Assessment of Air Pollution and Lagged Meteorological Effects in an Urban Residential Area of Kenitra City, Morocco
Abstract
1. Introduction
2. Materials and Methods
2.1. Sampling Site Description
2.2. Instrumentation and Sampling
2.3. Meteorological Data
2.4. Statistical Analysis
3. Results and Discussion
3.1. Overview of Criteria Air Pollutant Levels and Meteorological Status
3.2. Temporal Variability in Air Quality Pollutants
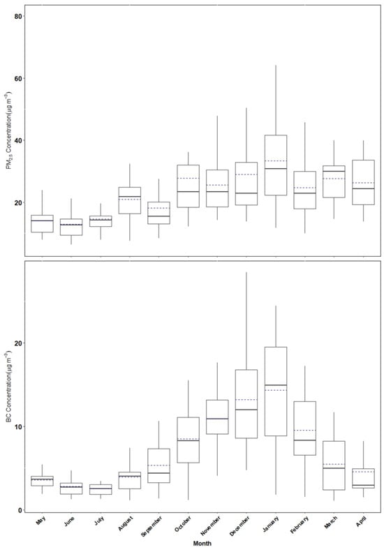
3.2.1. PM2.5 and BC
3.2.2. Carbon Monoxide
3.2.3. Sulfur Dioxide
3.2.4. Nitrogen Dioxide
3.2.5. Ozone
3.3. Bivariate Plots: Potential Local Sources
3.4. Lagged Effects of Meteorology
3.4.1. Particulate Matter
3.4.2. Black Carbon
3.4.3. Carbon Monoxide
3.4.4. Ozone
3.4.5. Sulfur Dioxide
4. Conclusions
Author Contributions
Funding
Institutional Review Board Statement
Informed Consent Statement
Data Availability Statement
Conflicts of Interest
References
- Anenberg, S.C.; Achakulwisut, P.; Brauer, M.; Moran, D.; Apte, J.S.; Henze, D.K. Particulate Matter-Attributable Mortality and Relationships with Carbon Dioxide in 250 Urban Areas Worldwide. Sci. Rep. 2019, 9, 11552. [Google Scholar] [CrossRef] [PubMed]
- Xie, Y.; Dai, H.; Zhang, Y.; Wu, Y.; Hanaoka, T.; Masui, T. Comparison of Health and Economic Impacts of PM2.5 and Ozone Pollution in China. Environ. Int. 2019, 130, 104881. [Google Scholar] [CrossRef] [PubMed]
- Yang, J.; Zhou, M.; Li, M.; Yin, P.; Hu, J.; Zhang, C.; Wang, H.; Liu, Q.; Wang, B. Fine Particulate Matter Constituents and Cause-Specific Mortality in China: A Nationwide Modelling Study. Environ. Int. 2020, 143, 105927. [Google Scholar] [CrossRef]
- Afifa; Arshad, K.; Hussain, N.; Ashraf, M.H.; Saleem, M.Z. Air Pollution and Climate Change as Grand Challenges to Sustainability. Sci. Total Environ. 2024, 928, 172370. [Google Scholar] [CrossRef] [PubMed]
- Gyawali, K.; Acharya, P. Environmental Pollution and Its Effects on Human Health. Interdiscip. Res. Educ. 2023, 8, 84–94. [Google Scholar] [CrossRef]
- Institute, H.E. Understanding the Health Effects of Ambient Ultrafine Particles. Available online: https://www.healtheffects.org/publication/understanding-health-effects-ambient-ultrafine-particles (accessed on 4 November 2024).
- Manisalidis, I.; Stavropoulou, E.; Stavropoulos, A.; Bezirtzoglou, E. Environmental and Health Impacts of Air Pollution: A Review. Front. Public Health 2020, 8, 14. [Google Scholar] [CrossRef]
- Rentschler, J.; Leonova, N. Global Air Pollution Exposure and Poverty. Nat. Commun. 2023, 14, 4432. [Google Scholar] [CrossRef]
- Singh, V.; Ravindra, K.; Sahu, L.; Sokhi, R. Trends of Atmospheric Black Carbon Concentration over the United Kingdom. Atmos. Environ. 2018, 178, 148–157. [Google Scholar] [CrossRef]
- WHO Air Quality, Energy and Health. Available online: https://www.who.int/teams/environment-climate-change-and-health/air-quality-energy-and-health/health-impacts/exposure-air-pollution (accessed on 3 December 2024).
