You are currently viewing a new version of our website. To view the old version click .
Atmosphere
  • Article
  • Open Access

20 June 2024

The Effects of Different Sowing Dates on the Autumn Development and Yield of Winter Wheat in Central Lithuania

,
and
1
Department of Physics, Vytautas Magnus University, Universiteto 10, Akademija, 53361 Kaunas, Lithuania
2
Department of Agroecosystems and Soil Sciences, Vytautas Magnus University, Universiteto 10, Akademija, 53361 Kaunas, Lithuania
3
Department of Environmental Sciences, Vytautas Magnus University, Universiteto 10, Akademija, 53361 Kaunas, Lithuania
*
Author to whom correspondence should be addressed.
This article belongs to the Special Issue Influence of Weather Conditions on Agriculture

Abstract

Sowing date is a particularly important management option to optimize yields as it determines proper wintering and productivity. During a seven-year field experiment, the response of winter wheat to five different sowing times was studied. The beginning of the dormancy period was determined, and the Growing Degree Day (GDD) requirements for the period from sowing to emergence and from emergence to dormancy were assessed. As the sowing date was delayed, the time from sowing to emergence increased. The minimum optimum temperature during the emergence period was about 12 °C, with a heat requirement of about 125–130 GDD for earlier sowings, ensuring that winter wheat germinated successfully and properly prepared for wintering. The heat requirement for later sowings was higher and reached about 180 GDD when the average temperature of this period was about 8 °C. For the late sowing, the period from emergence to dormancy was too short, so winter wheat did not accumulate the required amount of heat, which had a significant impact on yield. The accumulated temperature from emergence to dormancy must be greater than 100 GDD. The obtained values can be applied in other regions or to choose the appropriate wheat sowing time to reduce yield losses under climate change.

1. Introduction

Wheat is one of the most important crops in ensuring that the food needs of the human population are met [1]. The maximum yield of winter wheat in individual cases already reaches 10 tons ha−1, mainly achieved in temperate latitudes [2]. High winter wheat productivity is ensured by paying attention to various aspects of winter wheat cultivation, such as the development of varieties that are suitable for specific regions, resistance to extreme weather conditions [3] or diseases [4], etc. Appropriate agrotechnical measures also contribute to the successful cultivation of winter wheat [5]. Significant attention is also paid to the autumn growth of winter wheat, which depends on the size and quality of the following year’s harvest [6]. Some of the most critical autumn conditions for winter wheat growth include temperature, proper application of the optimal amount of mineral nutrients, soil moisture, and sowing time [7].
Recent scientific advances have provided insights into winter wheat yield response to sowing dates in different regions. The results of these studies have led to contradictions, highlighting the importance of considering regional differences in determining optimal winter wheat sowing dates. A study showed that earlier sowing dates, particularly in late August, resulted in higher yields of winter wheat [8]. This was attributed to better utilization of available resources and significantly improved nitrogen uptake. In contrast, another study showed that later sowing dates, in late September or early October, led to lower wheat yield due to inhibition of crop growth, biomass, and nitrogen (N) production [9]. Some studies have reported that the optimal sowing date for winter wheat varied from region to region. For example, Ding et al. [10] found that the optimal sowing date of winter wheat in the semiarid Loess Plateau of China varied with the precipitation pattern. Radchenko et al. [11] found that winter wheat productivity and grain quality in Crimea depended on different sowing dates. The authors found that earlier sowing dates of winter wheat were beneficial in northern regions, while later sowing gave better results in southern regions.
Various environmental conditions in the autumn after sowing can significantly affect the growth, development, and potential yield of winter wheat. Some of the main environmental factors are temperature, soil moisture, light, and sowing time [12]. Winter wheat requires cool temperatures for optimal growth in autumn, which ranges between 10 °C and 25 °C during emergence and early growth, depending on the region [13,14]. The optimal temperature range for wheat seed germination was found to be between 20 °C and 25 °C, with the highest germination rate at 25 °C [15]. High (above 30 °C) and low (below 10 °C) temperatures significantly reduced wheat seed germination. High temperatures cause drying of the soil, which prevents the establishment of the seedling sand and inhibits growth [16]. Extremely low temperatures can damage young seedlings. Winter wheat can germinate at temperatures below 0 °C, but this takes significantly longer. Xie et al. [17] reported that both high and low temperatures directly affect the growth and development of winter wheat and that the duration of low temperatures and the interaction of low temperatures and duration had significant adverse effects on the growth and yield of winter wheat [17].
Winter wheat requires sufficient soil moisture for germination and early growth, and the optimum soil moisture content for germination is about 50–70% of soil field capacity [18]. If the soil moisture content is too low, it can delay germination and emergence, reduce seedling vigor and ultimately affect yield potential. Soil moisture content should be at least 30% for optimum germination, and drought stress at this early stage of growth can lead to yield losses [19]. The timing of rainfall can affect winter wheat germination by influencing soil moisture [20]. Sufficient soil moisture is crucial for seed germination and early root development. Consistent rainfall or irrigation in the early stages ensures good establishment. If precipitation falls too early, then the soil may be too cold for germination; if this happens too late, it may be too dry [21]. The rate of winter wheat emergence correlates with the post-sowing precipitation and is the fastest in wet conditions (5 days) and the slowest in low-precipitation conditions [22]. Insufficient moisture can cause poor germination, weakened seedlings, and stunted growth. Drought stress can be particularly detrimental if it occurs shortly after sowing [23]. Excessive rainfall that results in waterlogged soils can also be harmful, causing root diseases and reducing oxygen availability to the roots, inhibiting growth [24].
Some of the conditions, such as soil or non-water-logged areas, can be appropriately selected, while others depend only on changing environments, such as meteorology. A properly selected sowing time can at least partially solve the problems of autumn vegetation related to meteorological factors. Sowing time has a significant influence on the development of crops. For example, dry or excessively wet conditions at sowing can affect emergence and establishment. Early sowing can result in higher productivity of plants that are more sensitive to winter cold, while late sowing can lead to insufficient growth before winter [23,25,26].
The research shows that the environmental conditions during the autumn vegetation of winter wheat negatively or positively influence the quantity and quality of the harvest. This paper presents a study in which the same winter wheat variety, Skagen, was grown under similar conditions for seven seasons, and the same agrotechnical measures were applied. The main aim of this study is to determine how meteorological conditions influence the autumn vegetation of winter wheat and what effect they have on yield. For this, the relationship between the duration of winter wheat from sowing to emergence and the temperature, soil moisture, and heat demand was investigated, and the influence of the most critical parameters affecting winter wheat growth on the yield was examined in both autumn stages.

