injury to people or property resulting from any ideas, methods, instructions or products referred to in the content.

Share and Cite

MDPI and ACS Style

Zhang, Y.; Wang, L.; Zhang, Q.; Li, Y.; Wang, P.; Hu, T. A Comprehensive Analysis of Urban Flooding Under Different Rainfall Patterns: A Full-Process Perspective in Haining, China. Atmosphere 2025, 16, 305. https://doi.org/10.3390/atmos16030305

AMA Style

Zhang Y, Wang L, Zhang Q, Li Y, Wang P, Hu T. A Comprehensive Analysis of Urban Flooding Under Different Rainfall Patterns: A Full-Process Perspective in Haining, China. Atmosphere. 2025; 16(3):305. https://doi.org/10.3390/atmos16030305

Chicago/Turabian Style

Zhang, Yuzhou, Luoyang Wang, Qing Zhang, Yao Li, Pin Wang, and Tangao Hu. 2025. "A Comprehensive Analysis of Urban Flooding Under Different Rainfall Patterns: A Full-Process Perspective in Haining, China" Atmosphere 16, no. 3: 305. https://doi.org/10.3390/atmos16030305

APA Style

Zhang, Y., Wang, L., Zhang, Q., Li, Y., Wang, P., & Hu, T. (2025). A Comprehensive Analysis of Urban Flooding Under Different Rainfall Patterns: A Full-Process Perspective in Haining, China. Atmosphere, 16(3), 305. https://doi.org/10.3390/atmos16030305

Note that from the first issue of 2016, this journal uses article numbers instead of page numbers. See further details here.

Article Metrics

Back to TopTop