- Fuller, R.; Landrigan, P.; Balakrishnan, K.; Bathan, G.; Bose-O’Reilly, S.; Brauer, M.; Caravanos, J.; Chiles, T.; Cohen, A.; Corra, L.; et al. Pollution and Health: A Progress Update. Lancet Planet. Health 2022, 6, E535–E547. [Google Scholar] [CrossRef]
- Cohen, A.J.; Brauer, M.; Burnett, R.; Anderson, H.R.; Frostad, J.; Estep, K.; Balakrishnan, K.; Brunekreef, B.; Dandona, L.; Dandona, R.; et al. Estimates and 25-Year Trends of the Global Burden of Disease Attributable to Ambient Air Pollution: An Analysis of Data from the Global Burden of Diseases Study 2015. Lancet 2017, 389, 1907–1918. [Google Scholar] [CrossRef]
- OECD. The Economic Consequences of Outdoor Air Pollution; OECD: Paris, France, 2016; ISBN 978-92-64-25746-7. [Google Scholar]
- Barzeghar, V.; Hassanvand, M.S.; Faridi, S.; Abbasi, S.; Gholampour, A. Long-Term Trends in Ambient Air Pollutants and the Effect of Meteorological Parameters in Tabriz, Iran. Urban Clim. 2022, 42, 101119. [Google Scholar] [CrossRef]
- Huang, Y.; Guo, B.; Sun, H.; Liu, H.; Chen, S.X. Relative Importance of Meteorological Variables on Air Quality and Role of Boundary Layer Height. Atmos. Environ. 2021, 267, 118737. [Google Scholar] [CrossRef]
- Wang, X.; Gao, C.; Xia, Y.; Xu, X.; Li, L.; Liu, Y.; Yao, X.; Cao, N.; Li, Z.; Fang, X. Effect of Air Pollutants and Meteorological Factors on Daily Outpatient Visits of Allergic Rhinitis in Hohhot, China. J. Asthma Allergy 2023, 16, 1217–1228. [Google Scholar] [CrossRef]
- Koçak, E.; Balcılar, İ. Spatio-Temporal Variation of Particulate Matter with Health Impact Assessment and Long-Range Transport—Case Study: Ankara, Türkiye. Sci. Total Environ. 2024, 938, 173650. [Google Scholar] [CrossRef]
- Li, Q.; Zhang, H.; Jin, X.; Cai, X.; Song, Y. Mechanism of Haze Pollution in Summer and Its Difference with Winter in the North China Plain. Sci. Total Environ. 2022, 806, 150625. [Google Scholar] [CrossRef]
- Yang, Q.; Yuan, Q.; Li, T.; Shen, H.; Zhang, L. The Relationships between PM2.5 and Meteorological Factors in China: Seasonal and Regional Variations. Int. J. Environ. Res. Public Health 2017, 14, 1510. [Google Scholar] [CrossRef]
- Luo, Y.; Zhang, L.; Zhang, S.; Ai, L.; Lv, H.; Zhu, C.; Wu, J.; Tan, W. Effects and Interaction of Air Pollution and Meteorological Factors on Pertussis Incidence in P.R.China. Hyg. Environ. Health Adv. 2022, 4, 100036. [Google Scholar] [CrossRef]
- Steiner, A.L.; Davis, A.J.; Sillman, S.; Owen, R.C.; Michalak, A.M.; Fiore, A.M. Observed Suppression of Ozone Formation at Extremely High Temperatures Due to Chemical and Biophysical Feedbacks. Proc. Natl. Acad. Sci. USA 2010, 107, 19685–19690. [Google Scholar] [CrossRef]
- Chen, Z.; Chen, D.; Zhao, C.; Kwan, M.; Cai, J.; Zhuang, Y.; Zhao, B.; Wang, X.; Chen, B.; Yang, J.; et al. Influence of Meteorological Conditions on PM2.5 Concentrations across China: A Review of Methodology and Mechanism. Environ. Int. 2020, 139, 105558. [Google Scholar] [CrossRef] [PubMed]
- Yang, Z.; Yang, J.; Li, M.; Chen, J.; Ou, C.-Q. Nonlinear and Lagged Meteorological Effects on Daily Levels of Ambient PM2.5 and O3: Evidence from 284 Chinese Cities. J. Clean. Prod. 2020, 278, 123931. [Google Scholar] [CrossRef]
- Barmpadimos, I.; Hueglin, C.; Keller, J.; Henne, S.; Prévôt, A.S.H. Influence of Meteorology on PM10 Trends and Variability in Switzerland from 1991 to 2008. Atmos. Chem. Phys. 2011, 11, 1813–1835. [Google Scholar] [CrossRef]
- Guo, L.-C.; Zhang, Y.; Lin, H.; Zeng, W.; Liu, T.; Xiao, J.; Rutherford, S.; You, J.; Ma, W. The Washout Effects of Rainfall on Atmospheric Particulate Pollution in Two Chinese Cities. Environ. Pollut. 2016, 215, 195–202. [Google Scholar] [CrossRef]
- Bounakhla, Y.; Benchrif, A.; Costabile, F.; Tahri, M.; El Gourch, B.; El Hassan, E.K.; Zahry, F.; Bounakhla, M. Overview of PM10, PM2.5 and BC and Their Dependent Relationships with Meteorological Variables in an Urban Area in Northwestern Morocco. Atmosphere 2023, 14, 162. [Google Scholar] [CrossRef]
- Wang, X.; Duan, W.; Zhu, J.; Wei, W.; Cheng, S.; Mao, S. Nonlinear Influence of Winter Meteorology and Precursor on PM2.5 Based on Mathematical and Numerical Models: A COVID-19 and Winter Olympics Case Study. Atmos. Environ. 2022, 278, 119072. [Google Scholar] [CrossRef]
- Xu, X.; Yavar, Z.; Verdin, M.; Ying, Z.; Mihai, G.; Kampfrath, T.; Wang, A.; Zhong, M.; Lippmann, M.; Chen, L.-C.; et al. Effect of Early Particulate Air Pollution Exposure on Obesity in Mice Role of P47phox. Arter. Thromb. Vasc. Biol. 2010, 30, 2518–2527. [Google Scholar] [CrossRef] [PubMed]
- Oujidi, B.; Benchrif, A.; Tahri, M.; Zahry, F.; Bounakhla, M.; Bazairi, H.; Mhammdi, N.; Snoussi, M. Gaseous Pollutants and Particulate Matter in Ambient Air: First Field Experiment in an Urban Mediterranean Area (Nador, Morocco). Aerosol Air Qual. Res. 2023, 23, 220451. [Google Scholar] [CrossRef]
- High Commission for Planning of Morocco Résultats RGPH 2014 | Téléchargements | Recensement Général de La Population et de l’habitat 2014 (RGPH2014). Available online: https://rgph2014.hcp.ma/downloads/Resultats-RGPH-2014_t18649.html (accessed on 13 October 2024).