2. Materials and Methods

2.1. Experimental Design

Field experiments were conducted from 2015 to 2022 at the Experimental Station (54°53′ N, 23°50′ E) of the Agricultural Academy of Vytautas Magnus University in central Lithuania [27]. The soil of the experimental site is an Endocalcari–Epihypogleyic Cambisol (CMg-p-w-can) light loam. It contained 2.05–2.72% humus, available phosphorus (P2O5) ranging from 230 to 286 mg kg−1, potassium (K2O) from 116 to 186 mg kg−1, and pH from 6.9 to 7.2. Weeds were controlled by the recommended herbicides in the autumn.
The experiment involved a winter wheat (Triticum aestivum L.) cultivar ‘Skagen’, which was sown at a rate of 3 M seeds ha−1 (120–135 kg ha−1). The row spacing was 12.5 cm, and the sowing depth was 3–4 cm. The experiments included four replications. During the study period, winter wheat was sown from September 1 to October 10, approximately every 7–10 days (Table 1). The intervals between individual sowings were not the same every year due to unfavorable natural conditions, as well as the ability of the experimenters to organize the sowing. The weather conditions during the growth period of winter wheat from sowing to emergence for each sowing date are presented in Table 1.
Table 1. Sowing dates (SD) in 2015–2021 for winter wheat and growing conditions from sowing to emergence (mean GDD from sowing to emergence; Tmean—mean temperature; Tmax—mean maximal temperature; Tmin—mean minimum temperature; Prec—average precipitation, HTC—hydrothermal coefficient).
The pre-crop of winter wheat was winter oilseed rape. The soil tillage in the experiment was carried out in accordance with the conventional technology of winter wheat cultivation. The area of a single experimental plot was 40 m−2 and the area for grain harvest was 20 m2. Agrotechnical treatments were carried out according to good agricultural practice at the optimum time for this region. Skagen is characterized by a good winter hardiness, which is combined with disease resistance and baking quality. In spring, when the vegetation had renewed, crops were fertilized 75 kg ha−1, and a second fertilization of 135 kg ha−1 was performed at the end of tillering (BBCH 29 according to [28]) until early stem elongation (BBCH 31).

