Next Article in Journal
New Makeup Air Method through Ceiling for Kitchen Ventilation in Severely Cold Regions and Its Effect on Air Environment
Next Article in Special Issue
Study on Ozone and Its Critical Influencing Factors in Key Regions of China
Previous Article in Journal
Calibration for Improving the Medium-Range Soil Forecast over Central Tibet: Effects of Objective Metrics’ Diversity
Previous Article in Special Issue
Assessing PM2.5 Dynamics and Source Contributions in Southwestern China: Insights from Winter Haze Analysis
 
 
Font Type:
Arial Georgia Verdana
Font Size:
Aa Aa Aa
Line Spacing:
Column Width:
Background:
Article

De-Carbonisation Pathways in Jiangxi Province, China: A Visualisation Based on Panel Data

by
Shun Li
,
Jie Hua
* and
Gaofeng Luo
Faculty of Information Engineering, Shaoyang University, Shaoyang 422000, China
*
Author to whom correspondence should be addressed.
Atmosphere 2024, 15(9), 1108; https://doi.org/10.3390/atmos15091108
Submission received: 7 August 2024 / Revised: 6 September 2024 / Accepted: 7 September 2024 / Published: 11 September 2024
(This article belongs to the Special Issue Air Pollution in China (3rd Edition))

Abstract

Environmental degradation remains a pressing global concern, prompting many nations to adopt measures to mitigate carbon emissions. In response to international pressure, China has committed to achieving a carbon peak by 2030 and carbon neutrality by 2060. Despite extensive research on China’s overall carbon emissions, there has been limited focus on individual provinces, particularly less developed provinces. Jiangxi Province, an underdeveloped province in southeastern China, recorded the highest GDP (Gross Domestic Product) growth rate in the country in 2022, and it holds significant potential for carbon emission reduction. This study uses data from Jiangxi Province’s 14th Five-Year Plan and Vision 2035 to create three carbon emission reduction scenarios and predict emissions. The extended STIRPAT (Stochastic Impacts by Regression on Population, Affluence, and Technology), along with various visualisation techniques, is employed to analyse the impacts of population size, primary electricity application level, GDP per capita, the share of the secondary industry in fixed-asset investment, and the number of civilian automobiles owned on carbon emissions. The study found that there is an inverted U-shaped curve relationship between GDP per capita and carbon emissions, car ownership is not a major driver of carbon emissions, and the development of primary electricity has significant potential as a means for reducing carbon emissions in Jiangxi Province. If strict environmental protection measures are implemented, Jiangxi Province can reach its peak carbon target by 2029, one year ahead of the national target. These findings provide valuable insights for policymakers in Jiangxi Province to ensure that their environmental objectives are met.