- NM EN 14211:2012; Ambient Air—Standard Method for the Measurement of the Concentration of Nitrogen Dioxide and Nitrogen Monoxide by Chemiluminescence. IMANOR IMANOR (Institut Marocain de Normalisation): Rabat, Morocco, 2012.
- NM EN 14626:2012; Ambient Air—Standard Method for the Measurement of the Concentration of Carbon Monoxide by Non-dispersive Infrared Spectroscopy. IMANOR IMANOR (Institut Marocain de Normalisation): Rabat, Morocco, 2012.
- EN 14625:2012; Ambient Air—Standard Method for the Measurement of the Concentration of Ozone by Ultraviolet Photometry. IMANOR IMANOR (Institut Marocain de Normalisation): Rabat, Morocco, 2012.
- Manohar, M.; Atanacio, A.; Button, D.; Cohen, D. MABI—A Multi-Wavelength Absorption Black Carbon Instrument for the Measurement of Fine Light Absorbing Carbon Particles. Atmos. Pollut. Res. 2021, 12, 133–140. [Google Scholar] [CrossRef]
- Ryś, A.; Samek, L. Measurement Report: Determination of Black Carbon Concentration in PM2.5 Fraction by Multi-Wavelength Absorption Black Carbon Instrument (MABI). Atmos. Chem. Phys. Discuss. 2021, 1–14. [Google Scholar] [CrossRef]
- Global Hourly—Integrated Surface Database (ISD). Available online: https://www.ncei.noaa.gov/products/land-based-station/integrated-surface-database (accessed on 13 October 2024).
- Carslaw, D. Worldmet: Import Surface Meteorological Data from NOAA Integrated Surface Database (ISD). R Package version 0.9.5. 2021. Available online: https://CRAN.R-project.org/package=worldmet (accessed on 1 March 2022).
- Carslaw, D.C.; Ropkins, K. Openair—An R Package for Air Quality Data Analysis. Environ. Model. Softw. 2012, 27–28, 52–61. [Google Scholar] [CrossRef]
- Gasparrini, A.; Armstrong, B.; Kenward, M.G. Distributed Lag Non-Linear Models. Stat. Med. 2010, 29, 2224–2234. [Google Scholar] [CrossRef] [PubMed]
- Bates, D.; Maechler, M.; Bolker, B.; Walker, S.; Christensen, R.H.B.; Singmann, H.; Dai, B.; Scheipl, F.; Grothendieck, G.; Green, P.; et al. Fitting Linear Mixed-Effects Models Using lme4. J. Stat. Softw. 2015, 67, 1–48. [Google Scholar] [CrossRef]
- Wood, S.N. Generalized Additive Models: An Introduction with R, 2nd ed.; Chapman and Hall/CRC: New York, NY, USA, 2017; ISBN 978-1-315-37027-9. [Google Scholar]
- Benchrif, A.; Guinot, B.; Bounakhla, M.; Cachier, H.; Damnati, B.; Baghdad, B. Aerosols in Northern Morocco: Input Pathways and Their Chemical Fingerprint. Atmos. Environ. 2018, 174, 140–147. [Google Scholar] [CrossRef]
- Tahri, M.; Benchrif, A.; Bounakhla, M.; Zahry, F. Characterization of PM2.5 in Coastal Urban Area, Northwest Morocco: Seasonal Variations, Elemental Composition and Source Apportionment. J. Biomed. Res. Environ. Sci. 2022, 3, 1337–1352. [Google Scholar] [CrossRef]
- Salameh, D.; Detournay, A.; Pey, J.; Pérez, N.; Liguori, F.; Saraga, D.; Bove, M.C.; Brotto, P.; Cassola, F.; Massabò, D.; et al. PM2.5 Chemical Composition in Five European Mediterranean Cities: A 1-Year Study. Atmos. Res. 2015, 155, 102–117. [Google Scholar] [CrossRef]
- Kalogridis, A.-C.; Vratolis, S.; Liakakou, E.; Gerasopoulos, E.; Mihalopoulos, N.; Eleftheriadis, K. Assessment of Wood Burning versus Fossil Fuel Contribution to Wintertime Black Carbon and Carbon Monoxide Concentrations in Athens, Greece. Atmos. Chem. Phys. 2018, 18, 10219–10236. [Google Scholar] [CrossRef]
- Kalisa, E.; Kuuire, V.; Adams, M. Children’s Exposure to Indoor and Outdoor Black Carbon and Particulate Matter Air Pollution at School in Rwanda, Central-East Africa. Environ. Adv. 2023, 11, 100334. [Google Scholar] [CrossRef]
- Shaltout, A.A.; Boman, J.; Hassan, S.K.; Abozied, A.M.; Al-Ashkar, E.A.; Abd-Elkader, O.H.; Yassin, M.A.; Al-Tamimi, J.H. Elemental Composition of PM2.5 Aerosol in a Residential–Industrial Area of a Mediterranean Megacity. Arch. Environ. Contam. Toxicol. 2020, 78, 68–78. [Google Scholar] [CrossRef]