2.2. Weather Data

Meteorological information was obtained from the Kaunas hydrometeorological station, located within 500 m of the experimental fields. The average maximum and minimal daily temperature and precipitation during the study period (7 years) are given in Figure 1. The average annual temperature of the study period 2015–2022 was (8.4 ± 0.6) °C, the minimum was 7.6 °C (2016 and 2021), and the maximum was 9.3 °C (2020). Temperatures varied throughout the year according to seasonal trends, except for the winter months, when there were significant temperature fluctuations. As a result, long-term snow cover rarely formed during the winter months due to short-term warming. The amount of annual precipitation during the observation period was (626 ± 101) mm, ranging from 495 mm (2019) to 842 mm (2016) (Figure 1). A higher amount of precipitation was typical in the summer months (DOY (day of year) = 150–240) compared to other seasons.
Figure 1. Maximum and minimum daily temperatures (°C) and amounts of precipitation (mm) during the observation period of 2015–2022 (DOY—day of the year).
The key points regarding the growth of winter wheat in Lithuania are as follows. Winter wheat in Lithuania is usually sown in mid-September. Vernalization, the stage caused by an average daily temperature falling below 10 °C, begins in late October. The phenological phases of winter wheat development vary yearly due to significant meteorological variability in late autumn and spring. The vegetation of winter wheat resumes in the second half of March, but the timing of spring vegetation varies from year to year due to weather variability and the possibility of late frosts. Winter wheat flowers in late June and reaches maturity in late July or early August. Spring precipitation is decreasing, and there is a high variability in precipitation during this season. In recent decades, temperature fluctuations and declining rainfall, which affect winter wheat growth, have resulted in challenging spring growing seasons. However, favorable thermal conditions during autumn have allowed the wheat to strengthen before winter and successfully adapt to spring weather. Warmer summers with excess heat have not significantly affected the onset of phenological stages or yield. These findings highlight the importance of understanding the variable meteorological conditions and their impact on winter wheat cultivation in Lithuania, emphasizing the resilience of the crop to temperature and precipitation fluctuations.
The value of growing degrees days (1 GDD = 1 ° C × day) was used to evaluate accumulated temperatures. The GDD that was required for the emergence and dormancy of winter wheat autumn vegetation was calculated. The calculation of accumulated temperatures is described in more detail by Juknys et al. [29]. The GDD used in this study is the sum of positive temperatures (above 0 °C). Hourly air temperatures were used to estimate thermal time, mitigating the influence of diurnal temperature fluctuations. It is assumed that daytime temperature fluctuations follow a sinusoidal pattern from sunrise to sunset, while nighttime cooling follows a logarithmic decrease [30]. Growing degrees per day were calculated as the cumulative differences between the hourly temperature (Tj) and the base temperature (Tb), which was defined as zero. The total GDD for each phenological stage was calculated as follows:
G D D = f r o m t o i = 1 24 T i T b ,
The “from” parameter indicates the day of the year (DOY) marking the beginning of a specific phenological phase of winter wheat development, while the “to” parameter denotes the day of the year when the end of that phase was observed.
Another phase that is not usually detected by phenological observations is the onset of winter dormancy. This moment was determined using the condition that the accumulated GDD was less than 9 °C × day over three consecutive days. This corresponds to the condition that the average daily temperature during these three days is below 3 °C.
Precipitation data obtained from the nearby Kaunas hydrometeorological station were used as a reference. The Selyaninov hydrothermal coefficient (HTC) was used to evaluate the balance between precipitation and temperature during the growing season of crops. The HTC is the primary climate variable, which includes precipitation and temperature during the vegetative period. The coefficient has been used to assess the impact of weather conditions on crop growth and yield. It is calculated by dividing the sum of precipitation by the sum of temperature for the period when temperature exceeds 10 °C multiplied by 0.1.
H T C = i = 1 n p r i 0.1 i = 1 n T i ,
Here, n is the duration of the period examined in days and index i represents the day number. We use daily precipitation, pri, and daily average temperature Ti. In order to evaluate soil moisture conditions at lower temperatures as well, calculations were performed for all daily temperatures above 0 °C. The HTC has been found to range from 0.3 to 2.06, depending on the crop and location [31,32]. The commonly accepted classification values of HTC are as follows: extremely dry HTC < 0.4, very dry HTC in the range of 0.4–0.8, dry HTC in the range of 0.8–1.1, quite dry HTC in the range of 1.1–1.4, optimum HTC in the range of 1.4–1.7, quite humid HTC in the range of 1.7–2.1, humid HTC in the range of 2.1–2.6, very humid HTC in the range of 2.6–3.0, extremely humid HTC > 3.0 [33,34].

2.3. Statistical Analysis

Quadratic and linear regression analyses were performed in order to estimate the effect of explanatory variables (sowing date, temperature, HTC, and GDD) at p < 0.05. The coefficient of determination (R2) was calculated to determine the relationships between the selected variables. In order to eliminate the influence of different meteorological conditions, the yield of each year was normalized to the yield of the first sowing, which was equated to 100%. Data were analyzed using Microsoft Excel 2405 and Statistica 7 software.

