Experimental and Numerical Investigation on the Damage Mechanism of a Loess–Mudstone Tunnel in Cold Regions
Abstract
:1. Introduction
2. Project Overview
3. Indoor Model Test Design
3.1. Model Test System
3.2. Model Conditions
4. Analyses of the Test Results
4.1. Analysis of the Surrounding Rock Pressure
4.1.1. Variation in the Surrounding Rock Pressure
4.1.2. Distribution of Surrounding Rock Pressure
4.2. Analyses of Lining Stress and Bending Moment
4.3. Analysis of the Tunnel Perimeter Displacement
5. Numerical Simulation
5.1. Material Parameters
5.2. Analysis of the Maximum Principal Stress in the Elevation Arch
5.3. Displacement and Plastic Strain Results
6. Conclusions
- (1)
- With the increase in basement uplift, the stress of the inverted arch surrounding rock increases rapidly due to the floor heave effect. Because the strength and bearing capacity of loess are weaker than those of mudstone and the self-bearing capacity of surrounding rock at the interface is poor, the pressure distribution of the surrounding rock is complex, and the stress distribution is uneven when subjected to the vertical pressure of the basement. The peak stress at the bottom of the outer arch is 30.8% of that of the inner arch. The internal force of the tunnel lining at the vault is the largest. The compressive stress appears at the arch foot, while the tensile stress appears outside the lining. The stratum effect is significant.
- (2)
- The internal force of the tunnel lining is the largest at the inverted arch. The maximum principal stress at the inverted arch bottom reaches 1367.56 kPa via numerical simulation. The left arch shoulder and arch bottom mainly bear a negative bending moment, and the maximum values are close to −500 kN·m and −400 kN·m. The left and right arch feet bear a positive bending moment. Therefore, the lining’s inverted arch bottom and the left and right arch feet are all unfavorable positions.
- (3)
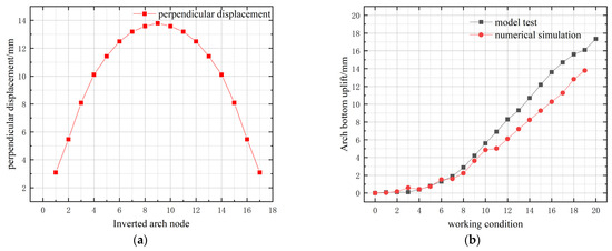
- As the height of the elevated arch base elevation increases, both numerical simulations and model tests show an overall increasing trend of perimeter displacements of the cave. The arch bottom displacement experiences the highest growth rate and displacement. At the point of model failure, the maximum displacement of the numerical simulation arch bottom bulge is 13.782 mm, while the maximum displacement of the model test arch bottom bulge reaches 17.35 mm, representing a 25.9% increase. Furthermore, the center of the inverted arch displays a prominent bottom bulge deformation.
- (4)
- Longitudinal penetration cracks emerged in the inverted arch and the left and right arch shoulders, which was consistent with the plastic strain results. The expansion of the basement mudstone contributed to the deformation of the bottom of the inverted arch, and the formation and development of longitudinal cracks in the inverted arch were the primary factors leading to the damage of the bottom drum. In the loess–mudstone regions, special attention should be paid to the safety of the tunnel drainage system and the reinforced structure in operation, which can prevent the uplift of the mudstone at the bottom of the tunnel, the deformation of the inverted arch’s bottom, and the stress damage of the vault and thus ensure the safety of the tunnel structure.