- Otmani, A.; Benchrif, A.; Lachhab, A.; Tahri, M.; Baghdad, B.; El Bouch, M.; Chakir, E.M. Source Apportionment and Diurnal Variability of Autumn-Time Black Carbon in a Coastal City of Salé, Morocco. Environ. Sci. Proc. 2022, 19, 8. [Google Scholar] [CrossRef]
- Sekmoudi, I.; Tanarhte, M.; Bouzghiba, H.; Khomsi, K.; Idrissi, L.; El jarmouni, M.; Géczi, G. Systematic Review of Air Pollution in Morocco: Status, Impacts, and Future Directions. Adv. Sustain. Syst. 2024, 8, 2400006. [Google Scholar] [CrossRef]
- Benchrif, A.; Tahri, M.; Guinot, B.; Chakir, E.M.; Zahry, F.; Bagdhad, B.; Bounakhla, M.; Cachier, H.; Costabile, F. Aerosols in Northern Morocco-2: Chemical Characterization and PMF Source Apportionment of Ambient PM2.5. Atmosphere 2022, 13, 1701. [Google Scholar] [CrossRef]
- Bouh, H.; Benyaïch, F.; Bounakhla, M.; Noack, Y.; TAHRI, M.; Zahry, F. Seasonal Variations of the Atmospheric Particles and Its Chemical Components in Meknes City Morocco. J. Mater. Environ. Sci. 2013, 4, 49–62. [Google Scholar]
- Bounakhla, Y.; Benchrif, A.; Costabile, F.; Tahri, M.; El Kafssaoui, E.H.; Bounakhla, M. Source Apportionment of Black Carbon from Fossil Fuel and Biomass Burning at an Urban Site in North Africa (Kenitra, Morocco). Aerosol Air Qual. Res. 2024, 24, 240049. [Google Scholar] [CrossRef]
- Querol, X.; Pérez, N.; Reche, C.; Ealo, M.; Ripoll, A.; Tur, J.; Pandolfi, M.; Pey, J.; Salvador, P.; Moreno, T.; et al. African Dust and Air Quality over Spain: Is It Only Dust That Matters? Sci. Total Environ. 2019, 686, 737–752. [Google Scholar] [CrossRef]
- Bond, T.C.; Doherty, S.J.; Fahey, D.W.; Forster, P.M.; Berntsen, T.; DeAngelo, B.J.; Flanner, M.G.; Ghan, S.; Kärcher, B.; Koch, D.; et al. Bounding the Role of Black Carbon in the Climate System: A Scientific Assessment. J. Geophys. Res. Atmos. 2013, 118, 5380–5552. [Google Scholar] [CrossRef]
- Chen, W.; Cao, X.; Ran, H.; Chen, T.; Yang, B.; Zheng, X. Concentration and Source Allocation of Black Carbon by AE-33 Model in Urban Area of Shenzhen, Southern China. J. Environ. Heal. Sci. Eng. 2022, 20, 469–483. [Google Scholar] [CrossRef]
- Milinković, A.; Gregorič, A.; Grgičin, V.D.; Vidič, S.; Penezić, A.; Kušan, A.C.; Alempijević, S.B.; Kasper-Giebl, A.; Frka, S. Variability of Black Carbon Aerosol Concentrations and Sources at a Mediterranean Coastal Region. Atmos. Pollut. Res. 2021, 12, 101221. [Google Scholar] [CrossRef]
- Zhang, L.; Cheng, Y.; Zhang, Y.; He, Y.; Gu, Z.; Yu, C. Impact of Air Humidity Fluctuation on the Rise of PM Mass Concentration Based on the High-Resolution Monitoring Data. Aerosol Air Qual. Res. 2017, 17, 543–552. [Google Scholar] [CrossRef]
- Mishra, M.; Kulshrestha, U.C. Extreme Air Pollution Events Spiking Ionic Levels at Urban and Rural Sites of Indo-Gangetic Plain. Aerosol Air Qual. Res. 2020, 20, 1266–1281. [Google Scholar] [CrossRef]
- Tong, S. Air Pollution and Disease Burden. Lancet Planet. Health 2019, 3, e49–e50. [Google Scholar] [CrossRef]
- Molina, M.J.; Molina, L.T. Megacities and Atmospheric Pollution. J. Air Waste Manag. Assoc. 2004, 54, 644–680. [Google Scholar] [CrossRef] [PubMed]
- Rozante, J.R.; Rozante, V.; Souza Alvim, D.; Ocimar Manzi, A.; Barboza Chiquetto, J.; Siqueira D’Amelio, M.T.; Moreira, D.S. Variations of Carbon Monoxide Concentrations in the Megacity of São Paulo from 2000 to 2015 in Different Time Scales. Atmosphere 2017, 8, 81. [Google Scholar] [CrossRef]
- Bi, J.; Zuidema, C.; Clausen, D.; Kirwa, K.; Young, M.T.; Gassett, A.J.; Seto, E.Y.W.; Sampson, P.D.; Larson, T.V.; Szpiro, A.A.; et al. Within-City Variation in Ambient Carbon Monoxide Concentrations: Leveraging Low-Cost Monitors in a Spatiotemporal Modeling Framework. Environ. Health Perspect. 2022, 130, 097008. [Google Scholar] [CrossRef] [PubMed]
- Hingane, H.; Waman, M. Seasonal Variation of Carbon Monoxide Concentration in Urban and Rural Areas. March 9 2023. Available online: https://www.researchgate.net/publication/369109392_Seasonal_variation_of_carbon_monoxide_concentration_in_Urban_and_Rural_areas (accessed on 9 November 2024).
