Numerical Simulation of the Effects of Surface Roughness on Light Scattering by Hexagonal Ice Plates
Abstract
1. Introduction
2. Materials and Methods
2.1. Scattering Theory
2.2. A Simple Implementation of Surface Roughness
2.2.1. Particle Orientations
- .
- ,, , , , , , , , , , , , , , , .
- ,, , , , , .
2.3. Numerical Methods
3. Results
3.1. Discrete Dipole Approximation
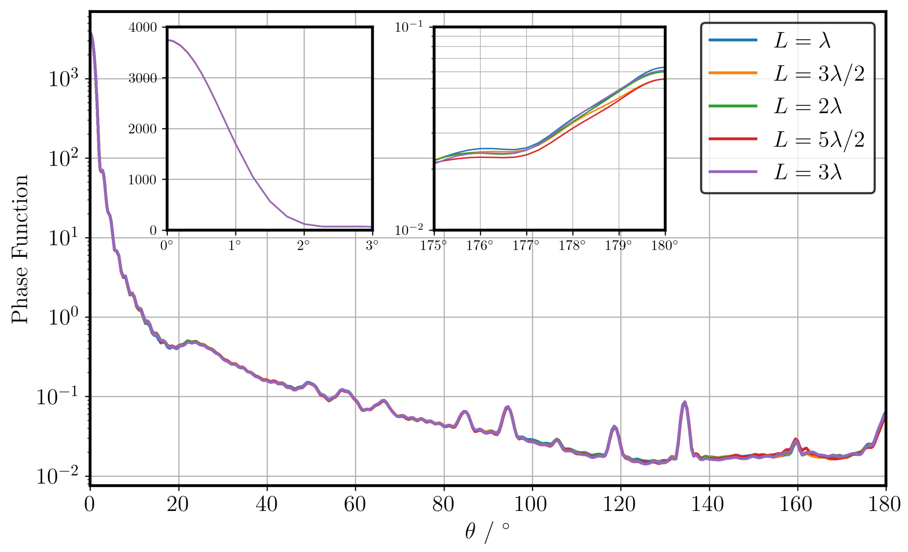
- Close to Direct Forward Scattering: The scattered intensity close to is shown in the upper left inset of the figure. A linear scale is used in the upper left insets here since small fractional differences have a significant effect on the asymmetry parameter. It is found that, at this size parameter, the smooth plate has the strongest forward scattered intensity, while increasing values of result in smaller amplitudes. Interestingly, the data show that scattering by particles with is almost indistinguishable to those with . In summary, the data suggest that surface roughness has almost no effect on the forward scattering if .
- Halo Region: The broad halo peak centred at ∼ can be attributed to the angle of minimum deviation associated with light passing between 2 non-adjacent rectangular facets of the plate [20]. The relative height of this peak, known as the halo ratio, can be defined as . The value of the halo ratio has been proposed as a quantitative measure for identifying the presence of cirrus [30]. Compared to computations with geometric optics (e.g., [9,31]), the halo observed here is broader and relatively weak. The height of this peak can be explained by the large aspect ratio of the plate. More columnar-type ice particles have larger rectangular facets, which in turn leads to a larger fraction of the incident energy being scattered into the halo region. The broadness of the peak is due to the fact that the prism facets have dimensions comparable to the wavelength. This leads to a significant broadening of scattering due to diffractive effects, which cannot be accounted for with classical geometric optics. Similar to the findings of the direct forward scattering, the halo region is almost unaffected by the presence of surface roughness with an amplitude much smaller than the wavelength. The halo peak diminishes as the roughness increases up until , wherein the peak is no longer distinguishable, which agrees with the findings of other studies [32,33,34]. This finding has implications for practical applications which use the halo region as a means of identifying the presence of ice particles. The results show that the absence of a distinguishable halo peak does not necessarily mean that there is an absence of hexagonal ice plates in the sample. Rather, it merely indicates the absence of pristine hexagonal prisms. This agrees with other studies, which have found that classical geometric optics overestimates the intensity of the halo peak [19,35]. Further incorporation of the halo ratio in measuring techniques could provide a useful method of estimating surface roughness and irregularity, especially when combined with the analysis of other experimental evidence, such as scattering pattern symmetry and particle imaging.
