Abstract
Despite enhancements in pollution control measures in southwestern China, detailed assessments of PM2.5 dynamics following the implementation of the Clean Air Action remain limited. This study explores the PM2.5 concentrations and their chemical compositions during the winter haze period of 2017 across four major urban centers—Chengdu, Chongqing, Guiyang, and Kunming. Significant variability in mean PM2.5 concentrations was observed: Chengdu (71.8 μg m−3) and Chongqing (53.3 μg m−3) recorded the highest levels, substantially exceeding national air quality standards, while Guiyang and Kunming reported lower concentrations, suggestive of comparatively milder pollution. The analysis revealed that sulfate, nitrate, and ammonium (collectively referred to as SNA) constituted a substantial portion of the PM2.5 mass—47.2% in Chengdu, 62.2% in Chongqing, 59.9% in Guiyang, and 32.0% in Kunming—highlighting the critical role of secondary aerosol formation. The ratio of NO3−/SO42− and nitrogen oxidation ratio to sulfur oxidation ratio (NOR/SOR) indicate a significant transformation of NO2 under conditions of heavy pollution, with nitrate formation playing an increasingly central role in the haze dynamics, particularly in Chengdu and Chongqing. Utilizing PMF for source apportionment, in Chengdu, vehicle emissions were the predominant contributor, accounting for 33.1%. Chongqing showed a similar profile, with secondary aerosols constituting 36%, followed closely by vehicle emissions. In contrast, Guiyang’s PM2.5 burden was heavily influenced by coal combustion, which contributed 46.3%, reflecting the city’s strong industrial base. Kunming presented a more balanced source distribution. Back trajectory analysis further confirmed the regional transport of pollutants, illustrating the complex interplay between local and distant sources. These insights underscore the need for tailored, region-specific air quality management strategies in southwestern China, thereby enhancing our understanding of the multifaceted sources and dynamics of PM2.5 pollution amidst ongoing urban and industrial development.
1. Introduction
Amid rapid economic development, population growth, industrial expansion, and urbanization over recent decades, China has confronted severe air pollution challenges. Notably, particulate matter with an aerodynamic diameter of less than 2.5 μm (PM2.5) has increasingly become a focal point due to its significant adverse effects on human health [1,2,3,4], its role in visibility degradation [5,6,7], and its potential impact on climate change [8,9]. Furthermore, PM2.5 is crucial in haze formation, primarily resulting from anthropogenic emissions and gas-to-particle conversion processes [10,11].
Extensive research has revealed that PM2.5 primarily consists of water-soluble inorganic ions, carbonaceous species, and elements such as Ca, Si, Ti, Mg, Zn, and Fe. These particles originate either directly from natural and anthropogenic sources—including biomass burning, vehicle exhaust fumes, and industrial activities—or as secondary pollutants through heterogeneous chemical reactions [12,13,14,15,16,17,18,19]. However, the focus of such studies has predominantly been on economically developed urban clusters such as the Beijing–Tianjin–Hebei (BTH) region, Central China area, Yangtze River Delta (YRD), and Pearl River Delta (PRD) [5,20,21,22,23,24,25,26], with limited studies addressing the situation in southwestern China.
This research focuses on Chengdu, Chongqing, Guiyang, and Kunming—the largest cities in southwestern China, where air pollution varies considerably. Chengdu, known for its severe pollution exacerbated by unfavorable atmospheric conditions and high humidity [15], contrasts sharply with Kunming, where such issues are minimal due to favorable meteorological conditions. Similarly, Chongqing’s mountainous terrain facilitates pollutant accumulation [27,28], and Guiyang suffers from significant pollution due to extensive coal combustion [29]. The PM2.5 pollution in southwestern cities shows significant seasonal and spatial variations, influenced by multiple sources and weather conditions. Major sources include secondary inorganic aerosols, vehicle emissions, coal combustion, and industrial emissions [30,31]. Local emissions and regional transport are critical, with key components like sulfate, nitrate, and ammonium in Guiyang [32,33,34]. Despite reductions post-2013 due to strict controls, local emissions still dominate air quality impacts [35,36]. These studies provide important insights into PM2.5 pollution and control strategies in these cities.
Coal burning produces more than 70% of China’s electricity, and is still widely used for domestic heating and cooking, especially in cities in the relatively underdeveloped southwestern China [37]. Most of the limited studies about particulate pollution in southwestern China have attributed the main source of PM2.5 mass to coal burning [15,27,38,39]. Over the last decade, however, most of small-sized mills and mines as well as workshops with heavy pollution have been forced to shut down and some heavy polluting industries were relocated from downtown to the suburbs. And 90% of the city residents have replaced coal with natural gas now. After the implementation of the Clean Air Action Plan in 2013, the PM2.5 levels in most of the cities of southwestern China have shown remarkable decreases (i.e., 129 µg·m−3 for Chongqing in 2006 and 87.7 µg·m−3 in 2017) [39,40,41]. Meanwhile, the number of vehicles in southwestern China, especially in Chengdu and Chongqing, has dramatically increased like the rest of China. All these changes show a turning point has been reached for the chemical composition and sources of PM2.5 in southwestern China. Unfortunately, although some studies on particulate pollution have been carried out during these years, detailed data relating to PM2.5 in these cities are very scarce, especially those collected in Guiyang and Kunming.
This study aimed to assess the PM2.5 levels in these cities during the winter haze period of 2017, exploring changes in chemical composition and pollution sources in the context of shifting energy consumption and rapid urban development. The innovative nature of this work lies in its comprehensive analysis across multiple urban centers, using detailed chemical composition and advanced source apportionment techniques. Through detailed PM2.5 measurements and the application of the Positive Matrix Factorization (PMF) receptor model, we quantified source contributions and offer insights into the evolving air quality dynamics of southwestern China. This comprehensive analysis not only bridges the existing research gap but also enhances our understanding of regional air pollution management strategies. The delay in presenting these results is due to extensive data analysis and coordination challenges. Despite the delay, the findings are highly relevant and contribute significantly to the understanding of PM2.5 pollution in southwestern China.
2. Experiments
2.1. Site Description
The sampling sites strategically selected for this study are located across four major urban centers in southwestern China, as indicated in Figure 1. Each site was selected to represent the unique environmental and urban characteristics of its respective city, facilitating a comprehensive analysis of regional air quality.
Figure 1.
Locations of sampling sites in southwestern China.
Chengdu: The provincial capital of Sichuan Province hosts the sampling site on the roof of a six-floor building (20 m above ground) at the Chengdu University of Technology. Positioned at coordinates 104°15′ E, 30°68′ N, this site is surrounded by multiple urban roadways, capturing the typical traffic-related air pollution characteristics of Chengdu.
Chongqing: Situated near the eastern border of the Sichuan Basin, Chongqing’s sampling site is located on the Chongqing University (CU) campus, in the heart of the city at coordinates 106°48′ E, 29°57′ N. The sampling instruments were placed on the roof of a five-story building, approximately 15 m above ground, providing exposure to the urban atmosphere without obstruction.
Guiyang: As the capital of Guizhou Province, Guiyang presents a diverse urban setting. The sampling location is set atop an apartment building approximately 10 m high, on the campus of the Institute of Geochemistry of the Chinese Academy of Sciences, positioned at 106°73′ E, 26°57′ N. This central city location lies within a busy commercial, traffic, and residential area, making it ideal for assessing urban air pollutants.
Kunming: The sampling site in Kunming, the capital of Yunnan Province, is located at the Lianhua campus of the Kunming University of Science and Technology (102°42′ E, 25°04′ N). The PM2.5 sampler was deployed on the rooftop of a 15 m tall building within a zone that blends residential and commercial activities. This setup is intended to monitor air quality in a mixed-use area that reflects both residential and business activities.
2.2. Field Sampling
From 15 November to 15 December 2017, a comprehensive field sampling campaign was conducted across the four designated urban sites. To provide a more comprehensive picture of seasonal variations in air quality, future studies should aim to increase the frequency of PM2.5 sample collection to cover all seasons of the year. This will help identify critical periods of pollution and enhance the robustness of air quality management strategies. During this period, a total of 120 PM2.5 samples were systematically collected to ensure synchronicity and comparability across locations.