- Tong, R.; Liu, J.; Wang, W.; Fang, Y. Health Effects of PM2.5 Emissions from on-Road Vehicles during Weekdays and Weekends in Beijing, China. Atmos. Environ. 2020, 223, 117258. [Google Scholar] [CrossRef]
- Wang, J.; Wu, Q.; Liu, J.; Yang, H.; Yin, M.; Chen, S.; Guo, P.; Ren, J.; Luo, X.; Linghu, W.; et al. Vehicle Emission and Atmospheric Pollution in China: Problems, Progress, and Prospects. PeerJ 2019, 7, e6932. [Google Scholar] [CrossRef] [PubMed]
- Petrus, M.; Popa, C.; Bratu, A.-M. Temporal Variations in Urban Air Pollution during a 2021 Field Campaign: A Case Study of Ethylene, Benzene, Toluene, and Ozone Levels in Southern Romania. Sustainability 2024, 16, 3219. [Google Scholar] [CrossRef]
- Tafidis, P.; Gholamnia, M.; Sajadi, P.; Krishnan Vijayakrishnan, S.; Pilla, F. Evaluating the Impact of Urban Traffic Patterns on Air Pollution Emissions in Dublin: A Regression Model Using Google Project Air View Data and Traffic Data. Eur. Transp. Res. Rev. 2024, 16, 47. [Google Scholar] [CrossRef]
- Zhao, Y.; Hu, J.; Tan, Z.; Liu, T.; Zeng, W.; Li, X.; Huang, C.; Wang, S.; Huang, Z.; Ma, W. Ambient Carbon Monoxide and Increased Risk of Daily Hospital Outpatient Visits for Respiratory Diseases in Dongguan, China. Sci. Total Environ. 2019, 668, 254–260. [Google Scholar] [CrossRef] [PubMed]
- Vicente, E.D.; Duarte, M.A.; Calvo, A.I.; Nunes, T.F.; Tarelho, L.; Alves, C.A. Emission of Carbon Monoxide, Total Hydrocarbons and Particulate Matter during Wood Combustion in a Stove Operating under Distinct Conditions. Fuel Process. Technol. 2015, 131, 182–192. [Google Scholar] [CrossRef]
- Schnell, J.L.; Prather, M.J. Co-Occurrence of Extremes in Surface Ozone, Particulate Matter, and Temperature over Eastern North America. Proc. Natl. Acad. Sci. USA 2017, 114, 2854–2859. [Google Scholar] [CrossRef]
- Ono-Ogasawara, M.; Smith, T.J. Diesel Exhaust Particles in the Work Environment and Their Analysis. Ind. Health 2004, 42, 389–399. [Google Scholar] [CrossRef] [PubMed]
- Seinfeld, J.H.; Pandis, S.N. Atmospheric Chemistry and Physics: From Air Pollution to Climate Change; John Wiley & Sons: Hoboken, NJ, USA, 2016; ISBN 978-1-118-94740-1. [Google Scholar]
- Masiol, M.; Formenton, G.; Visin, F.; Bonetto, A.; Rovea, M.; Ficotto, S.; Danesin, E.; Toffanin, T.; Maggiulli, A.; Battistel, M.; et al. Sources of Wintertime PM2.5 at a Major City in an Alpine Valley: The Role of Atmospheric Dispersion and Inversion Dynamics. Atmos. Environ. 2024, 330, 120556. [Google Scholar] [CrossRef]
- Kulmala, M.; Kerminen, V.-M.; Petäjä, T.; Ding, A.J.; Wang, L. Atmospheric Gas-to-Particle Conversion: Why NPF Events Are Observed in Megacities? Faraday Discuss. 2017, 200, 271–288. [Google Scholar] [CrossRef] [PubMed]
- Masiol, M.; Squizzato, S.; Formenton, G.; Harrison, R.; Agostinelli, C. Air Quality across a European Hotspot: Spatial Gradients, Seasonality, Diurnal Cycles and Trends in the Veneto Region, NE Italy. Sci. Total Environ. 2017, 576, 210–224. [Google Scholar] [CrossRef]
- Zhao, S.; Yu, Y.; Yin, D.; Qin, D.; He, J.; Dong, L. Spatial Patterns and Temporal Variations of Six Criteria Air Pollutants during 2015 to 2017 in the City Clusters of Sichuan Basin, China. Sci. Total Environ. 2017, 624, 540–557. [Google Scholar] [CrossRef] [PubMed]
- Mao, M.; Zhang, X.; Yin, Y. Particulate Matter and Gaseous Pollutions in Three Metropolises along the Chinese Yangtze River: Situation and Implications. Int. J. Environ. Res. Public Health 2018, 15, 1102. [Google Scholar] [CrossRef] [PubMed]
- Brancher, M. Increased Ozone Pollution alongside Reduced Nitrogen Dioxide Concentrations during Vienna’s First COVID-19 Lockdown: Significance for Air Quality Management. Environ. Pollut. 2021, 284, 117153. [Google Scholar] [CrossRef] [PubMed]
- Hashim, B.M.; Al-Naseri, S.K.; Al-Maliki, A.; Al-Ansari, N. Impact of COVID-19 Lockdown on NO2, O3, PM2.5 and PM10 Concentrations and Assessing Air Quality Changes in Baghdad, Iraq. Sci. Total Environ. 2021, 754, 141978. [Google Scholar] [CrossRef]