- Backscattering: The backscattering in the region – is shown in the upper right insets of Figure 5. Unlike for the forward scattering and halo regions, even small-scale roughness appears to have an effect on the backscattering. As may be expected, the smooth hexagonal plate () shows the strongest backscattering peak. Due to the normalisation of each phase function and the difference in scattering cross sections between datasets, comparing the values at does not provide a very useful insight. Instead, the backscattering ratio is introduced, which is defined here as . The backscattering ratios for increasing values of at are found to be 3.74, 2.86, 1.76, 1.56, 1.41, and 1.42. Increasing the amplitude of surface roughness decreases the backscattering ratio until a value of ∼, where the asymptote appears. Recent studies indicate that two main factors contribute to the backscattering ratio: corner retro-reflection events [36] and coherent backscattering [37]. A retro-reflection can occur when a particle with multiple right-angled facets is illuminated at certain ranges of orientations. Under these conditions, there exist bundles of parallel ray paths which can be shown using geometric optics to scatter into the direct backscattering direction. One possible explanation for the decreasing backscattering ratio is that, as the roughness amplitude increases, the effect of retro-reflection events is reduced, and therefore the backscattering ratio becomes primarily due to coherent backscattering. The effect of coherent backscattering is a well-known wave phenomenon that leads to constructive interference in and close to . The effect can be explained by studying a pair of reciprocal ray paths as shown in Figure 6a. If an incident ray undergoes multiple scattering events and is scattered back along the direction of incidence, then there exists a reciprocal ray which travels along the exact same path but in the opposite direction. This follows as a result of the time-reversal symmetry of Maxwell’s equations. Consequently, the 2 rays travel the same distance and therefore always interfere constructively in the direct backscattering, which leads to a peak in the backscattered intensity. Even without consideration of the phase of the electric field, classical geometric optics often overestimates the backscattering ratio for pristine hexagonal prisms due to the omission of diffraction of outgoing bundles of rays.


3.2. PBT Results vs. DDA
4. Conclusions
Author Contributions
Funding
Institutional Review Board Statement
Informed Consent Statement
Data Availability Statement
Conflicts of Interest
Abbreviations
| DDA | Discrete Dipole Approximation |
| PBT | Parent Beam Tracer |
References
- Baran, A.J. A review of the light scattering properties of cirrus. J. Quant. Spectrosc. Radiat. Transf. 2009, 110, 1239–1260. [Google Scholar] [CrossRef]
- Mishchenko, M.I.; Hovenier, J.W.; Travis, L.D. Light Scattering by Nonspherical Particles; Academic Press: Cambridge, MA, USA, 1999. [Google Scholar]
- Hahn, C.J.; Warren, S.G. A Gridded Climatology of Clouds over Land (1971–96) and Ocean (1954–97) from Surface Observations Worldwide; Oak Ridge National Laboratory, Carbon Dioxide Information Analysis Center: Oak Ridge, TN, USA, 2007. [Google Scholar] [CrossRef]
- Mitchell, C.J.; Porco, C.C.; Weiss, J.W. Tracking the Geysers of Enceladus into Saturn’s E Ring. Astron. J. 2015, 149, 156. [Google Scholar] [CrossRef]
- Martin, W.; Baross, J.; Kelley, D.; Russell, M.J. Hydrothermal vents and the origin of life. Nat. Rev. Microbiol. 2008, 6, 805–814. [Google Scholar] [CrossRef] [PubMed]
- Morello, C.; Berg, M.J. A light scattering analysis of the cryovolcano plumes on enceladus. J. Quant. Spectrosc. Radiat. Transf. 2024, 322, 109018. [Google Scholar] [CrossRef]
- Heymsfield, A.J.; Krämer, M.; Luebke, A.; Brown, P.; Cziczo, D.J.; Franklin, C.; Lawson, P.; Lohmann, U.; McFarquhar, G.; Ulanowski, Z.; et al. Cirrus Clouds. Meteorol. Monogr. 2017, 58, 2.1–2.26. [Google Scholar] [CrossRef]
