Variability in Meteorological Parameters at the Lenghu Site on the Tibetan Plateau
Abstract
1. Introduction
2. Materials and Methods
3. Results
3.1. Climate Variations at Lenghu Site Region
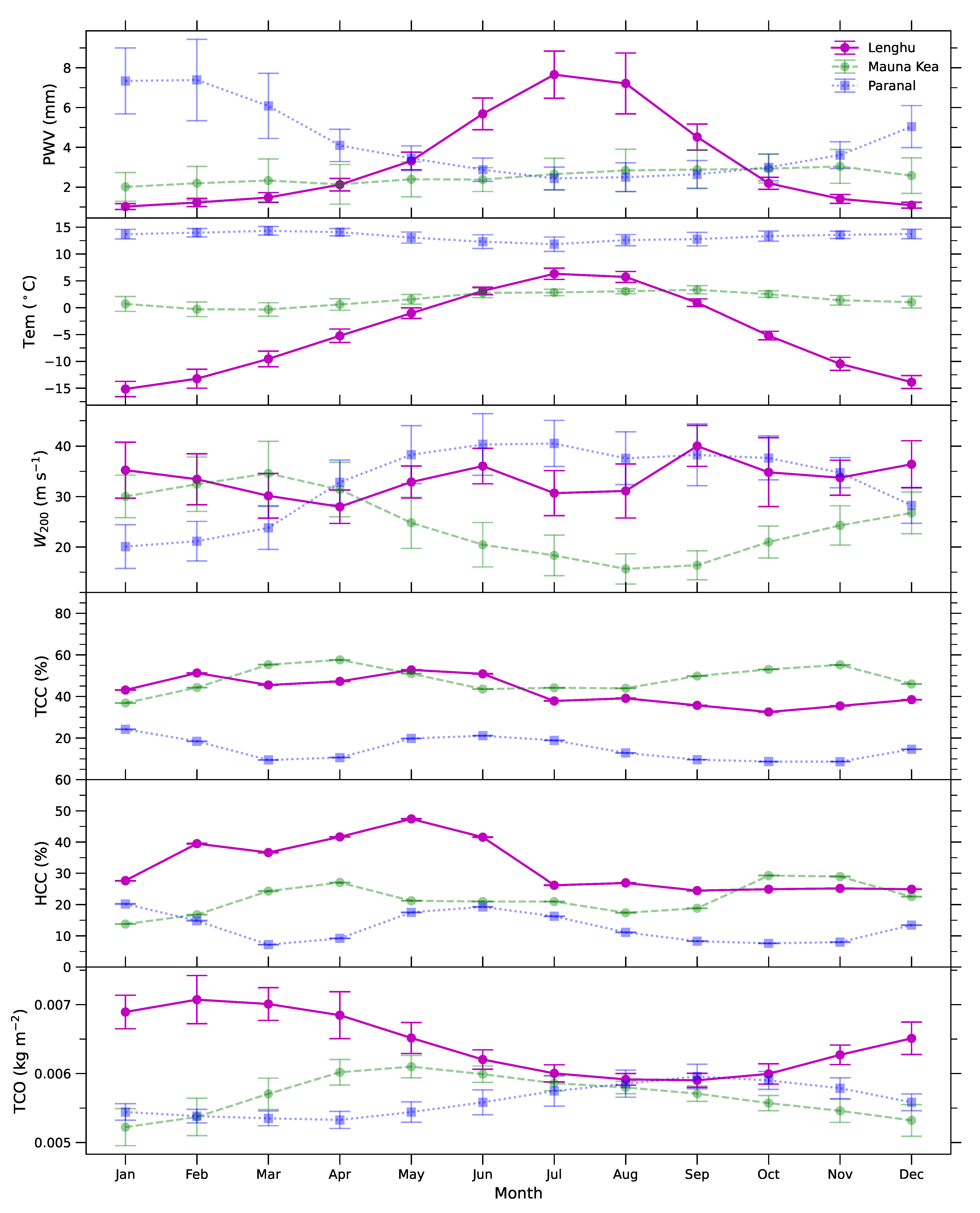
3.2. Seasonal Variations at Three Sites
3.3. Long-Term Trends at Three Sites
3.3.1. Periodic Characteristics of Meteorological Parameters
3.3.2. The Weighted Annual Mean Series from 1990 to 2023
4. Discussion and Conclusions
Author Contributions
Funding
Institutional Review Board Statement
Informed Consent Statement
Data Availability Statement
Acknowledgments
Conflicts of Interest
References
- van Kooten, M.A.M.; Izett, J.G. Climate Change and Astronomy: A Look at Long-term Trends on Maunakea. Publ. Astron. Soc. Pac. 2022, 134, 095001. [Google Scholar] [CrossRef]
- Cantalloube, F.; Milli, J.; Böhm, C.; Crewell, S.; Navarrete, J.; Rehfeld, K.; Sarazin, M.; Sommani, A. The impact of climate change on astronomical observations. Nat. Astron. 2020, 4, 826–829. [Google Scholar] [CrossRef]
- Schöck, M.; Els, S.; Riddle, R.; Skidmore, W.; Travouillon, T.; Blum, R.; Bustos, E.; Chanan, G.; Djorgovski, S.G.; Gillett, P.; et al. Thirty Meter Telescope Site Testing I: Overview. Publ. Astron. Soc. Pac. 2009, 121, 384. [Google Scholar] [CrossRef]
- Seidel, J.V.; Otarola, A.; Théron, V. On the Impact of ENSO Cycles and Climate Change on Telescope Sites in Northern Chile. Atmosphere 2023, 14, 1511. [Google Scholar] [CrossRef]
- Haas, M.R.; Pfister, L. A High-Altitude Site Survey for SOFIA. Publ. Astron. Soc. Pac. 1998, 110, 339–364. [Google Scholar] [CrossRef][Green Version]
- Zhao, Y.; Yang, F.; Chen, X.; Zhang, X.; Ma, J.; Kong, X.; Fu, X.; Li, R.; Wei, Y.; Yao, Z.; et al. Long-term variations in precipitable water vapor and temperature at Lenghu Site. Astron. Astrophys. 2022, 663, A34. [Google Scholar] [CrossRef]
- Bolbasova, L.A.; Kopylov, E.A. Long-Term Trends of Astroclimatic Parameters above the Terskol Observatory. Atmosphere 2023, 14, 1264. [Google Scholar] [CrossRef]
- Deng, L.; Yang, F.; Chen, X.; He, F.; Liu, Q.; Zhang, B.; Zhang, C.; Wang, K.; Liu, N.; Ren, A.; et al. Lenghu on the Tibetan Plateau as an astronomical observing site. Nature 2021, 596, 353–356. [Google Scholar] [CrossRef] [PubMed]
- Zhu, L.; Zhang, H.; Sun, G.; Li, X.; Yang, F.; He, F.; Weng, N.; Deng, L. Astronomical seeing and wind speed distributions with ERA5 data at Lenghu site on the Tibetan Plateau. Mon. Not. R. Astron. Soc. 2023, 522, 1419–1427. [Google Scholar] [CrossRef]