- Kalašová, A.; Paľo, J.; Černický, Ľ.; Čulík, K. Research on the Impact of Flexible Working Hours on Reducing Traffic Delays in the City. Appl. Sci. 2024, 14, 7941. [Google Scholar] [CrossRef]
- Cyrys, J.; Eeftens, M.; Ampe, C.; Armengaud, A.; Beelen, R.; Bellander, T.; Beregszaszi, T.; Birk, M.; Cesaroni, G.; Cirach, M.; et al. Variation of NO2 and NOx Concentrations between and within 36 European Study Areas: Results from the ESCAPE Study. Atmos. Environ. 2013, 62, 374–390. [Google Scholar] [CrossRef]
- Beig, G.; Gunthe, S.; Jadhav, D.B. Simultaneous Measurements of Ozone and Its Precursors on a Diurnal Scale at a Semi Urban Site in India. J. Atmos. Chem. 2007, 57, 239–253. [Google Scholar] [CrossRef]
- Pancholi, P.; Kumar, A.; Bikundia, D.S.; Chourasiya, S. An Observation of Seasonal and Diurnal Behavior of O3–NOx Relationships and Local/Regional Oxidant (OX = O3 + NO2) Levels at a Semi-Arid Urban Site of Western India. Sustain. Environ. Res. 2018, 28, 79–89. [Google Scholar] [CrossRef]
- Tiwari, S.; Rai, R.; Agrawal, M. Annual and Seasonal Variations in Tropospheric Ozone Concentrations around Varanasi. Int. J. Remote Sens. 2008, 29, 4499–4514. [Google Scholar] [CrossRef]
- Bernhard, G.H.; Bais, A.F.; Aucamp, P.J.; Klekociuk, A.R.; Liley, J.B.; McKenzie, R.L. Stratospheric Ozone, UV Radiation, and Climate Interactions. Photochem. Photobiol. Sci. 2023, 22, 937–989. [Google Scholar] [CrossRef] [PubMed]
- Fleming, Z.L.; Doherty, R.M.; von Schneidemesser, E.; Malley, C.S.; Cooper, O.R.; Pinto, J.P.; Colette, A.; Xu, X.; Simpson, D.; Schultz, M.G.; et al. Tropospheric Ozone Assessment Report: Present-Day Ozone Distribution and Trends Relevant to Human Health. Elem. Sci. Anthr. 2018, 6, 12. [Google Scholar] [CrossRef]
- Williams, R.S.; Hegglin, M.I.; Kerridge, B.J.; Jöckel, P.; Latter, B.G.; Plummer, D.A. Characterising the Seasonal and Geographical Variability in Tropospheric Ozone, Stratospheric Influence and Recent Changes. Atmos. Chem. Phys. 2019, 19, 3589–3620. [Google Scholar] [CrossRef]
- Wang, N.; Wang, H.; Huang, X.; Chen, X.; Zou, Y.; Deng, T.; Li, T.; Lyu, X.; Yang, F. Extreme Weather Exacerbates Ozone Pollution in the Pearl River Delta, China: Role of Natural Processes. Atmos. Chem. Phys. 2024, 24, 1559–1570. [Google Scholar] [CrossRef]
- Sicard, P.; De Marco, A.; Troussier, F.; Renou, C.; Vas, N.; Paoletti, E. Decrease in Surface Ozone Concentrations at Mediterranean Remote Sites and Increase in the Cities. Atmos. Environ. 2013, 79, 705–715. [Google Scholar] [CrossRef]
- Bălă, G.-P.; Râjnoveanu, R.-M.; Tudorache, E.; Motișan, R.; Oancea, C. Air Pollution Exposure—The (in)Visible Risk Factor for Respiratory Diseases. Environ. Sci. Pollut. Res. Int. 2021, 28, 19615. [Google Scholar] [CrossRef]
- Réka, K.; Keresztesi, Á.; Bodor, Z.; Miklóssy, I.; Nita, I.-A.; Birsan, M.-V.; Micheu, M.; Robert, S. Influence of Rising Air Temperature and Solar Radiation on the Tropospheric Ozone in the Ciuc Basin, Romania. Rom. J. Phys. 2021, 66, 805. [Google Scholar]
- Sicard, P.; Paoletti, E.; Agathokleous, E.; Araminienė, V.; Proietti, C.; Coulibaly, F.; De Marco, A. Ozone Weekend Effect in Cities: Deep Insights for Urban Air Pollution Control. Environ. Res. 2020, 191, 110193. [Google Scholar] [CrossRef] [PubMed]
- Monks, P.S.; Archibald, A.T.; Colette, A.; Cooper, O.; Coyle, M.; Derwent, R.; Fowler, D.; Granier, C.; Law, K.S.; Mills, G.E.; et al. Tropospheric Ozone and Its Precursors from the Urban to the Global Scale from Air Quality to Short-Lived Climate Forcer. Atmos. Chem. Phys. 2015, 15, 8889–8973. [Google Scholar] [CrossRef]
- Kovač-Andrić, E.; Radanović, T.; Topalović, I.; Marković, B.; Sakač, N. Temporal Variations in Concentrations of Ozone, Nitrogen Dioxide, and Carbon Monoxide at Osijek, Croatia. Adv. Meteorol. 2013, 2013, 469786. [Google Scholar] [CrossRef]
- Chen, P.; Yang, J.; Pu, T.; Li, C.; Guo, J.; Tripathee, L.; Kang, S. Spatial and Temporal Variations of Gaseous and Particulate Pollutants in Six Sites in Tibet, China, during 2016–2017. Aerosol Air Qual. Res. 2019, 19, 516–527. [Google Scholar] [CrossRef]