PM2.5 samples were collected daily at 09:30 AM over a continuous 24 h period using the high-flow-rate KC-1000 sampler (Qingdao Laoshan Applied Technology Research Institute, Qingdao, China), operating at a flow rate of 1.05 ± 0.03 m3/min. The particulate matter was captured on pre-baked quartz fiber filters (QFFs) with a diameter of 90 mm, model 2500 QAT-UP from Pall Life Sciences (Pall Corporation, Port Washington, NY, USA). To avoid contamination and ensure the accuracy of the sample measurements, all QFFs were pre-baked at 450 °C for four hours prior to their use.
Following the collection, each filter was conditioned for 24 h in a controlled environment at a constant temperature (20 ± 1 °C) and humidity (40 ± 1%) before and after sampling, to ensure precise weight measurements. The weighing was performed using an analytical balance from Mettler Toledo (Columbus, OH, USA) with a sensitivity of 0.1 mg. Post-collection, all samples were stored at −18 °C to preserve their chemical integrity until analysis.
In conjunction with the particulate matter sampling, meteorological data for each site were gathered from the National Meteorological Information Center, which included parameters such as temperature, atmospheric pressure, relative humidity, wind speed, and precipitation. The link for the data source is [National Meteorological Information Center] http://data.cma.cn/en (accessed on 13 September 2018) (Figure 2). Additionally, spatial distribution data concerning geopotential height were obtained from the archived meteorological databases of NOAA’s Air Resources Laboratory ([ARL] (https://www.ready.noaa.gov (accessed on 13 September 2018))).
Figure 2.
PM2.5 mass concentrations (a) and meteorological conditions (WS (b), Pres. (c), RH (d), Temp. (e) and Pres. (f)) during sampling periods.
This meticulous approach to sample collection and handling ensures the reliability of the data, which is critical for analyzing the spatiotemporal variations and source apportionment of PM2.5 in these urban environments.
2.3. Chemical Analysis
Ion chromatography (IC) (ICS-3000, Dionex, Sunnyvale, CA, USA) was used to determinate the concentrations of six anion (F−, Cl−, NO3−, SO42−, Br−, and NO2−) and five cation (Na+, K+, Ca2+, Mg2+, and NH4+) species in one-quarter of the QFFs. A Dionex separator column of AS11-HC with KOH eluent was used for anion analysis, and a cation analytical column of CS12A and an eluent of 20 mM methyl sulfonic acid was used to analyze inorganic cations. Details of the IC method are described in [42] and [43]. The detection limits (DLs) of Na+, NH4+, K+, Ca2+, Mg2+, F−, Cl−, NO3−, SO42−, Br−, and NO2− were 0.001, 0.0012, 0.0018, 0.0009, 0.0025, 0.0038, 0.0051, 0.022, 0.012, 0.033, and 0.021 μg m−3, respectively. A careful quality assurance and quality control (QA/QC) procedure was applied. Standard solution was obtained from the National Research Center of Certified Reference Materials, China. Blank and standard samples were repeated every ten samples.
For the quantification of carbonaceous species in PM2.5 samples, a thermal/optical reflectance (TOR) method was utilized, following the protocol established by the National Institute for Occupational Safety and Health (NIOSH Method 5040). Samples were collected on quartz fiber filters, which are suitable for absorbing organic compounds without chemical interference.
In the analysis process, filters were subjected to a stepwise heating program in a carbon analyzer. The program first heats the sample in a non-oxidizing helium atmosphere to volatilize and oxidize organic carbon. The temperature is then increased under an oxidizing atmosphere to convert elemental carbon into CO2. The evolved CO2 is detected and quantified by a flame ionization detector (FID).
2.4. Backward Trajectories Analysis
Backward trajectories are used to determine the long-distance transport of atmospheric pollutants and regional source areas by the program of TrajStat (version 1.4.7) [44]. FNL global analysis data are the input data, generated by the National Centers for Environmental Prediction (NCEP) model and processed by the Global Data Assimilation System (GDAS) (https://www.ready.noaa.gov/HYSPLIT.php (accessed on 9 February 2023)). Trajectories extending 3 days (72 h) into the past were estimated per day (0, 6, 12, 18 UTC) for the period from 15 November to 15 December 2017. Each trajectory was calculated at 500 m above the ground. To determine the pollutant sources, five typical types of trajectories were classified using the hierarchical clustering method [45].
2.5. Positive Matrix Factorization Model
Receptor models are used to quantify the contributions of sources based on their composition or fingerprints [46]. The PMF is an effective source apportionment receptor model that does not require source profiles prior to analysis and has no limitation on source numbers [43,47]. To enhance the accuracy of source identification and their respective contributions, integrating further source apportionment models, such as the Chemical Mass Balance (CMB), is recommended. Utilizing multiple models can provide a more detailed and accurate identification of PM2.5 sources, enhancing the reliability of source apportionment results and informing more effective mitigation policies. Future research should consider the application of the CMB model alongside PMF to validate and refine the source apportionment findings presented in this study. The principles of the PMF model have been discussed in detail elsewhere [48]. In our study, EPA PMF 5.0 was used to determine source apportionment of each major ion. The final PMF solution was determined by choosing the most stable results with respect to different input options and choosing the one with the most physically interpretable profiles and stable/minimal Q value.
3. Results and Discussion
3.1. Spatial–Temporal Variations in PM2.5 Mass Concentrations
The spatial and temporal distribution of PM2.5 concentrations across the four study sites during the sampling period is summarized in Table 1a,b. Average PM2.5 concentrations, expressed as mean ± standard deviation (μg m−3), varied significantly among the locations: Chengdu (CD) 71.8 ± 25.8, Chongqing (CQ) 53.3 ± 21.7, Guiyang (GY) 39.4 ± 18.2, and Kunming (KM) 33.8 ± 11.2. This gradient demonstrates a clear pattern of CD > CQ > GY > KM, with all sites exceeding the China PM2.5 Class II air quality standard of 35 μg m−3 (GB 3095-2012 [49]), except for KM. Specifically, PM2.5 levels in CD were more than double this limit, while those in CQ exceeded it by more than 1.5 times, and Guiyang slightly surpassed this threshold.
Table 1.
(a) Concentrations and (±) standard deviations of chemical components during the sampling period and different haze periods in Chengdu and Congqing. (b) Concentrations and (±) standard deviations of chemical components during the sampling period and different haze periods in Guiyang and Kunming.
During the winter haze period, the mean PM2.5 concentrations in CD aligned with those recorded at Shangdianzi, a northern China Atmospheric Watch Station (71.8 μg m−3), yet were lower than the concentrations observed in major northern urban centers such as Beijing (135 μg m−3) and Tianjin (141.0 μg m−3) [50]. Conversely, the PM2.5 levels in CQ were comparable to those in Fuzhou (59.8 μg m−3) [51]. Guiyang and Kunming exhibited concentrations lower than other Chinese cities but higher than rural and background sites in Europe and America during the same period, such as a central Mediterranean coastal site (13.9 μg m−3) [52] and a rural UK site (10.5 μg m−3) [53].