3. Results

3.1. Effects of Sowing Time on the Emergence of Winter Wheat

With later sowing, the number of days between sowing and emergence gradually increased (F = 2.95, p < 0.05, Figure 2). The minimum duration from sowing to emergence was 6.8 days for wheat winter wheat sown in the first week of September (SD1). Compared to SD1, this period increased by more than three weeks with the latest sowing (10, 14, 17, and 21 days for SD2, SD3, SD4, and SD5, respectively).
Figure 2. Duration in days from winter wheat sowing to emergence at different sowing dates (SD). Different colors represent different sowing dates (SD) from the earliest (SD1) to the latest (SD5).
The main factors that can extend the time from sowing to emergence are unfavorable environmental conditions, including soil moisture and temperature. Selyaninov’s hydrothermal coefficient (HTC) was estimated for each sowing case, and then the average of this coefficient was calculated depending on the sowing time (Table 1). The relationship between the number of days from sowing to emergence and HTC showed that winter wheat emerged successfully even when moisture conditions during this period were minimal (Figure 3). More precipitation occurred within the longer germination period, but no significant relationship was found between sowing time and rainfall (p > 0.05). According to the HTC classification values, moisture was optimal at the time of SD1 and SD2 sowings (first half of September) [34] and increased to very wet and extremely wet during subsequent sowings. It can be concluded that soil moisture conditions are usually sufficient for the emergence of winter wheat in middle and higher latitudes.
Figure 3. The relationship between duration from sowing to emergence (in days) and the hydrothermal coefficient is calculated for 10 days before sowing and until emergence. Different colors represent different sowing dates (SD) from the earliest (blue, SD1) to the latest (red, SD5).
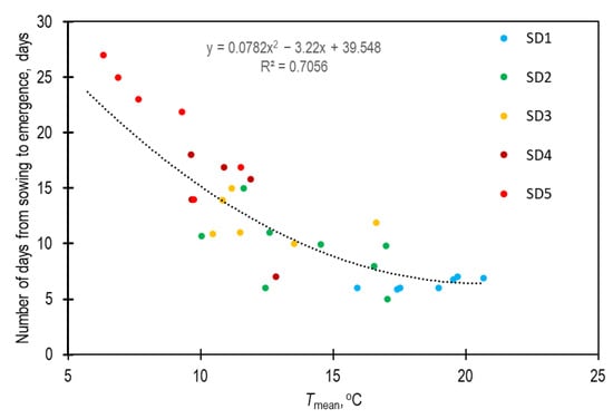
Another important factor influencing the emergence of winter wheat is temperature. The dependence of the number of days from sowing to emergence on the average temperature during this period is shown in Figure 4. This figure clearly shows a trend: the higher the temperature of the germination period, the faster the germination of winter wheat. The average temperature during the emergence period of the first wheat sowing (SD1) was 18.5 °C (max 24.4 °C, min 12.0 °C), and that of the latest sowing (SD5) was 8.6 °C (12.6 °C and 4.8 °C, respectively) (Table 1). However, a more important parameter defining the conditions for winter wheat germination is the heat resources, which are estimated by calculating growing degrees days (Figure 5). The dependence shows that, as the duration of germination increases, the GDD accumulated during this period also increases. Considering the lower temperature at later sowings (SD4, SD5), a longer period and a higher GDD are required for germination. SD1 and SD2 sowings have almost the same GDD (126.5 ± 16.7 and 128.9 ± 24.1 °C × day, respectively), although the average emergence temperature of SD2 sowings was 14.0 °C, which was 4.5 °C lower than the SD1 sowing temperature (18.5 °C) (Table 1). The equal accumulated GDD during the emergence period indicated the optimal temperature range and required GDD for winter wheat emergence in the cases of the first two sowings. For SD3 sowings, the accumulated GDD during the emergence period was about 15% higher (149.2 °C × day), although the average temperature decreased slightly during the period (from 14.0 °C to 12.3 °C, max 17.1 °C, min 7.6 °C). This suggests temperatures below 14.0 °C were too low for optimal winter wheat emergence. The temperature of the SD4 sowings was not much different from that of SD3, and a significantly lower temperature during the emergence period was characteristic of SD5 sowing. The highest value of GDD was found for the latest sowing (SD5), reaching 200 °C × day, and the average accumulated heat value for SD5 was 175.8 ± 21.5 °C × day (Figure 4, Table 1). In summary, regarding the temperature conditions for winter wheat emergence, it can be stated that the optimum temperature was higher than 14 °C. Under optimal temperature conditions, winter wheat required a lower GDD value of 125–130 °C × day. The lowest temperature at which winter wheat can still germinate successfully was around 8 °C (average SD5—8.6 °C); however, in this case, winter wheat required a longer emergence period of 3 weeks, during which the accumulated GDD could reach 175–200 °C × day.
Figure 4. The dependence of the number of days from sowing to emergence on mean temperature during this period. Different colors represent different sowing dates from the earliest (SD1) to the latest (SD5).
Figure 5. The number of accumulated temperature (GDD (°C × day) during the sowing–emergence period. Different colors represent different sowing dates from the earliest (SD1) to the latest (SD5).
The following year’s spring and summer vegetation of winter wheat is determined by meteorological conditions, which are the same for all sowings, and differences are difficult to notice during phenological observations. Despite this, the yields for different sowings are not the same, which means that autumn conditions determine the following year’s vegetation. Figure 6 shows how the yield depends on the temperature during the emergence period of winter wheat. The low temperature of the germination period also determines the lower yield (Figure 6). This graph confirms the results presented earlier, which state that the optimum average temperature for winter wheat germination should not be lower than 12 °C.
Figure 6. The yield dependence on the temperature during the emergence period of winter wheat.

3.2. Effects of Sowing Time on the Growth of Winter Wheat in Autumn

Vegetation of winter wheat in late autumn must prepare the plants for successful overwintering, and vernalization must also occur, the success of which determines the quantity and quality of the following year’s harvest. Before the winter dormancy period, winter wheat must emerge and form the growth elements necessary for further vegetation. For example, delayed emergence reduces the time for wheat growth before winter dormancy, resulting in less forage production. The duration and conditions of this period can be estimated using the parameter GDD—a heat resource from the germination of winter wheat to the beginning of the dormant period.
The day of the year (DOY) of dormancy onset was determined in this study using the condition that the accumulated GDD over three consecutive days was less than 9 °C × day. The relationship between the onset of dormancy and the accumulated GDD from emergence to the onset of winter dormancy is shown in Figure 7. The later the sowing (x-axis), the shorter the period until dormancy. Accordingly, the accumulated GDD during the period from emergence to dormancy obviously decreases. Decreasing GDD values indicates that with later sowing dates, plants have less time and fewer heat resources for winter preparation. Although the onset of dormancy is the same for all sowing times, the GDD varies from emergence to dormancy.
Figure 7. Relationship between time from sowing to emergence, length of dormancy and the accumulated GDD (Growing degrees per day) from emergence to the onset of winter dormancy.
The impact of GDD accumulation during late autumn vegetation on winter wheat yield is shown in Figure 8, indicating a distinct minimum threshold of 100 °C × day, corresponding to the minimum GDD requirement for proper winter preparation. In 2016 and 2018, winter wheat required a higher GDD accumulation during autumn vegetation. Upon examining the meteorological conditions of this year, we found that the winter season was colder compared to other years. This was characterized by lower temperatures with brief warm spells, during which the snow melts, potentially negatively affecting winter wheat dormancy. Additionally, a higher GDD accumulation during late autumn vegetation did not have a negative impact on winter wheat yield (Figure 8). In summary, we can conclude that the minimum GDD required for winter preparation in winter wheat is 100 °C × day, while a safe level of GDD, allowing preparation for colder winters typical in both Lithuania and temperate latitudes, is 300 °C × day.
Figure 8. Dependence of winter wheat yield on the accumulated GDD during the autumn vegetative period from germination to the beginning of dormancy. Each line corresponds to different sowing dates in the same year.
The dependence of the normalized winter wheat yield on the accumulated GDD during the autumn vegetative period from germination to the beginning of dormancy is shown in Figure 9. The amount of yield of the first three sowings, SD1, SD2, and SD3, are practically the same, while the yields of the late sowings, SD4 and SD5, are not completely lost due to late sowing in some years—for example, in 2018, 2021, 2022. Conversely, there are seasons when the yield of the first three sowings is the same, while the yield of the last sowings is significantly reduced. From this, we can conclude that the yield of late sowing does not suffer if the winter is favorable for wintering. Meanwhile, unfavorable winter conditions do not allow late sowing to overwinter properly, so the yield in such cases is significantly lower.
Figure 9. Dependence of normalized winter wheat yield on the accumulated GDD during the autumn growth period from emergence to the beginning of dormancy. Each color corresponds to different sowing dates in the same year.