1. Introduction

Global environmental issues have intensified in recent years, with global warming emerging as one of the primary manifestations of these problems. Anthropogenic carbon dioxide emissions currently account for 72% of greenhouse gas emissions, making them a leading cause of global warming [1]. Compared to developed countries, the economic development of developing nations is more closely linked to carbon emissions. To mitigate the resulting environmental impacts, many developing countries have carried out structural reforms in domestic industries, particularly focusing on the green transformation of traditional sectors, such as the steel, coal, and cement industries, which have historically had significant impacts [2].
China, as the developing country with the largest GDP of CNY 126.05821 trillion in 2023, embodies this trait, with carbon emissions reaching 11.4 billion tons in 2022 [3,4]. China’s carbon emissions grew by about 565 million tonnes in 2023, about one-third of the growth of emissions that occurred in 2022, and by far the largest increase in the world [5].
In response to international pressure, China’s leaders have pledged to complete carbon peaking by 2030 and carbon neutrality by 2060. These dual carbon targets have garnered widespread attention and focus, with many studies exploring China’s national-level carbon emissions and its relationship with various industrialisation sectors, such as energy and transportation [6,7,8,9].
A study by Chandler et al. in 2002 pointed out that greenhouse gas emissions from the less developed regions of the world will exceed those from the developed regions in the coming decades, suggesting that there is huge potential for carbon emissions from the less developed regions [10]. However, existing studies mainly focus on analyses at the national level and in more developed provinces as opposed to less developed provinces. Zha et al., Liu et al., Zhu et al., and Fan et al. explored the factors affecting carbon emissions at the national level in China [11,12,13,14], while Li Xiao-Juan’s study in 2024 explored the key drivers of carbon emissions in Fujian Province, and Wang et al. explored the key drivers of carbon emissions in Guangdong Province [15,16]. To the best of our knowledge, this study found that there are fewer studies on the main factors influencing carbon emissions in China’s less developed provinces.
Our study aims to delve into this gap in knowledge and investigate the relationship between various factors and carbon emissions at the provincial level.
The Jiangxi Province is an underdeveloped provincial administrative unit in southeastern China and has been playing an important role in the modernisation of the country. In recent years, Jiangxi Province has been given the major mission of building an inland open economy pilot zone, marking the important position and role of Jiangxi Province in China’s opening up to the outside world schemes [17]. The total import and export volume of cross-border e-commerce in Jiangxi Province reached RMB 46.35 billion in 2023, ranking sixth in the country, and the rapid growth of the cross-border e-commerce market scale has led to the development of logistics and other high-energy-consuming industries. As of March 2024, 40 pilot cities and parks for carbon peaking have been identified in Jiangxi Province. Based on these facts, this study shows that Jiangxi Province has a huge potential for CO2 emission reduction [18,19]. Reflecting this, in 2022, the total GDP of Jiangxi Province was CNY 3207.47 billion, ranked 15th in the country; however, its GDP growth rate ranked first in the country at 4.7%, indicating that Jiangxi Province is in the stage of high-speed development [20]. Based on these factors, this study chose to target Jiangxi Province.
These environmental goals, however, are hampered by Jiangxi Province’s focus on industrialisation and the subsequent GDP growth. In the 14th Five-Year Plan of Jiangxi Province, GDP growth is regarded as the core indicator for policy actions. To help achieve this goal, the plan aims to increase the province’s integrated energy production capacity from 13.25 million tonnes of standard coal in 2020 to 16.55 million tonnes of standard coal in 2025. In addition, the plan has set a target of increasing the urbanisation rate of the resident population by 5.4 percentage points from 2020 to 2025, emphasising talent acquisition, infrastructure development, and stable population growth. The plan also stresses greater investment in transport and makes carbon dioxide emissions per unit of regional GDP and the share of non-fossil energy in primary energy consumption binding targets. It also guides traditional industries to undergo restructuring and green transformation. It is expected that civilian car ownership may be positively stimulated by the green transition, while the sector’s share in GDP may decline [21,22,23,24,25].
As a result, policymakers in Jiangxi Province expect the province’s GDP to grow at an average annual rate of 7 per cent by 2025 [26], attributed to the rapid development of the secondary industry in the Jiangxi Province [27], as well as population growth, and policies related to the 14th Five-Year Plan of Jiangxi Province, leading to a potential increase in environmental pollution. According to Marin’s forecast of Jiangxi Province’s GDP per capita in 2019, the average annual growth rate from 2022 to 2050 is expected to reach 5.72% [28].
This increasing trend in environmental pollution can already be seen in the 189.2 million tonnes of carbon emissions in 2021 [29], representing a 259% increase compared to the 52.7 million tonnes in 2001.
Thus, policymakers in the Jiangxi Province must balance strategies to consider both GDP growth and the environmental impacts it may have to achieve both goals.
To explore and project the carbon emissions of Jiangxi Province more diversely considering more factors, this study devises various scenarios for Jiangxi Province’s actions going forward. Based on the 14th Five-Year Plan and 2035 Vision of Jiangxi Province, this study derives three scenarios to best determine future approaches to environmental impacts and the stringency of policies needed: the high-speed economic growth scenario (SLA), the medium-speed economic growth scenario (BAU), and the low-speed economic growth scenario (VEH). These scenarios have been used to model carbon emissions in various other studies in the context of China [30,31].
In the SLA scenario, Jiangxi Province will implement more lenient carbon emission reduction policies, and industries will show rapid development; in the BAU scenario, Jiangxi Province will adopt certain carbon emission reduction measures, and policymakers will strike a better balance between economic development and environmental protection; and in the VEH scenario, Jiangxi Province will adopt more stringent environmental protection measures, including restricting the growth of the number of civilian vehicles, accelerating the development of primary power, the development of primary electricity, etc. Fang Kai similarly modelled a variety of development scenarios in his study of carbon emissions in 30 provinces in China in 2019, under which the 30 provinces may face different risks and challenges in achieving their carbon reduction targets [32].
Based on the indicated actions from the program, existing gaps in research, and contemporary factors (such as population, economic growth, and civilian car ownership), this paper will examine several key areas in depth to better understand their relationship with carbon emissions at the provincial level.
  • Population: The rapid growth in population size due to economic stimulus and the implementation of various consumer activities that stimulate economic development are part of the demographic dividend period of social development and promote the acceleration of the progress of urbanisation. In 2019, Muhammad Khalid Anser collected the South Asian Association for Regional Cooperation (SAARC) member countries’ population size from 1994 to 2013 and carbon emission-related data. The study used the extended STIRPAT model and fixed-effects regression model, including Driscoll and Kraay standard errors, to analyse the influencing factors of carbon emissions. The results of the study show that population growth advances the progress of urbanisation, and the expansion of the city will also increase the demand for fossil fuel energy for residences and lead to an increase in the density of cars, motorbikes, and buses, and these activities contribute largely to increased carbon emissions in the region [33,34,35,36]. Based on this, this study analyses the year-end resident population as a driver of carbon emissions in Jiangxi Province.
  • Economic development: The level of economic development directly affects the overall energy consumption and resource-use efficiency of a region, which, in turn, has a profound impact on carbon emissions. Ayinde’s study in Nigeria verified the close relationship between economic growth and energy consumption through a Vector Error Correction Model (VECM) [37]. Syed Ali Raza analysed monthly data from the US during 1973–1993, showing that energy consumption significantly contributed to carbon emissions in the United States [38]. Rabia Akram’s study in 2020 analysed the heterogeneous impact of Energy Efficiency (EE), Renewable Energy (RE), and other variables on carbon emissions in 66 developing countries from 1990 to 2014 in the context of the Environmental Kuznets Curve (EKC) hypothesis. The results of the study indicate that in most economically less developed countries, energy is closely related to economic development and has become an important component of their economies [39,40].
  • Primary power application level: Clean energy sources, such as wind, solar, and nuclear, are one of the key ways to reduce CO2 emissions. Ali Can Ozdemir collected data related to carbon emissions and their drivers in Turkey from 1990 to 2020. For this purpose, the Logarithmic Mean Divisia Index (LMDI) decomposition and Tapio decoupling models were implemented. The study found that a new energy policy focusing on primary electricity development would make a significant contribution to reducing carbon emissions [41]. Current studies are less likely to analyse the impact of primary electricity development on carbon emissions in Jiangxi Province.
  • Industrialisation: The degree of development of the secondary industry is one of the important factors affecting regional carbon emissions. The amount of fixed asset investment in Jiangxi Province in the secondary industry will directly affect the development of the secondary industry. Although the production processes and energy consumption patterns of industries vary greatly, they all have a direct impact on the amount and pattern of carbon emissions. The development of carbon-intensive industries, such as iron and steel and the chemical industry, is usually accompanied by a higher level of carbon emissions. In addition, the relatively lighter carbon emission characteristics of industries such as services and information technology also reduce overall regional carbon emissions to a certain extent. According to the Jiangxi Provincial Statistical Yearbook, in 2020, the value added by the secondary industry accounted for 52.1 per cent of all industries, the fixed investment of the secondary industry accounted for 31.7 per cent, and the value added by the tertiary industry accounted for 43 per cent. The development of the tertiary industry is lagging behind, and the overall industrial structure is unbalanced. Adjusting and optimising the industrial structure can help promote carbon emission reduction in Jiangxi Province [42].
  • Transportation (Automotive): Civilian car ownership in Jiangxi province has surged from 2.016 million in 2012 to 7.609 million in 2022, a growth rate as high as 277.4 per cent. This potential growth in latent emissions has exacerbated environmental pollution, as past studies have found that private cars account for 11 per cent of total global carbon emissions [43,44], suggesting that the rapid civilian car expansion may be one of the main contributors to environmental pollution. Sandra Wappelhorst’s 2020 study evaluating electric vehicle uptake and policies in 15 metropolitan areas in Europe, including Amsterdam and Berlin, found that removing cars from the road is an effective means of curbing carbon emissions and that regional demand for energy increases as car ownership grows [45,46,47].
This study employs the Environmental Kuznets Curve (EKC) hypothesis to explore the relationship between GDP growth and environmental pollution. The EKC hypothesis posits that environmental issues are linked to the per capita wealth of a region, suggesting that environmental degradation worsens as per capita wealth increases but then decreases after reaching a turning point, resulting in an inverted U-shaped curve. This implies that, during the early stages of economic development, carbon emissions rise but gradually decline as technological advancements and environmental policies are implemented [48,49].
Thus, to determine the best strategy for achieving economic growth while minimising environmental impacts in Jiangxi Province, the EKC was chosen as one of the analytical frameworks for this study. This approach has been widely used in environmental economics research in many countries and regions, providing policymakers with an important tool for assessing the complex relationship between economic growth and environmental quality.
At this point in time, data blowout in various industries has become the standard, and the lack of effective methods to analyse these data has become an increasingly prevalent problem [50]. As a result, big data analysis and visualisation technology have been valued by many industries, and some scholars believe that big data, with its many independent variables and large amount of information, has a huge application market in solving the problem of environmental pollution [51]. These methods of data analysis are effective and efficient, as confirmed by past studies [52]. This technology collects reliable data in large quantities from a macro or micro point of view, cleans them, and represents them in suitable flat graphs or multidimensional stereographs, from which patterns can be summarised and analysed in conjunction with the research model, having significant positive benefits, especially in the environmental field [53,54].
The recently increasingly severe environmental problems have led to the application of big data in environmental complexity analysis by governmental departments in various countries to provide guidance for energy conservation and emission reduction in the region [55].
To represent data, visualisation is often used to present the results of any dataset in a more visually digestible manner. Visualisation is a technique for presenting data or information through graphical, pictorial, or other visual means. These means can include forms such as charts, images, maps, animations, etc., and are designed to help users understand data more intuitively, discover patterns, identify trends, and make decisions. Visualisation techniques play an important role in analytics in the following ways: transforming complex data into intuitive graphics to help users quickly understand the distribution, relationships, and patterns of the data, transforming complex analytics into easy-to-understand and shareable graphics, and providing intuitive presentations of data to help decision makers make data-based decisions.
However, to the best of our knowledge, there are very few studies on carbon peaks in Jiangxi Province that employ these visualisation techniques, presenting a gap in the research. In 2019, Kai Fang et al. conducted a peak carbon study of 30 Chinese provinces, including Jiangxi Province, exploring their carbon footprints using visualisation methods, such as bubble charts. They showed that if Jiangxi Province does not adopt stricter environmental policies, it is unlikely to reach peak carbon by 2030. However, the study included more provinces and did not analyse individual provinces in sufficient depth [32].
To aid our analysis of environmental factors, we have adopted the extended STIRPAT model, a model stemming from the IPAT model and the STIRPAT model.
The IPAT model is a simple model of environmental impacts, which is used to initially assess the impacts of human activities on the environment, but it is unable to take into account complex causal relationships and interactions.
Based on the IPAT model, Dietz and Rosa proposed the STIRPAT model, which introduces more influencing factors and variables and is more detailed and accurate than the IPAT model but requires a large amount of data support and relatively complicated acquisition and processing of data [56].
The STIRPAT model represents the random effects of population, affluence, and technology regressions. The model has a solid explanatory ability in the field of environmental pollution, and the advantage of this model is that it can be analysed in combination with the actual development indicators of the region; the accuracy of the model can be improved by expanding and reducing the independent variables [57].
The extended STIRPAT model further introduces factors such as regional differences and spatial and temporal variations based on the STIRPAT model, which makes the model more flexible and applicable but requires more complex analyses of environmental impact factors [58,59].
The STIRPAT model has been widely used to study the impact of human activities on environmental pressures, particularly in terms of carbon emissions [56], and an extended version of the STIRPAT model has been used to study the drivers of carbon dioxide emissions in China previously [60,61].
However, direct modelling of non-stationary time series may give rise to pseudo-regression. This is a phenomenon that can occur in time series analysis or regression analysis when two variables both show a time trend but are not actually directly causally related [62]. This issue is addressed in Adewale Alola’s study in 2021; in order to improve the accuracy of the model, the ADF (Augmented Dickey–Fuller) and multiple covariance tests were performed on the variables of interest [21]. In their 2023 study, Li et al. [23] used a non-stationary time series with Johansen’s cointegration equation and modelled the variables that passed the cointegration test. In their 2019 study, Wang et al. [63] fitted the model using ridge regression in order to eliminate the effect of multicollinearity. To mitigate these issues, this study applies these techniques to refine the dataset and ensure the most accurate results.
The extended STIRPAT model is thus applied in this study, presenting one of the analytical frameworks of this study and working in tandem with EKC to better understand the relationship between carbon emissions and the various areas of research indicated before.
By building an extended STIRPAT model, this study aims to explore the various factors affecting carbon emissions in less developed provinces, thus enriching the study of carbon emissions in less developed provinces, as represented by Jiangxi Province. The study investigates the extent to which factors such as the economic growth pattern, the proportion of fixed asset investments in secondary industry, population size, level of primary electricity application, number of civilian automobiles, and policy interventions in Jiangxi Province affect carbon emissions, and verify whether the economic growth and carbon emissions satisfy the EKC hypothesis, diversified through the use of the three different scenarios.
The results of the study are expected to clarify the main influencing factors of carbon emissions in Jiangxi Province, make important contributions to academic research and policy formulation, and provide provincial policy recommendations for achieving China’s dual-carbon targets in 2030 and 2060.
Based on these various factors and corresponding strategies, five hypotheses are proposed.
Hypothesis 1.
Civilian vehicle ownership is the primary driver of carbon emissions in Jiangxi Province.
Hypothesis 2.
The relationship between per capita GDP and carbon emissions in Jiangxi Province aligns with the Environmental Kuznets Curve (EKC) hypothesis.
Hypothesis 3.
Enhancing the development of primary electricity in Jiangxi Province will effectively reduce environmental pollution.
Hypothesis 4.
Economic activity, the number of permanent residents, the application of primary electricity, the share of secondary industry in fixed investment, civilian vehicle ownership, and carbon emissions are all highly correlated in Jiangxi Province.
Hypothesis 5.
Under at least one scenario, Jiangxi Province will reach its peak carbon emissions by 2030.
By analysing carbon emissions in Jiangxi Province, particularly in areas that have been less researched, this study aims to enrich the understanding of regional dynamics of carbon management, provide a reference for carbon emission reduction in other less-developed provinces in China, and contribute to the efforts of Chinese policymakers to address climate change at the provincial level.
Figure 1 indicates the research framework for our study.