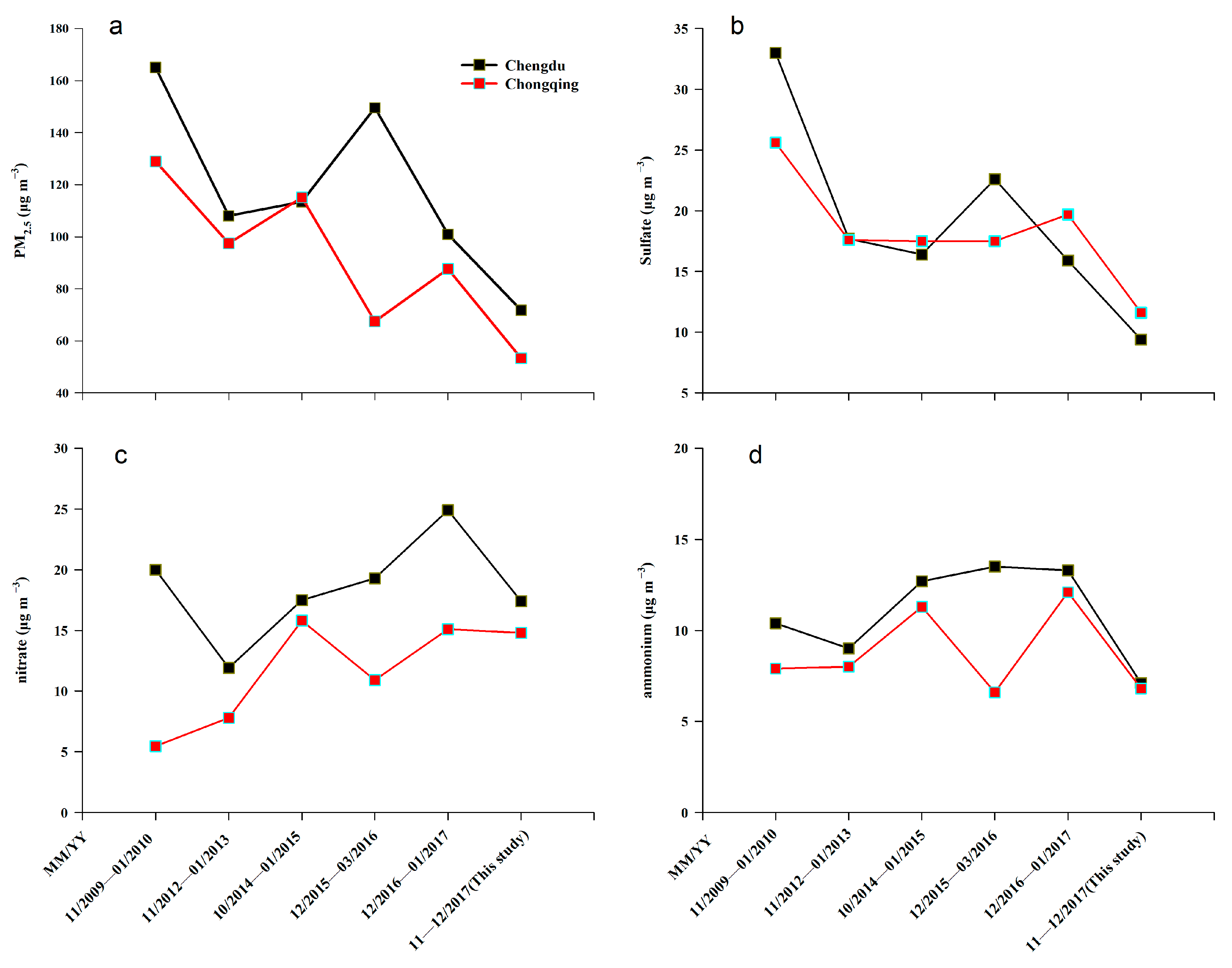
Figure 3a illustrates the annual variations in winter PM2.5 concentrations in CD and CQ from 2010 to 2017 [15,28,31,40,54,55,56]. The data indicate effective control of PM2.5 pollution in these cities post-2010. Although a peak in 2015 saw levels rise to 149.6 μg m−3 in CD, the concentrations in 2014 and 2016 were significantly reduced to approximately 113.5 and 101.0 μg m−3, respectively. This decreasing trend in PM2.5 concentrations is attributed to stringent emission reduction measures implemented in both cities.
Figure 3.
Annual variations in winter PM2.5 (a), SO42− (b), NO3− (c), and NH4⁺ (d) concentrations in Chengdu and Chongqing (2010–2017).
Additionally, Figure 2 presents the relationship between PM2.5 mass concentrations and meteorological parameters (RH, STP, TEMP, WS, and PRCP). Pollution episodes across all cities exhibited a periodic cycle of 7–8 days, as reflected in the fluctuations in PM2.5 concentrations. Typically, the PM2.5 concentration increased from less than 50 μg m−3 (clean) to 50–80 μg m−3 (transition) and exceeded 80 μg m−3 during heavily polluted episodes. Generally, PM2.5 levels are influenced by emissions, transportation, chemical transformations, and deposition processes, all closely linked to meteorological conditions [57]. Notably, higher PM2.5 concentrations were associated with lower wind speeds (WS), temperatures (TEMP), and precipitation (PRCP), which likely hindered the dispersion and removal of pollutants. For instance, Kunming experienced lower PM2.5 concentrations, benefiting from more favorable meteorological conditions, unlike Chengdu and Chongqing, where the opposite was true.
3.2. Spatial–Temporal Variations in Water-Soluble Ionic Species
3.2.1. Primary Chemical Species Leading to Polluted Days
The primary chemical species contributing to PM2.5 mass, specifically sulfate (SO42−), nitrate (NO3−), and ammonium (NH4+), collectively known as SNA, along with total carbonaceous species (TC), constituted over 70% of the PM2.5 composition across all sites. Detailed concentration distributions are presented in Table 1a,b and depicted in Figure 4. The mean concentrations of total SNA were 33.9, 33.2, 23.6, and 10.8 μg m−3 at Chengdu (CD), Chongqing (CQ), Guiyang (GY), and Kunming (KM), respectively, contributing to 47.2%, 62.2%, 59.9%, and 32.0% of the total PM2.5 mass. The specific contributions of SO42−, NO3−, and NH4+ were notably different across these cities, reflecting varied pollution sources and atmospheric processing conditions.
Figure 4.
Variations in water-soluble ions ΣSNA (=SO4²⁻ + NO3⁻ + NH4⁺), NO3−/SO42⁻ ratios, and ΣSNA/PM2.5 mass percentages across different PM2.5 concentration intervals (Polluted, Transition, Clean) for each study site.
In addition to SNA, TC was another significant contributor to PM2.5, accounting for 21.2%, 28.6%, 32.8%, and 35.6% of the particulate matter mass at CD, CQ, GY, and KM, respectively. The spatial and temporal variations in SNA and TC during different pollution episodes were complex. Notably, the ratios of SNA/PM2.5 did not consistently align with those of PM2.5 mass concentrations or TC/PM2.5 ratios. For example, average SNA contributions to PM2.5 varied from 43.3% to 48.6% in CD, whereas in CQ and GY, the range was significantly broader, from 53.2% to 72.0% and 23.5% to 68.9%, respectively.
During pollution episodes, the patterns of SNA/PM2.5 ratios varied: they generally decreased on polluted days compared to clean days in CD, indicating a higher increase in other PM2.5 components under polluted conditions, while the opposite trend was observed in CQ and GY, suggesting variable influencing factors on PM2.5 composition in these regions. This variability in SNA and OC contributions on polluted days aligns with findings from [31], indicating significant regional differences in source contributions and atmospheric conditions.
The individual increases in SNA species on polluted days compared to clean days also varied (Figure 5). While NO3− saw the highest increase, up to 3.1-fold in CD, SO42− had a more moderate increase, and NH4+ even decreased slightly in GY on polluted days. This points to the dynamic nature of aerosol chemistry under different atmospheric conditions.
Figure 5.
Individual water-soluble ion concentrations across different PM2.5 concentration intervals (Polluted, Transition, Clean).
Furthermore, potassium (K+) and chloride (Cl−) concentrations were particularly elevated on polluted days, especially in CQ, often linked to biomass burning and possibly coal combustion in this region [28,42,58]. Unlike K+ and Cl−, calcium (Ca2+) concentrations, often indicative of construction dust, showed notable increases on polluted days in GY and KM, reflecting ongoing urban development and insufficient dust control measures in these areas [17,59].
These detailed analyses of water-soluble ions and carbonaceous species in PM2.5 provide crucial insights into the sources and processes affecting air quality in southwestern China, highlighting the need for targeted pollution control strategies tailored to specific regional conditions.
3.2.2. Importance and Mechanisms of Nitrate and Sulfate Formation
The emissions of sulfur dioxide (SO2) predominantly originate from coal combustion, while nitrogen oxides (NOx) are primarily emitted from vehicular exhausts in urban environments [60]. Sulfate and nitrate are formed through photochemical reactions involving these gaseous precursors [61]. Prior research has shown that the NO3−/SO42− ratio can be used to effectively gauge the relative contributions of mobile and stationary sources to atmospheric sulfur and nitrogen in China [25,62,63]. In this study, the NO3−/SO42− ratios ranged from 0.48 to 2.08. Spatial analysis revealed that the average NO3−/SO42− values were ordered as follows: Chengdu (CD) (1.84) > Chongqing (CQ) (1.27) > Guiyang (GY) (0.61) > Kunming (KM) (0.48). Compared to other cities, Chengdu’s ratio was notably higher than Beijing (0.71) and Shanghai (0.64), where traffic density is significant, and only surpassed by Guangzhou (2.14), a city with minimal coal combustion [27,64,65].
