High-Resolution Air Temperature Forecasts in Urban Areas: A Meteorological Perspective on Their Added Value
Abstract
1. Introduction
2. Materials and Methods
2.1. Meso-Scale Model
2.2. Urban Macro-Scale Model
2.3. Model Set-Up
2.4. Land Use, Land Cover and Their Properties
2.5. Skill Scores
2.6. Verification Methods
2.7. Quality Control of Citizen Weather Stations
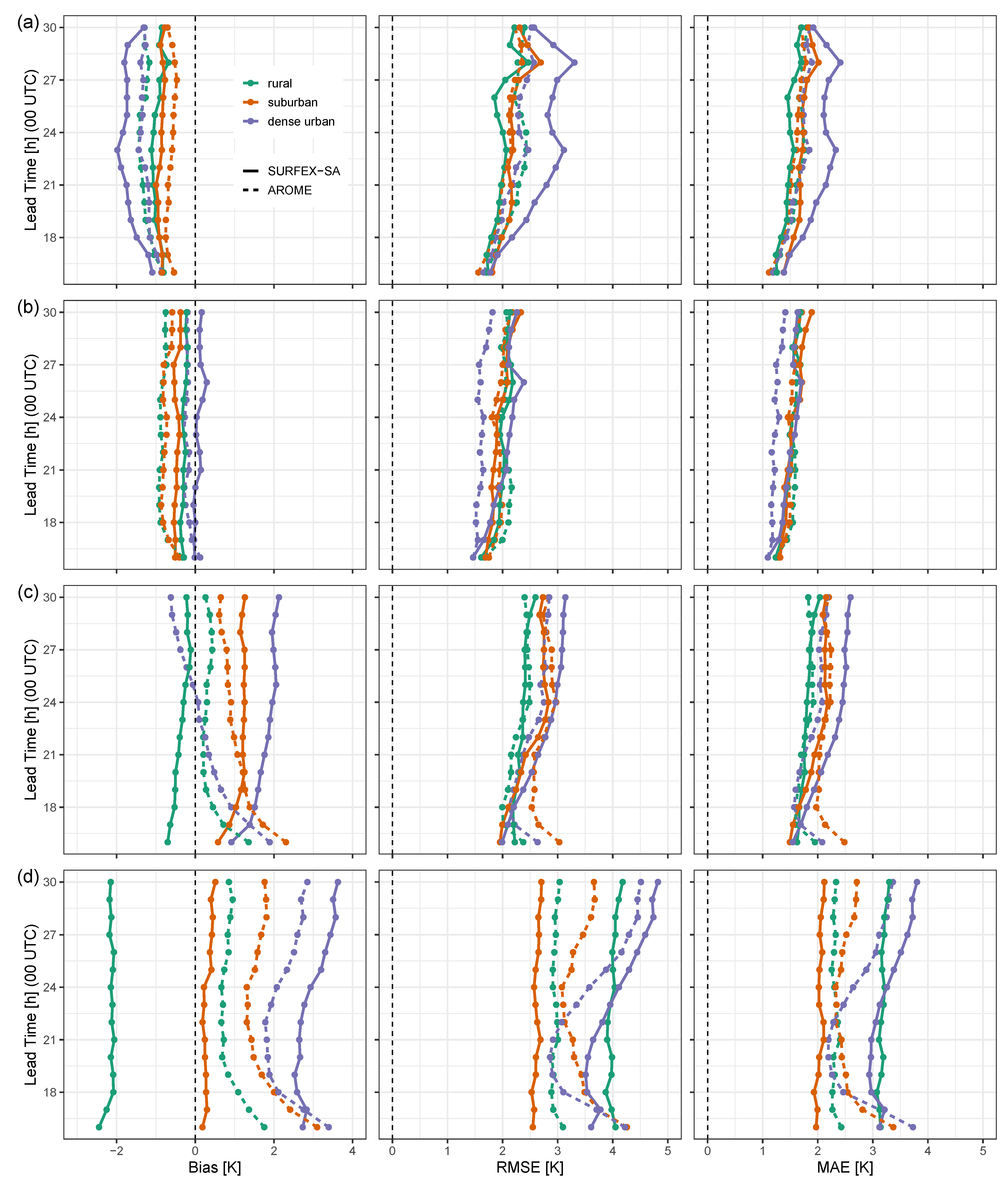
3. Results
3.1. Seasonal Evaluation
3.1.1. Summer Season
3.1.2. Winter Season
3.2. Case Studies of Extreme Temperatures During Summer Season
3.2.1. Year 2019
3.2.2. Using C-LAEF in 2023
4. Discussion
5. Conclusions
- The physical downscaling of Vienna’s urban climate using the AROME/SURFEX-SA system, exhibiting an average MAE of and K (summer and winter) against 4 months of hourly observations at 14 operational weather stations, has demonstrated the necessary performance for this study’s objectives. The work of [40] showed similar results in terms of biases and RMSE during a heat wave in Hong Kong, China.