4. Discussion

The timing of sowing is essential in adapting to possible future climate changes without yield loss. As the sowing date was delayed, the time from sowing to germination increased. Seeds sown in early autumn, a time needed to emerge was seven days, and sowing a week later resulted in 3–4 extra days for emergence. In late autumn, this period increased by more than six days. Notably, later sowing reduced seed germination success due to low temperatures, which also resulted in poor seedling establishment and reduced the number of productive tillers [35] and the final yield [9,36]. A relatively minor delay in sowing can compensate for yield losses with an increased sowing rate, but this was not the case with late sowing [26].
Major environmental variables such as temperature and precipitation are known to influence plant development. The average temperature from sowing to emergence for the first three sowings of winter wheat was found to be from 18.5 to 12.3 °C and GDD from 126 to 149 °C × day. The results showed that the heat resources required for the emergence of winter wheat were about 125–130 °C × day. The results of our GDD data for later sowings were suggestive compared to those of other studies. For example, Ren et al. 2019 [23] found that at later sowing and at a temperature of 7–8 °C during the emergence period, the accumulated GDD was about 100 °C × day; meanwhile, Zhou et al. [37] reported that the GDD was in the range of 100–125 °C × day. Our study showed that, in the case of later sowing, as the temperature decreases, the duration during which the heat requirement for emergence is satisfied increases, and the requirement for GDD also increases. Unfavorable environmental conditions, such as too-dry or too-wet soil and low temperature, which were sometimes below the biological minimum, affect plant growth, requiring more heat for emergence. Additional research on the GDD requirements of winter wheat during the emergence period at different sowing dates is needed for a more detailed analysis.
The amount of moisture in the soil during the emergence period is significant, affecting soil moisture and, as a result, the emergence of winter wheat [21]. If rainfall occurs too early, the soil may be too cold for emergence; if it occurs too late, it may be too dry. Winter wheat emergence was correlated with the amount of precipitation after sowing, and it was fastest in humid conditions [22].
Although the autumn moisture conditions varied between years in our study, there was no significant relationship between the amount of precipitation, which was dependent on soil moisture and yield. This can be explained by the fact that, in Lithuanian conditions, after winter wheat was sown in the autumn, precipitation fell sooner or later in the autumn, which meets the autumn moisture requirements of winter wheat. This was also shown by HTC values—the later the sowing, the higher the HTC. Such an increase in HTC values is not so much related to an increase in precipitation as to a lower inter-period temperature and reduced evaporation [32,34].
When wheat was sown on the first three sowing dates, similar yields were obtained in all years. This meant that the meteorological conditions between sowing and emergence were suitable, and the winter wheat yield was not affected. However, later sowings (SD4 and SD5) had different yields. In one year, for example, in the season of 2021 or 2022, the yield of all five sowings was practically the same. Meanwhile, in other seasons (2016, 2017), the yield of the last sowings was lower. This decrease can be attributed to the low accumulated heat during the emergence and dormancy period. At GDD values below 100 °C × day in all sowing cases, yield reduction was observed in late sowing. Therefore, we can conclude that late-sown winter wheat did not always have enough thermal resources to prepare for wintering, so the yield decreased significantly. Although the meteorological conditions of the following year affected the plant growth of all sowing dates equally, losses in the autumn reproductive stage significantly negatively influenced winter wheat yields. Late-sowing plants have a long sowing–emergence period, with insufficient time to develop a sufficient root system and above-ground biomass. As a result, their yield also decreases. The date of sowing determines the response of plants to photoperiodism and vernalization, which in turn affects the development of reproductive organs [25,38]. A later sowing date resulted in a shorter vegetative and generative development period.
The individual analyses of each season showed that the successful wintering of winter wheat was influenced by the preparation period before dormancy and winter conditions. For example, sometimes warming occurs during winter, when temperature may exceed even the biological minimum temperature by as much as 5 °C. Such temperature fluctuations negatively affected the cold resistance of winter wheat. The re-acclimation of winter wheat resulted in only a 39% recovery of freezing tolerance [39]. During the cooling period, there was not always a snow cover, which should protect the plants from the effects of low temperatures [40]. As a result, under unfavorable wintering conditions, insufficient development during the autumn period will have a negative effect on the yield. Meanwhile, under favorable wintering conditions, i.e., when the dormancy of winter wheat was not disturbed by increased temperatures, and there were no severe frosts, then even the plants that had not developed in the autumn were able to achieve the development of the plants that were sown earlier during the spring period of the following year. An example of such conditions was the 2020 season when winter wheat of the latest sowing date (SD5) with an extremely short maturity period (GDD = 8 °C × day) produced the same yield as earlier sowings.
The presented analysis shows that the yield of winter wheat at earlier sowing dates (SD1-SD3) was almost the same, and the yield is determined by the same meteorological conditions of the following year and agrotechnical measures, which were also the same for a specific season. To reduce the risk of low heat resources in late autumn, late sowings (such as SD4 and SD5) should be avoided.
Based on the accumulated temperatures before the winter, it was possible to predict and determine suitable sowing dates. Although our recommendations could serve as general guidelines for sowing dates for local farmers, our results with a weekly sowing interval may not be accurate. Further studies with shorter sowing date intervals could be a solution to refine the optimal sowing date. Another research limitation is soil moisture. Air temperature and precipitation were used to analyze the results of this study as variables that do not fully reflect soil temperature and moisture conditions. Further research using changes in soil moisture and temperature would allow us to detail the impact of changes in these conditions on plant development and make predictions in the future.