Temporal analysis showed a consistent increase in the NO3−/SO42- ratio from clean to polluted days in Chengdu, suggesting a significant role for nitrate formation in the city’s haze pollution. In contrast, fluctuations in this ratio were minimal in the other cities, indicating a stable source pattern. This trend suggests that, in Chengdu, mobile sources have become the predominant contributor to PM2.5, overshadowing stationary sources. Despite the growing impact of vehicular emissions, the contribution of stationary sources remains significant in the other cities.
Meteorological and chemical conditions in Chengdu appear more favorable for nitrate formation compared to Chongqing and elsewhere. Furthermore, the sulfur oxidation ratio (SOR) and nitrogen oxidation ratio (NOR), used to evaluate the degree of secondary transformation, generally indicated extensive secondary photochemical oxidation of SO2 and NO2 when exceeding 0.10 [54,63,66]. In all sites, SOR values exceeded 0.10 across various pollution levels, highlighting the presence of secondary sulfate ions. The highest SOR was observed on polluted days in CQ (0.65), with the lowest on transformation days in GY (0.31), showing a mild increasing trend with pollution levels. This pattern is likely due to the elevated relative humidity in the Sichuan Basin during winter, which significantly promotes the secondary formation of sulfate [28,54].
NOR values were generally lower than SOR, with the highest NOR observed in CQ (0.32) on polluted days and the lowest in KM (0.06) on clean days. The NOR/SOR ratio’s variation with pollution levels suggests that NO2 transformation becomes more significant under heavy pollution, especially in CD and CQ. Over a longer time scale, from 2010 to 2017, a consistent trend was observed during the winter months. As depicted in Figure 3, the concentrations of sulfate and PM2.5 show a consistent decline over the years (Figure 3b), while nitrate ions exhibit the opposite trend, increasing annually (Figure 3c). The ammonium ion content remains relatively stable, showing minimal variation (Figure 3d). These trends suggest that nitrate formation is increasingly playing a pivotal role in the region’s haze dynamics, corroborating findings from recent studies by [60,61], which highlight the growing appearance of nitrate in the urban haze under changing atmospheric conditions. Given that ammonium concentrations remain stable, it is advantageous to implement targeted monitoring programs focusing on reducing emissions from agricultural and industrial sources contributing to these levels. Such programs can help mitigate the impact of ammonium on PM2.5 pollution, contributing to overall air quality improvement. This targeted approach aligns with the need for specific interventions to address stable pollutant levels and their sources effectively.
3.3. PM2.5 Source Apportionment
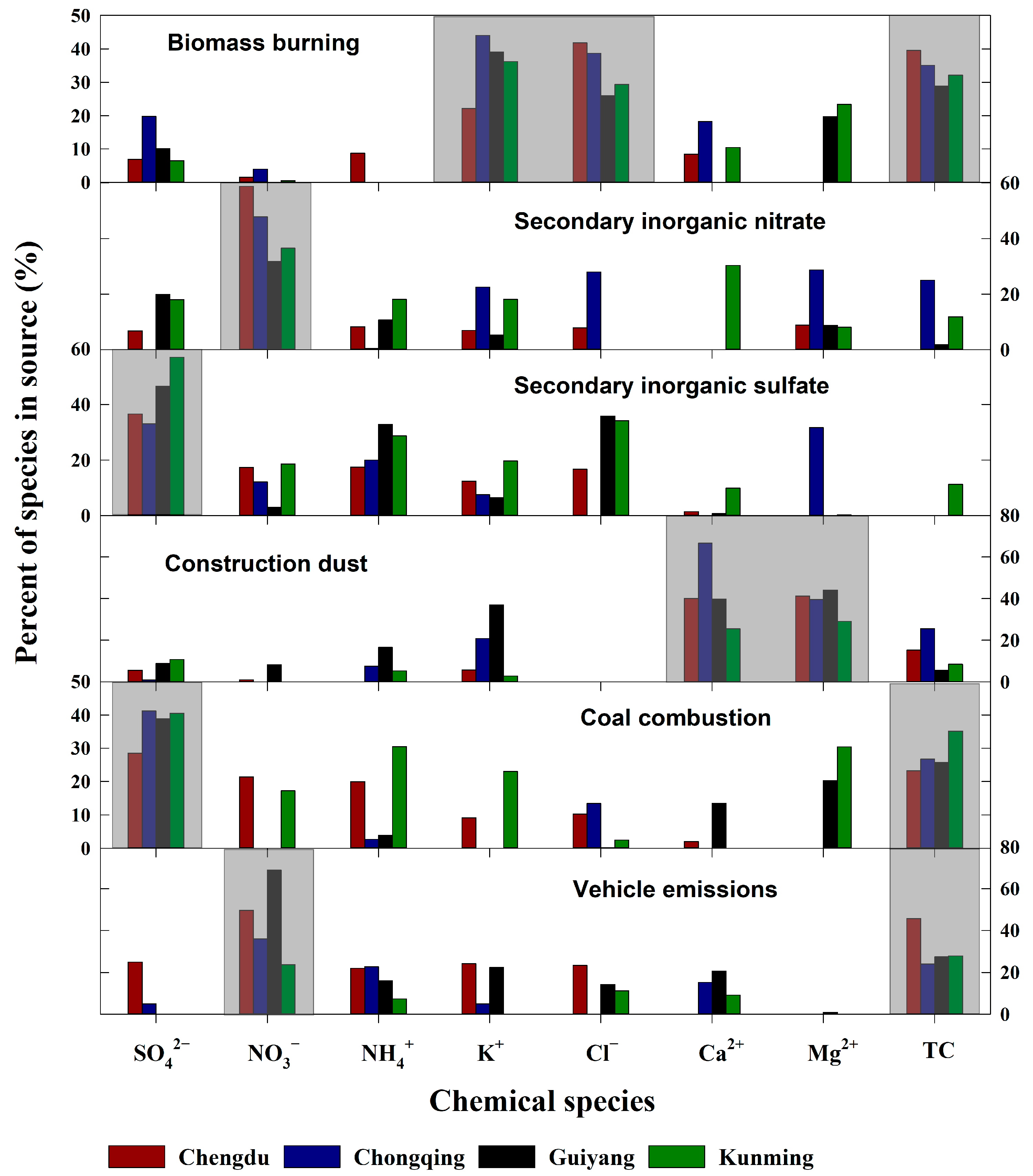
Utilizing the EPA PMF 5.0 model, this study analyzed PM2.5 concentration data across four urban sites, with inputs comprising arithmetic mean values and standard deviations. The analysis identified six key sources of PM2.5: coal combustion, vehicle emissions, secondary inorganic sulfate (SIS), secondary inorganic nitrate (SIN), construction dust, and biomass burning, detailed in Figure 6.
Figure 6.
Factor profiles resolved from the PMF model for atmospheric PM2.5 at four urban sites (shaded sections indicate the key chemical markers that identify each source).
Biomass burning, the first identified source, is marked by elevated K+ levels, a known tracer for biomass combustion aerosols [17,67]. While high Cl− levels are sometimes linked to marine sources, within China’s interior, they more likely originate from coal or biomass burning [58,68]. SIN and SIS are distinguished by their NO3− and SO42− markers, respectively. Construction dust, identified through elevated Ca2+ and Mg2+, includes both fugitive and resuspended road dust, with calcium serving as a principal indicator for such dust in urban centers [17,59,69]. Coal combustion, associated with SO42− and total carbon (TC), remains the primary energy source, notably in China’s less-developed southwestern regions, where it has historically contributed to acid rain [70]. Previous studies also identify coal combustion as a significant source of TC [71,72]. The last identified source, vehicle emissions, is characterized by NO3− and TC, compounds typically enriched in vehicular exhaust fumes [73,74].