- Due to the better forecast quality of SURFEX-SA in combination with the ensemble forecasting system C-LAEF presented in this study, it is obvious that such prediction of air temperature lead to a kind of monitoring system for city planners and stakeholders. Past extreme heat waves can be evaluated by those identifying city areas with enhanced occurring heat loads.
- While SURFEX-SA shows better forecast skills in summer compared to AROME, AROME provided comparable or superior predictions during the cold season as analyzed in December–January 2023/2024. Such discrepancies in forecasts yield to further sensitivity analysis regarding physical processes within the models and various spatial resolutions. However, integrating this aspect here extends beyond the scope of this study due to the comprehensive modules and model configurations in both models.
- A further aspect is the dissemination of high-resolution forecasts to vulnerable citizens and city governments, which is essential for their practical application. Developing user-friendly apps and integrating these forecasts into national weather services and warning systems would improve accessibility. However, it is important to note that the need for high-resolution forecasts may be limited to extreme temperature situations.
- Nevertheless, it is worth noting that the establishment of a physical downscaling system utilizing SURFEX-SA forecasts, leveraging the LULC knowledge acquired in this study, is a feasible endeavor. The advantages of this system compared to the basic AROME forecasts were just visible in spatial details and extreme heat situations. We assume the potential to add additional skill to the SURFEX-SA forecasts with recent developments in SURFEX-TEB v9.0, that is available just after this study was finished.
Supplementary Materials
Author Contributions
Funding
Data Availability Statement
Acknowledgments
Conflicts of Interest
Abbreviations
| ACCORD | A Consortium for COnvection-scale modelling Research and Development |
| TAWES | Semi-automatic weather station network |
| AROME | Application of Research to Operations at Mesoscale |
| ECOCLIMAP | Database of ecosystems and surface parameters |
| C-LAEF | Ensemble prediction system |
| ISBA | Interactions between Vegetation–Atmosphere |
| LAI | Leaf Area Index |
| NWP | Numerical Weather Prediction |
| T2M | m air temperature |
| QC | quality controlled |
| LISA | Land Information System Austria |
| LULC | Land use land cover |
| UA | Urban Atlas |
| UHI | Urban Heat Island |
| TEB | Town Energy Balance |
| SURFEX | SURFace EXternalisée |
| SURFEX-SA | stand alone SURFEX |
| ECMWF | European Centre for Medium-Range Weather Forecasts |
| CWS | Citizen Weather Station |
| HSS | Heidke Skill Score |
| FSS | Fraction Skill Score |
| RMSE | Root Mean Squared Error |
| MAE | Mean Absolute Error |
References
- IPCC, Intergovernmental Panel on Climate Change. Climate Change 2022—Impacts, Adaptation and Vulnerability: Working Group II Contribution to the Sixth Assessment Report of the Intergovernmental Panel on Climate Change; Cambridge University Press: Cambridge, UK, 2022. [Google Scholar] [CrossRef]
- Fischer, E.M.; Schär, C. Consistent geographical patterns of changes in high-impact European heatwaves. Nat. Geosci. 2010, 3, 398–403. [Google Scholar] [CrossRef]
- Molina, M.O.; Sánchez, E.; Gutiérrez, C. Future heat waves over the Mediterranean from an Euro-CORDEX regional climate model ensemble. Sci. Rep. 2020, 10, 8801. [Google Scholar] [CrossRef] [PubMed]
- Landsberg, H.E. The Urban Climate; Elsevier Science: Stanford, CA, USA, 1981. [Google Scholar]
- Oke, T.R. The energetic basis of the urban heat island. Q. J. R. Meteorol. Soc. 1982, 108, 1–24. [Google Scholar] [CrossRef]
- Zhou, B.; Rybski, D.; Kropp, J.P. The role of city size and urban form in the surface urban heat island. Sci. Rep. 2017, 7, 4791. [Google Scholar] [CrossRef]
- Macintyre, H.L.; Heaviside, C.; Cai, X.; Phalkey, R. The winter urban heat island: Impacts on cold-related mortality in a highly urbanized European region for present and future climate. Environ. Int. 2021, 154, 106530. [Google Scholar] [CrossRef] [PubMed]
