Abstract
Secondary minerals in SNC meteorites from Mars exhibit O isotope ratios believed to be consistent with the non-thermal escape of O from the atmosphere. The primary source of the non-thermal O is the dissociative- recombination of O2+ in the ionosphere. I present here the results of a model that accounts for the probability of escape of non-thermal O isotopes due to collisions with overlying CO2, combined with a model for Rayleigh fractionation of the atmosphere remaining as a result of O escape. Previous analyses of MAVEN number density data have shown a strong variability with latitude and season of the heights of the homopause and exobase, with a mean homopause at 110 km and a mean difference of about 60 km. Rayleigh model results demonstrate a dependence on homopause height and on temperature profile and require a more accurate calculation of fractionation factors for the Rayleigh equation. Isothermal temperature profiles yield much smaller variation in 17O with homopause height. These results demonstrate the need for a careful assessment of O isotope enrichment due to non-thermal escape both for the modern atmosphere and for the evolution of the atmosphere over the age of the planet.
1. Introduction
The low surface gravity of Mars allows for the non-thermal loss of some key constituents of the atmosphere. The photoionization of CO2 leads to the production of O2+ which after dissociation recombination with ionospheric electrons creates a flux of non-thermal O atoms with sufficient energy to escape the planet [1,2]. Meteorites from Mars contain secondary minerals with oxygen isotope signatures that may be consistent with such escape processes [3]. The isotopic signature present in the meteoritic minerals is referred to as mass-independent fractionation, or MIF, and can result from various chemical and physical processes, including escape [4]. Over the history of the planet, oxygen escape may have left its signature on the isotope composition of Martian volatiles present in the surface and atmospheric reservoirs.
I use a Rayleigh fractionation model to compute the isotope fractionation expected for the escape of hot oxygen atoms and to assess whether escape can be responsible for imparting an 17O enrichment to Martian volatiles. The Rayleigh model accounts for O isotope abundances from the homopause to the escape altitude of the hot oxygen atoms. This is in contrast to the more usual practice of computing the escape at the exobase, which is higher than the escape altitude of hot O atoms. In addition, the NGIMS instrument on the NASA MAVEN spacecraft has observed quite pronounced seasonal variation in the altitude of the homopause [5]. I explore here whether the O isotope ratios in the remaining atmosphere are affected by the altitude of the homopause.
This work addresses the issue of loss of the atmosphere of Mars over the age of the planet, which is crucial to our understanding of how Mars evolved to its present mostly desiccated state. Analysis of MAVEN data on Ar isotopes measured in the thermosphere determined a loss of about 66% of atmospheric Ar since the loss of the internally derived magnetic field on Mars [6]. Oxygen isotopes have also been previously used to make similar estimates, yielding loss percentages of about 20% [4]. Comparable results are reported here, although with some variability. A consistent story emerges of the loss of a significant fraction of the atmosphere since the loss of a substantial magnetospheric shield on Mars.
2. Diffusion Profiles in Mars’s Atmosphere
I use a photochemical model [7] to define total number density and eddy diffusion coefficient profiles used in the Rayleigh model. In this model, the homopause is at an altitude of 120 km. Below the homopause, eddy diffusion dominates, leading to minimal transport-derived isotope fractionation. Above the homopause, molecular diffusion is dominant and causes significant mass-dependent isotope fractionation, leading to the depletion of heavier isotopes [4]. Monte Carlo calculations show that the escape of hot oxygen, O*, generated by O2+ + e → O* + O*, occurs to altitudes of about 175 km and above [8]. To account for hot O escape from simpler collisional models, I extend the escape altitude to 145 km [9]. MAVEN NGIMS measurements of number densities have been used to show that homopause altitudes vary from about 70 to 125 km [5]. Inflation and contraction of the atmosphere over the seasonal cycle, possibly associated with gravity wave dissipation, causes the exobase altitude to vary as well, but with a difference in exobase and homopause heights that is restricted to about 45 to 75 km.
The continuity equations solved in typical photochemistry models are of the form
where ni and ϕi are the number density (cm−3) and vertical flux (cm−2 s−1), respectively, for species i in the model. Pi and Li are the production and loss rates (cm−3 s−1) for species i due to chemical and photodissociation reactions. The vertical flux satisfies the first-order diffusion equation
where Di is the molecular diffusion coefficient for species i diffusing through the background atmosphere, and K is the vertical eddy diffusion coefficient applicable to all species. The scale height of species i in the molecular diffusion regime is
and for the well-mixed atmosphere it is
for mean molecular mass, ma. The homopause is defined as the height at which Di > K for most species. The occurrence of mi in Equation (3a), and not in Equation (3b), is the basis of diffusive separation in the thermosphere.