5. Conclusions

During the field experiment, the development of winter wheat at different sowing dates was studied. Delayed sowing increased the germination time of winter wheat after sowing. As the temperature increases, the germination time decreases in a non-linear manner: when the average temperature during the germination period is about 20 °C, winter wheat germinates in 6 days, and when the temperature decreases to 7 °C, the germination time increases to 25 days. When evaluating the temperature conditions during the germination of winter wheat, the optimum temperature was higher than 14 °C but not lower than 12 °C, requiring less GDD. The lowest temperature at which winter wheat could still successfully germinate was about 8 °C, but a longer germination period was needed to accumulate the required GDD. The minimum requirement of GDD for proper preparation for wintering should be at least 100 °C × day. The period between emergence and dormancy is too short for the last two sowings (end of September–beginning of October). For this reason, late-sown wheat has too few heat resources, so it does not properly prepare for wintering. According to HTC, moisture was optimal during early sowing (first half of September) and increased to very wet during subsequent sowings, which adversely affected seedling development. Importantly, low temperatures during the germination period also resulted in lower yields. The yield of early-sowing wheat differed little, while that of late-sowing wheat was up to 50% lower. Successful autumn vegetation of winter wheat required a long enough time—three weeks. In the case of later sowing, there is a high probability that plants will not properly prepare for the winter season, resulting in significantly lower yield. The obtained numerical GDD values can be applied to assess the risky timing for sowing in other regions as well.

Author Contributions

Conceptualization, G.S., I.V. and A.K.; methodology, I.V.; software, A.K.; validation, A.K. and G.S.; formal analysis, A.K.; investigation, resources, data curation, I.V.; writing—original draft preparation, A.K. and G.S.; writing—review and editing, A.K., I.V. and G.S.; visualization, A.K. All authors have read and agreed to the published version of the manuscript.

Funding

This research received no external funding.

Institutional Review Board Statement

Not applicable.

Data Availability Statement

The data presented in this study are available on request from the corresponding author. The data are not publicly available due to privacy.

Conflicts of Interest

The authors declare no conflicts of interest.