- Lauwaet, D.; Berckmans, J.; Hooyberghs, H.; Wouters, H.; Driesen, G.; Lefebre, F.; De Ridder, K. High resolution modelling of the urban heat island of 100 European cities. Urban Clim. 2024, 54, 101850. [Google Scholar] [CrossRef]
- APCC14. Austrian Assessment Report Climate Change 2014 (AAR14); Austrian Panel on Climate Change (APCC): Vienna, Austria, 2014. [Google Scholar]
- Oswald, S.M.; Hollosi, B.; Žuvela Aloise, M.; See, L.; Guggenberger, S.; Hafner, W.; Prokop, G.; Storch, A.; Schieder, W. Using urban climate modelling and improved land use classifications to support climate change adaptation in urban environments: A case study for the city of Klagenfurt, Austria. Urban Clim. 2020, 31, 100582. [Google Scholar] [CrossRef]
- Žuvela-Aloise, M.; Andre, K.; Schwaiger, H.; Bird, D.N.; Gallaun, H. Modelling reduction of urban heat load in Vienna by modifying surface properties of roofs. Theor. Appl. Climatol. 2017, 131, 1005–1018. [Google Scholar] [CrossRef]
- de Wit, R.; Kainz, A.; Goler, R.; Žuvela Aloise, M.; Hahn, C.; Zuccaro, G.; Leone, M.; Loibl, W.; Tötzer, T.; Hager, W.; et al. Supporting climate proof planning with CLARITY’s climate service and modelling of climate adaptation strategies—The Linz use-case. Urban Clim. 2020, 34, 100675. [Google Scholar] [CrossRef]
- Preiss, J.; Haertel, C.; Brandenburg, C.; Damyanovic, D. Urban Heat Islands—Strategieplan Wien. Urban Climate. 2015. Available online: https://www.wien.gv.at/umweltschutz/raum/uhi-strategieplan.html (accessed on 14 June 2024).
- Municipality of City of Linz. Linzer Klimastrategie. 2019. Available online: https://www.linz.at/umwelt/104199.php (accessed on 17 June 2024).
- Souch, C.; Grimmond, S. Applied climatology: Urban climate. Prog. Phys. Geogr. Earth Environ. 2006, 30, 270–279. [Google Scholar] [CrossRef]
- Tan, J.; Zheng, Y.; Song, G.; Kalkstein, L.S.; Kalkstein, A.J.; Tang, X. Heat wave impacts on mortality in Shanghai, 1998 and 2003. Int. J. Biometeorol. 2006, 51, 193–200. [Google Scholar] [CrossRef]
- Baccini, M.; Biggeri, A.; Accetta, G.; Kosatsky, T.; Katsouyanni, K.; Analitis, A.; Anderson, H.R.; Bisanti, L.; D’Ippoliti, D.; Danova, J.; et al. Heat Effects on Mortality in 15 European Cities. Epidemiology 2008, 19, 711–719. [Google Scholar] [CrossRef]
- Son, J.Y.; Lee, J.T.; Anderson, G.B.; Bell, M.L. The Impact of Heat Waves on Mortality in Seven Major Cities in Korea. Environ. Health Perspect. 2012, 120, 566–571. [Google Scholar] [CrossRef] [PubMed]
- Morabito, M.; Crisci, A.; Messeri, A.; Messeri, G.; Betti, G.; Orlandini, S.; Raschi, A.; Maracchi, G. Increasing Heatwave Hazards in the Southeastern European Union Capitals. Atmosphere 2017, 8, 115. [Google Scholar] [CrossRef]
- Gasparrini, A.; Guo, Y.; Hashizume, M.; Lavigne, E.; Tobias, A.; Zanobetti, A.; Schwartz, J.D.; Leone, M.; Michelozzi, P.; Kan, H.; et al. Changes in Susceptibility to Heat During the Summer: A Multicountry Analysis. Am. J. Epidemiol. 2016, 183, 1027–1036. [Google Scholar] [CrossRef]
- Gasparrini, A.; Guo, Y.; Hashizume, M.; Lavigne, E.; Zanobetti, A.; Schwartz, J.; Tobias, A.; Tong, S.; Rocklöv, J.; Forsberg, B.; et al. Mortality risk attributable to high and low ambient temperature: A multicountry observational study. Lancet 2015, 386, 369–375. [Google Scholar] [CrossRef]
- Zhao, Q.; Guo, Y.; Ye, T.; Gasparrini, A.; Tong, S.; Overcenco, A.; Urban, A.; Schneider, A.; Entezari, A.; Vicedo-Cabrera, A.M.; et al. Global, regional, and national burden of mortality associated with non-optimal ambient temperatures from 2000 to 2019: A three-stage modelling study. Lancet Planet. Health 2021, 5, e415–e425. [Google Scholar] [CrossRef] [PubMed]
- Masselot, P.; Mistry, M.; Vanoli, J.; Schneider, R.; Iungman, T.; Garcia-Leon, D.; Ciscar, J.C.; Feyen, L.; Orru, H.; Urban, A.; et al. Excess mortality attributed to heat and cold: A health impact assessment study in 854 cities in Europe. Lancet Planet. Health 2023, 7, e271–e281. [Google Scholar] [CrossRef]
- Bergler, E.; Hopfgartner, M.C. Die Oesterreichische Strategie zur Anpassung an den Klimawandel Teil 2. Aktionsplan Handlungsempfehlungen fuer die Umsetzung. 2024. Available online: https://www.bmk.gv.at/themen/klima_umwelt/klimaschutz/anpassungsstrategie/publikationen/oe_strategie.html (accessed on 13 June 2024).