- Zhang, J.C.; Ge, L.; Lu, X.M.; Cao, Z.H.; Chen, X.; Mao, Y.N.; Jiang, X.J. Astronomical Observing Conditions at Xinglong Observatory from 2007 to 2014. Publ. Astron. Soc. Pac. 2015, 127, 1292. [Google Scholar] [CrossRef]
- Li, R.; He, F.; Deng, L.; Chen, X.; Yang, F.; Zhao, Y.; Zhang, B.; Zhang, C.; Yang, C.; Lan, T. The cloud cover and meteorological parameters at the Lenghu site on the Tibetan Plateau. Mon. Not. R. Astron. Soc. 2024, 535, 1278–1292. [Google Scholar] [CrossRef]
- Vernin, J.; Muñoz-Tuñón, C.; Sarazin, M.; Vazquez Ramió, H.; Varela, A.M.; Trinquet, H.; Delgado, J.M.; Jiménez Fuensalida, J.; Reyes, M.; Benhida, A.; et al. European Extremely Large Telescope Site Characterization I: Overview. Publ. Astron. Soc. Pac. 2011, 123, 1334. [Google Scholar] [CrossRef]
- Hellemeier, J.A.; Yang, R.; Sarazin, M.; Hickson, P. Weather at selected astronomical sites—An overview of five atmospheric parameters. Mon. Not. R. Astron. Soc. 2019, 482, 4941–4950. [Google Scholar] [CrossRef]
- Patat, F.; Moehler, S.; O’Brien, K.; Pompei, E.; Bensby, T.; Carraro, G.; de Ugarte Postigo, A.; Fox, A.; Gavignaud, I.; James, G.; et al. Optical atmospheric extinction over Cerro Paranal. Astron. Astrophys. 2011, 527, A91. [Google Scholar] [CrossRef]
- Zhang, J.; Zhao, Y.; Esamdin, A.; Niu, H.; Gao, J.; Zibibula, R.; Bai, C.; Zhang, X.; Feng, G.; Lin, L.; et al. Astronomical seeing with DIMM and wind-speed distributions with ERA5 data at the Muztagh-Ata site on the Pamir Plateau. Mon. Not. R. Astron. Soc. 2025, 539, 2077–2087. [Google Scholar] [CrossRef]
- Hersbach, H.; Bell, B.; Berrisford, P.; Hirahara, S.; Horányi, A.; Muñoz-Sabater, J.; Nicolas, J.; Peubey, C.; Radu, R.; Schepers, D.; et al. The ERA5 global reanalysis. Q. J. R. Meteorol. Soc. 2020, 146, 1999–2049. [Google Scholar] [CrossRef]
- Tippett, M.K.; L’Heureux, M.L.; Becker, E.J.; Kumar, A. Excessive Momentum and False Alarms in Late-Spring ENSO Forecasts. Geophys. Res. Lett. 2020, 47, e87008. [Google Scholar] [CrossRef]
- Mantua, N.J.; Hare, S.R.; Zhang, Y.; Wallace, J.M.; Francis, R.C. A Pacific Interdecadal Climate Oscillation with Impacts on Salmon Production. Bull. Am. Meteorol. Soc. 1997, 78, 1069–1079. [Google Scholar] [CrossRef]
- Lin, J.; Qian, T. The Atlantic Multi-Decadal Oscillation. Atmosphere-Ocean 2022, 60, 1–31. [Google Scholar] [CrossRef]