The homopause of a planetary atmosphere represents the transition from convective and radiative energy transport below the homopause (the well-mixed region of the atmosphere up to about 100 km for Earth) to primarily conductive energy transport above the homopause. The formation of hot O atoms due to FUV and EUV dissociation and ionization of O2 in Earth’s ionosphere contributes to the high temperatures (~1000 K) from which the thermosphere’s name was originally derived. At altitudes below the homopause, oxygen isotope fractionation results from mostly mass-dependent photochemical reactions, mass-independent photochemistry (non-statistical reactions) such as for O3, or from mass-dependent condensation/evaporation processes. Eddy mixing below the homopause makes transport-derived isotope fractionation negligible, except for condensation reactions. At altitudes above the homopause, molecular diffusion is the primary means of vertical transport, resulting in very large mass-dependent fractionation of isotopes.
In the thermosphere, diffusive equilibrium, meaning zero flux, is a useful approximation. Setting ϕi i = 0 in Equation (2) and solving for ni yields [10,11]
where z0 is a reference height, which could be the ground or the homopause, or some other preferred height. We will use Equation (4) to estimate the expected isotope fractionation in the thermosphere. This can only be considered an estimate because photochemistry, ion–molecule chemistry, and the details of the escape process are neglected.
A diffusion-only model yields the delta-value profiles shown in Figure 1. Using the ratios of number densities to compute delta-values relative to the homopause, we have
where the difference in the inverse scale heights is

Figure 1.
O isotope results from a C-O Mars atmosphere model based on [7]. (a) δ17O (solid lines) and δ18O (dashed lines) for O (green) and CO2 (blue). CO2 values are compared to ground-level SAM measurements from the Curiosity rover [12]. (b) Δ17O for O (green) and CO2 (blue). These values were calculated with a slope factor of 0.528 (solid lines) and 0.500 (dashed lines). Note that the 0.500 slope greatly reduces the magnitude of Δ17O in the thermosphere [11,12]. (Figures are adapted from [12]).
O isotope ratios are conveniently expressed in delta notation as for x = 17 or 18 and relative to a mean ocean water (SMOW) standard. An excess of 17O relative to the usual mass-dependent fractionation is expressed as . For small δ-values, the 17O excess is approximately given by , where both and are expressed in permil. Equation (6) exhibits O isotope fractionation with an exponent of 0.500, rather than the usual mass-dependent 0.528 as derived from zero-point energy considerations [11], as shown by Figure 1. Although diffusion in the atmosphere deviates significantly from mass-dependent fractionation, as I show below, this results in a relatively small positive due to escape, consistent with the isotope record from SNC meteorites.
3. Collisional Model for Hot xO Escape
The dissociative recombination of O2+ yields O atoms with various kinetic energies depending on the electronic state of the atom. Cravens et al. [9] summarize the branching as follows:
O2+ + e → O(3P) + O(3P) + 6.96 eV (0.22)
O(3P) + O(1D) + 5.00 eV (0.42)
O(1D) + O(1D) + 3.02 eV (0.31)
O(1D) + O(1S) + 0.80 eV (0.05)
O(3P) + O(1D) + 5.00 eV (0.42)
O(1D) + O(1D) + 3.02 eV (0.31)
O(1D) + O(1S) + 0.80 eV (0.05)
The kinetic energy needed for an O atom to escape from Mars at an exobase altitude of about 200 km is approximately 2 eV. The first two branches, comprising a total branching ratio of 0.64, yield O or O(1D) atoms with sufficient excess kinetic energy for escape. More precisely, the escape velocity at 200 km is 4.9 km s−1 (and 5.0 km s−1 at the ground). The dissociative recombination of 32O2+ produces 16O atoms with a velocity of 5.5 km s−1. The recombination of 18O16O+ produces 16O with a velocity of 5.6 km s−1 and 18O with a velocity of 5.0 km s−1 from linear momentum conservation. Therefore, even hot 18O has sufficient kinetic energy to escape at exobase altitudes. I will assume here that the fraction of hot 17O and 18O with sufficient kinetic energy for escape is the same as that of hot 16O. This means that I am neglecting the distribution of velocities that the hot xO atoms may have and the possibility that the low-velocity tails of those distributions will be different for the mass 16, 17, and 18 O isotopes. Isotope-dependent velocity distribution is considered in more detail in [1]. I am also neglecting any velocity difference between O(3P) and O(1D) in the second branch of Equation (7).