- EUMETNET, E.N.o.N.M.S. MeteoAlarm. 2024. Available online: https://meteoalarm.org/en/live/ (accessed on 24 May 2024).
- Casanueva, A.; Kotlarski, S.; Herrera, S.; Fischer, A.M.; Kjellstrom, T.; Schwierz, C. Climate projections of a multivariate heat stress index: The role of downscaling and bias correction. Geosci. Model Dev. 2019, 12, 3419–3438. [Google Scholar] [CrossRef]
- Seity, Y.; Brousseau, P.; Malardel, S.; Hello, G.; Bénard, P.; Bouttier, F.; Lac, C.; Masson, V. The AROME-France Convective-Scale Operational Model. Mon. Weather Rev. 2011, 139, 976–991. [Google Scholar] [CrossRef]
- Wastl, C.; Wang, Y.; Atencia, A.; Weidle, F.; Wittmann, C.; Zingerle, C.; Keresturi, E. C-LAEF: Convection-permitting Limited-Area Ensemble Forecasting system. Q. J. R. Meteorol. Soc. 2021, 147, 1431–1451. [Google Scholar] [CrossRef]
- Sievers, U. Generalization of the streamfunction–vorticity method to three dimensions. Meteorol. Z. 1995, 3, 3–15. [Google Scholar] [CrossRef]
- Sievers, U. Das kleinskalige Stromungsmodell MUKLIMO_3 Teil 1: Theoretische Grundlagen, PC-Basisversion und Validierung. Berichte des Deutschen Wetterdienstes. 2012. Available online: https://refubium.fu-berlin.de/handle/fub188/19051 (accessed on 12 March 2024).
- Sievers, U. Das kleinskalige Stromungsmodell MUKLIMO_3 Teil 2: Thermodynamische Erweiterungen. Berichte des Deutschen Wetterdienstes. 2016. Available online: https://refubium.fu-berlin.de/handle/fub188/18630 (accessed on 12 March 2024).
- Hollosi, B.; Zuvela-Aloise, M.; Oswald, S.; Kainz, A.; Schöner, W. Applying urban climate model in prediction mode—Evaluation of MUKLIMO_3 model performance for Austrian cities based on the summer period of 2019. Theor. Appl. Climatol. 2021, 144, 1181–1204. [Google Scholar] [CrossRef]
- Blunn, L.P.; Ames, F.; Croad, H.L.; Gainford, A.; Higgs, I.; Lipson, M.; Lo, C.H.B. Machine learning bias correction and downscaling of urban heatwave temperature predictions from kilometre to hectometre scale. Meteorol. Appl. 2024, 31, e2200. [Google Scholar] [CrossRef]
- Masson, V.; Le Moigne, P.; Martin, E.; Faroux, S.; Alias, A.; Alkama, R.; Belamari, S.; Barbu, A.; Boone, A.; Bouyssel, F.; et al. The SURFEXv7.2 land and ocean surface platform for coupled or offline simulation of earth surface variables and fluxes. Geosci. Model Dev. 2013, 6, 929–960. [Google Scholar] [CrossRef]
- Masson, V. A Physically-Based Scheme For The Urban Energy Budget In Atmospheric Models. Bound.-Layer Meteorol. 2000, 94, 357–397. [Google Scholar] [CrossRef]
- Delcloo, A.; Hamdi, R.; Deckmyn, A.; De Backer, H.; Forêt, G.; Termonia, P.; Van Langenhove, H. A One Year Evaluation of the CTM CHIMERE Using SURFEX/TEB Within the High Resolution NWP Models ALARO and ALADIN for Belgium. In Air Pollution Modeling and Its Application XXIII; Springer International Publishing: Berlin/Heidelberg, Germany, 2014; pp. 495–498. [Google Scholar] [CrossRef]
- Hamdi, R.; Degrauwe, D.; Duerinckx, A.; Cedilnik, J.; Costa, V.; Dalkilic, T.; Essaouini, K.; Jerczynki, M.; Kocaman, F.; Kullmann, L.; et al. Evaluating the performance of SURFEXv5 as a new land surface scheme for the ALADINcy36 and ALARO-0 models. Geosci. Model Dev. 2014, 7, 23–39. [Google Scholar] [CrossRef]
- Berckmans, J.; Giot, O.; De Troch, R.; Hamdi, R.; Ceulemans, R.; Termonia, P. Reinitialised versus continuous regional climate simulations using ALARO-0 coupled to the land surface model SURFEXv5. Geosci. Model Dev. 2017, 10, 223–238. [Google Scholar] [CrossRef]