Figure 7 delineates the proportional contributions of each source to PM2.5 concentrations across the four cities. In Chengdu, vehicle emissions dominate, contributing 33.1% to PM2.5 mass, followed by SIS and SIN (25.5%), coal combustion (20.3%), biomass burning (15.7%), and construction dust (5.4%). Chongqing’s profile shows SIS and SIN as the leading contributors (36%), closely followed by coal combustion and vehicle emissions. In contrast, Guiyang’s PM2.5 burden is predominantly from coal combustion (46.3%), with vehicle emissions also significant (32.7%). Kunming presents a more distributed source profile, with coal combustion leading, followed by vehicle emissions and secondary aerosols. These results of the PMF analysis are consistent with the daily average variations in PM2.5 loading and its SNA (Figure 4) and with the ions presented above (Figure 5).
Figure 7.
Positive matrix factorization (PMF) resolved source contributions to PM2.5 at four urban sites (a–d represent Chengdu, Chongqing, Guiyang, and Kunming respectively).
In summary, Chengdu and Chongqing exhibit a high influence of vehicle emissions and secondary inorganic aerosols on PM2.5 concentrations, indicative of the significant role of transportation and industrial activities in these urban areas. In Guiyang, coal combustion emerges as the predominant source of PM2.5, underscoring the city’s reliance on coal for energy and the associated air quality challenges. Kunming’s data reveal a more balanced distribution among sources, with coal combustion still leading but followed closely by vehicle emissions and secondary inorganic aerosols, suggesting a mix of industrial, vehicular, and natural sources contributing to the PM2.5 burden. These source profiles for the four urban sampling sites are consistent with the results of several earlier studies. For instance, compared to ten years ago, SO42− concentrations are reduced while NO3− levels are elevated, probably due to the greater vehicle-using population in the Sichuan Basin [28].
3.4. Backward Trajectory Analysis
The backward trajectory analysis, a tool for tracing the origins and pathways of air masses, was employed for the four study sites, offering insights into the regional and long-distance transport of pollutants [16]. As illustrated in Figure 8, the trajectories were categorized into five distinct types based on their origins and paths. For Chengdu, clusters 1 and 4, representing 76.7% of the air masses, were predominantly local, originating within Sichuan Province. The remaining 23.3% (clusters 2, 3, and 5) were traced back to western China and India, highlighting a mix of regional and long-distance influences on Chengdu’s air quality (Figure 8a). Chongqing’s air mass analysis revealed a significant portion (43.3%) of local origin (cluster 4), with cluster 1 (26.7%) coming from Hubei. Clusters 2 and 3, which accounted for 23.3%, followed a path from India through Nepal, Bangladesh, and Myanmar, demonstrating the impact of long-distance air transport, particularly in winter. This pattern aligns with findings from several studies indicating that air pollutants from India can reach southwestern Chinese cities via prevailing westerlies [30,75,76]. Cluster 5, making up 6.7%, originated from Qinghai (Figure 8b). Guiyang showed more diversified trajectory origins, with trajectories 1, 2, 3, 4, and 5 contributing to 50%, 20%, 20%, 6.7%, and 3.3% of the total trajectories, respectively. The majority were local (trajectory 1 from Guizhou) or from neighboring regions like Hubei, Chongqing, Burma, and Zhejiang (Figure 8c). Kunming’s analysis pointed to a dominance of local air masses (trajectories 1 and 2 accounting for 76.7%), originating from Yunnan’s own locale, underscoring the significant local contributions to the city’s air mass during winter (Figure 8d). To further enhance the robustness and transparency of air quality monitoring, integrating advanced technologies such as blockchain-based systems is recommended. These systems can ensure data integrity and improve the reliability of air pollution measurements, providing real-time, tamper-proof monitoring data. Sofia et al. [77] outline a promising approach that could be particularly valuable in addressing the challenges of ensuring accurate and transparent data collection and reporting. Incorporating such innovative technologies could significantly enhance the effectiveness of air quality management strategies in southwestern China, ultimately contributing to more informed decision-making and policy development.
Figure 8.
Backward trajectory clustering results for sampling periods. (a–d) represent Chengdu, Chongqing, Guiyang, and Kunming, respectively (different colors show the trajectories and the proportions of air masses expressed as percentages).
In summary, the backward trajectory analysis across the four cities during winter underscored the predominance of local air masses in shaping air quality. However, it also highlighted the significant role of long-distance transport, particularly from India and adjacent provinces, in influencing the air mass composition. This dual influence underscores the complexity of air pollution dynamics, necessitating comprehensive strategies that address both local and transboundary pollution sources.
4. Conclusions
This study rigorously examined PM2.5 concentrations across Chengdu, Chongqing, Guiyang, and Kunming during the 2017 winter haze period, unveiling significant spatial–temporal variations. In Chengdu, PM2.5 levels were more than twice the China Class II air quality standard of 35 μg m−3, with average concentrations reaching 71.8 ± 25.8 μg m−3. Similarly, Chongqing and Guiyang exceeded this standard, highlighting severe air quality issues exacerbated by urban and industrial activities. In contrast, Kunming maintained levels below this threshold, illustrating less severe pollution. Chemical composition analysis showed that water-soluble ions—sulfate, nitrate, and ammonium—alongside total carbonaceous species contributed over 70% to the PM2.5 mass across all examined locations, indicating significant secondary formation processes alongside primary emissions.
Source apportionment efforts identified that vehicle emissions and secondary inorganic aerosols were the leading contributors in the heavily urbanized areas of Chengdu and Chongqing. In Guiyang, coal combustion was the predominant source, reflecting its reliance on coal for energy. This variance underscores the regional differences in industrial activities and their impacts on air quality. Furthermore, backward trajectory analysis emphasized the dual influence on pollution levels, with local emissions being the primary contributors, complemented by significant long-distance transport effects, particularly from India, during the winter season.
The interplay of local emission sources, regional industrial activities, and meteorological conditions underscores the complexity of managing PM2.5 pollution. To effectively tackle these challenges, a multifaceted approach involving stricter emission regulations, regional collaboration for air quality management, and robust monitoring systems is essential. Promoting regional collaboration between cities in southwestern China and neighboring regions is essential for addressing transboundary pollution. Creating a shared air monitoring network and developing joint mitigation strategies can improve the effectiveness of regional interventions, fostering a collaborative approach to air quality management. Such efforts will facilitate the sharing of data, resources, and best practices, ultimately leading to more effective and coordinated pollution control measures. Additionally, investing in advanced emission control technologies in the industrial and transportation sectors can lead to significant improvements in air quality. Adopting filtration technologies and catalysts to reduce particulate emissions from vehicles and industries is a promising strategy that should be pursued urgently. These advanced technologies can help mitigate the impact of these sectors on PM2.5 pollution, contributing to cleaner air and better public health outcomes.
Author Contributions
H.G.: writing—original draft, investigation, funding acquisition, formal analysis, data curation, conceptualization, project administration. Z.C.: investigation, data curation. J.T.: validation, investigation. H.X.: supervision, investigation. All authors have read and agreed to the published version of the manuscript.
Funding
This research was funded by the Guizhou Provincial Science and Technology Projects (Grant NO. ZK[2021]212).
Institutional Review Board Statement
Not applicable.
Informed Consent Statement
Not applicable.
Data Availability Statement
Data available on request due to restrictions privacy. The data presented in this study are available on request from the corresponding author.
Conflicts of Interest
The authors declare no conflicts of interest.