Cravens et al. [9] describe a model for treating the escape of hot O atoms produced as a result of the dissociation recombination of O2+. We apply the same model here to the escape of 16O, 17O, and 18O. In this formulation, O escape is characterized by an escape probability, Gesc(z,q), where q is the angle of the trajectory of an escaping O atom relative to the local outward radial vector. Following Cravens et al. [9], we write the escape flux of hot O atoms as
where PO(z) is the production rate of hot O atoms from O2+ recombination, and local azimuthal symmetry is assumed. Because nearly all O2+ is a result of CO2+ reactions, especially CO2+ + CO2 → O2+ + 2CO, we can approximate O2+ production with CO2+ production and write
where g = 0.64 * 2 = 1.28 is the fraction of O atoms with kinetic energy sufficiently high for escape. The production rate for CO2+ is given by
with an ionization rate coefficient
The optical depth is the sum over all absorbers up to the ionization limit for CO2 at li = 90.0 nm (13.777 eV) but will be dominated by CO2 absorption and CO2 ionization to produce CO2+ + e−, so we have
The remaining variables in Equation (11) are the solar photon flux at the top of the atmosphere, F0, and the solar zenith angle, c. An approximate mean value for the ionization cross section is 3 × 10−17 cm2.
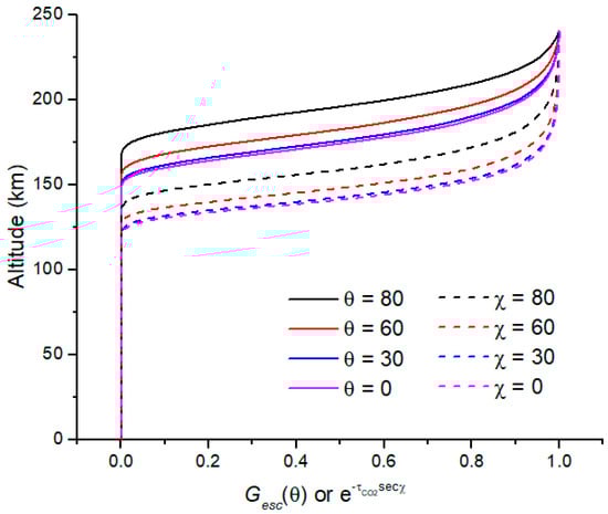
The escape probability for a hot O atom, Gesc in Equation (8), can be described in terms of the collision cross sections and overhear column densities for the relevant upper atmospheric species and is shown in Figure 2. CO2 is the dominant collision partner in the thermosphere, and we write
where the backscatter cross section for O collisions with CO2 is 1.3 × 10−15 cm2. Atomic oxygen is also abundant in the thermosphere but has a backscatter cross section about a factor of 5 lower [9]. Other thermospheric species such as N2 and CO are low enough in abundance to be negligible scatterers.
Figure 2.
Oxygen atom escape probability for collisions with CO2 as a function of angle of trajectory relative to local vertical, q, and photon absorption by CO2 at wavelengths below 90 nm as a function of solar zenith angle, c. The number density profile of CO2 is from the atmosphere model of [6].
Inserting Equations (9)–(13) into Equation (8), and noting that and that , in general, we obtain
where 1 × 10−6 s−1 is the ionization rate constant (or ionization frequency) at the top of the atmosphere. The very high collision cross section of O with CO2 compared to the ionization cross section for CO2 means that O escape is mostly restricted to altitudes at which CO2 ionization occurs under optically thin conditions (Figure 3). Integrating Equation (10) over the full range of z, from the ground to the exobase, yields an O escape flux of
Figure 3.
Cumulative escape flux for hot O atoms above altitude z. The calculation assumes scattering by CO2 only and uses a CO2 profile from [6].
It is useful to solve Equation (14) to obtain an expression for the flux of escaping O as a function of z. This solution is detailed in Appendix A, with the result
where and E1 is the exponential integral , which is a commonly available function. The escape flux of O at altitude z includes all O above z, as indicated by the notation . For small arguments, , where 0.57721. Then, as , , meaning that there is no atmosphere available for escape. For large arguments, a >> 1, , which approaches zero for high optical depths, and . These results will be useful for the evaluation of isotope fractionation due to the escape of hot O atoms.