References

  1. Reynolds, M.P.; Braun, H.J. Wheat Improvement: Food Security in a Changing Climate; Springer Nature: Berlin, Germany, 2022; pp. 1–629. [Google Scholar] [CrossRef]
  2. Wójcik-Gront, E.; Iwańska, M.; Wnuk, A.; Oleksiak, T. The Analysis of Wheat Yield Variability Based on Experimental Data from 2008–2018 to Understand the Yield Gap. Agriculture 2022, 12, 32. [Google Scholar] [CrossRef]
  3. Mäkinen, H.; Kaseva, J.; Trnka, M.; Balek, J.; Kersebaum, K.C.; Nendel, C.; Gobin, A.; Olesen, J.E.; Bindi, M.; Ferrise, R.; et al. Sensitivity of European Wheat to Extreme Weather. Field Crops Res. 2018, 222, 209–217. [Google Scholar] [CrossRef]
  4. Miedaner, T.; Akel, W.; Flath, K.; Jacobi, A.; Taylor, M.; Longin, F.; Würschum, T. Molecular Tracking of Multiple Disease Resistance in a Winter Wheat Diversity Panel. Theor. Appl. Genet. 2020, 133, 419–431. [Google Scholar] [CrossRef] [PubMed]
  5. Magyar, Z.; Pepó, P.; Gyimes, E. Effects of Agrotechnical Factors on the Quality and Quantity of Yield in Winter Wheat Production. Acta Agrar. Debreceniensis 2020, 1, 69–75. [Google Scholar] [CrossRef] [PubMed]
  6. Bastos, L.M.; Carciochi, W.; Lollato, R.P.; Jaenisch, B.R.; Rezende, C.R.; Schwalbert, R.; Vara Prasad, P.V.; Zhang, G.; Fritz, A.K.; Foster, C.; et al. Winter Wheat Yield Response to Plant Density as a Function of Yield Environment and Tillering Potential: A Review and Field Studies. Front. Plant Sci. 2020, 11, 498501. [Google Scholar] [CrossRef]
  7. Slafer, G.A.; Savin, R.; Pinochet, D.; Calderini, D.F. Crop Physiology Case Histories for Major Crops; Academic Press: Cambridge, MA, USA, 2021; pp. 98–163. [Google Scholar] [CrossRef]
  8. Christensen, B.T.; Jensen, J.L.; Thomsen, I.K. Impact of Early Sowing on Winter Wheat Receiving Manure or Mineral Fertilizers. Agron. J. 2017, 109, 1312–1322. [Google Scholar] [CrossRef]
  9. Liu, K.; Zhang, C.; Guan, B.; Yang, R.; Liu, K.; Wang, Z.; Li, X.; Xue, K.; Yin, L.; Wang, X. The Effect of Different Sowing Dates on Dry Matter and Nitrogen Dynamics for Winter Wheat: An Experimental Simulation Study. PeerJ 2021, 9, e11700. [Google Scholar] [CrossRef] [PubMed]
  10. Ding, D.Y.; Feng, H.; Zhao, Y.; He, J.Q.; Zou, Y.F.; Jin, J. Modifying Winter Wheat Sowing Date as an Adaptation to Climate Change on the Loess Plateau. Agron. J. 2016, 108, 53–63. [Google Scholar] [CrossRef]
  11. Radchenko, L.A.; Ganotskaya, T.L.; Radchenko, A.F.; Babanina, S.S. Sowing Dates and Their Effect on Productivity and Grain Quality of the Winter Wheat Varieties. Grain Econ. Russ. 2021, 6, 95–103. [Google Scholar] [CrossRef]
  12. Hayman, G.; Redhead, J.W.; Brown, M.; Pinnington, E.; Gerard, F.; Brown, M.; Fincham, W.; Robinson, E.L.; Huntingford, C.; Pywell, R.F. A Framework for Improved Predictions of the Climate Impacts on Potential Yields of UK Winter Wheat and Its Applicability to Other UK Crops. Clim. Serv. 2024, 34, 100479. [Google Scholar] [CrossRef]
  13. Khan, A.; Ahmad, M.; Ahmed, M.; Iftikhar Hussain, M. Rising Atmospheric Temperature Impact on Wheat and Thermotolerance Strategies. Plants 2021, 10, 43. [Google Scholar] [CrossRef]
  14. Shimoda, S.; Yazaki, T.; Nishio, Z.; Hamasaki, T.; Hirota, T. Possible Soil Frost Control by Snow Compaction on Winter Wheat Fields. J. Agric. Meteorol. 2015, 71, 276–281. [Google Scholar] [CrossRef]
  15. Khaeim, H.; Kende, Z.; Balla, I.; Gyuricza, C.; Eser, A.; Tarnawa, Á. The Effect of Temperature and Water Stresses on Seed Germination and Seedling Growth of Wheat (Triticum Aestivum L.). Sustainability 2022, 14, 3887. [Google Scholar] [CrossRef]
  16. Ru, C.; Hu, X.; Chen, D.; Wang, W.; Zhen, J. Photosynthetic, Antioxidant Activities, and Osmoregulatory Responses in Winter Wheat Differ during the Stress and Recovery Periods under Heat, Drought, and Combined Stress. Plant Sci. 2023, 327, 111557. [Google Scholar] [CrossRef]
  17. Xie, Y.; Wang, C.; Yang, W.; Feng, M.; Qiao, X.; Song, J. Canopy Hyperspectral Characteristics and Yield Estimation of Winter Wheat (Triticum Aestivum) under Low Temperature Injury. Sci. Rep. 2020, 10, 244. [Google Scholar] [CrossRef]
  18. Moitzi, G.; Wagentristl, H.; Liebhard, P.; Neugschwandtner, R. Influence of Tillage Systems in a Long-Term Experiment On Track Depths and Crop Yields under Pannonian Climate; Uniwersytet Przyrodniczy w Lublinie: Lublin, Poland, 22 November 2017; pp. 250–254. [Google Scholar]
  19. Yang, Y.; Huang, Y.; Zhang, Y.; Tong, X. Optimal Irrigation Mode and Spatio-Temporal Variability Characteristics of Soil Moisture Content in Different Growth Stages of Winter Wheat. Water 2018, 10, 1180. [Google Scholar] [CrossRef]
  20. Ren, X.; Cai, T.; Chen, X.; Zhang, P.; Jia, Z. Effect of Rainfall Concentration with Different Ridge Widths on Winter Wheat Production under Semiarid Climate. Eur. J. Agron. 2016, 77, 20–27. [Google Scholar] [CrossRef]
  21. Lei, L.; Zhu, X.; Wang, S.; Zhu, M.; Carver, B.F.; Yan, L. TaMFT-A1 Is Associated with Seed Germination Sensitive to Temperature in Winter Wheat. PLoS ONE 2013, 8, e73330. [Google Scholar] [CrossRef] [PubMed]