References
- Pope, C.A.; Dockery, D.W. Health effects of fine particulate air pollution: Lines that connect. J. Air Waste Manag. Assoc. 2006, 56, 709–742. [Google Scholar] [CrossRef] [PubMed]
- Anderson, G.B.; Krall, J.R.; Peng, R.D.; Bell, M.L. Is the Relation Between Ozone and Mortality Confounded by Chemical Components of Particulate Matter? Analysis of 7 Components in 57 US Communities. Am. J. Epidemiol. 2012, 176, 726–732. [Google Scholar] [CrossRef] [PubMed]
- Lepeule, J.; Laden, F.; Dockery, D.; Schwartz, J. Chronic Exposure to Fine Particles and Mortality: An Extended Follow-up of the Harvard Six Cities Study from 1974 to 2009. Environ. Health Perspect. 2012, 120, 965–970. [Google Scholar] [CrossRef] [PubMed]
- Wen, L.; Yang, C.; Liao, X.; Zhang, Y.; Chai, X.; Gao, W.; Guo, S.; Bi, Y.; Tsang, S.Y.; Chen, Z.F.; et al. Investigation of PM2.5 pollution during COVID-19 pandemic in Guangzhou, China. J. Environ. Sci. 2022, 115, 443–452. [Google Scholar] [CrossRef] [PubMed]
- Cao, J.J.; Wang, Q.Y.; Chow, J.C.; Watson, J.G.; Tie, X.; Shen, Z.; Wang, P.; An, Z. Impacts of aerosol compositions on visibility impairment in Xi’an, China. Atmos. Environ. 2012, 59, 559–566. [Google Scholar] [CrossRef]
- Fu, X.; Wang, X.; Hu, Q.; Li, G.; Ding, X.; Zhang, Y.; He, Q.; Liu, T.; Zhang, Z.; Yu, Q.; et al. Changes in visibility with PM2.5 composition and relative humidity at a background site in the Pearl River Delta region. J. Environ. Sci. 2016, 40, 10–19. [Google Scholar] [CrossRef] [PubMed]
- Yang, N.; Shi, H.; Tang, H.; Yang, X. Geographical and temporal encoding for improving the estimation of PM2.5 concentrations in China using end-to-end gradient boosting. Remote Sens. Environ. 2022, 269, 112828. [Google Scholar] [CrossRef]
- Jacob, D.J.; Winner, D.A. Effect of climate change on air quality. Atmos. Environ. 2009, 43, 51–63. [Google Scholar] [CrossRef]
- Mahowald, N. Aerosol Indirect Effect on Biogeochemical Cycles and Climate. Science 2011, 334, 794–796. [Google Scholar] [CrossRef] [PubMed]
- Huang, R.J.; Zhang, Y.; Bozzetti, C.; Ho, K.F.; Cao, J.J.; Han, Y.; Daellenbach, K.R.; Slowik, J.G.; Platt, S.M.; Canonaco, F.; et al. High secondary aerosol contribution to particulate pollution during haze events in China. Nature 2014, 514, 218–222. [Google Scholar] [CrossRef]
- Lu, P.; Deng, S.; Li, G.; Li, J.; Xu, K.; Lu, Z. Spatial distribution of primary and secondary PM2.5 concentrations emitted by vehicles in the Guanzhong Plain, China. Atmosphere 2022, 13, 347. [Google Scholar] [CrossRef]
- Wei, F.; Teng, E.; Wu, G.; Hu, W.; Wilson, W.E.; Chapman, R.S.; Pau, J.C.; Zhang, J. Ambient concentrations and elemental compositions of PM10 and PM2.5 in four Chinese cities. Environ. Sci. Technol. 1999, 33, 4188–4193. [Google Scholar] [CrossRef]
- Huang, X.F.; He, L.Y.; Hu, M.; Zhang, Y.H. Annual variation of particulate organic compounds in PM2.5 in the urban atmosphere of Beijing. Atmos. Environ. 2006, 40, 2449–2458. [Google Scholar] [CrossRef]
- Tiwari, S.; Srivastava, A.K.; Bisht, D.S.; Bano, T.; Singh, S.; Behura, S.; Srivastava, M.K.; Chate, D.M.; Padmanabhamurty, B. Black carbon and chemical characteristics of PM10 and PM2.5 at an urban site of North India. J. Atmos. Chem. 2009, 62, 193–209. [Google Scholar] [CrossRef]
- Tao, J.; Cheng, T.; Zhang, R.; Cao, J.; Zhu, L.; Wang, Q.; Luo, L.; Zhang, L.M. Chemical composition of PM2.5 at an urban site of Chengdu in southwestern China. Adv. Atmos. Sci. 2013, 30, 1070–1084. [Google Scholar] [CrossRef]
- Zhang, T.; Cao, J.J.; Chow, J.C.; Shen, Z.X.; Ho, K.F.; Ho, S.S.H.; Liu, S.X.; Han, Y.M.; Waston, J.G.; Wang, G.H.; et al. Characterization and seasonal variations of levoglucosan in fine particulate matter in Xi’an, China. J. Air Waste Manag. Assoc. 2014, 64, 1317–1327. [Google Scholar] [CrossRef] [PubMed]
- Wang, G.; Cheng, S.; Li, J.; Lang, J.; Wen, W.; Yang, X.; Tian, L. Source apportionment and seasonal variation of PM2.5 carbonaceous aerosol in the Beijing-Tianjin-Hebei Region of China. Environ. Monit. Assess. 2015, 187, 143. [Google Scholar] [CrossRef] [PubMed]
- Lyu, X.; Chen, N.; Guo, H.; Zeng, L.; Zhang, W.; Shen, F.; Quan, J.H.; Wang, N. Chemical characteristics and causes of airborne particulate pollution in warm seasons in Wuhan, Central China. Atmos. Chem. Phys. 2016, 16, 10671–10687. [Google Scholar] [CrossRef]
- Wang, J.; Zhao, B.; Wang, S.; Yang, F.; Xing, J.; Morawska, L.; Ding, A.J.; Kulmala, M.; Kerminen, V.M.; Kujansuu, J.; et al. Particulate matter pollution over China and the effects of control policies. Sci. Total Environ. 2017, 584, 426–447. [Google Scholar] [CrossRef] [PubMed]
- Lai, S.C.; Zou, S.C.; Cao, J.J.; Lee, S.C.; Ho, K.F. Characterizing ionic species in PM2.5 and PM10 in four Pearl River Delta cities, South China. J. Environ. Sci. 2007, 19, 939–947. [Google Scholar] [CrossRef] [PubMed]
- Meng, Z.Y.; Zhang, R.J.; Lin, W.L.; Jia, X.F.; Yu, X.M.; Yu, X.L.; Wang, G.H. Seasonal variation of ammonia and ammonium aerosol at a background station in the Yangtze River Delta Region, China. Aerosol Air Qual. Res. 2014, 14, 756–766. [Google Scholar] [CrossRef]
- Han, L.; Cheng, S.; Zhuang, G.; Ning, H.; Wang, H.; Wei, W.; Zhao, X. The changes and long-range transport of PM2.5 in Beijing in the past decade. Atmos. Environ. 2015, 110, 186–195. [Google Scholar] [CrossRef]
- Ji, D.; Zhang, J.; He, J.; Wang, X.; Pang, B.; Liu, Z.; Wang, L.L.; Wang, Y.S. Characteristics of atmospheric organic and elemental carbon aerosols in urban Beijing, China. Atmos. Environ. 2016, 125, 293–306. [Google Scholar] [CrossRef]
- Tan, J.; Duan, J.; Ma, Y.; He, K.; Cheng, Y.; Deng, S.X.; Huang, Y.L.; Si-Tu, S.P. Long-term trends of chemical characteristics and sources of fine particle in Foshan City, Pearl River Delta: 2008-2014. Sci. Total Environ. 2016, 565, 519–528. [Google Scholar] [CrossRef]
- Liu, P.; Zhang, C.; Xue, C.; Mu, Y.; Liu, J.; Zhang, Y.; Tian, D.; Ye, C.; Zhang, H.; Guan, J. The contribution of residential coal combustion to atmospheric PM2.5 in northern China during winter. Atmos. Chem. Phys. 2017, 17, 11503–11520. [Google Scholar] [CrossRef]