4. Rayleigh Fractionation Model
As applied to atmospheres, Rayleigh fractionation describes isotope fractionation in a well-mixed atmosphere as material moves between two reservoirs or, in the case of loss from the atmosphere, between material lost to space and the fraction of retained atmosphere [4]. The Rayleigh fractionation equation is
where R is the ratio of heavy to light isotopes in the bulk atmosphere, f is the fraction of atmosphere remaining, and ax is the fractionation factor. The fractionation factor at altitude z is the ratio of the number density of xO/16O at z divided by the same ratio at zh, the homopause altitude. For molecular diffusion-dominated profiles at or above the homopause, the fractionation factor is
where g(z) = GM/r2 is local gravitational acceleration at r = RMars + z and Dmx = mx − m16 for x = 17 or 18. Fractionation factors are shown in Figure 4 for several homopause altitudes and for the temperature profile from Nair et al. [7] (Figure S1). The importance of the temperature profile will be considered further below.
Figure 4.
Rayleigh model fractionation factors for 17O (solid) and 18O (dashed) for homopause heights of 70 (green), 100 (blue), and 125 km (black).
For the Rayleigh formulation to be valid in the thermosphere of Mars, the timescale for mixing by molecular diffusion must be less than the timescale for loss of O due to escape. The molecular diffusion timescale for O in CO2 gas is
and the eddy mixing timescale is
HO and Ha are given by Equations (3a) and (3b), respectively. The timescale for the loss of O from a height z is
As seen in Figure 5, the timescales for either eddy mixing or molecular diffusion are shorter than the O escape timescale at all altitudes in the atmosphere, as required by the Rayleigh distillation formulation. The O escape timescale becomes constant below about 60 km because the O number density falls off sharply with decreasing altitude.
Figure 5.
Timescale for escape of hot O atoms versus timescales for mixing by eddy and molecular diffusion. Mixing timescales are shorter than the O escape timescale at all altitudes, as is required by the Rayleigh distillation equation.
Because hot O escape occurs over a range of altitudes, we compute the Rayleigh fractionation by a weighted integral over altitude. The weighting function is the volume escape rate at altitude z, , which from Equation (8) is given by
Substituting in previously defined quantities, the volume escape rate becomes
Evaluating the integral using the expressions in Appendix A, we find
where, as above, and E1 is the exponential integral. This expression approaches zero for both large and small values of a, as seen in Figure 6.
Figure 6.
Vertical gradient of the hot O escape flux at altitude z. Only collisions between O atoms and CO2 are included in the escape probability. This calculation is for the temperature and total number density profiles from [7].
We computed the weighted isotope ratio in the bulk atmosphere as
where ax is given by Equation (18) and ztop is the altitude of the top of the atmospheric model, 240 km in this case. Because the fractionation factor depends on zh, also depends on zh. The O isotopic ratios obtained from Equation (24) for the bulk atmosphere expressed as delta-values are given in Figure 7a,b versus the fraction of atmosphere remaining. These results are for an initial isotopic composition of terrestrial ocean water (VSMOW) for the Martian atmosphere. This assumed initial isotope composition is convenient for demonstrating the effects of atmospheric loss predicted by the Rayleigh model. It could also be argued that the starting O isotope composition should be that of bulk SNC silicates which have an 17O enrichment of about 0.3 permil compared to VSMOW (Figure 7b). This will be discussed further below.

Figure 7.
(a) Rayleigh model delta-values for the remaining fraction of atmospheric oxygen for hot O atom escape over a range of altitudes determined by the escape probability. Results for homopause heights at 70, 100, and 125 km are shown. The vertical gray bars are the δ17O and δ18O values for present-day CO2 measured by the MSL TLS instrument on the Mars Curiosity rover [12]. (b) The corresponding 17O enrichment delta-value, Δ17O, computed for a fractionation law exponent of 0.528. The vertical gray bar is the 17O enrichment measured in Martian meteorite silicates relative to VSMOW, and the vertical orange bar is the range measured for Martian meteorite secondary minerals (sm), such as carbonate, sulfate, and water [3].