  22. Synowiec, A.; Jop, B.; Domaradzki, K.; Podsiadło, C.; Gawęda, D.; Wacławowicz, R.; Wenda-Piesik, A.; Nowakowski, M.M.; Bocianowski, J.; Marcinkowska, K.; et al. Environmental Factors Effects on Winter Wheat Competition with Herbicide-Resistant or Susceptible Silky Bentgrass (Apera Spica-Venti L.) in Poland. Agronomy 2021, 11, 871. [Google Scholar] [CrossRef]
  23. Ren, A.X.; Min, S.U.N.; Wang, P.R.; Xue, L.Z.; Lei, M.M.; Xue, J.F.; Gao, Z.Q.; Yang, Z.P. Optimization of Sowing Date and Seeding Rate for High Winter Wheat Yield Based on Pre-Winter Plant Development and Soil Water Usage in the Loess Plateau, China. J. Integr. Agric. 2019, 18, 33–42. [Google Scholar] [CrossRef]
  24. Harkness, C.; Semenov, M.A.; Areal, F.; Senapati, N.; Trnka, M.; Balek, J.; Bishop, J. Adverse Weather Conditions for UK Wheat Production under Climate Change. Agric. Meteorol. 2020, 282–283, 107862. [Google Scholar] [CrossRef]
  25. Jarecki, W. Response of Winter Wheat to Delayed Sowing and Varied Nitrogen Fertilization. Agriculture 2024, 14, 121. [Google Scholar] [CrossRef]
  26. Shah, F.; Coulter, J.A.; Ye, C.; Wu, W. Yield Penalty Due to Delayed Sowing of Winter Wheat and the Mitigatory Role of Increased Seeding Rate. Eur. J. Agron. 2020, 119, 126120. [Google Scholar] [CrossRef]
  27. Kanapickas, A.; Vagusevičienė, I.; Juknys, R.; Sujetovienė, G. Effects of Climatic and Cultivar Changes on Winter Wheat Phenology in Central Lithuania. Int. J. Biometeorol. 2022, 66, 2009–2020. [Google Scholar] [CrossRef] [PubMed]
  28. Meier, U. Growth Stages of Mono- and Dicotyledonous Plants: BBCH Monograph; Federal Biological Research Centre for Agriculture and Forestry; Blackwell: Berlin, Germany, 2001; ISBN 9783955470715. Available online: https://www.politicheagricole.it/flex/AppData/WebLive/Agrometeo/MIEPFY800/BBCHengl2001.pdf (accessed on 30 April 2024).
  29. Juknys, R.; Velička, R.; Kanapickas, A.; Kriaučiūnienė, Z.; Masilionytė, L.; Vagusevičienė, I.; Pupalienė, R.; Klepeckas, M.; Sujetovienė, G. Projecting the Impact of Climate Change on Phenology of Winter Wheat in Northern Lithuania. Int. J. Biometeorol 2017, 61, 1765–1775. [Google Scholar] [CrossRef]
  30. Linvill, D.E. Calculating Chilling Hours and Chill Units from Daily Maximum and Minimum Temperature Observations. HortScience 2019, 25, 14–16. [Google Scholar] [CrossRef]
  31. Leblois, A.; Quirion, P. Agricultural Insurances Based on Meteorological Indices: Realizations, Methods and Research Challenges. Meteorol. Appl. 2013, 20, 1–9. [Google Scholar] [CrossRef]
  32. Iwanska, M.; Paderewski, J.; Stępien, M.; Rodrigues, P.C.; Madesis, P.; Nianiou-Obeidat, I. Winter Wheat Cultivar Recommendation Based on Expected Environment Productivity. Agriculture 2021, 11, 522. [Google Scholar] [CrossRef]
  33. Vlăduţ, A.Ş.; Nikolova, N.; Licurici, M. Procjena Aridnosti Za Južnu Rumunjsku i Sjevernu Bugarsku. Hrvat. Geogr. Glas. 2017, 79, 5–26. [Google Scholar] [CrossRef]
  34. Chmist-Sikorska, J.; Kępińska-Kasprzak, M.; Struzik, P. Agricultural Drought Assessment on the Base of Hydro-Thermal Coefficient of Selyaninov in Poland. Ital. J. Agrometeorol. 2022, 2022, 3–12. [Google Scholar] [CrossRef]
  35. Sattar, A.; Cheema, M.; Farooq, M.; Wahid, M.A. Evaluating the Performance of Wheat Cultivars under Late Sown Conditions. Artic. Int. J. Agric. Biol. 2010, 79, 648. [Google Scholar]
  36. Zhu, Y.; Chu, J.; Dai, X.; He, M. Delayed Sowing Increases Grain Number by Enhancing Spike Competition Capacity for Assimilates in Winter Wheat. Eur. J. Agron. 2019, 104, 49–62. [Google Scholar] [CrossRef]
  37. Zhou, B.; Sun, X.; Ge, J.; Li, C.; Ding, Z.; Ma, S.; Ma, W.; Zhao, M. Wheat Growth and Grain Yield Responses to Sowing Date-Associated Variations in Weather Conditions. Agron. J. 2020, 112, 985–997. [Google Scholar] [CrossRef]
  38. Qiao, S.; Harrison, S.P.; Prentice, I.C.; Wang, H. Optimality-Based Modelling of Wheat Sowing Dates Globally. Agric. Syst. 2023, 206, 103608. [Google Scholar] [CrossRef]
  39. Trischuk, R.G.; Schilling, B.S.; Low, N.H.; Gray, G.R.; Gusta, L.V. Cold Acclimation, de-Acclimation and Re-Acclimation of Spring Canola, Winter Canola and Winter Wheat: The Role of Carbohydrates, Cold-Induced Stress Proteins and Vernalization. Environ. Exp. Bot. 2014, 106, 156–163. [Google Scholar] [CrossRef]
  40. Vico, G.; Hurry, V.; Weih, M. Snowed in for Survival: Quantifying the Risk of Winter Damage to Overwintering Field Crops in Northern Temperate Latitudes. Agric. Meteorol. 2014, 197, 65–75. [Google Scholar] [CrossRef]
Disclaimer/Publisher’s Note: The statements, opinions and data contained in all publications are solely those of the individual author(s) and contributor(s) and not of MDPI and/or the editor(s). MDPI and/or the editor(s) disclaim responsibility for any injury to people or property resulting from any ideas, methods, instructions or products referred to in the content.

Article Metrics

Citations

Article Access Statistics

Multiple requests from the same IP address are counted as one view.