- Li, J.; Liao, H.; Hu, J.; Li, N. Severe particulate pollution days in China during 2013-2018 and the associated typical weather patterns in Beijing-Tianjin-Hebei and the Yangtze River Delta regions. Environ. Pollut. 2019, 248, 74–81. [Google Scholar] [CrossRef] [PubMed]
- Yang, F.; Tan, J.; Zhao, Q.; Du, Z.; He, K.; Ma, Y.; Duan, F.; Chen, G.; Zhao, Q. Characteristics of PM2.5 speciation in representative megacities and across China. Atmos. Chem. Phys. 2011, 11, 5207–5219. [Google Scholar] [CrossRef]
- Tian, M.; Wang, H.; Chen, Y.; Zhang, L.; Shi, G.; Liu, Y.; Yu, J.; Zhai, C.; Wang, J.; Yang, F. Highly time-resolved characterization of water-soluble inorganic ions in PM2.5 in a humid and acidic mega city in Sichuan Basin, China. Sci. Total Environ. 2017, 580, 224–234. [Google Scholar] [CrossRef] [PubMed]
- Xiao, H.Y.; Liu, C.Q. Sources of nitrogen and sulfur in wet deposition at Guiyang, southwest China. Atmos. Environ. 2002, 36, 5121–5130. [Google Scholar] [CrossRef]
- Li, L.; Tan, Q.; Zhang, Y.; Feng, M.; Qu, Y.; An, J.; Liu, X. Characteristics and source apportionment of PM2.5 during persistent extreme haze events in Chengdu, southwest China. Environ. Pollut. 2017, 230, 718–729. [Google Scholar] [CrossRef] [PubMed]
- Wang, H.; Tian, M.; Chen, Y.; Shi, G.; Liu, Y.; Yang, F.; Zhang, L.; Deng, L.; Yu, J.; Peng, C.; et al. Seasonal characteristics, formation mechanisms and source origins of PM2.5 in two megacities in Sichuan Basin, China. Atmos. Chem. Phys. 2018, 18, 865–881. [Google Scholar] [CrossRef]
- Kong, L.; Tan, Q.; Feng, M.; Qu, Y.; An, J.; Liu, X.; Cheng, N.; Deng, Y.; Zhai, R.; Wang, Z. Investigating the characteristics and source analyses of PM2.5 seasonal variations in Chengdu, Southwest China. Chemosphere 2020, 243, 125267. [Google Scholar] [CrossRef] [PubMed]
- Xiao, H.; Xiao, H.Y.; Zhang, Z.Y.; Zheng, N.J.; Li, Q.K.; Li, X.D. Chemical characteristics of major inorganic ions in PM2.5 based on year-long observations in Guiyang, Southwest China-implications for formation pathways and the influences of regional transport. Atmosphere 2020, 11, 847. [Google Scholar] [CrossRef]
- Yang, X.; Lu, Y.; Zhu, X.; He, J.; Jiang, Q.; Wu, K.; Wang, H.; Zhang, X.; Wang, S. Formation and evolution mechanisms of severe haze pollution in the Sichuan basin, southwest China. Aerosol Air Qual. Res. 2020, 20, 2557–2567. [Google Scholar] [CrossRef]
- Liu, Y.; Shi, G.; Zhan, Y.; Zhou, L.; Yang, F. Characteristics of PM2.5 spatial distribution and influencing meteorological conditions in Sichuan Basin, southwestern China. Atmos. Environ. 2021, 253, 118364. [Google Scholar] [CrossRef]
- Ali, M.A.; Huang, Z.; Bilal, M.; Assiri, M.E.; Mhawish, A.; Nichol, J.E.; Leeuw, G.; Almazroui, M.; Wang, Y.; Alsubhi, Y. Long-term PM2.5 pollution over China: Identification of PM2.5 pollution hotspots and source contributions. Sci. Total Environ. 2023, 893, 164871. [Google Scholar] [CrossRef] [PubMed]
- Chan, C.K.; Yao, X.H. Review: Air pollution in mega cities in China. Atmos. Environ. 2008, 42, 1–42. [Google Scholar] [CrossRef]
- Liu, X.Y.; Xiao, H.Y.; Liu, C.Q.; Xiao, H.W.; Wang, Y.L. Assessment of atmospheric sulfur with the epilithic moss Haplocladium microphyllum: Evidences from tissue sulfur and δ34S analysis. Environ. Pollut. 2009, 157, 2066–2071. [Google Scholar] [CrossRef] [PubMed]
- He, K.; Zhao, Q.; Ma, Y.; Duan, F.; Yang, F.; Shi, Z.; Chen, G. Spatial and seasonal variability of PM2.5 acidity at two Chinese megacities: Insights into the formation of secondary inorganic aerosols. Atmos. Chem. Phys. 2012, 12, 1377–1395. [Google Scholar] [CrossRef]
- Tian, M.; Liu, Y.; Yang, F.; Zhang, L.; Peng, C.; Chen, Y.; Shi, G.; Wang, H.; Luo, B.; Jiang, C.; et al. Increasing importance of nitrate formation for heavy aerosol pollution in two megacities in Sichuan Basin, southwest China. Environ. Pollut. 2019, 250, 898–905. [Google Scholar] [CrossRef] [PubMed]
- Zhang, B.; Wang, S.; Wang, D.; Wang, Q.; Yang, X.; Tong, R. Air quality changes in China 2013-2020: Effectiveness of clean coal technology policies. J. Clean. Prod. 2022, 366, 132961. [Google Scholar] [CrossRef]
- Shen, Z.X.; Cao, J.J.; Arimoto, R.; Han, Z.W.; Zhang, R.J.; Han, Y.M.; Liu, S.X.; Okuda, T.; Nakao, S.; Tanka, S. Ionic composition of TSP and PM2.5 during dust storms and air pollution episodes at Xi’an, China. Atmos. Environ. 2009, 43, 2911–2918. [Google Scholar] [CrossRef]
- Zhang, T.; Cao, J.J.; Tie, X.X.; Shen, Z.X.; Liu, S.X.; Ding, H.; Han, Y.M.; Wang, G.H.; Ho, K.F.; Qiang, J.; et al. Water-soluble ions in atmospheric aerosols measured in Xi’an, China: Seasonal variations and sources. Atmos. Res. 2011, 102, 110–119. [Google Scholar] [CrossRef]
- Wang, Y.Q.; Zhang, X.Y.; Draxler, R.R. TrajStat: GIS-based software that uses various trajectory statistical analysis methods to identify potential sources from long-term air pollution measurement data. Environ. Model Softw. 2009, 24, 938–939. [Google Scholar] [CrossRef]
- Stohl, A. Computation, accuracy and applications of trajectories-A review and bibliography. Atmos. Environ. 1998, 32, 947–966. [Google Scholar] [CrossRef]
- Srivastava, D.; Xu, J.; Vu, T.V.; Liu, D.; Li, L.; Fu, P.; Hou, S.; Palmerola, N.M.; Shi, Z.; Harrison, R.M. Insight into PM2.5 sources by applying positive matrix factorization (PMF) at an urban and rural site of Beijing. Atmos. Chem. Phys. Discuss. 2021, 21, 14703–14724. [Google Scholar] [CrossRef]
- Zhang, Y.J.; Tang, L.L.; Wang, Z.; Yu, H.X.; Sun, Y.L.; Liu, D.; Qin, W.; Canonaco, F.; Prévôt, A.S.H.; Zhang, H.L.; et al. Insights into characteristics, sources, and evolution of submicron aerosols during harvest seasons in the Yangtze River delta region. China. Atmos. Chem. Phys. 2015, 15, 1331–1349. [Google Scholar] [CrossRef]
- Zhang, Y.X.; Sheesley, R.J.; Schauer, J.J.; Lewandowski, M.; Jaoui, M.; Offenberg, J.H.; Kleindienst, T.E.; Edney, E.O. Source apportionment of primary and secondary organic aerosols using positive matrix factorization (PMF) of molecular markers. Atmos. Environ. 2009, 43, 5567–5574. [Google Scholar] [CrossRef]
- GB 3095-2012; Ambient Air Quality Standards. Ministry of Environmental Protection of the People’s Republic of China: Beijing, China, 2012.