2. Materials and Methods

This study aims to investigate the relationship between CO2 emissions and several factors in Jiangxi Province. Jiangxi Province is located in the southeastern part of China, is experiencing rapid economic development, and plays an important role in China’s modernisation process. To achieve China’s dual carbon targets, the Jiangxi Provincial Government issued the Jiangxi Peak Carbon Implementation Program in 2022 [64], promoting the full realisation of Jiangxi’s peak carbon targets through the following strategies:
  • Action on green and low-carbon transformation of energy: promote the clean and efficient use of fossil energy and comprehensively reform the energy system.
  • Peak Carbon Action in Industry: Focus on promoting the green and low-carbon development of iron, steel, non-ferrous metals, building materials, petrochemicals, and chemical industries, as well as some other industries, gradually reducing carbon emissions in the industrial sector.
  • Peak Carbon Action in Urban and Rural Construction: Promote the green and low-carbon transformation of urban and rural construction, improving building energy efficiency, optimising the energy-using structure of buildings, and promoting carbon emission reduction.
  • Green and low-carbon transport actions: Promote the low-carbon transformation of transport equipment, build a green and efficient transport system, accelerate the construction of green transport infrastructure, and control carbon emissions in the transport sector.
This program sets out to achieve peak carbon emissions by 2030 by using these actions.
Our research methodology included data collection, cleaning, and analysis. To assess the impact of the above actions on carbon emissions in Jiangxi Province, the following methods were used in this study:
  • Data collection and analysis: Collect data on carbon emissions in Jiangxi Province in recent years and analyse them in detail.
  • Policy assessment and simulation: Assess the impacts of different policy scenarios in Jiangxi Province and conduct simulation projections.
  • Socio-economic impact analysis: Analyse the long-term impacts of the peak carbon emission scenario on the economy and society of Jiangxi Province, including the impacts of the proportion of primary electricity in total energy consumption, the proportion of secondary industry in fixed investment, the year-end resident population, economic growth, and the adjustment of civilian car ownership.
The abbreviations used in this study concerning the drivers analysed in this study are shown in Table 1.
This study used three publicly available official datasets that are closely related to the research themes and questions. The use of public datasets was chosen because they offer greater accessibility and transparency, facilitate the validation and replication of our findings by other researchers, and ensure the broad applicability of our conclusions. In addition, these datasets are published by government agencies, international organisations, or authorities and, therefore, have a higher degree of credibility and trustworthiness. These datasets are subject to stringent quality control and monitoring, which reduces the likelihood of data errors or tampering. In addition, the integrity of these datasets is high, with minimal missing data, thus reducing the impact of data bias.
To ensure the reliability of the data and the relevance to the research objectives, a screening method was used. The screening method centres on selecting the appropriate subset of data that meets specific criteria. This approach involves setting criteria based on data completeness, relevance, and consistency with the research objectives. By systematically applying these screening methods, this study ensured that the data used in our analyses were accurate, consistent, and representative [65]. For missing data, multiple interpolation and averaging were used to fill in missing values. Specifically, it used data trends from neighbouring time periods and data from other relevant variables to estimate missing values. This method can effectively reduce the impact of missing data on the analysis results and improve the completeness of the dataset. At the same time, the study used filtering criteria to ensure the accuracy and consistency of the data. The data filtering criteria included the following: data completeness (e.g., full coverage in the time frame), data relevance (whether it is relevant to the study objectives), and data consistency (whether it matches the expected time series and geographical distribution). For example, inconsistent data points from the 2022 Jiangxi Province carbon emissions data were excluded to ensure continuity and consistency in the time frame.
This rigorous screening process improves the robustness and accuracy of our findings by focusing on the subset of data that best supports our research hypotheses. It ensures that our conclusions are based on reliable data and strengthens the validity and generalisability of our findings.
This study then used Tableau 2023 to generate longitudinal trend plots for the six overview variables. The purpose of these trend plots is to facilitate a comprehensive view of the evolution of these variables and to identify in time which variables may be more important than others.
To create these trend maps, we first collected and processed relevant data from 2000 to 2021, then performed the necessary data aggregation, filtering, and grouping operations to better illustrate the relationships and trends between the variables. In designing the graphs, this study considered factors such as colours, labels, and line styles to ensure a clear and accurate depiction of changes in the variables.
The resulting trend charts show the trends in the six variables from 2000 to 2021, allowing observers to visualise the evolution of these variables and identify potentially important trends.
Next, we performed a Spearman’s correlation analysis on the six variables. Spearman’s correlation coefficient is a measure of the degree of correlation between the six variables; it is a non-parametric measure ranging from −1 to 1 that reflects the strength and direction of the correlation. A value close to −1 indicates a strong negative correlation, while a value close to 1 indicates a strong positive correlation. Values near 0 indicate a weak correlation. This method is robust to a variety of data distributions and insensitive to outliers [66,67,68].
Following the correlation analysis, the Spearman correlation coefficients were summarised, and a correlation heat map using Python was generated. This complemented our analytical approach and provided additional perspectives for data clustering and correlation analysis.
This study then used the Augmented Dickey–Fuller (ADF) test to assess the stability of the independent variables. The ADF test extends the autoregressive part of the series through the regression model and tests the hypothesis of the regression results. Specifically, the ADF test determines whether the series has a unit root by testing whether the autoregressive coefficient of the series is significantly different from one. If the results indicate that a unit root exists, the series is non-stationary; if no unit root exists, the series is stationary [21]. Variables with p-values less than 0.05 for the ADF test are considered stationary.
To avoid the problem of spurious regression, this study performed the cointegration test on the two non-stationary series. The Johansen cointegration test is more predictive of the independent variables than the Engle–Granger (EG) cointegration test, so this method was applied in this study [22]. The EG cointegration test is a statistical method used to test whether there is a long-run equilibrium relationship between two time series variables by performing a regression analysis of the two series, calculating the residuals, and performing a unit root test on the residuals. If the residuals are smooth (no unit root), then there is a cointegration relationship between the two time series, which implies that they have a stable relationship in the long run [23]. According to the interpretation of the Johansen cointegration test, the current hypothesis is rejected if the trace statistic exceeds the critical value of 1%. Table 2 shows the rejection of the null hypothesis that there is no cointegration between the variables and confirms the existence of cointegration between the variables.
To reduce the effect of multicollinearity on the regression equation, this study evaluated the correlation coefficients and Variance Inflation Factors (VIF) of the six variables in the model. Multicollinearity detection involves checking whether the VIF exceeds 10, which indicates the presence of multicollinearity among the variables. A VIF exceeding 100 indicates the presence of severe multicollinearity. If the dataset exhibits severe multicollinearity, then the widely used Ordinary Least Squares (OLS) regression may not be appropriate. In this case, OLS regression may result in unstable or even unexplained coefficient estimates. Instead, ridge regression is a more appropriate choice.
Ridge regression addresses the problem of multicollinearity by introducing a regularisation term, thus enhancing the stability and generality of the model. By controlling the ridge parameter (regularisation parameter), ridge regression reduces the effect of multicollinearity on coefficient estimation, resulting in more reliable and robust results. A study by Luis Firinguetti found that ridge regression provides better explanations relative to PLS regression, especially when there are fewer independent variables [24]. Therefore, this study chose ridge regression as the analytical method to ensure the accuracy and reliability of the model.
After verifying the suitability of the dataset for linear regression, this study proceeded to derive the STIRPAT model.
The STIRPAT model can be expressed in equation form as follows:
I = a P b A c T d ε
where I represents environmental impact, while P ,   A , and T are typically expressed in terms of population size, GDP per capita, and energy consumption per unit of GDP. The variables b ,   c , and d represent ecological elasticities, a represents the model constant term, and ε represents the error term.
The equation of the STIRAT model can be transformed into a multiple linear regression equation by introducing natural logarithms to both sides:
ln I = ln a + b ln P + c ln A + d ln T + ln ε
where I , P , A , T , a , b , c , d , and ε are the same as in Equation (1).
To analyse these sources, this study employed the use of the extended STIRPAT model, whose derivation is obtained from the STIRPAT model.
The independent variables used in this model include population size, Gross Domestic Product (GDP) per capita, the share of the secondary sector in fixed asset investment, the level of primary electricity application, and civilian car ownership, with the relevant descriptions of the independent variables shown in Table 1. The model is expressed as:
l n   C = β 0 + β 1   l n   P + β 2   l n   A + β 3   l n   E + β 4   l n   N + β 5   l n   R
where C represents CO2 emissions, P denotes resident population at year-end, A represents affluence (GDP per capita), N represents the share of the secondary sector in investment in fixed assets (fixed asset investment in the secondary industry/total fixed asset investment), E represents the level of primary electricity application (primary electricity consumption/total energy consumption), and R represents the number of civilian-owned automobiles in the province.
Equations (1)–(3) are based on the process of extending the STIRPAT model in order to explore the effects of the factors of this study on carbon emissions [33].
This study employed SPSS 24.0 software to generate ridge trace plots, which aided in identifying the minimum value of K at which the standardised regression coefficients of the predictor variables stabilised. The ridge trace plots provided an intuitive method for selecting appropriate ridge parameters, thereby optimising the model’s performance. Additionally, Origin 2022 v9.9 software enhanced the visualisation process by enabling the creation of complex line plots. Its intuitive interface facilitated seamless data import and pre-processing, while its chart customisation tools allowed for the depiction of intricate temporal and multivariate relationships. By plotting the fitted values of carbon emissions against the observed values, the study leveraged visualisation techniques to more accurately evaluate the model’s performance.
Based on the data from the 14th Five-Year Plan and Vision 2035 of Jiangxi Province, this study simulates the carbon emissions of Jiangxi Province under three scenarios, namely, the high-speed economic growth scenario (SLA), the medium-speed economic growth scenario (BAU), and the low-speed economic growth scenario (VEH). Based on the data from the three modelled scenarios, this study used the powerful R 4.3.2 software package to create radar charts to effectively illustrate the distribution of the data from the three modelled scenarios. Each radar map requires multiple axes to be plotted around a central point, with each axis corresponding to a different driver (e.g., civilian car ownership). The carbon emission values for each scenario are plotted as points or vertices on these axes, and the lines connecting these points provide circular outlines for each scenario. Different scenarios (SLA, BAU, VEH) are plotted using different colours or line styles to allow for clear comparisons. Radar charts help to visually compare the distribution and magnitude of carbon emission drivers across scenarios.
By inputting data from the three carbon emission simulation scenarios into the ridge regression model, this study can predict China’s carbon emissions and visualise the predicted data using Origin 2022 v9.9 software. Through visualisation, the study can intuitively observe the trends, changes, and patterns of the predicted results, thus gaining a more comprehensive understanding of the model’s ability to predict China’s carbon emissions.