- He, H.; Hamdi, R.; Luo, G.; Cai, P.; Yuan, X.; Zhang, M.; Termonia, P.; De Maeyer, P.; Kurban, A. The summer cooling effect under the projected restoration of Aral Sea in Central Asia. Clim. Chang. 2022, 174, 13. [Google Scholar] [CrossRef]
- Schoetter, R.; Kwok, Y.T.; de Munck, C.; Lau, K.K.L.; Wong, W.K.; Masson, V. Multi-layer coupling between SURFEX-TEB-v9.0 and Meso-NH-v5.3 for modelling the urban climate of high-rise cities. Geosci. Model Dev. 2020, 13, 5609–5643. [Google Scholar] [CrossRef]
- Champeaux, J.L.; Masson, V.; Chauvin, F. ECOCLIMAP: A global database of land surface parameters at 1 km resolution. Meteorol. Appl. 2005, 12, 29–32. [Google Scholar] [CrossRef]
- European Union. Copernicus Land Monitoring Service—Urban Atlas; European Environment Agency (EEA): København, Denmark, 2018. [Google Scholar]
- GeoVille GmbH. Land Information System Austria (LISA). 2016. Available online: https://austria-in-space.at/en/projects/2010/land-information-system-austria.php (accessed on 18 September 2018).
- Napoly, A.; Grassmann, T.; Meier, F.; Fenner, D. Development and Application of a Statistically-Based Quality Control for Crowdsourced Air Temperature Data. Front. Earth Sci. 2018, 6, 118. [Google Scholar] [CrossRef]
- Fenner, D.; Meier, F.; Bechtel, B.; Otto, M.; Scherer, D. Intra and inter ‘local climate zone’ variability of air temperature as observed by crowdsourced citizen weather stations in Berlin, Germany. Meteorol. Z. 2017, 26, 525–547. [Google Scholar] [CrossRef]
- Feichtinger, M.; de Wit, R.; Goldenits, G.; Kolejka, T.; Hollósi, B.; Žuvela-Aloise, M.; Feigl, J. Case-study of neighborhood-scale summertime urban air temperature for the City of Vienna using crowd-sourced data. Urban Clim. 2020, 32, 100597. [Google Scholar] [CrossRef]
- Fenner, D.; Bechtel, B.; Demuzere, M.; Kittner, J.; Meier, F. CrowdQC+—A Quality-Control for Crowdsourced Air-Temperature Observations Enabling World-Wide Urban Climate Applications. Front. Environ. Sci. 2021, 9, 720747. [Google Scholar] [CrossRef]
- Bénard, P.; Vivoda, J.; Mašek, J.; Smolíková, P.; Yessad, K.; Smith, C.; Brožková, R.; Geleyn, J. Dynamical kernel of the Aladin–NH spectral limited-area model: Revised formulation and sensitivity experiments. Q. J. R. Meteorol. Soc. 2010, 136, 155–169. [Google Scholar] [CrossRef]
- Lafore, J.P.; Stein, J.; Asencio, N.; Bougeault, P.; Ducrocq, V. The Meso-NH Atmospheric Simulation System. Part I: Adiabatic formulation and control simulations. Ann. Geophys. 1998, 16, 90–109. [Google Scholar] [CrossRef]
- Cuxart, J.; Bougeault, P.; Redelsperger, J. A turbulence scheme allowing for mesoscale and large-eddy simulations. Q. J. R. Meteorol. Soc. 2000, 126, 1–30. [Google Scholar] [CrossRef]
- Pergaud, J.; Masson, V.; Malardel, S.; Couvreux, F. A Parameterization of Dry Thermals and Shallow Cumuli for Mesoscale Numerical Weather Prediction. Bound.-Layer Meteorol. 2009, 132, 83–106. [Google Scholar] [CrossRef]
- Pinty, J.P.; Jabouille, P. A mixed-phase cloud parameterization for use in mesoscale non-hydrostatic model: Simulations of a squall line and of orographic precipitations. In Proceedings of the Conference of Cloud Physics, Washington, DC, USA, 17–21 August 1998; pp. 217–220. [Google Scholar]