- Shikhovtsev, A.Y.; Kovadlo, P.G.; Baron, P. Candidate Sites for Millimeter and Submillimeter Ground-Based Telescopes: Atmospheric Rating for the Eurasian Submillimeter Telescopes Project. Sensors 2025, 25, 2144. [Google Scholar] [CrossRef]
- Qian, X.; Yao, Y.; Zou, L.; Wang, H.; Yin, J. An Empirical Model for Estimating Precipitable Water Vapor on the Tibetan Plateau. Publ. Astron. Soc. Pac. 2019, 131, 125001. [Google Scholar] [CrossRef]
- Yang, S.; Lau, K.M.; Kim, K.M. Variations of the East Asian Jet Stream and Asian-Pacific-American Winter Climate Anomalies. J. Clim. 2002, 15, 306–325. [Google Scholar] [CrossRef]
- Huang, R.h.; Gambo, K. The Response of a Hemispheric Multi-Level Model Atmosphere to Forcing by Topography and Stationary Heat Sources (I) Forcing by Topography. J. Meteorol. Soc. Jpn. 1982, 60, 78–92. [Google Scholar] [CrossRef]
- Wallace, J.M. The climatological mean stationary waves: Observational evidence. In Large-Scale Dynamical Processes in the Atmosphere; Hoskins, B., Pearce, R., Eds.; Academic Press: New York, NY, USA, 2001; p. 27. [Google Scholar]
- Bjerknes, J. A possible response of the atmospheric Hadley circulation to equatorial anomalies of ocean temperature. Tellus 1966, 18, 820. [Google Scholar] [CrossRef]
- Hoskins, B.J.; Karoly, D.J. The Steady Linear Response of a Spherical Atmosphere to Thermal and Orographic Forcing. J. Atmos. Sci. 1981, 38, 1179–1196. [Google Scholar] [CrossRef]
- Yeh, T.C.; Dao, S.J.; Li, M.T. The abrupt change of circulation over the Northern Hemisphere during June and October. In The Atmosphere and the Sea in Motion; The Rockefeller Institute Press: New York, NY, USA, 1959. [Google Scholar]
- Lau, K.M.; Weng, H. Recurrent Teleconnection Patterns Linking Summertime Precipitation Variability over East Asia and North America. J. Meteorol. Soc. Jpn. 2002, 80, 1309–1324. [Google Scholar] [CrossRef]
- Liang, X.Z.; Wang, W.C.; Samel, A.N. Biases in AMIP model simulations of the east China monsoon system. Clim. Dyn. 2001, 17, 291–304. [Google Scholar] [CrossRef]
- Zhu, Y.L.; Wang, H.; Zhou, W.; Ma, J. Recent changes in the summer precipitation pattern in East China and the background circulation. Clim. Dyn. 2011, 36, 1463–1473. [Google Scholar] [CrossRef]
- Wang, W.; Zhou, W.; Wang, X.; Fong, S.; Leong, K. Summer high temperature extremes in Southeast China associated with the East Asian jet stream and circumglobal teleconnection. J. Geophys. Res. 2013, 118, 8306–8319. [Google Scholar] [CrossRef]