Author Contributions
Funding
Institutional Review Board Statement
Informed Consent Statement
Data Availability Statement
Acknowledgments
Conflicts of Interest
References
- Zhang, Z.G.; Mao, M.D.; Pan, Y.T. Research status and prospect of tunnel-landslide interaction and control protection technology. Rock Soil Mech. 2021, 42, 3101–3125. (In Chinese) [Google Scholar] [CrossRef]
- Um, J.G.; Shin, M.K. Physico-Mechanical characteristics of cretaceous granite in southeastern, Korea due to freeze-thaw weathering. In Proceedings of the ISRM Regional Symposium—7th Asian Rock Mechanics Symposium, Seoul, Republic of Korea, 15–19 October 2012; Volume 10, pp. 587–593. [Google Scholar]
- Gautam, T.P.; Shakoor, A. Comparing the slaking of clay-bearing rocks under laboratory conditions to slaking under natural climatic conditions. Rock Mech. Rock Eng. 2016, 49, 19–31. [Google Scholar] [CrossRef]
- Du, M.Q.; Wang, X.C.; Zhang, Y.J. In-situ monitoring and analysis of tunnel floor heave process. Eng. Fail. Anal. 2020, 109, 104323. [Google Scholar] [CrossRef]
- Li, Q.B. Research and Application of Coupling Effect of Tunnel Surrounding Rock and Supporting Structure. Subgrade Eng. 2017, 4, 147–150. (In Chinese) [Google Scholar] [CrossRef]
- Anagnostou, G. A model for swelling rock in tunneling. Rock Mech. Rock Eng. 1993, 26, 307–331. [Google Scholar] [CrossRef]
- Wilson, A.H. A method of estimating the closure and strength of lining required in drivages surrounded by a yield zone. Int. J. Rock Mech. Min. Sci. Geo-Mech. Abstr. 1980, 17, 349–355. [Google Scholar] [CrossRef]
- Seki, S.; Kaise, S.; Morisaki, Y.; Azetaka, S.; Jiang, Y. Model experiments for examining the heaving phenomenon in tunnels. Tunn. Undergr. Space Technol. 2008, 23, 128–138. [Google Scholar] [CrossRef]
- Liang, F.Y.; Fang, Y.Q.; Yuan, Q. Experimental study of the influence of surface surcharge on tunnel lateral deformation in soft and hard soil. J. Tongji Univ. (Nat. Sci.) 2021, 49, 322–331. (In Chinese) [Google Scholar] [CrossRef]
- Afrouz, A.; Hassani, F.P.; Scoble, M.J. Geotechnical assessment of the bearing capacity of coal minefloors. Int. J. Min. Geol. Eng. 1988, 6, 297–312. [Google Scholar] [CrossRef]
- Kim, K.J.; Koh, S.Y.; Choo, S.Y.; Hong, C.S.; Hwang, D.J. A study of the invert tunnel’s behavior in a weathered-rock using laboratory model test and numerical analysis. In Proceedings of the ITA-AITES World Tunnel Congress and 33th General Assembly, Prague, Czech Republic, 5–10 May 2007. [Google Scholar] [CrossRef]
- Ma, S.J.; Ashraf, S.; Cui, Y. Study on the Numerical Simulation of the Nibashan Tunnel Advanced Prediction. J. Xihua Univ. (Nat. Sci. Ed.) 2023, 42, 24–31. (In Chinese) [Google Scholar] [CrossRef]
- Li, Q.F.; Dang, B.; Li, D.D.; Hu, X.Y. Strength Deterioration of Earthen Sites Loess Solidified by Calcined Ginger Nuts under Dry–Wet and Freeze–Thaw Cycles. Atmosphere 2023, 14, 868. [Google Scholar] [CrossRef]
- Shen, D.J.; Lv, X.L. Experimental study on the mechanical property of micro concrete in model test. Mod. Tunn. Technol. 2010, 43, 14–21. (In Chinese) [Google Scholar] [CrossRef]
- Zhang, L.; Luo, D.M.; Wen, B. Experimental Study on the Effect of Admixture on Mechanical Properties of Microconcrete. Bull. Chin. Ceram. Soc. 2018, 37, 2716–2721+2728. (In Chinese) [Google Scholar] [CrossRef]
- Zhang, C.; Zhang, J.; Ren, Q.; Xu, J.; Wang, B. Study on the Material Properties of Microconcrete by Dynamic Model Test. Materials 2022, 15, 3432. [Google Scholar] [CrossRef]
- Cai, B.G.; Cai, J.; Li, Y. Analysis of Internal Deformation and Supporting Structure of Surrounding Rock in Yuliao Tunnel. J. East China Jiaotong Univ. 2019, 36, 32–38. (In Chinese) [Google Scholar] [CrossRef]
- Li, R.J.; Zhou, X. Model tests and bearing characteristics of tunnels under semi-inlaid mudstone and semi-loess. Chin. J. Geotech. Eng. 2022, 44, 98–103. (In Chinese) [Google Scholar] [CrossRef]
- Chen, L.; Fortier, D.; McKenzie, J.M.; Voss, C.I.; Lamontagne-Hallé, P. Subsurface porewater flow accelerates talik development under the Alaska Highway, Yukon: A prelude to road collapse and final permafrost thaw? Water Resour. Res. 2023, 59, e2022WR032578. [Google Scholar] [CrossRef]