- Mlawer, E.J.; Taubman, S.J.; Brown, P.D.; Iacono, M.J.; Clough, S.A. Radiative transfer for inhomogeneous atmospheres: RRTM, a validated correlated-k model for the longwave. J. Geophys. Res. Atmos. 1997, 102, 16663–16682. [Google Scholar] [CrossRef]
- Termonia, P.; Fischer, C.; Bazile, E.; Bouyssel, F.; Brožková, R.; Bénard, P.; Bochenek, B.; Degrauwe, D.; Derková, M.; El Khatib, R.; et al. The ALADIN System and its canonical model configurations AROME CY41T1 and ALARO CY40T1. Geosci. Model Dev. 2018, 11, 257–281. [Google Scholar] [CrossRef]
- Davies, H.C. A lateral boundary formulation for multi-level prediction models. Q. J. R. Meteorol. Soc. 1976, 102, 405–418. [Google Scholar] [CrossRef]
- Giard, D.; Bazile, E. Implementation of a New Assimilation Scheme for Soil and Surface Variables in a Global NWP Model. Mon. Weather Rev. 2000, 128, 997–1015. [Google Scholar] [CrossRef]
- Jiang, Z.; Huete, A.; Didan, K.; Miura, T. Development of a two-band enhanced vegetation index without a blue band. Remote Sens. Environ. 2008, 112, 3833–3845. [Google Scholar] [CrossRef]
- Kang, Y.; Özdoğan, M.; Zipper, S.; Román, M.; Walker, J.; Hong, S.; Marshall, M.; Magliulo, V.; Moreno, J.; Alonso, L.; et al. How Universal Is the Relationship between Remotely Sensed Vegetation Indices and Crop Leaf Area Index? A Global Assessment. Remote Sens. 2016, 8, 597. [Google Scholar] [CrossRef]
- Gorelick, N.; Hancher, M.; Dixon, M.; Ilyushchenko, S.; Thau, D.; Moore, R. Google Earth Engine: Planetary-Scale Geospatial Analysis for Everyone. Remote Sens. Environ. 2017, 202, 18–27. [Google Scholar] [CrossRef]
- Sharma, A.; Fernando, H.J.; Hamlet, A.F.; Hellmann, J.J.; Barlage, M.; Chen, F. Urban meteorological modeling using WRF: A sensitivity study. Int. J. Climatol. 2016, 37, 1885–1900. [Google Scholar] [CrossRef]
- Buncic, D. Superforecasting: The Art and Science of Prediction. By Philip Tetlock and Dan Gardner. Risks 2016, 4, 24. [Google Scholar] [CrossRef]
- Sanders, F. On Subjective Probability Forecasting. J. Appl. Meteorol. 1963, 2, 191–201. [Google Scholar] [CrossRef]
- Savage, L.J. Elicitation of Personal Probabilities and Expectations. J. Am. Stat. Assoc. 1971, 66, 783–801. [Google Scholar] [CrossRef]
- Hyvärinen, O. A Probabilistic Derivation of Heidke Skill Score. Weather Forecast. 2014, 29, 177–181. [Google Scholar] [CrossRef]
- Brier, G.W. Verification of forecasts expressed in terms of probability. Mon. Weather Rev. 1950, 78, 1–3. [Google Scholar] [CrossRef]
- Winkler, R.L. Evaluating Probabilities: Asymmetric Scoring Rules. Manag. Sci. 1994, 40, 1395–1405. [Google Scholar] [CrossRef]
- Lewis, C.I.; Keynes, J.M. A Treatise on Probability. Philos. Rev. 1922, 31, 180. [Google Scholar] [CrossRef]
- Wang, J.; Mellers, B.; Ungar, L.; Satopää, V. Fair Skill Brier Score: Evaluating Probabilistic Forecasts of One-Off Events with Different Numbers of Categorical Outcomes. SSRN Electron. J. 2023. [Google Scholar] [CrossRef]
- Mittermaier, M.P. A “Meta” Analysis of the Fractions Skill Score: The Limiting Case and Implications for Aggregation. Mon. Weather Rev. 2021, 149, 3491–3504. [Google Scholar] [CrossRef]
- Singleton, A.; Deckmyn, A. Harp: Harp, R package Version 0.2.2. 2024. Available online: https://github.com/harphub/harp (accessed on 10 April 2024).
- Google Maps from the city of Vienna. 2024. Available online: https://www.google.ca/maps/@48.1989061,16.3670219,2320m/data=!3m1!1e3?entry=ttu&g_ep=EgoyMDI0MTEwNi4wIKXMDSoASAFQAw (accessed on 26 August 2024).