- Madronich, S.; Sulzberger, B.; Longstreth, J.D.; Schikowski, T.; Andersen, M.P.S.; Solomon, K.R.; Wilson, S.R. Changes in Tropospheric Air Quality Related to the Protection of Stratospheric Ozone in a Changing Climate. Photochem. Photobiol. Sci. 2023, 22, 1129–1176. [Google Scholar] [CrossRef] [PubMed]
- Gao, J.; Xiao, H. A Better Understanding of an Extremely High Ozone Episode with Ensemble Simulation. EGUsphere 2024. [Google Scholar] [CrossRef]
- Beelen, R.; Raaschou-Nielsen, O.; Stafoggia, M.; Andersen, Z.J.; Weinmayr, G.; Hoffmann, B.; Wolf, K.; Samoli, E.; Fischer, P.; Nieuwenhuijsen, M.; et al. Effects of Long-Term Exposure to Air Pollution on Natural-Cause Mortality: An Analysis of 22 European Cohorts within the Multicentre ESCAPE Project. Lancet 2014, 383, 785–795. [Google Scholar] [CrossRef]
- Ljungman, P.L.S.; Andersson, N.; Stockfelt, L.; Andersson, E.M.; Nilsson Sommar, J.; Eneroth, K.; Gidhagen, L.; Johansson, C.; Lager, A.; Leander, K.; et al. Long-Term Exposure to Particulate Air Pollution, Black Carbon, and Their Source Components in Relation to Ischemic Heart Disease and Stroke. Environ. Health Perspect. 2019, 127, 107012. [Google Scholar] [CrossRef]
- Viana, M.; Kuhlbusch, T.A.J.; Querol, X.; Alastuey, A.; Harrison, R.M.; Hopke, P.K.; Winiwarter, W.; Vallius, M.; Szidat, S.; Prévôt, A.S.H.; et al. Source Apportionment of Particulate Matter in Europe: A Review of Methods and Results. J. Aerosol Sci. 2008, 39, 827–849. [Google Scholar] [CrossRef]
- Vardoulakis, S.; Fisher, B.E.A.; Pericleous, K.; Gonzalez-Flesca, N. Modelling Air Quality in Street Canyons: A Review. Atmos. Environ. 2003, 37, 155–182. [Google Scholar] [CrossRef]
- Engel-Cox, J.; Kim Oanh, N.T.; van Donkelaar, A.; Martin, R.V.; Zell, E. Toward the next Generation of Air Quality Monitoring: Particulate Matter. Atmos. Environ. 2013, 80, 584–590. [Google Scholar] [CrossRef]
- Kukkonen, J.; Bozó, L.; Palmgren, F.; Sokhi, R.S. Particulate Matter in Urban Air. In Air Quality in Cities: SATURN EUROTRAC-2 Subproject Final Report; Moussiopoulos, N., Ed.; Springer: Berlin/Heidelberg, Germany, 2003; pp. 91–120. ISBN 978-3-662-05217-4. [Google Scholar]
- Yadav, M.; Soni, K.; Soni, B.K.; Singh, N.K.; Bamniya, B.R. Source Apportionment of Particulate Matter, Gaseous Pollutants, and Volatile Organic Compounds in a Future Smart City of India. Urban Clim. 2019, 28, 100470. [Google Scholar] [CrossRef]
- Duarte, A.L.; Schneider, I.L.; Artaxo, P.; Oliveira, M.L.S. Spatiotemporal Assessment of Particulate Matter (PM10 and PM2.5) and Ozone in a Caribbean Urban Coastal City. Geosci. Front. 2022, 13, 101168. [Google Scholar] [CrossRef]
- Lv, M.; Li, Z.; Jiang, Q.; Chen, T.; Wang, Y.; Hu, A.; Cribb, M.; Cai, A. Contrasting Trends of Surface PM2.5, O3, and NO2 and Their Relationships with Meteorological Parameters in Typical Coastal and Inland Cities in the Yangtze River Delta. Int. J. Environ. Res. Public Health 2021, 18, 12471. [Google Scholar] [CrossRef]
- Rodríguez, S.; Cuevas, E.; González Ramos, Y.; Ramos, R.; Romero, P.; Perez, N.; Querol, X.; Alastuey, A. Influence of Sea Breeze Circulation and Road Traffic Emissions on the Relationship between Particle Number, Black Carbon, PM1, PM2.5 and PM2.5-10 Concentrations in a Coastal City. Atmos. Environ. 2008, 42, 6523–6534. [Google Scholar] [CrossRef]
- Viana, M.; Hammingh, P.; Colette, A.; Querol, X.; Degraeuwe, B.; de Vlieger, I.; van Aardenne, J. Impact of Maritime Transport Emissions on Coastal Air Quality in Europe. Atmos. Environ. 2014, 90, 96–105. [Google Scholar] [CrossRef]
- Deng, C.; Qin, C.; Li, Z.; Li, K. Spatiotemporal Variations of PM2.5 Pollution and Its Dynamic Relationships with Meteorological Conditions in Beijing-Tianjin-Hebei Region. Chemosphere 2022, 301, 134640. [Google Scholar] [CrossRef] [PubMed]
- Rahmatinia, M.; Hadei, M.; Hopke, P.K.; Querol, X.; Shahsavani, A.; Namvar, Z.; Kermani, M. Relationship between Ambient Black Carbon and Daily Mortality in Tehran, Iran: A Distributed Lag Nonlinear Time Series Analysis. J. Environ. Health Sci. Eng. 2021, 19, 907–916. [Google Scholar] [CrossRef] [PubMed]