3. Results

Graphs and charts were created using various data visualisation techniques to help illustrate our findings. Figure 2 shows the trend of annual CO2 emissions and their influencing factors in Jiangxi Province from 2000 to 2021. As can be seen in Figure 2, there is an overall decreasing trend in E and an overall increasing trend in C, P, A, R, and N from 2000 to 2021.
In Figure 3, the labels on the X-axis (horizontal) and Y-axis (vertical) represent the variables of interest, and the values in the graph represent the correlation coefficients between the variables, namely between the six variables of our study. Filled segments denote positive or negative correlations; red signifies positive, and blue signifies negative. The colour intensity reflects the correlation strength between variables. For correlation coefficients greater than 0, values closer to 1 denote stronger correlations, while values further away indicate weaker correlations. Conversely, for coefficients less than 0, proximity to 0 signifies weaker correlations, while proximity to −1 indicates stronger correlations between variables.
Table 2. Results of covariance detection between multiple variables.
Table 2. Results of covariance detection between multiple variables.
Variable l n   P l n   A l n   N l n   R l n   E
V I F >10>1009.854>1002.143
The results of the VIF test are shown in Table 2. The results of the analysis show that the VIF values of some of the variables in this study are greater than 10, and some of them even have VIF values higher than 100, indicating that there is a problem of multicollinearity between the modelled variables.
The results of the ADF test are presented in Table 3, showing that l n   R and l n   E are not smooth series (p > 0.05), while all other variables are smooth series (p < 0.05) [69].
Table 4 presents the results of the Johansen cointegration test. The results of the test confirm that there is a long-term and close relationship between l n   R and l n   E and the linear combination is smooth, further confirming the results of the linear regression analysis.
According to Table 5, the significance of each variable is p < 0.01, indicating that each independent variable powerfully interprets the dependent variable. Analysing the F-value, this study finds its relevance to be p < 0.01, confirming the meaningfulness of the model for predictive analysis. The constructed ridge regression linear equation yields a goodness of fit R² of 0.98, suggesting that the model accounts for the most important influencing factors. Consequently, the fitted data points are closer to the regression line, demonstrating high reliability and excellent performance.
The regression equation is as follows:
l n   C = 87.08 + 5.058   l n   P + 0.138   l n   A + 0.282   l n   N + 0.092   l n   R + 0.026   l n   E
Forecasting CO2 emissions in Jiangxi Province based on the extended STIRPAT model can be represented as:
C = E X P 87.08 + 5.058   l n   P + 0.138   l n   A + 0.282   l n   N + 0.092   l n   R + 0.026   l n   E
From Equations (4) and (5), all independent variables in the model affect the annual CO2 emissions in Jiangxi Province. Population size has the largest impact, with emissions increasing by 5.058 per cent for every 1 per cent increase. The smallest effect is the share of primary electricity in total energy consumption, with a decrease of 0.026 per cent in CO2 emissions for every 1 per cent increase.
The results of the ridge regression analysis are presented in Table 5.
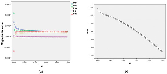
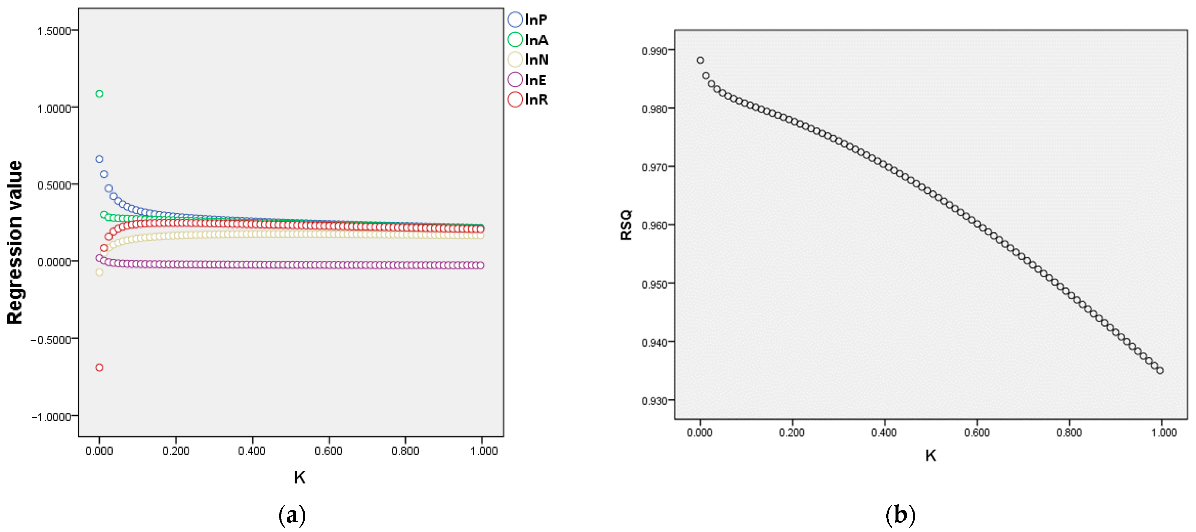
Figure 4a depicts the ridge trace plot of the model, where the Y-axis represents the standardised coefficients of the independent variables, and the X-axis indicates the value of K. Figure 4b Reflects the relationship between the R2 and K values. The selection principle for the value of K is to identify the minimum value where the standardised regression coefficients of each independent variable stabilise. Upon examining Figure 3, it is observed that the standardised coefficients of each independent variable gradually stabilise when the value of K reaches 0.143.
Figure 5 shows a comparison between the fitted and true values of carbon emissions. The black curve represents the true value, the red curve represents the fitted value, and the cyan-filled area represents the difference between the fitted value and the true value. As can be seen in Figure 4, the fitted curve is very close to the true curve, with a minimum error of 1.26 per cent and an average error of less than 5 per cent. This shows that the fitted curve is very reliable.
Figure 6 and Table 6 show the average annual growth rates for the three modelled scenarios. Figure 6 vividly illustrates the average annual growth rate (or decline rate) of each scenario through a radar chart. In this figure, this study uses three colours to distinguish the three simulated scenarios, red for the SLA scenario, light blue for the BAU scenario, and green for the VEH scenario, and the labels on the outermost part of the radar plot represent the drivers of carbon emissions (e.g., R for residential car ownership), and the values of the drivers for each scenario are plotted as dots on these axes, with the further the dots are from the centre of the radar (and the closer the dots are to the labels) indicating a better development of the drivers—factors are better developed.
Figure 7a shows the model’s projections of carbon emissions in Jiangxi Province from 2021 to 2050, showing the change in carbon emissions over time. The VEH scenario was the first to reach peak carbon emissions before 2030, and both the BAU and SLA scenarios arrived at the peak target between 2030 and 2050. Figure 7b shows the projected GDP per capita from 2023 to 2050. It is evident that as per capita wealth increases, environmental pollution gradually reaches a turning point before beginning to decline. The curve exhibits an inverted U-shape, aligning with the assumption of the Environmental Kuznets Curve (EKC).
This study applied visualisation techniques such as ridge trace plots, composite line graphs, and radar charts to further enhance the depth of analysis of CO2 emissions in Jiangxi Province, and statistical methods such as the ADF test and the EG cointegration test were used to improve the accuracy of the data analysis, which is relatively rare in the existing studies on carbon peaking in Jiangxi Province.

4. Discussion

Our analysis of various data sources in the context of carbon emissions in Jiangxi Province has a goodness-of-fit R2 of 0.98, demonstrating the good reliability and predictability of our results.
From Equations (4) and (5), this study found that civilian vehicle ownership has a contributing effect on carbon emissions in Jiangxi Province to a certain extent, which is consistent with the results of Zhang Linling’s Study on the carbon emission reduction of Shanghai’s public transportation system in 2020, which analyses and compares Shanghai’s optimal and actual traffic structures by constructing a model of Shanghai’s optimal traffic structure in 2017. The results show that the optimisation of the public transport system (including buses and other civilian vehicles) can achieve the carbon emission reduction target of 47.62%. Meanwhile, in the study of carbon emissions from passenger transport in Urumqi in 2020, Lanxin Zhang supported carbon emission reduction in the urban transport system by establishing a systematic and comprehensive framework, and the results of the study showed that the electrified bus system and electric taxis contributed less to carbon emissions. According to our study, for every 1% increase in civilian car ownership, regional carbon emissions increase by 0.092%, and although civilian car ownership contributes to the growth of carbon emissions, the extent of its impact is significantly smaller than that of the year-end resident population. Hong Shunfa’s study in 2022 collected data related to carbon emissions from 299 prefecture-level cities in 2015 and analysed the relationship between carbon emissions and population size and urban density by using motion-stratified regression analysis and a multivariate carbon-source method; the results of the study showed that the growth of population size is the main driver of carbon emissions in cities. This is consistent with our findings, which state that carbon emissions will increase by 5.058% for every 1% increase in population size, a result that leads us to reject Hypothesis 1 [70,71,72,73].
From these equations, this study can also see that for every 1% increase in the level of primary electricity application, carbon emissions are reduced by 0.026%, which has a lower impact compared to the other drivers. This result is supported by Ali Mostafaeipour, in his study on carbon emissions in Iran in 2022, who analysed the impact of renewable energy on carbon emissions in Iran by developing a system dynamics model. The results showed that optimising the renewable energy policy in Iran reduces carbon emissions by a minimum of 7% and a maximum of 41%. This idea is also corroborated by Guangyue Xu’s 2022 study of China’s electricity-related data from 1978 to 2019, who used structural equation modelling to analyse China’s electricity consumption and economic growth with multiple causal mechanisms. The results of the study showed that the increased ecological awareness brought about by economic growth increased the demand for clean energy generation [74,75]. This suggests that the development of primary electricity has a huge potential for carbon reduction in Jiangxi Province as the level of economic development increases, allowing us to accept Hypothesis 3.
According to the Environmental Kuznets Curve (EKC) hypothesis, environmental pollution goes through three stages of growth, turnaround, and decline. Based on Figure 7, this study found that the effect of GDP per capita is weak—for every 1% increase in GDP per capita, carbon emissions increase by 0.09%, indicating that the relationship between GDP per capita and carbon emissions is in the first stage of the EKC hypothesis. According to Figure 6, the study found that in the long run, the relationship between carbon emissions and GDP per capita in Jiangxi Province has an inverted U-curve. Based on the above results, the study verifies Hypothesis 2. Qiao’s 2019 study used data from 2000–2016 from 30 provinces in China to test the relationship between carbon emissions and GDP per capita. The results show that Jiangxi Province satisfies the inverted U-curve relationship between coal consumption and economic growth [73] and verified that the EKC hypothesis was established in Jiangxi Province.
From Figure 3, this study found that Spearman’s correlation coefficient between per capita GDP and carbon emissions in Jiangxi Province is 0.9966, indicating a high degree of correlation. These results are consistent with the findings of Imen Tebourbi’s study on five developing countries in the ASEAN region, which found a strong correlation between carbon emissions and the economy using pooled mean group estimation [76]. On this basis, this study confirms Hypothesis 4.
From Figure 6 and Table 6, under the VEH scenario, Jiangxi Province’s carbon emissions will reach the peak carbon target in 2029 by implementing stricter environmental protection policies, with civilian car ownership growth largely suppressed and policymakers in Jiangxi Province increasing the development of primary electricity. Fu Chun collected data on Jiangxi Province’s total forestry output value and other aspects, as in our 2021 study, and linearly fitted a number of variables, including Jiangxi Province’s total forestry output value, and the results indicate that Jiangxi Province is likely to reach peak carbon emissions in 2030 [77], in line with our findings. From this finding, Hypothesis 5 is confirmed.