- Peltoniemi, J.I.; Lumme, K.; Muinonen, K.; Irvine, W.M. Scattering of light by stochastically rough particles. Appl. Opt. 1989, 28, 4088–4095. [Google Scholar] [CrossRef]
- Macke, A.; Mueller, J.; Raschke, E. Single Scattering Properties of Atmospheric Ice Crystals. J. Atmos. Sci. 1996, 53, 2813–2825. [Google Scholar] [CrossRef]
- Muinonen, K. Light Scattering by Gaussian Random Particles. Earth Moon Planets 1996, 72, 339–342. [Google Scholar] [CrossRef]
- Mishchenko, M.I. Calculation of the amplitude matrix for a nonspherical particle in a fixed orientation. Appl. Opt. 2000, 39, 1026–1031. [Google Scholar] [CrossRef]
- Muinonen, K.; Nousiainen, T.; Lindqvist, H.; Munoz, O.; Videen, G. Light scattering by Gaussian particles with internal inclusions and roughened surfaces using ray optics. J. Quant. Spectrosc. Radiat. Transf. 2009, 110, 1628–1639. [Google Scholar] [CrossRef]
- Collier, C.; Hesse, E.; Taylor, L.; Ulanowski, Z.; Penttilä, A.; Nousiainen, T. Effects of surface roughness with two scales on light scattering by hexagonal ice crystals large compared to the wavelength: DDA results. J. Quant. Spectrosc. Radiat. Transf. 2016, 182, 225–239. [Google Scholar] [CrossRef]
- Riskilä, E.; Lindqvist, H.; Muinonen, K. Light scattering by fractal roughness elements on ice crystal surfaces. J. Quant. Spectrosc. Radiat. Transf. 2021, 267, 107561. [Google Scholar] [CrossRef]
- Purcell, E.M.; Pennypacker, C.R. Scattering and adsorption of light by nonspherical dielectric grains. Astrophys. J. 1973, 186, 705–714. [Google Scholar] [CrossRef]
- Waterman, P. Matrix formulation of electromagnetic scattering. Proc. IEEE 1965, 53, 805–812. [Google Scholar] [CrossRef]
- Liu, Q.H. The PSTD algorithm: A time-domain method requiring only two cells per wavelength. Microw. Opt. Technol. Lett. 1997, 15, 158–165. [Google Scholar] [CrossRef]
- Grynko, Y.; Shkuratov, Y.; Förstner, J. Light scattering by irregular particles much larger than the wavelength with wavelength-scale surface roughness. Opt. Lett. 2016, 41, 3491–3494. [Google Scholar] [CrossRef]
- Neshyba, S.P.; Lowen, B.; Benning, M.; Lawson, A.; Rowe, P.M. Roughness metrics of prismatic facets of ice. J. Geophys. Res. Atmos. 2013, 118, 3309–3318. [Google Scholar] [CrossRef]
- Bohren, C.F.; Huffman, D.R. Absorption and Scattering of Light by Small Particles; John Wiley & Sons: Hoboken, NJ, USA, 1983. [Google Scholar]
- Shewchuk, J.R. Triangle: Engineering a 2D quality mesh generator and Delaunay triangulator. In Proceedings of the Applied Computational Geometry Towards Geometric Engineering, Philadelphia, PA, USA, 27–28 May 1996; Lin, M.C., Manocha, D., Eds.; Springer: Berlin/Heidelberg, Germany, 1996; pp. 203–222. [Google Scholar]
- Muinonen, K.; Nousiainen, T.; Fast, P.; Lumme, K.; Peltoniemi, J. Light scattering by Gaussian random particles: Ray optics approximation. J. Quant. Spectrosc. Radiat. Transf. 1996, 55, 577–601. [Google Scholar] [CrossRef]
- Yurkin, M.A. Chapter 9-Discrete dipole approximation. In Light, Plasmonics and Particles; Mengüç, M.P., Francoeur, M., Eds.; Nanophotonics; Elsevier: Amsterdam, Netherlands, 2023; pp. 167–198. [Google Scholar] [CrossRef]
- Schmidt, K.; Yurkin, M.A.; Kahnert, M. A case study on the reciprocity in light scattering computations. Opt. Express 2012, 20, 23253–23274. [Google Scholar] [CrossRef]
- Yurkin, M.A.; Hoekstra, A.G. The discrete-dipole-approximation code ADDA: Capabilities and known limitations. J. Quant. Spectrosc. Radiat. Transf. 2011, 112, 2234–2247. [Google Scholar] [CrossRef]
- Yurkin, M.A. User Manual for the Discrete Dipole Approximation Code ADDA 1.4.0. 2020. Available online: https://github.com/adda-team/adda/blob/master/doc/manual.pdf (accessed on 4 April 2023).
- Penttilä, A. Fortran 95 Implementation of Meshconvert Computer Code. 2023. Available online: https://wiki.helsinki.fi/xwiki/bin/view/PSR/Planetary%20System%20Research%20group/People/Antti%20Penttil%C3%A4/Collection%20of%20codes/ (accessed on 12 July 2023).