From Figure 7a, enrichment comparable to the observed delta-values measured by the MSL TLS instrument for CO2 at the Martian surface requires a loss of 15% of the atmosphere for a homopause height of 70 km and a loss of 25% for a homopause at 125 km. A corresponding enrichment in Δ17O from a value of zero to about 0.8‰, a value comparable to secondary minerals in Martian meteorites (Figure 7b), requires a loss of about 15% of the atmosphere for a homopause at zh = 70 km and a 50% loss for zh = 100 km. When the homopause is at 125 km, a depletion occurs, yielding Δ17O < 0, which is inconsistent with the meteorite O isotope data. Only a homopause height of 70 km yields mutually consistent enrichments of δ17O, δ18O, and Δ17O. The loss of about 15% of O predicted from this model is lower than the 66% loss of atmospheric Ar derived from MAVEN NGIMS measurements of 38Ar/36Ar [6] and is only slightly lower than the 20% depletion in O reported previously [4]. A surprising result is the strong dependence of Δ17O on the homopause altitude (Figure 7b), such that a homopause at 125 km is ruled out by the Rayleigh fractionation model. We consider this further below.
The fractionation factors (Figure 4) and the delta-values for the remaining atmosphere (Figure 7) are both dependent on the assumed temperature profile, which is from [7] (Figure S1). To explore the dependence on temperature, we also considered a 200 K isothermal temperature profile. I only look at how the fractionation factors and the resulting Rayleigh equation results were affected by temperature, without recomputing the model atmosphere for the isothermal temperature profile. Figure 8 shows the fractionation factors for the 200 K isothermal case, and Figure 9 gives the δxO and Δ17O values for the fraction of atmosphere remaining. About 20% of the atmospheric O must be lost to agree with the MSL SAM measurements of CO2 isotope ratios at the ground [12], and about 70–75% of atmospheric O must be lost to agree with the SNC secondary mineral value of Δ17O. The sign of Δ17O is independent of homopause altitude for the isothermal case. Figure 7 and Figure 9 make clear that the temperature profile can influence the magnitude and sign of Δ17O in the remaining portion of the atmosphere and therefore must be considered when evaluating O isotope evolution over the age of the planet.
Figure 8.
Rayleigh model fractionation factors for 17O (solid) and 18O (dashed) for a 200 K isothermal temperature profile.

Figure 9.
Same as Figure 7 but for a 200 K isothermal temperature profile and assuming an exobase altitude 60 km above the homopause altitude. (a) Delta-values of remaining atmosphere versus fraction remaining. Assuming VSMOW initial isotope ratios for atmospheric oxygen on Mars, loss of about 20% of atmospheric O is consistent with MSAL SAM measurements of isotope ratios in CO2. (b) Corresponding Δ17O values assuming a fractionation law exponent of 0.528. Assuming VSMOW initial isotope ratios, loss of 70–75% of atmospheric O is needed to agree with O isotope ratios in SNC secondary minerals.
5. Discussion
The depletion in 17O shown in Figure 7b for the case with the homopause at 125 km is an unexpected result. Because temperature and gravitational acceleration vary with altitude for these model profiles [7], the fractionation factors for escaping O atoms require a more accurate estimate than that given by Equation (18). The variation in temperature with altitude introduces a term of the form in both the molecular diffusion and eddy diffusion expressions on the right-hand side of Equation (2). This factor is important for computing number density profiles but is independent of isotope mass and so does not contribute to isotope fractionation. However, the species-specific scale height, Hi, is dependent on mass. Neglecting eddy diffusion and assuming g and T are independent of z, Equation (5) leads directly to the fractionation factor given in Equation (18). When g and T vary with height, Equation (4) yields a new expression for the fractionation factor (again neglecting eddy diffusion),
where Hx and H16 are defined as in Equation (3). Equation (25) reduces to Equation (18) for constant scale heights.
Evaluating Equation (25) for the conditions of [7] yields fractionation factors that exhibit a monotonic variation with altitude (Figure 10). The resulting delta-values are similar to those of Figure 7 but with somewhat higher magnitudes (Figure 11). More importantly, the 17O depletion shown in Figure 7b is no longer present. Figure 11a,b do not yield a consistent solution for both small and capital deltas when compared to existing spacecraft and meteorite data. Changing the initial oxygen isotope ratios to match SNC silicates rather than SMOW yields the Δ17O curve shown in Figure 12. The required loss of atmosphere for small (Figure 11a) and large (Figure 12) delta-values is closer to being self-consistent.
Figure 10.