4.1. Policy Recommendations

Based on the results of this study and existing research, this study proposes the following policy recommendations to help Jiangxi Province achieve its 2030 carbon emissions target through our simulation of carbon emissions under the VEH scenario, as well as past research which supports our results and helps substantiate the recommendations.

4.1.1. Promoting Renewable Energy

In this study, the development of primary electricity is a means to curb carbon emissions. To reduce dependence on fossil fuels to lower carbon emissions, it is crucial to accelerate the application of renewable energy sources such as wind, solar, and hydro. Boqiang Lin analysed the role of clean energy in the world’s low-carbon development by calculating the full Factor Carbon Performance (TFCP) through fixed-effects stochastic frontier analysis in 2021, which collected and analysed carbon emission-related data from 72 economies from 2000 to 2019. The study showed that clean energy is an important player in promoting low-carbon development in the world and that all sectors and institutions should focus on developing clean energy [78]. These possible measures include the introduction of fiscal incentives such as tax breaks, grants, and subsidies to encourage private and public investment in renewable energy projects. Emphasis should also be placed on optimising grid infrastructure and adopting smart grid technologies to maximise efficiency and facilitate the integration of clean energy. Additionally, capacity-building and educational activities are essential to support a sustainable energy transition and promote innovation in clean energy technologies.

4.1.2. Traffic Management and Green Travel Incentives

In this study, the impact of civilian car ownership on carbon emissions is low, but with the increase in population size and civilian car ownership, the problem of carbon emissions from transport is becoming more and more prominent. Through the development of an extended kaya model, Zihua Yin found that the implementation of electrification in a number of areas in China will effectively reduce carbon emissions [79]. Therefore, policymakers should take measures to encourage green travel, electrify and transform the public transport system, phase out energy-intensive public transport, and build a highly efficient and low-energy-consuming public transport system. In addition, guiding people to choose sustainable modes of travel, such as encouraging walking, cycling, and taking public transport, and promoting the use of electric vehicles and small-displacement vehicles, are also effective ways to reduce vehicle emissions.

4.1.3. Reducing Carbon Emissions in the Secondary Sector

Bing Zhu constructed a multi-objective planning model to analyse the impact of adjustments to the secondary industry on the whole region. For comparison, a single-province multi-objective planning model was established [80]. It was found that industrial structure optimisation is conducive to energy conservation and emission reduction, and adjusting the industrial structure while maintaining high economic growth will significantly save energy consumption and reduce carbon emissions. Our findings are consistent with those of Zhu Bing that adjusting the proportion of fixed asset investment in the secondary industry has a direct impact on carbon emissions and that policymakers can introduce tax incentives, subsidies, and grants to encourage enterprises to adopt low-carbon technologies and production methods. This includes accelerated depreciation for investments in energy-efficient equipment and infrastructure. At the same time, access to green bonds and sustainable financing programmes should be facilitated for industrial enterprises willing to invest in clean energy projects. Policymakers should also promote cooperation among government agencies, research institutions, and private companies to develop and commercialise innovative clean energy technologies. It is also crucial to implement carbon pricing mechanisms, such as a cap-and-trade system or a carbon tax, to internalise the cost of carbon emissions as an incentive to reduce carbon emissions.

4.1.4. Reducing the Impact of Population Growth on Carbon Emissions

Erum Rehman’s study in 2022 collected data related to carbon emissions from 2001 to 2014 for the five most populous Asian countries, including India, and analysed the impact of factors such as population size growth, energy consumption, and other factors on their carbon emissions using weights and rankings based on grey relational analysis (GRA). The results of the study showed that population size growth has a significant contribution to carbon emissions [81]. The results of this study are consistent with our findings that population growth is a major driver of carbon emissions in Jiangxi Province. Therefore, policymakers in Jiangxi Province can mitigate this problem through some feasible measures, including scientific planning of urban spatial layout, reasonable control of the rate of urban expansion, avoiding large-scale population concentration, and reducing traffic congestion and energy consumption. At the same time, it is also crucial to strengthen publicity and education on low-carbon lifestyles, raise public awareness of environmental protection, and advocate the concept of simple and moderate consumption.

4.1.5. Optimising the Structure of the Economy to Reduce Its Impact on Carbon Emissions

Zheng-Xin Wang, in 2019, analysed the direct relationship between China’s economic growth and CO2 emissions using a grey Verhulst model based on the PSO algorithm, which collected data on China’s GDP and CO2 emissions from 1990 to 2014. The results of the study predicted that China’s economic growth will significantly contribute to carbon emissions until 2030 [82]. The results of this study are consistent with ours, according to which, for every 1% of economic growth in Jiangxi Province, carbon emissions will also grow by 0.138%. Based on this, this study recommends that policymakers balance the relationship between economic activities and carbon emissions. Some possible measures include funding R&D projects on environmental technologies, supporting innovations in efficient energy use, pollutant reduction, and environmental monitoring technologies, and promoting cooperation among enterprises, research institutes, and universities to accelerate the transformation and application of environmental technologies. At the same time, the study strengthens the assessment system for green building design, promoting energy-saving and environmentally friendly building materials and technologies, and reducing the consumption of energy and resources by the construction industry. In addition, it is also important to establish a monitoring system for the implementation of environmental protection policies, regularly assess the effectiveness of policy implementation, and adjust and optimise policy measures in a timely manner.
These policy recommendations will provide guidance for Jiangxi Province to achieve the 2030 carbon emissions target and promote sustainable economic, social, and environmental development. In actual policy formulation, the formulation of policies in accordance with the order of priority will greatly improve the efficiency of carbon emission reduction work, and policymakers can give priority to adopting the following policies: enhancing public awareness of environmental protection and optimising economic structure. This is followed by improving carbon emissions from the secondary sector, optimising traffic management and encouraging green travel, and promoting the development of renewable energy.
This study was, however, limited to analysing panel data for Jiangxi Province from 2000 to 2021 without direct input from environmental experts and without application to real-world scenarios. Furthermore, the extended STIRPAT model may not have taken into account all the complex factors affecting carbon emissions and requires further refinement and validation. Ying X’s research on ridge regression in 2019 pointed out that although ridge regression can effectively reduce multicollinearity and overfitting through regularisation methods, the presence of noise, the limited size of the training set, and the complexity of the classifier may lead to a slight overfitting phenomenon.
To address this limitation in the future, the authors plan to validate the goodness-of-fit reliability using lasso regression and other methods, incorporate more recent data into the model training process, and explore the use of alternative models or factors to conduct a more comprehensive analysis of the factors influencing carbon emissions in Jiangxi Province.

5. Conclusions

This study aimed to analyse the factors influencing carbon emissions in the less developed provinces of southeastern China, with a focus on Jiangxi Province, by extending the STIRPAT model and employing various visualisation techniques to effectively represent the results. The goal was to enhance understanding of the relationship between carbon emissions and multiple factors at the provincial level.
While many studies have focused on carbon emissions in China as a whole or in its more developed provinces, limited attention has been given to the less developed regions of southeastern China. Jiangxi Province, which represents these less developed provinces and had the highest GDP growth rate among all provinces in 2022, was selected for this study.
The study investigates the impact of economic activities, the proportion of fixed asset investment in the secondary industry, the number of permanent residents, the application of primary electricity, and civilian car ownership on carbon emissions in Jiangxi Province. By extending the traditional STIRPAT model to include civilian car ownership as a key factor, this study offers a more contextually relevant analysis of carbon emissions in Jiangxi Province. The findings reveal that the relationship between economic growth and carbon emissions in Jiangxi Province follows the inverted U-curve pattern, consistent with the Environmental Kuznets Curve (EKC) hypothesis. This provides valuable insights for academics and policymakers and contributes to China’s efforts to achieve its dual-carbon target.
In summary, this study provides an in-depth analysis of carbon emissions in Jiangxi Province, enriching the understanding of regional carbon management dynamics in less developed areas of southeastern China. It also offers theoretical support for carbon reduction strategies in other less developed regions across China and provides policy recommendations for addressing the challenges of global climate change. Based on the extended STIRPAT model and ridge regression results, the study finds that carbon emissions in Jiangxi Province are significantly influenced by civilian vehicle ownership, energy intensity, urbanisation rate, population size, GDP per capita, and industrial structure. Correlation and regression analyses indicate that population size has the greatest impact on annual CO2 emissions in Jiangxi Province, followed by industrial structure. These findings underscore the importance of government agencies balancing economic development with environmental protection.
This study modelled three carbon reduction scenarios that point the way for Jiangxi Province to reach peak carbon emissions by 2030. The most effective scenarios involve multifaceted strategies, including significant investments in clean energy and electrification. Assessing the statistical and practical significance of these findings is critical to ensure that they are translated into influential policy decisions. The practical significance of our findings suggests that policymakers in Jiangxi Province should prioritise the following actions:
  • Promotion of electric vehicles: providing subsidies and incentives for EV adoption can accelerate the transition from fossil fuels in the transport sector.
  • Electrification of public transport: Expanding electric public transport options will reduce emissions from one of the largest sources of pollution in cities.
  • Increase the use of clean energy: Prioritising investment in wind, solar, and hydropower will reduce reliance on coal and other high-emission energy sources.
  • Adopt low-carbon technologies: Encouraging industries to adopt energy-efficient practices and technologies will reduce the carbon footprint of industries.
  • Investing in energy-efficient infrastructure: Accelerating the adoption of energy-efficient systems in buildings and infrastructure will help to significantly reduce emissions.
By focusing on these areas, Jiangxi can align its policies with the identified scenarios and ensure tangible progress towards carbon emission targets.
Future work will incorporate more economically significant variables into the models to improve their predictive power. Close collaboration with environmental pollution control experts will enhance the robustness of the models to ensure their applicability to real-world situations. Rigorous methods, such as Granger causality tests, will be used to test the causal relationship between variables and carbon emissions, providing greater insight into the underlying dynamics. The development of a hybrid model combining STIRPAT and system dynamics (STIRPAT-SD) could further improve the reliability of the projections and provide valuable insights into the achievement of carbon neutrality targets, such as China’s goal of carbon neutrality by 2060.
Although this study has made significant progress in understanding carbon emissions in Jiangxi Province, its findings are currently limited to this specific region. To address this limitation and generalise the results to other countries, future research will seek to validate and adapt the models developed in this study within different national contexts. By addressing the identified limitations and pursuing future research directions, this study seeks to provide more accurate and practical insights for environmental policymaking and carbon reduction strategies.