- Ballington, H.; Hesse, E. A light scattering model for large particles with surface roughness. J. Quant. Spectrosc. Radiat. Transf. 2024, 323, 109054. [Google Scholar] [CrossRef]
- Karczewski, B.; Wolf, E. Comparison of Three Theories of Electromagnetic Diffraction at an Aperture.* Part I: Coherence Matrices. J. Opt. Soc. Am. 1966, 56, 1207–1214. [Google Scholar] [CrossRef]
- Dandini, P.; Ulanowski, Z.; Campbell, D.; Kaye, R. Halo ratio from ground-based all-sky imaging. Atmos. Meas. Tech. 2019, 12, 1295–1309. [Google Scholar] [CrossRef]
- Baran, A.J. From the single-scattering properties of ice crystals to climate prediction: A way forward. Atmos. Res. 2012, 112, 45–69. [Google Scholar] [CrossRef]
- Yang, P.; Liou, K.N. Single-scattering properties of complex ice crystals in terrestrial atmosphere. Contrib. Atmos. Phys. 1998, 71, 223–248. [Google Scholar]
- Mishchenko, M.I.; Macke, A. How big should hexagonal ice crystals be to produce halos? Appl. Opt. 1999, 38, 1626–1629. [Google Scholar] [CrossRef]
- Ulanowski, Z. Ice analog halos. Appl. Opt. 2005, 44, 5754–5758. [Google Scholar] [CrossRef]
- Hesse, E.; Ulanowski, Z. Scattering from long prisms computed using ray tracing combined with diffraction on facets. J. Quant. Spectrosc. Radiat. Transf. 2003, 79–80, 721–732. [Google Scholar] [CrossRef]
- Borovoi, A.G.; Grishin, I.A. Scattering matrices for large ice crystal particles. J. Opt. Soc. Am. A 2003, 20, 2071–2080. [Google Scholar] [CrossRef]
- Muinonen, K.; Lumme, K.; Peltoniemi, J.; Irvine, W.M. Light scattering by randomly oriented crystals. Appl. Opt. 1989, 28, 3051–3060. [Google Scholar] [CrossRef]
- Grünbaum, B. Isogonal Prismatoids. Discret. Comput. Geom. 1997, 18, 13–52. [Google Scholar] [CrossRef][Green Version]
- Liu, C.; Panetta, R.L.; Yang, P. The effective equivalence of geometric irregularity and surface roughness in determining particle single-scattering properties. Opt. Express 2014, 22, 23620–23627. [Google Scholar] [CrossRef] [PubMed]
- Kravtsov, Y.; Orlov, Y. Geometrical Optics of Inhomogeneous Media; Springer Series on Wave Phenomena; Springer: Berlin/Heidelberg, Germany, 2011. [Google Scholar]
- Borovoi, A.G. Light scattering by large particles: Physical optics and the shadow-forming field. In Light Scattering Reviews 8: Radiative Transfer and Light Scattering; Springer: Berlin/Heidelberg, Germany, 2013; pp. 115–138. [Google Scholar] [CrossRef]
- Keller, J.B. Geometrical theory of diffraction. J. Opt. Soc. Am. 1962, 52, 116–130. [Google Scholar] [CrossRef] [PubMed]
- Bi, L.; Yang, P.; Kattawar, G.W.; Hu, Y.; Baum, B.A. Diffraction and external reflection by dielectric faceted particles. J. Quant. Spectrosc. Radiat. Transf. 2011, 112, 163–173. [Google Scholar] [CrossRef]









Disclaimer/Publisher’s Note: The statements, opinions and data contained in all publications are solely those of the individual author(s) and contributor(s) and not of MDPI and/or the editor(s). MDPI and/or the editor(s) disclaim responsibility for any injury to people or property resulting from any ideas, methods, instructions or products referred to in the content. |
© 2024 by the authors. Licensee MDPI, Basel, Switzerland. This article is an open access article distributed under the terms and conditions of the Creative Commons Attribution (CC BY) license (https://creativecommons.org/licenses/by/4.0/).
Share and Cite
Ballington, H.; Hesse, E. Numerical Simulation of the Effects of Surface Roughness on Light Scattering by Hexagonal Ice Plates. Atmosphere 2024, 15, 1051. https://doi.org/10.3390/atmos15091051
Ballington H, Hesse E. Numerical Simulation of the Effects of Surface Roughness on Light Scattering by Hexagonal Ice Plates. Atmosphere. 2024; 15(9):1051. https://doi.org/10.3390/atmos15091051
Chicago/Turabian StyleBallington, Harry, and Evelyn Hesse. 2024. "Numerical Simulation of the Effects of Surface Roughness on Light Scattering by Hexagonal Ice Plates" Atmosphere 15, no. 9: 1051. https://doi.org/10.3390/atmos15091051
APA StyleBallington, H., & Hesse, E. (2024). Numerical Simulation of the Effects of Surface Roughness on Light Scattering by Hexagonal Ice Plates. Atmosphere, 15(9), 1051. https://doi.org/10.3390/atmos15091051