- Jia, Z.; Ordóñez, C.; Doherty, R.M.; Wild, O.; Turnock, S.T.; O’Connor, F.M. Modulation of daily PM2.5 concentrations over China in winter by large-scale circulation and climate change. Atmos. Chem. Phys. 2023, 23, 2829–2842. [Google Scholar] [CrossRef]
- Feng, W.; Wang, M.; Zhang, Y.; Dai, X.; Liu, X.; Xu, Y. Intraseasonal variation and future projection of atmospheric diffusion conditions conducive to extreme haze formation over eastern China. Atmos. Ocean Sci. Lett. 2020, 13, 346–355. [Google Scholar] [CrossRef]
- Glavas, S.D.; Nikolakis, P.; Ambatzoglou, D.; Mihalopoulos, N. Factors affecting the seasonal variation of mass and ionic composition of PM2.5 at a central Mediterranean coastal site. Atmos. Environ. 2008, 42, 5365–5373. [Google Scholar] [CrossRef]
- Harrison, R.M.; Yin, J. Chemical speciation of PM2.5 particles at urban background and rural sites in the UK atmosphere. J. Environ. Monit. 2010, 12, 1404–1414. [Google Scholar] [CrossRef] [PubMed]
- Chen, Y.; Xie, S.D.; Luo, B.; Zhai, C. Characteristics and sources of water-soluble ions in PM2.5 in the Sichuan Basin, China. Atmosphere 2019, 10, 78. [Google Scholar] [CrossRef]
- Du, X.X.; Shi, G.M.; Zhao, T.L.; Yang, F.M.; Zheng, X.B.; Zhang, Y.J.; Tan, Q.W. Contribution of secondary particles to wintertime PM2.5 during 2015–2018 in a major urban area of the Sichuan Basin, Southwest China. Earth Space Sci. 2020, 7, e2020EA001194. [Google Scholar] [CrossRef]
- Tao, J.; Zhang, L.; Engling, G.; Zhang, R.; Yang, Y.; Cao, J.; Zhu, C.; Wang, Q.; Luo, L. Chemical composition of PM2.5 in an urban environment in Chengdu, China: Importance of springtime dust storms and biomass burning. Atmos. Res. 2013, 122, 270–283. [Google Scholar] [CrossRef]
- Tao, J.; Gao, J.; Zhang, L.; Zhang, R.; Che, H.; Zhang, Z.; Lin, Z.; Jing, J.; Cao, J.; Hsu, S.C. PM2.5 pollution in a megacity of southwest China: Source apportionment and implication. Atmos. Chem. Phys. 2014, 14, 8679–8699. [Google Scholar] [CrossRef]
- Yao, X.H.; Chan, C.K.; Fang, M.; Cadle, S.; Chan, T.; Mulawa, P.; He, K.; Ye, B. The water-soluble ionic composition of PM2.5 in Shanghai and Beijing, China. Atmos. Environ. 2002, 36, 4223–4234. [Google Scholar] [CrossRef]
- Shen, Z.; Cao, J.; Arimoto, R.; Han, Y.; Zhu, C.; Tian, J.; Liu, S. Chemical characteristics of fine particles (PM1) from Xi’an, China. Aerosol Sci. Technol. 2010, 44, 461–472. [Google Scholar] [CrossRef]
- Liu, P.; Ye, C.; Xue, C.; Zhang, C.; Mu, Y.; Sun, X. Formation mechanisms of atmospheric nitrate and sulfate during the winter haze pollution periods in Beijing: Gas-phase, heterogeneous and aqueous-phase chemistry. Atmos. Chem. Phys. 2020, 20, 4153–4165. [Google Scholar] [CrossRef]
- Wang, Q.; Ding, H.; Yu, F.; Chao, N.; Li, Y.; Jiang, Q.; Huang, Y.; Duan, L.; Ji, Z.; Zhou, R.; et al. The characteristics and impact factors of sulfate and nitrate in urban PM2.5 over typical cities of Hangzhou Bay area, China. Atmosphere 2023, 14, 1799. [Google Scholar] [CrossRef]
- Cao, J.J.; Shen, Z.X.; Chow, J.C.; Qi, G.W.; Watson, J.G. Seasonal variations and sources of mass and chemical composition for PM10 aerosol in Hangzhou, China. Particuology 2009, 7, 161–168. [Google Scholar] [CrossRef]
- Xu, L.L.; Chen, X.Q.; Chen, J.S.; Zhang, F.W.; He, C.; Zhao, J.P.; Yin, L.Q. Seasonal variations and chemical compositions of PM2.5 aerosol in the urban area of Fuzhou, China. Atmos. Res. 2012, 104–105, 264–272. [Google Scholar] [CrossRef]
- Wang, X.; Bi, X.; Sheng, G.; Fu, J. Chemical composition and sources of PM10 and PM2.5 aerosols in Guangzhou, China. Environ. Monit. Assess. 2006, 119, 425–439. [Google Scholar] [CrossRef] [PubMed]
- Wang, Y.; Zhuang, G.; Zhang, X.; Huang, K.; Xu, C.; Tang, A.; Chen, J.; An, Z. The ion chemistry, seasonal cycle, and sources of PM2.5 and TSP aerosol in Shanghai. Atmos. Environ. 2006, 40, 2935–2952. [Google Scholar] [CrossRef]
- Ohta, S.; Okita, T. A chemical characterization of atmospheric aerosol in Sapporo. Atmos. Environ. 1990, 24, 815–822. [Google Scholar] [CrossRef]
- Duan, F.K.; Liu, X.D.; Yu, T.; Cachier, H. Identification and estimate of biomass burning contribution to the urban aerosol organic carbon concentrations in Beijing. Atmos. Environ. 2004, 38, 1275–1282. [Google Scholar] [CrossRef]
- Peng, J.; Hu, M.; Shang, D.; Wu, Z.; Du, Z.; Tan, T.; Wang, Y.; Zhang, F.; Zhang, R. Explosive secondary aerosol formation during severe haze in the North China Plain. Environ. Sci. Technol. 2021, 55, 2189–2207. [Google Scholar] [CrossRef] [PubMed]
- Cao, J.J.; Chow, J.C.; Watson, J.G.; Wu, F.; Han, Y.M.; Jin, Z.D.; Shen, Z.X.; An, Z.S. Size-differentiated source profiles for fugitive dust in the Chinese Loess Plateau. Atmos. Environ. 2008, 42, 2261–2275. [Google Scholar] [CrossRef]
- Xiao, H.Y.; Liu, C.Q. Chemical characteristics of water-soluble components in TSP over Guiyang, SW China, 2003. Atmos. Environ. 2004, 38, 6297–6306. [Google Scholar] [CrossRef]
- Zhang, R.J.; Cao, J.J.; Lee, S.C.; Shen, Z.X.; Ho, K.F. Carbonaceous aerosols in PM10 and pollution gases in winter in Beijing. J. Environ. Sci. 2007, 19, 564–571. [Google Scholar] [CrossRef]
- Cao, J.J.; Chow, J.C.; Tao, J.; Lee, S.C.; Watson, J.G.; Ho, K.F.; Wang, G.H.; Zhu, C.S.; Han, Y.M. Stable carbon isotopes in aerosols from Chinese cities: Influence of fossil fuels. Atmos. Environ. 2011, 45, 1359–1363. [Google Scholar] [CrossRef]
- Dall’Osto, M.; Querol, X.; Alastuey, A.; O’Dowd, C.; Harrison, R.M.; Wenger, J.; Gómez-Moreno, F.J. On the spatial distribution and evolution of ultrafine particles in Barcelona. Atmos. Chem. Phys. 2013, 13, 741–759. [Google Scholar] [CrossRef]
- Tian, H.; Wang, Y.; Xue, Z.; Qu, Y.; Chai, F.; Hao, J. Atmospheric emissions estimation of Hg, As, and Se from coal-fired power plants in China, 2007. Sci. Total Environ. 2011, 409, 3078–3081. [Google Scholar] [CrossRef] [PubMed]
- Duc, H.N.; Bang, H.Q.; Quang, N.X. Modelling and prediction of air pollutant transport during the 2014 biomass burning and forest fires in peninsular Southeast Asia. Environ. Monit. Assess. 2016, 188, 106. [Google Scholar] [CrossRef] [PubMed]
- Zhou, Y.; Xiao, H.; Guan, H.; Zheng, N.; Zhang, Z.; Tian, J.; Qu, L.; Zhao, J.; Xiao, H. Chemical composition and seasonal variations of PM2.5 in an urban environment in Kunming, SW China: Importance of prevailing westerlies in cold season. Atmos. Environ. 2020, 237, 117704. [Google Scholar] [CrossRef]
- Sofia, D.; Lotrecchiano, N.; Trucillo, P.; Giuliano, A.; Terrone, L. Novel air pollution measurement system based on ethereum blockchain. J. Sens. Actuator Netw. 2020, 9, 49. [Google Scholar] [CrossRef]
Disclaimer/Publisher’s Note: The statements, opinions and data contained in all publications are solely those of the individual author(s) and contributor(s) and not of MDPI and/or the editor(s). MDPI and/or the editor(s) disclaim responsibility for any injury to people or property resulting from any ideas, methods, instructions or products referred to in the content. |
© 2024 by the authors. Licensee MDPI, Basel, Switzerland. This article is an open access article distributed under the terms and conditions of the Creative Commons Attribution (CC BY) license (https://creativecommons.org/licenses/by/4.0/).