Author Contributions

Conceptualisation, S.L. and J.H.; methodology, S.L. and J.H.; software, S.L., J.H. and G.L.; validation, S.L. and J.H.; formal analysis, S.L. and J.H.; investigation, S.L. and J.H.; resources, S.L., J.H. and G.L.; data curation, S.L. and J.H; writing—original draft preparation, S.L. and J.H; writing—review and editing, S.L., J.H. and G.L.; visualisation, S.L. and J.H.; All authors have read and agreed to the published version of the manuscript.

Funding

This research was funded by the Scientific Research Fund of Hunan Provincial Education Department, grant No. 21A0470 and the Natural Science Foundation of Hunan Province, China (Grant No. 2023JJ50268).

Institutional Review Board Statement

Not applicable.

Informed Consent Statement

Not applicable.

Data Availability Statement

The data that support the findings of this study are available in [Jiangxi Statistical Yearbook] at [http://tjj.jiangxi.gov.cn/col/col38595/index.html] [43]. These data were derived from the following resources available in the public domain: http://tjj.jiangxi.gov.cn/col/col38595/index.html (accessed on 4 March 2024).

Conflicts of Interest

The authors declare no conflicts of interest.

References

  1. Yoro, K.O.; Daramola, M.O. CO2 emission sources, greenhouse gases, and the global warming effect. In Advances in Carbon Capture; Woodhead Publishing: Sawston, UK, 2020; pp. 3–28. [Google Scholar]
  2. Lee, C.C.; Chang, C.P. Energy consumption and GDP revisited: A panel analysis of developed and developing countries. Energy Econ. 2007, 29, 1206–1223. [Google Scholar] [CrossRef]
  3. China National Bureau of Statistics (CNBS). Available online: https://www.stats.gov.cn/ (accessed on 4 March 2024).
  4. Liu, L.; Wang, X.; Wang, Z. Recent progress and emerging strategies for carbon peak and carbon neutrality in China. Greenh. Gases Sci. Technol. 2023, 13, 732–759. [Google Scholar] [CrossRef]
  5. IEA. Available online: https://www.iea.org/reports/co2-emissions-in-2023 (accessed on 4 March 2024).
  6. World Development Indicators|Data Catalog. Available online: https://datacatalog.worldbank.org/search/dataset/0037712/World-Development-Indicators (accessed on 2 March 2024).
  7. China and UK Increase Commitment to a Carbon-Neutral Future. Available online: https://cen.acs.org/energy/China-UK-increase-commitment-carbon/98/i40 (accessed on 2 March 2024).
  8. Huang, T.; Zhu, X.; Zhong, Q.; Yun, X.; Meng, W.; Li, B.; Ma, J.; Zeng, E.Y.; Tao, S. Spatial and temporal trends in global emissions of nitrogen oxides from 1960 to 2014. Environ. Sci. Technol. 2017, 51, 7992–8000. [Google Scholar] [CrossRef] [PubMed]
  9. Ma, Q.; Murshed, M.; Khan, Z. The nexuses between energy investments, technological innovations, emission taxes, and carbon emissions in China. Energy Policy 2021, 155, 112345. [Google Scholar] [CrossRef]
  10. Chandler, W.; Secrest, T.J.; Logan, J.; Schaeffer, R.; Szklo, A.S.; Schuler, M.E.; Zhou, D.; Zhang, K.; Zhu, Y.; Xu, H.; et al. Climate Change Mitigation in Developing Countries. Brazil, China, India, Mexico, South Africa, and Turkey; Pew Center on Global Climate Change: Arlington, VA, USA, 2002. [Google Scholar]
  11. Zha, D.; Zhou, D.; Zhou, P. Driving forces of residential CO2 emissions in urban and rural China: An index decomposition analysis. Energy Policy 2010, 38, 3377–3383. [Google Scholar]
  12. Liu, L.-C.; Wu, G.; Wang, J.-N.; Wei, Y.-M. China’s carbon emissions from urban and rural households during 1992–2007. J. Clean. Prod. 2011, 19, 1754–1762. [Google Scholar] [CrossRef]
  13. Zhu, Q.; Peng, X.; Wu, K. Calculation and decomposition of indirect carbon emissions from residential consumption in China based on the input–output model. Energy Policy 2012, 48, 618–626. [Google Scholar] [CrossRef]
  14. Fan, J.-L.; Liao, H.; Liang, Q.-M.; Tatano, H.; Liu, C.-F.; Wei, Y.-M. Residential carbon emission evolutions in urban–rural divided China: An end-use and behavior analysis. Appl. Energy 2013, 101, 323–332. [Google Scholar] [CrossRef]
  15. Li, X.; Lin, C.; Lin, M.; Jim, C.Y. Drivers, scenario prediction and policy simulation of the carbon emission system in Fujian Province (China). J. Clean. Prod. 2024, 434, 140375. [Google Scholar] [CrossRef]
  16. Wang, W.; Zhao, D.; Kuang, Y. Decomposition analysis on influence factors of direct household energy-related carbon emission in Guangdong province-Based on extended Kaya identity. Environ. Prog. Sustain. Energy 2016, 35, 298–307. [Google Scholar] [CrossRef]
  17. Jiangxi Takes Solid Steps to Build Socialist Modernisation in all Aspects. Available online: https://www.jiangxi.gov.cn/art/2024/5/17/art_393_4880985.html (accessed on 8 March 2024).
  18. Yang, Y.; Jia, J.; Chen, C. Residential Energy-Related CO2 Emissions in China’s Less Developed Regions: A Case Study of Jiangxi. Sustainability 2020, 12, 2000. [Google Scholar] [CrossRef]
  19. Public Notice on the Second Batch of Carbon Peak Pilot Cities and Parks to be Recognised in Jiangxi Province. Available online: http://drc.jiangxi.gov.cn/art/2024/2/2/art_14590_4779391.html (accessed on 8 March 2024).
  20. Explained: 2022 GDP Figures for the Province. Available online: https://www.jiangxi.gov.cn/art/2023/2/23/art_423_4367793.html (accessed on 6 March 2024).
  21. Adewale Alola, A. Risk to investment and renewables production in the United States: An inference for environmental sustainability. J. Clean. Prod. 2021, 312, 127652. [Google Scholar] [CrossRef]
  22. Sun, L.L.; Cui, H.J.; Ge, Q.S. Will China achieve its 2060 carbon neutral commitment from the provincial perspective? Adv. Clim. Change Res. 2022, 13, 169–178. [Google Scholar] [CrossRef]
  23. Li, J.; Irfan, M.; Samad, S.; Ali, B.; Zhang, Y.; Badulescu, D.; Badulescu, A. The relationship between energy consumption, CO2 emissions, economic growth, and health indicators. Int. J. Environ. Res. Public Health 2023, 20, 2325. [Google Scholar] [CrossRef] [PubMed]
  24. Firinguetti, L.; Kibria, G.; Araya, R. Study of partial least squares and ridge regression methods. Commun. Stat. Simul. Comput. 2017, 46, 6631–6644. [Google Scholar] [CrossRef]
  25. Chen, Y.; Wang, Z.; Zhong, Z. CO2 emissions, economic growth, renewable and non-renewable energy production and foreign trade in China. Renew. Energy 2019, 131, 208–216. [Google Scholar] [CrossRef]
  26. Outline of the Fourteenth Five-Year Plan for the National Economic and Social Development of Jiangxi Province and the Vision for 2035. Available online: https://www.jiangxi.gov.cn/art/2021/2/18/art_396_3192909.html (accessed on 3 March 2024).
  27. China Statistical Yearbook 2021. Available online: https://www.stats.gov.cn/sj/ndsj/2022/indexch.htm (accessed on 3 March 2024).
  28. Ofori, E.K.; Li, J.; Gyamfi, B.A.; Opoku-Mensah, E.; Zhang, J. Green industrial transition: Leveraging environmental innovation and environmental tax to achieve carbon neutrality. Expanding on STIRPAT model. J. Environ. Manag. 2023, 343, 118121. [Google Scholar] [CrossRef]
  29. Guan, Y.; Shan, Y.; Huang, Q.; Chen, H.; Wang, D.; Hubacek, K. Assessment to China’s recent emission pattern shifts. Earth’s Future 2021, 9, e2021EF002241. [Google Scholar] [CrossRef]
  30. Wang, Y.; Xie, H.; Chen, Y. Decomposition and Scenario Analysis of Factors Influencing Carbon Emissions: A Case Study of Jiangsu Province, China. Sustainability 2023, 15, 6718. [Google Scholar] [CrossRef]
  31. Wang, Y.; Xie, H. Dynamic Scenario Predictions of Peak Carbon Emissions in China’s Construction Industry. Sustainability 2023, 15, 5922. [Google Scholar] [CrossRef]
  32. Fang, K.; Tang, Y.; Zhang, Q.; Song, J.; Wen, Q.; Sun, H.; Ji, C.; Xu, A. Will China peak its energy-related carbon emissions by 2030? Lessons from 30 Chinese provinces. Appl. Energy 2019, 255, 113852. [Google Scholar] [CrossRef]
  33. Anser, M.K.; Alharthi, M.; Aziz, B.; Wasim, S. Impact of urbanisation, economic growth, and population size on residential carbon emissions in the SAARC countries. Clean Technol. Environ. Policy 2020, 22, 923–936. [Google Scholar] [CrossRef]
  34. Chen, H.; Tackie, E.A.; Ahakwa, I.; Musah, M.; Salakpi, A.; Alfred, M.; Atingabili, S. Does energy consumption, economic growth, urbanisation, and population growth influence carbon emissions in the BRICS? Evidence from panel models robust to cross-sectional dependence and slope heterogeneity. Environ. Sci. Pollut. Res. 2022, 29, 37598–37616. [Google Scholar] [CrossRef] [PubMed]