- Ziemke, J.R.; Chandra, S.; Labow, G.J.; Bhartia, P.K.; Froidevaux, L.; Witte, J.C. A global climatology of tropospheric and stratospheric ozone derived from Aura OMI and MLS measurements. Atmos. Chem. Phys. 2011, 11, 9237–9251. [Google Scholar] [CrossRef]
- Krivova, N.A.; Solanki, S.K. The 1.3-year and 156-day periodicities in sunspot data: Wavelet analysis suggests a common origin. Astron. Astrophys. 2002, 394, 701–706. [Google Scholar] [CrossRef]
- Zhu, F.R.; Jia, H.Y. Lomb–Scargle periodogram analysis of the periods around 5.5 year and 11 year in the international sunspot numbers. Astrophys. Space Sci. 2018, 363, 138. [Google Scholar] [CrossRef]
- Roy, S.; Prasad, A.; Panja, S.C.; Ghosh, K.; Patra, S.N. A Search for Periodicities in F10.7 Solar Radio Flux Data. Sol. Syst. Res. 2019, 53, 224–232. [Google Scholar] [CrossRef]
- Yan, L.; He, F.; Yue, X.; Wei, Y.; Wang, Y.; Chen, S.; Fan, K.; Tian, H.; He, J.; Zong, Q.; et al. The 8-Year Solar Cycle During the Maunder Minimum. AGU Adv. 2023, 4, e2023AV000964. [Google Scholar] [CrossRef]
- Sun, B.; Bradley, R.S. Solar influences on cosmic rays and cloud formation: A reassessment. J. Geophys. Res. (Atmos.) 2002, 107, 4211. [Google Scholar] [CrossRef]
- Lockwood, M. Solar Influence on Global and Regional Climates. Surv. Geophys. 2012, 33, 503–534. [Google Scholar] [CrossRef]
- Jhun, J.G.; Lee, E.J. A New East Asian Winter Monsoon Index and Associated Characteristics of the Winter Monsoon. J. Clim. 2004, 17, 711–726. [Google Scholar] [CrossRef]
- Prabhu, S. Monsoons are changing in India — here’s how to climate-proof the economy. Nature 2024, 629, 973. [Google Scholar] [CrossRef]
- Wang, B.; Wu, R.; Fu, X. Pacific-East Asian Teleconnection: How Does ENSO Affect East Asian Climate?*. J. Clim. 2000, 13, 1517–1536. [Google Scholar] [CrossRef]
- Linderholm, H.; Ou, T.; Jeong, J.H.; Folland, C.; Gong, D.; Liu, H.; Liu, Y.; Chen, D. Interannual teleconnections between the summer North Atlantic Oscillation and the East Asian summer monsoon. J. Geophys. Res. 2011, 116, D13107. [Google Scholar] [CrossRef]









| Sites | PWV | HCC | TCC | TCO | |||||||||
|---|---|---|---|---|---|---|---|---|---|---|---|---|---|
| PCC | p-Value | PCC | p-Value | PCC | p-Value | PCC | p-Value | PCC | p-Value | PCC | p-Value | ||