- Ito, K.; Thurston, G.D.; Silverman, R.A. Characterization of PM2.5, Gaseous Pollutants, and Meteorological Interactions in the Context of Time-Series Health Effects Models. J. Expo. Sci. Environ. Epidemiol. 2007, 17 (Suppl. S2), S45–S60. [Google Scholar] [CrossRef] [PubMed]










| Spring | Summer | Autumn | Winter | Entire Period | NSL | ||||||
|---|---|---|---|---|---|---|---|---|---|---|---|
| Average ± SD | Min–Max | Average ± SD | Min–Max | Average ± SD | Min–Max | Average ± SD | Min–Max | Average ± SD | Min–Max | ||
| PM2.5 (µg/m3) | 20.4 ± 8.6 | 7.9–39.9 | 15.9 ± 6.2 | 6.3–32.3 | 23.7 ± 11.5 | 8.4–64.5 | 28.9 ± 12.9 | 10–79.8 | 22.9 ± 11.6 | 6.3–79.8 | 35 |
| BC (µg/m3) | 3.9 ± 2 | 1.1–11 | 3± 1.4 | 1.1–9.1 | 8.2 ± 4.3 | 1.2–21.8 | 11.4 ± 6 | 1.1–28.5 | 7.3 ±5.5 | 1.1–28.5 | |
| O3 (µg/m3) | 7 ± 1.6 | 3.9–11.3 | 6.7 ± 1.5 | 3.8–10 | 9.8 ± 2.6 | 4.2–17.4 | 8.3 ± 2.8 | 3–16.3 | 8.1 ± 2.6 | 3–17.4 | 110 |
| SO2 (µg/m3) | 5.2 ± 4.6 | 0.3–10.8 | 2.7 ± 1.6 | 0.3–5.6 | 7.3 ± 1.6 | 4.8–10.6 | 10.1 ± 0.8 | 8.4–12.5 | 6.6 ± 3.6 | 0.3–12.5 | 75 |
| CO (µg/m3) | 2779 ± 69.4 | 2652–3043 | 2826 ± 60.8 | 2727–3013 | 2891 ± 101.9 | 2726–3218 | 2984 ± 221.7 | 2671–3665 | 2886 ± 160.7 | 2652–3665 | 7000 |
| NO2 (µg/m3) | 20 ± 4.1 | 12.7–31.6 | 18 ± 6.7 | 9.6–41.6 | n.a. | n.a. | n.a. | n.a. | 18.6 ± 5.5 | 9.6–41.6 | 50 |
| WS (m/s) | 3.8 ± 1.5 | 1.9–8.1 | 3.3 ± 0.7 | 2.3–5.7 | 2.6 ± 1.2 | 0.8–7.8 | 2.6 ± 1.7 | 0.8–9.5 | 3.0 ± 1.4 | 0.8–9.5 | n.a. |
| WD (degree) | 227.1 ± 69.3 | 55–317.5 | 262.6 ± 35.2 | 114.6–337.9 | 211.8 ± 71.7 | 28.3–329.8 | 170 ± 74.3 | 50–322.5 | 214.2 ± 73.6 | 28.3–337.9 | n.a. |
| T (°C) | 17.9 ± 1.7 | 14.2–21 | 23.6 ± 2.4 | 18.4–35.9 | 19.4 ± 3.6 | 11.1–24.8 | 13.7 ± 2.4 | 8.5–19.4 | 18.4 ± 4.7 | 8.5–35.9 | n.a. |
| P (hPa) | 1015 ± 4.3 | 1005–1023 | 1015 ± 2.3 | 1009–1019 | 1017 ± 4.1 | 1003–1025 | 1022 ± 5 | 1006–1033 | 1018 ± 5.2 | 1003–1033 | n.a. |
| RH (%) | 79.2 ± 7.2 | 55.6–89.1 | 74 ± 6.4 | 36.2–84.7 | 76.7 ± 5.3 | 65–90.6 | 83.4 ± 6.6 | 57.7–95.5 | 78.5 ± 7.3 | 36.2–95.5 | n.a. |
Disclaimer/Publisher’s Note: The statements, opinions and data contained in all publications are solely those of the individual author(s) and contributor(s) and not of MDPI and/or the editor(s). MDPI and/or the editor(s) disclaim responsibility for any injury to people or property resulting from any ideas, methods, instructions or products referred to in the content. |
© 2025 by the authors. Licensee MDPI, Basel, Switzerland. This article is an open access article distributed under the terms and conditions of the Creative Commons Attribution (CC BY) license (https://creativecommons.org/licenses/by/4.0/).
Share and Cite
Zghaid, M.; Benchrif, A.; Tahri, M.; Arfaoui, A.; Elouardi, M.; Derdaki, M.; Quyou, A.; Ouahidi, M.L. Assessment of Air Pollution and Lagged Meteorological Effects in an Urban Residential Area of Kenitra City, Morocco. Atmosphere 2025, 16, 96. https://doi.org/10.3390/atmos16010096
Zghaid M, Benchrif A, Tahri M, Arfaoui A, Elouardi M, Derdaki M, Quyou A, Ouahidi ML. Assessment of Air Pollution and Lagged Meteorological Effects in an Urban Residential Area of Kenitra City, Morocco. Atmosphere. 2025; 16(1):96. https://doi.org/10.3390/atmos16010096
Chicago/Turabian StyleZghaid, Mustapha, Abdelfettah Benchrif, Mounia Tahri, Amine Arfaoui, Malika Elouardi, Mohamed Derdaki, Ali Quyou, and Moulay Laarbi Ouahidi. 2025. "Assessment of Air Pollution and Lagged Meteorological Effects in an Urban Residential Area of Kenitra City, Morocco" Atmosphere 16, no. 1: 96. https://doi.org/10.3390/atmos16010096
APA StyleZghaid, M., Benchrif, A., Tahri, M., Arfaoui, A., Elouardi, M., Derdaki, M., Quyou, A., & Ouahidi, M. L. (2025). Assessment of Air Pollution and Lagged Meteorological Effects in an Urban Residential Area of Kenitra City, Morocco. Atmosphere, 16(1), 96. https://doi.org/10.3390/atmos16010096