  35. Zhang, W.; Fan, H.; Zhao, Q. Seeing green: How does digital infrastructure affect carbon emission intensity? Energy Econ. 2023, 127, 107085. [Google Scholar] [CrossRef]
  36. Liao, K.; Liu, J. Digital infrastructure empowerment and urban carbon emissions: Evidence from China. Telecommun. Policy 2024, 48, 102764. [Google Scholar] [CrossRef]
  37. Ayinde, A.R.; Celik, B.; Gylych, J. Effect of economic growth, industrialization, and urbanization on energy consumption in Nigeria: A vector error correction model analysis. Int. J. Energy Econ. Policy 2019, 9, 409–418. [Google Scholar] [CrossRef][Green Version]
  38. Raza, S.A.; Shah, N.; Sharif, A. Time frequency relationship between energy consumption, economic growth and environmental degradation in the United States: Evidence from transportation sector. Energy 2019, 173, 706–720. [Google Scholar] [CrossRef]
  39. Chen, L.; Tan, Y.; Lv, G.; Cai, W.; Gao, X.; Li, R. Uncovering the coupling effect with energy-related carbon emissions and human development variety in Chinese provinces. J. Environ. Sci. 2024, 139, 527–542. [Google Scholar] [CrossRef]
  40. Akram, R.; Chen, F.; Khalid, F.; Ye, Z.; Majeed, M.T. Heterogeneous effects of energy efficiency and renewable energy on carbon emissions: Evidence from developing countries. J. Clean. Prod. 2020, 247, 119122. [Google Scholar] [CrossRef]
  41. Ozdemir, A.C. Decomposition and decoupling analysis of carbon dioxide emissions in electricity generation by primary fossil fuels in Turkey. Energy 2023, 273, 127264. [Google Scholar] [CrossRef]
  42. Cheng, J.; Xie, Y.; Zhang, J. Industry structure optimization via the complex network of industry space: A case study of Jiangxi Province in China. J. Clean. Prod. 2022, 338, 130602. [Google Scholar] [CrossRef]
  43. Jiangxi Statistical Yearbook. Available online: http://tjj.jiangxi.gov.cn/col/col38595/index.html (accessed on 4 March 2024).
  44. Jiangxi Provincial Bureau of Statistics. Available online: http://tjj.jiangxi.gov.cn/?index=1 (accessed on 3 March 2024).
  45. Wappelhorst, S.; Hall, D.; Nicholas, M.; Lutsey, N. Analysing Policies to Grow the Electric Vehicle Market in European Cities; Interna-tional Council on Clean Transportation: Washington, DC, USA, 2020. [Google Scholar]
  46. Andor, M.A.; Gerster, A.; Gillingham, K.T.; Horvath, M. Running a car costs much more than people think—Stalling the uptake of green travel. Nature 2020, 580, 453–455. [Google Scholar] [CrossRef]
  47. Haas, T.; Sander, H. Decarbonizing transport in the European Union: Emission performance standards and the perspectives for a European Green Deal. Sustainability 2020, 12, 8381. [Google Scholar] [CrossRef]
  48. Bibi, F.; Jamil, M. Testing environment Kuznets curve (EKC) hypothesis in different regions. Environ. Sci. Pollut. Res. 2021, 28, 13581–13594. [Google Scholar] [CrossRef] [PubMed]
  49. Aminzadeh, K.; Bakhtiari, S.; Daei-karimzadeh, S. Environmental Pollution and Economic Growth based on the Theory of Environmental Kuznets Curve (EKC) in Iran’s Provinces (1997–2017). Environ. Energy Econ. Res. 2021, 5, 1–15. [Google Scholar]
  50. Al-Sai, Z.A.; Husin, M.H.; Syed-Mohamad, S.M.; Abdin, R.M.S.; Damer, N.; Abualigah, L.; Gandomi, A.H. Explore big data analytics applications and opportunities: A review. Big Data Cogn. Comput. 2022, 6, 157. [Google Scholar] [CrossRef]
  51. Wu, X.; Zhu, X.; Wu, G.-Q.; Ding, W. Data mining with big data. IEEE Trans. Konwledge Data Eng. 2014, 26, 97–107. [Google Scholar]
  52. El Alaoui, I.; Gahi, Y.; Messoussi, R.; Todoskoff, A. Big Data analytics: A comparison of tools and applications. In Innovations in Smart Cities and Applications: Proceedings of the 2nd Mediterranean Symposium on Smart City Applications 2; Springer International Publishing: Berlin/Heidelberg, Germany, 2018; pp. 587–601. [Google Scholar]
  53. Gordin, D.N.; Pea, R.D. Prospects for Scientific Visualization as an Educational Technology. J. Learn. Sci. 1995, 4, 249–279. [Google Scholar] [CrossRef]
  54. Van Wijk, J.J. The value of visualization. In Proceedings of the VIS 05. IEEE Visualization, Minneapolis, MN, USA, 23–28 October 2005; IEEE: Piscataway, NJ, USA, 2005; pp. 79–86. [Google Scholar]
  55. Giest, S.; Mukherjee, I. Behavioral instruments in renewable energy and the role of big data: A policy perspective. Energy Policy 2018, 123, 360–366. [Google Scholar] [CrossRef]
  56. Dietz, T.; Rosa, E.A. Effects of population and affluence on CO2 emissions. Proc. Natl. Acad. Sci. USA 1997, 94, 175–179. [Google Scholar] [CrossRef]
  57. Shahbaz, M.; Loganathan, N.; Muzaffar, A.T.; Ahmed, K.; Jabran, M.A. How urbanisation affects CO2 emissions in Malaysia? The application of STIRPAT model. Renew. Sustain. Energy Rev. 2016, 57, 83–93. [Google Scholar] [CrossRef]
  58. Chen, M.; Lei, J.; Xiang, X.; Ma, M. The drivers of declining CO2 emissions trends in developed nations using an extended STIRPAT model: A historical and prospective analysis. Renew. Sustain. Energy Rev. 2021, 149, 111328. [Google Scholar]
  59. Yang, L.; Xia, H.; Zhang, X.; Yuan, S. What matters for carbon emissions in regional sectors? A China study of extended STIRPAT model. J. Clean. Prod. 2018, 180, 595–602. [Google Scholar] [CrossRef]
  60. Ma, M.; Yan, R.; Cai, W. An extended STIRPAT model-based methodology for evaluating the driving forces affecting carbon emissions in existing public building sector: Evidence from China in 2000–2015. Nat. Hazards 2017, 89, 741–756. [Google Scholar] [CrossRef]
  61. Liu, D.; Xiao, B. Can China achieve its carbon emission peaking? A scenario analysis based on STIRPAT and system dynamics model. Ecol. Indic. 2018, 93, 647–657. [Google Scholar] [CrossRef]
  62. Lv, P.; Wang, J. Research on Electricity Consumption and Economic Growth Based on Variable Coefficient Panel Data Regression. In Proceedings of the 2016 International Seminar on Education Innovation and Economic Management (SEIEM 2016), Chongqing, China, 23–25 December 2016; Atlantis Press: Amsterdam, The Netherlands, 2016; pp. 492–495. [Google Scholar]
  63. Wang, S.; Wang, J.; Li, S.; Fang, C.; Feng, K. Socioeconomic driving forces and scenario simulation of CO2 emissions for a fast-developing region in China. J. Clean. Prod. 2019, 216, 217–229. [Google Scholar] [CrossRef]
  64. Jiangxi Provincial Peak Carbon Emission Implementation Programme. Available online: https://www.jiangxi.gov.cn/art/2022/7/18/art_396_4033340.html (accessed on 11 March 2024).
  65. DeSimone, J.A.; Harms, P.D.; DeSimone, A.J. Best practice recommendations for data screening. J. Organ. Behav. 2015, 36, 171–181. [Google Scholar] [CrossRef]
  66. You, Y.; Liang, D.; Wei, R.; Li, M.; Li, Y.; Wang, J.; Wang, X.; Zheng, X.; Jia, W.; Chen, T. Evaluation of metabolite-microbe correlation detection methods. Anal. Biochem. 2019, 567, 106–111. [Google Scholar] [CrossRef]
  67. Zhang, W.-Y.; Wei, Z.-W.; Wang, B.-H.; Han, X.-P. Measuring mixing patterns in complex networks by Spearman rank correlation coefficient. Phys. A Stat. Mech. Its Appl. 2016, 451, 440–450. [Google Scholar] [CrossRef]
  68. Spearman, C. The Proof and Measurement of Association between Two Things. Am. J. Psychol. 1987, 15, 72–101. [Google Scholar] [CrossRef]
  69. Mushtaq, Rizwan, Augmented Dickey Fuller Test (17 August 2011). Available online: https://papers.ssrn.com/sol3/papers.cfm?abstract_id=1911068 (accessed on 11 March 2024).
  70. Zhang, L.; Long, R.; Li, W.; Wei, J. Potential for reducing carbon emissions from urban traffic based on the carbon emission satisfaction: Case study in Shanghai. J. Transp. Geogr. 2020, 85, 102733. [Google Scholar] [CrossRef]
  71. Zhang, L.; Li, Z.; Jia, X.; Tan, R.R.; Wang, F. Targeting carbon emissions mitigation in the transport sector–A case study in Urumqi, China. J. Clean. Prod. 2020, 259, 120811. [Google Scholar] [CrossRef]
  72. Hong, S.; Hui, E.C.M.; Lin, Y. Relationships between carbon emissions and urban population size and density, based on geo-urban scaling analysis: A multi-carbon source empirical study. Urban Clim. 2022, 46, 101337. [Google Scholar] [CrossRef]