Rayleigh model fractionation factors for 17O (solid) and 18O (dashed) that account for the variation with altitude of gravity and temperature.
Figure 11.
(a) Rayleigh model delta-values for the remaining fraction of atmospheric oxygen, as in Figure 7. These results use fractionation factors that more accurately account for the altitude variation in scale height. (b) The corresponding 17O enrichment delta-value, D17O, computed for a fractionation law exponent of 0.528. The case for a homopause at 125 km now yields a solution more consistent with SNC meteorite data.
Figure 12.
The corresponding 17O enrichment delta-value, Δ17O, computed for a fractionation law exponent of 0.528. The initial O isotope reservoir in the atmosphere is assumed to be that of SNC silicates [3]. The case for a homopause at 125 km now yields a solution more consistent with SNC secondary mineral data.
Analyses of MAVEN NGIMS number density data for N2, Ar, and Ar isotopes have revealed a highly variable homopause altitude that varies from about 75 to 125 km with a mean value of about 110 km [5]. Similarly, the exobase height varies from about 150 to 180 km, mostly synchronous with the variations in the homopause height. The difference between the exobase height and the homopause height varies from about 45 to 75 km, with a mean close to 60 km [5]. The variation in the homopause height is a function of latitude, season, and time of day. The exobase height shows a similar variation with latitude and season. Complicating the determination of these key atmospheric altitudes, especially for the homopause altitude, are the presence of strong gravity and/or tidal wave signatures in the temperature profiles [5,13,14,15]. Analysis of the fractionation of O isotopes accompanying the escape of O over the Martian year for the modern atmosphere will need to consider the variation in temperature profiles and homopause and exobase heights. Similar calculations over the age of the planet will also need to consider these variations but with far greater uncertainties in temperature profiles and dynamical heights.
6. Conclusions
I present the results of a simplified collisional escape model for O isotopes coupled with a Rayleigh distillation model to address the isotopic variation in the escape of O from the present Mars atmosphere. For assumed temperature and CO2 profiles from a well-vetted photochemical model [6], I show that O isotope ratios consistent with modern atmosphere CO2 and Martian meteorite secondary minerals occur for ~20% oxygen escape from the atmosphere for a homopause height of ~125 km. For a homopause height of 125 km, closer to the mean value of 110 km inferred by MAVEN, I find a small negative Δ17O value, a result that is incompatible with O isotope analysis of secondary minerals in SNC meteorites. Computing fractionation factors that account for the altitude variation in scale heights eliminates this unexpected result. The Rayleigh fractionation model for an isothermal atmosphere yields only a weak dependence on the homopause height and always gives positive Δ17O values for the remaining fraction of the atmosphere. Considering the strong latitudinal and seasonal variation in the homopause and exobase heights inferred from MAVEN observation of atmospheric number densities, a careful analysis of the expected fractionation of O isotopes for a set of self-consistent temperature and diffusion profiles is needed. Atmospheric models that include early high solar EUV erosion of the atmosphere by pickup ions are needed to fully address the evolution of O isotope ratios but will also have to account for possible isotopic effects due to variable homopause and exobase heights.
Supplementary Materials
The following supporting information can be downloaded at: https://www.mdpi.com/article/10.3390/atmos15030292/s1, Figure S1: Temperature profile from Nair et al. [7] (solid) and for a 200 K isothermal profile (dashed).
Funding
This research received no external funding.
Institutional Review Board Statement
Not applicable.
Informed Consent Statement
Not applicable.
Data Availability Statement
The data presented in this study are available on request from the corresponding author. The data are not publicly available due to privacy.
Conflicts of Interest
The author declares no conflict of interest.