- Chapman, L.; Bell, C.; Bell, S. Can the crowdsourcing data paradigm take atmospheric science to a new level? A case study of the urban heat island of London quantified using Netatmo weather stations. Int. J. Climatol. 2017, 37, 3597–3605. [Google Scholar] [CrossRef]
- Meier, F.; Fenner, D.; Grassmann, T.; Otto, M.; Scherer, D. Crowdsourcing air temperature from citizen weather stations for urban climate research. Urban Clim. 2017, 19, 170–191. [Google Scholar] [CrossRef]
- Hammerberg, K.; Brousse, O.; Martilli, A.; Mahdavi, A. Implications of employing detailed urban canopy parameters for mesoscale climate modelling: A comparison between WUDAPT and GIS databases over Vienna, Austria. Int. J. Climatol. 2018, 38, e1241–e1257. [Google Scholar] [CrossRef]
- Nipen, T.N.; Seierstad, I.A.; Lussana, C.; Kristiansen, J.; Hov, O. Adopting Citizen Observations in Operational Weather Prediction. Bull. Am. Meteorol. Soc. 2020, 101, E43–E57. [Google Scholar] [CrossRef]
- Venter, Z.S.; Brousse, O.; Esau, I.; Meier, F. Hyperlocal mapping of urban air temperature using remote sensing and crowdsourced weather data. Remote Sens. Environ. 2020, 242, 111791. [Google Scholar] [CrossRef]
- Zumwald, M.; Knüsel, B.; Bresch, D.N.; Knutti, R. Mapping urban temperature using crowd-sensing data and machine learning. Urban Clim. 2021, 35, 100739. [Google Scholar] [CrossRef]
- Brousse, O.; Simpson, C.; Walker, N.; Fenner, D.; Meier, F.; Taylor, J.; Heaviside, C. Evidence of horizontal urban heat advection in London using six years of data from a citizen weather station network. Environ. Res. Lett. 2022, 17, 44041. [Google Scholar] [CrossRef] [PubMed]
- Båserud, L.; Lussana, C.; Nipen, T.N.; Seierstad, I.A.; Oram, L.; Aspelien, T. TITAN automatic spatial quality control of meteorological in-situ observations. Adv. Sci. Res. 2020, 17, 153–163. [Google Scholar] [CrossRef]
- Hahn, C.; Garcia-Marti, I.; Sugier, J.; Emsley, F.; Beaulant, A.L.; Oram, L.; Strandberg, E.; Lindgren, E.; Sunter, M.; Ziska, F. Observations from Personal Weather Stations—EUMETNET Interests and Experience. Climate 2022, 10, 192. [Google Scholar] [CrossRef]
- Grassmann, T.; Napoly, A.; Meier, F.; Fenner, D. R package-Quality control for crowdsourced data from CWS. 2018. Available online: https://depositonce.tu-berlin.de/items/efbe2b0f-1339-4bf1-ab48-3459481e6ebf (accessed on 10 October 2023).
- Karl, T.R.; Nicholls, N.; Ghazi, A. Clivar/GCOS/WMO workshop on indices and indicators for climate extremes workshop summary. In Weather and Climate Extremes: Changes, Variations and a Perspective from the Insurance Industry; Springer: Berlin/Heidelberg, Germany, 1999; pp. 3–7. [Google Scholar]
- Rippstein, V.; de Schrijver, E.; Eckert, S.; Vicedo-Cabrera, A.M. Trends in Tropical Nights and their Effects on Mortality in Switzerland across 50 years. ISEE Conf. Abstr. 2022, 2022, e0000162. [Google Scholar] [CrossRef]
- Hagen, M.; Weihs, P. Mortality during Heatwaves and Tropical Nights in Vienna between 1998 and 2022. Atmosphere 2023, 14, 1498. [Google Scholar] [CrossRef]
- Roberts, N. Assessing the spatial and temporal variation in the skill of precipitation forecasts from an NWP model. Meteorol. Appl. 2008, 15, 163–169. [Google Scholar] [CrossRef]
- Enzinger, S. Bodenverbrauch in Oesterreich. 2022. Available online: https://www.umweltbundesamt.at/news221202 (accessed on 26 August 2024).
- European Union. Copernicus Land Monitoring Service—CORINE Land Cover; European Environment Agency (EEA): København, Denmark, 2021. [Google Scholar]
- Zanaga, D.; Van De Kerchove, R.; De Keersmaecker, W.; Souverijns, N.; Brockmann, C.; Quast, R.; Wevers, J.; Grosu, A.; Paccini, A.; Vergnaud, S.; et al. ESA WorldCover 10 m 2020 v100. Zenodo. 2021. Available online: https://zenodo.org/records/5571936 (accessed on 15 March 2022).