  73. Qiao, H.; Chen, S.; Dong, X.; Dong, K. Has China’s coal consumption actually reached its peak? National and regional analysis considering cross-sectional dependence and heterogeneity. Energy Econ. 2019, 84, 104509. [Google Scholar] [CrossRef]
  74. Mostafaeipour, A.; Bidokhti, A.; Fakhrzad, M.B.; Sadegheih, A.; Mehrjerdi, Y.A. A new model for the use of renewable electricity to reduce carbon dioxide emissions. Energy 2022, 238, 121602. [Google Scholar] [CrossRef]
  75. Xu, G.; Yang, H.; Schwarz, P. A strengthened relationship between electricity and economic growth in China: An empirical study with a structural equation model. Energy 2022, 241, 122905. [Google Scholar] [CrossRef]
  76. Tebourbi, I.; Thi Truc Nguyen, A.; Yuan, S.F.; Huang, C.Y. How do social and economic factors affect carbon emissions? New evidence from five ASEAN developing countries. Econ. Res. Ekon. Istraž. 2023, 36, 2120038. [Google Scholar] [CrossRef]
  77. Fu, C.; Min, W. Research on the control path and countermeasures of net CO2 emissions in central China—Represented by Jiangxi Province. Environ. Technol. 2022, 44, 3867–3882. [Google Scholar] [CrossRef]
  78. Lin, B.; Li, Z. Towards world’s low carbon development: The role of clean energy. Appl. Energy 2022, 307, 118160. [Google Scholar] [CrossRef]
  79. Yin, Z.; Lu, X.; Chen, S.; Wang, J.; Wang, J.; Urpelainen, J.; Fleming, R.M.; Wu, Y.; He, K. Implication of electrification and power decarbonization in low-carbon transition pathways for China, the U.S. and the EU. Renew. Sustain. Energy Rev. 2023, 183, 113493. [Google Scholar]
  80. Zhu, B.; Zhang, T. The impact of cross-region industrial structure optimization on economy, carbon emissions and energy consumption: A case of the Yangtze River Delta. Sci. Total Environ. 2021, 778, 146089. [Google Scholar] [CrossRef] [PubMed]
  81. Rehman, E.; Rehman, S. Modeling the nexus between carbon emissions, urbanization, population growth, energy consumption, and economic development in Asia: Evidence from grey relational analysis. Energy Rep. 2022, 8, 5430–5442. [Google Scholar] [CrossRef]
  82. Wang, Z.X.; Li, Q. Modelling the nonlinear relationship between CO2 emissions and economic growth using a PSO algorithm-based grey Verhulst model. J. Clean. Prod. 2019, 207, 214–224. [Google Scholar] [CrossRef]
Figure 1. Research framework and procedures.
Figure 1. Research framework and procedures.
Atmosphere 15 01108 g001
Figure 2. Trends in annual carbon dioxide emissions and their influencing factors in Jiangxi Province, 2000–2021.
Figure 2. Trends in annual carbon dioxide emissions and their influencing factors in Jiangxi Province, 2000–2021.
Atmosphere 15 01108 g002
Figure 3. Correlation heat map analysis of 6 variables.
Figure 3. Correlation heat map analysis of 6 variables.
Atmosphere 15 01108 g003
Figure 4. The ridge traces of the model variables, the relationship between R2, and the ridge regression coefficient K. (a) The relationship between the regression values of the variables and the ridge regression coefficient K; (b) the relationship among the model’s goodness-of-fit, R2, and the ridge regression coefficient K.
Figure 4. The ridge traces of the model variables, the relationship between R2, and the ridge regression coefficient K. (a) The relationship between the regression values of the variables and the ridge regression coefficient K; (b) the relationship among the model’s goodness-of-fit, R2, and the ridge regression coefficient K.
Atmosphere 15 01108 g004
Figure 5. Comparison of predicted and actual values from ridge regression.
Figure 5. Comparison of predicted and actual values from ridge regression.
Atmosphere 15 01108 g005
Figure 6. Radar diagram of SLA, BAU, and VEH simulation strategies.
Figure 6. Radar diagram of SLA, BAU, and VEH simulation strategies.
Atmosphere 15 01108 g006
Figure 7. Forecast of carbon dioxide emissions and gross domestic product per capita in Jiangxi Province, (a) represents the projected curve of carbon emissions in Jiangxi Province under the three carbon emission policies, and (b) represents the projected curve of GDP per capita in Jiangxi Province.
Figure 7. Forecast of carbon dioxide emissions and gross domestic product per capita in Jiangxi Province, (a) represents the projected curve of carbon emissions in Jiangxi Province under the three carbon emission policies, and (b) represents the projected curve of GDP per capita in Jiangxi Province.
Atmosphere 15 01108 g007
Table 1. Significance and source of the five independent variable representations.
Table 1. Significance and source of the five independent variable representations.
SymbolDriverCalculation MethodData Source
CCarbon dioxide emissionsAnnual CO2 emissions (million tonnes) in Jiangxi ProvinceChina Carbon Accounting Databases (CEADs) [29]
PPopulationResident population
at year-end
Statistical Yearbook of Jiangxi Province [43]
AEconomic development levelGDP per capita (RMB/yuan)China’s National Bureau of Statistics and Jiangxi Provincial Bureau of Statistics [3,44]
EShare of primary electricity in total energy consumptionPrimary electricity consumption/ Total energy consumptionStatistical Yearbook of Jiangxi Province
RCivilian automobile ownership (10,000 units)Number of civilian-owned automobiles in the provinceChina’s National Bureau of Statistics
NShare of secondary industry in the province’s fixed asset investment (%)Investment in fixed assets in the secondary sector/Total investment in fixed assetsStatistical Yearbook of Jiangxi Province
Table 3. The results of the ADF (Augmented Dickey–Fuller) test for the model variables.
Table 3. The results of the ADF (Augmented Dickey–Fuller) test for the model variables.
VariableADF StatisticSignificanceStability
l n   P −11.8560.000 ***stable
l n   A −4.2850.000 ***stable
l n   N −4.6340.000 ***stable
l n   R −2.0190.278unstable
l n   E −0.870.798unstable
Note: *** represent 1% significance level.
Table 4. The results of the Johansen cointegration test.
Table 4. The results of the Johansen cointegration test.
Cointegration AssumptionTrace Statistic5% Threshold
No cointegration relationship exists15.59815.494
Up to one relationship exists4.0723.841
Table 5. The results of the ridge regression analysis.
Table 5. The results of the ridge regression analysis.
VariableUnstandardised CoefficientsStandardised Coefficient Betatp
BStd. Error
Constant−87.088.069-−10.7920.000 ***
l n   P 5.0580.4630.31710.9290.000 ***
l n   A 0.1380.010.2713.7810.000 ***
l n   N 0.2820.0790.1543.5480.003 ***
l n   R 0.0920.010.2438.9650.000 ***
l n   E −0.0260.043−0.102−2.6090.015 **
R2 = 0.98
Adjust R2 = 0.974
F = 158.139, p = 0.000
Note: ***, ** represent 1% and 5% significance levels, respectively.
Table 6. Three modeling policies of SLA, BAU, and VEH for controlling CO2 emissions in Jiangxi Province.
Table 6. Three modeling policies of SLA, BAU, and VEH for controlling CO2 emissions in Jiangxi Province.
ScenarioE (%)N (%)A (%)R (%)P (%)
SLA0.60.15.721.60.2
BAU10.15.721.20.2
VEH1.50.15.7210.2
Disclaimer/Publisher’s Note: The statements, opinions and data contained in all publications are solely those of the individual author(s) and contributor(s) and not of MDPI and/or the editor(s). MDPI and/or the editor(s) disclaim responsibility for any injury to people or property resulting from any ideas, methods, instructions or products referred to in the content.

Share and Cite

MDPI and ACS Style

Li, S.; Hua, J.; Luo, G. De-Carbonisation Pathways in Jiangxi Province, China: A Visualisation Based on Panel Data. Atmosphere 2024, 15, 1108. https://doi.org/10.3390/atmos15091108

AMA Style

Li S, Hua J, Luo G. De-Carbonisation Pathways in Jiangxi Province, China: A Visualisation Based on Panel Data. Atmosphere. 2024; 15(9):1108. https://doi.org/10.3390/atmos15091108

Chicago/Turabian Style

Li, Shun, Jie Hua, and Gaofeng Luo. 2024. "De-Carbonisation Pathways in Jiangxi Province, China: A Visualisation Based on Panel Data" Atmosphere 15, no. 9: 1108. https://doi.org/10.3390/atmos15091108

APA Style

Li, S., Hua, J., & Luo, G. (2024). De-Carbonisation Pathways in Jiangxi Province, China: A Visualisation Based on Panel Data. Atmosphere, 15(9), 1108. https://doi.org/10.3390/atmos15091108

Note that from the first issue of 2016, this journal uses article numbers instead of page numbers. See further details here.

Article Metrics

Back to TopTop