Appendix A
The integral portion of Equation (14) to be evaluated is defined as
Using the substitution u = secq, becomes
Gradshteyn and Ryzhik [7] (7th ed., p. 340), give a solution to this class of definite integrals as
where . Evaluating Equation (A2) with b = 1, n = 2, and p = a, we obtain
The integral portion of Equation (22) is defined as
which upon the substitution u = secq becomes
From Equation (A2) with n = 1, I2 is
References
- Fox, J.L.; Hać, A. Isotope fractionation in the photochemical escape of O from Mars. Icarus 2010, 208, 176–191. [Google Scholar] [CrossRef]
- Jakosky, B.; Brain, D.; Chaffin, M.; Curry, S.; Deighan, J.; Grebowsky, J.; Halekas, J.; Leblanc, F.; Lillis, R.; Luhmann, J.; et al. Loss of the Martian atmosphere to space: Present-day loss rates determined from MAVEN observations and integrated loss through time. Icarus 2018, 315, 146–157. [Google Scholar] [CrossRef]
- Farquhar, J.; Thiemens, M. Oxygen cycle of the Martian atmosphere-regolith system: D17O of secondary phases in Nakhla and Lafayette. J. Geophys. Res. 2000, 105, E5. [Google Scholar] [CrossRef]
- Jakosky, B. Mars volatile evolution: Implications of the recent measurement of 17O in water from the SNC meteorites. Geophys. Res. Lett. 1993, 20, 1591–1594. [Google Scholar] [CrossRef]
- Slipski, M.; Jakosky, B.M.; Benna, M.; Elrod, M.; Mahaffy, P.; Kass, D.; Stone, S.; Yelle, R. Variability of Martian Turbopause Altitudes. J. Geophys. Res. Planets 2018, 123, 2939–2957. [Google Scholar] [CrossRef]
- Jakosky, B.M.; Slipski, M.; Benna, M.; Mahaffy, P.; Elrod, M.; Yelle, R.; Stone, S.; Alsaeed, N. Mars’ atmospheric history derived from upper-atmosphere measurements of 38Ar/36Ar. Science 2017, 355, 1408–1410. [Google Scholar] [CrossRef]
- Nair, N.; Allen, M.; Anbar, A.D.; Yung, Y.L.; Clancy, R.T. A photochemical model of the Martian atmosphere. Icarus 1994, 111, 124–150. [Google Scholar] [CrossRef]
- Rahmati, A. Oxygen Exosphere of Mars: Evidence from Pickup Ions Measured by MAVEN. Ph.D. Thesis, The University of Kansas, Lawrence, KS, USA, 2016. [Google Scholar]
- Cravens, T.E.; Rahmati, A.; Fox, J.L.; Lillis, R.; Bougher, S.; Luhmann, J.; Sakai, S.; Deighan, J.; Lee, Y.; Combi, M.; et al. Hot Oxygen Escape from Mars: Simple Scaling with Solar EUV Irradiance. J. Geophys. Res. 2016, 112, 1102. [Google Scholar] [CrossRef]
- Banks, P.M.; Kockarts, G. Aeronomy, Part B; Academic Press: New York, NY, USA, 1973. [Google Scholar]
- Brinjikji, M.; Lyons, R.R. Mass-Independent fractionation of oxygen isotopes in the atmosphere. Rev. Mineral. Geochem. 2021, 86, 197–216. [Google Scholar] [CrossRef]
- Brinjikji, M.; Lyons, J. The effect of diffusion on oxygen isotopes in the upper atmosphere of Mars. In Proceedings of the 52nd Lunar and Planetary Science Conference 2021, Virtual, 15–19 March 2021. [Google Scholar]
- Webster, C.R.; Mahaffy, P.R.; Flesch, G.J.; Niles, P.B.; Jones, J.H.; Leshin, L.A.; Atreya, S.K.; Stern, J.C.; Christensen, L.E.; Owen, T.; et al. Isotope ratios of H, C, and O in CO2 and H2O of the Martian atmosphere. Science 2013, 341, 260–263. [Google Scholar] [CrossRef]
- Stone, S.W.; Yelle, R.V.; Benna, M.; Elrod, M.K.; Mahaffy, P.R. Thermal structure of the Martian upper atmosphere from MAVEN NGIMS. J. Geophys. Res. Planets 2018, 123, 2842–2867. [Google Scholar] [CrossRef]
- Slipski, M.; Kleinboehl, A.; Kass, D.M. Role of thermal tides and gravity waves in Mars equatorial mesospheric cloud formation revealed by Mars Climate Sounder observations. Geophys. Res. Lett. 2022, 49, e2022GL100607. [Google Scholar] [CrossRef]
Disclaimer/Publisher’s Note: The statements, opinions and data contained in all publications are solely those of the individual author(s) and contributor(s) and not of MDPI and/or the editor(s). MDPI and/or the editor(s) disclaim responsibility for any injury to people or property resulting from any ideas, methods, instructions or products referred to in the content. |
© 2024 by the author. Licensee MDPI, Basel, Switzerland. This article is an open access article distributed under the terms and conditions of the Creative Commons Attribution (CC BY) license (https://creativecommons.org/licenses/by/4.0/).