| ENSO | Lenghu | −0.24 | 0.165 | 0.11 | 0.518 | −0.54 | 0.001 | 0.13 | 0.467 | 0.01 | 0.954 | 0.21 | 0.226 |
| Mauna Kea | 0.20 | 0.261 | 0.52 | 0.002 | 0.79 | −0.30 | 0.083 | 0.16 | 0.370 | −0.40 | 0.019 | ||
| Paranal | 0.49 | 0.003 | 0.45 | 0.007 | −0.31 | 0.072 | 0.25 | 0.146 | 0.24 | 0.164 | −0.28 | 0.113 | |
| PDO | Lenghu | −0.17 | 0.322 | −0.18 | 0.306 | −0.37 | 0.029 | 0.17 | 0.324 | 0.14 | 0.418 | 0.01 | 0.975 |
| Mauna Kea | 0.01 | 0.964 | 0.47 | 0.05 | 0.53 | 0.001 | −0.38 | 0.026 | −0.11 | 0.522 | −0.61 | 0.0001 | |
| Paranal | 0.15 | 0.392 | 0.04 | 0.809 | −0.03 | 0.875 | 0.23 | 0.195 | 0.22 | 0.214 | −0.45 | 0.007 | |
| AMO | Lenghu | 0.56 | 0.0007 | 0.32 | 0.072 | 0.34 | 0.050 | −0.10 | 0.572 | 0.01 | 0.973 | 0.30 | 0.087 |
| Mauna Kea | −0.23 | 0.195 | 0.24 | 0.180 | −0.18 | 0.304 | −0.05 | 0.778 | −0.27 | 0.122 | 0.52 | 0.002 | |
| Paranal | −0.09 | 0.623 | 0.39 | 0.025 | 0.46 | 0.007 | −0.14 | 0.428 | −0.14 | 0.428 | 0.26 | 0.135 | |
Disclaimer/Publisher’s Note: The statements, opinions and data contained in all publications are solely those of the individual author(s) and contributor(s) and not of MDPI and/or the editor(s). MDPI and/or the editor(s) disclaim responsibility for any injury to people or property resulting from any ideas, methods, instructions or products referred to in the content. |
© 2025 by the authors. Licensee MDPI, Basel, Switzerland. This article is an open access article distributed under the terms and conditions of the Creative Commons Attribution (CC BY) license (https://creativecommons.org/licenses/by/4.0/).
Share and Cite
Zhao, Y.; He, F.; Li, R.; Yang, F.; Deng, L. Variability in Meteorological Parameters at the Lenghu Site on the Tibetan Plateau. Atmosphere 2025, 16, 1210. https://doi.org/10.3390/atmos16101210
Zhao Y, He F, Li R, Yang F, Deng L. Variability in Meteorological Parameters at the Lenghu Site on the Tibetan Plateau. Atmosphere. 2025; 16(10):1210. https://doi.org/10.3390/atmos16101210
Chicago/Turabian StyleZhao, Yong, Fei He, Ruiyue Li, Fan Yang, and Licai Deng. 2025. "Variability in Meteorological Parameters at the Lenghu Site on the Tibetan Plateau" Atmosphere 16, no. 10: 1210. https://doi.org/10.3390/atmos16101210
APA StyleZhao, Y., He, F., Li, R., Yang, F., & Deng, L. (2025). Variability in Meteorological Parameters at the Lenghu Site on the Tibetan Plateau. Atmosphere, 16(10), 1210. https://doi.org/10.3390/atmos16101210