- Chen, J.; Chen, J.; Liao, A.; Cao, X.; Chen, L.; Chen, X.; He, C.; Han, G.; Peng, S.; Lu, M.; et al. Global land cover mapping at 30 m resolution: A POK-based operational approach. ISPRS J. Photogramm. Remote Sens. 2015, 103, 7–27. [Google Scholar] [CrossRef]
- Liu, Y.; Zhong, Y.; Ma, A.; Zhao, J.; Zhang, L. Cross-resolution national-scale land-cover mapping based on noisy label learning: A case study of China. Int. J. Appl. Earth Obs. Geoinf. 2023, 118, 103265. [Google Scholar] [CrossRef]
- Lau, T.K.; Lin, T.P. Investigating the relationship between air temperature and the intensity of urban development using on-site measurement, satellite imagery and machine learning. Sustain. Cities Soc. 2024, 100, 104982. [Google Scholar] [CrossRef]
- Amorim, J.; Segersson, D.; Körnich, H.; Asker, C.; Olsson, E.; Gidhagen, L. High resolution simulation of Stockholm’s air temperature and its interactions with urban development. Urban Clim. 2020, 32, 100632. [Google Scholar] [CrossRef]


















| Vienna | Linz | Klagenfurt | Innsbruck | |
|---|---|---|---|---|
| No. of TAWES stations | 14 | 9 | 8 | 13 |
| Elevation [m] of city center | 188 | 271 | 445 | 582 |
| Summer days (Tmax K) | ||||
| Hot days (Tmax K) | ||||
| Tropical nights (Tmin K) | ||||
| Frost days (Tmin K) | ||||
| Ice days (Tmax K) |
| Vienna | Linz | Klagenfurt | Innsbruck | ||||||
|---|---|---|---|---|---|---|---|---|---|
| Class | Description | ||||||||
| 11100 | Continuous (Cont.) UF 1 | ||||||||
| 11210 | Discont. dense UF | ||||||||
| 11220 | Discont. medium density UF | ||||||||
| 11230 | Discont. low density UF | ||||||||
| 11240 | Discont. very low density UF | ||||||||
| 12100 | Industrial and military units | ||||||||
| 12210 | Transit roads and AL 2 | ||||||||
| 12220 | Other roads and AL | ||||||||
| 12230 | Railways and AL | ||||||||
| 12400 | Airport | ||||||||
| 14100 | Green urban areas | ||||||||
| 14200 | Sports and leisure facilities | ||||||||
| 31000 | Forest | ||||||||
| Vienna | Linz | Klagenfurt | Innsbruck | |
|---|---|---|---|---|
| Nr. of data | 209,512 | 67,879 | 19,462 | 36,414 |
| Bias | ||||
| RMSE | ||||
| MAE |
Disclaimer/Publisher’s Note: The statements, opinions and data contained in all publications are solely those of the individual author(s) and contributor(s) and not of MDPI and/or the editor(s). MDPI and/or the editor(s) disclaim responsibility for any injury to people or property resulting from any ideas, methods, instructions or products referred to in the content. |
© 2024 by the authors. Licensee MDPI, Basel, Switzerland. This article is an open access article distributed under the terms and conditions of the Creative Commons Attribution (CC BY) license (https://creativecommons.org/licenses/by/4.0/).
Share and Cite
Oswald, S.M.; Schneider, S.; Hahn, C.; Žuvela-Aloise, M.; Schmederer, P.; Wastl, C.; Hollosi, B. High-Resolution Air Temperature Forecasts in Urban Areas: A Meteorological Perspective on Their Added Value. Atmosphere 2024, 15, 1544. https://doi.org/10.3390/atmos15121544
Oswald SM, Schneider S, Hahn C, Žuvela-Aloise M, Schmederer P, Wastl C, Hollosi B. High-Resolution Air Temperature Forecasts in Urban Areas: A Meteorological Perspective on Their Added Value. Atmosphere. 2024; 15(12):1544. https://doi.org/10.3390/atmos15121544
Chicago/Turabian StyleOswald, Sandro M., Stefan Schneider, Claudia Hahn, Maja Žuvela-Aloise, Polly Schmederer, Clemens Wastl, and Brigitta Hollosi. 2024. "High-Resolution Air Temperature Forecasts in Urban Areas: A Meteorological Perspective on Their Added Value" Atmosphere 15, no. 12: 1544. https://doi.org/10.3390/atmos15121544
APA StyleOswald, S. M., Schneider, S., Hahn, C., Žuvela-Aloise, M., Schmederer, P., Wastl, C., & Hollosi, B. (2024). High-Resolution Air Temperature Forecasts in Urban Areas: A Meteorological Perspective on Their Added Value. Atmosphere, 15(12), 1544. https://doi.org/10.3390/atmos15121544