- Zhang, W.X. Structural Test; Wuhan University Press: Wuhan, China, 2016. (In Chinese) [Google Scholar]
- Shu, D.L.; Yang, J.; Zhu, L. Study of Deformation Law of Tunnel Surrounding Rock and Primary Support in Xigeda Formation. Tunn. Constr. 2017, 37, 1544–1549. (In Chinese) [Google Scholar] [CrossRef]
- Hou, Y.; Liu, T.; Huang, Y.L. Study on deformation characteristics of deep foundation pits with expansive soils based on thermodynamic coupled numerical simulation. J. Eng. Geol. 2016, 24, 832–840. (In Chinese) [Google Scholar]
- Ding, J.H.; Chen, R.P.; Tong, J. Research on shallow swelling deformation damage mechanism of swelling soil slope based on multi-field coupled numerical analysis. Geotechnics 2015, 36, 159–168. (In Chinese) [Google Scholar] [CrossRef]
- Zhou, Y.; Liu, M.; Zhang, X.; Suo, X.; Li, M. Frost Mitigation Techniques for Tunnels in Cold Regions: The State of the Art and Perspectives. Atmosphere 2023, 14, 369. [Google Scholar] [CrossRef]
- Bai, R.Q.; Lai, Y.M.; Pei, W.S.; Zhang, M.Y. Study on the frost heave behavior of the freezing unsaturated silty clay. Cold Reg. Sci. Technol. 2022, 197, 103352. [Google Scholar] [CrossRef]
- Bai, R.Q.; Lai, Y.M.; Zhang, M.Y.; Ren, J.G. Study on the coupled heat-water-vapor-mechanics process of unsaturated soils. J. Hydrol. 2020, 585, 124784. [Google Scholar] [CrossRef]
Disclaimer/Publisher’s Note: The statements, opinions, and data contained in all publications are solely those. e of the individual author(s) and contributor(s) and not of MDPI and/or the editor(s). MDPI and/or the editor(s) disclaim responsibility for any injury to people or property resulting from any ideas, methods, instructions, or products referred to in the content. |


















| Material Name | Density g/cm3 | Average Moisture Content/% | Optimum Moisture Content/% | Maximum Dry Density g/cm3 | Friction Angle φ/° | Cohesion c/kPa |
|---|---|---|---|---|---|---|
| Loess | 1.70 | 14.00 | 13.20 | 1.56 | 18.00 | 28.70 |
| Similar Mudstone | - | - | 13.30 | 2.11 | 29.83 | 21.96 |
| Acquisition Location | Upper Side of the Arch | Arch Left Shoulder | Arch Right Shoulder | Left Side of the Arch Foot | Right Side of the Arch Foot | Arch Bottom |
|---|---|---|---|---|---|---|
| Inside | 770.73 | 2439.02 | 331.70 | −1699.44 | −138.54 | 3500.00 |
| Outer side | −165.80 | −378.48 | −50.26 | 291.16 | 292.95 | −1078.48 |
| Material | Severe γ/(kN/m3) | Modulus of Elasticity E/GPa | Poisson’s Ratio /μ | Cohesion c/kPa | Angle of Friction φ/° |
|---|---|---|---|---|---|
| Loess | 19 | 0.5 | 0.28 | 50 | 25 |
| Mudstone | 22 | 1.1 | 0.25 | 2960 | 41 |
| Primary lining | 23 | 28.9 | 0.20 | - | - |
| Secondary lining | 24 | 33.6 | 0.20 | - | - |
| Filling layer | 23 | 22.0 | 0.20 | - | - |
| Steel arch | 78 | 210.0 | 0.30 | - | - |
| Border Surface | X Axial Displacement | Y Axial Displacement | Z Axial Displacement |
|---|---|---|---|
| top surface | free state | free state | free state |
| left side | stationary state | free state | free state |
| right side | stationary state | free state | free state |
| front side | free state | free state | stationary state |
| rear side | free state | free state | stationary state |
| bottom side | stationary state | stationary state | stationary state |
Disclaimer/Publisher’s Note: The statements, opinions and data contained in all publications are solely those of the individual author(s) and contributor(s) and not of MDPI and/or the editor(s). MDPI and/or the editor(s) disclaim responsibility for any injury to people or property resulting from any ideas, methods, instructions or products referred to in the content. |
© 2023 by the authors. Licensee MDPI, Basel, Switzerland. This article is an open access article distributed under the terms and conditions of the Creative Commons Attribution (CC BY) license (https://creativecommons.org/licenses/by/4.0/).
Share and Cite
Wang, D.; Zhao, X.; Qiu, C.; Guo, X.; Du, Y.; Li, X.; Gao, Y.; Xuan, J. Experimental and Numerical Investigation on the Damage Mechanism of a Loess–Mudstone Tunnel in Cold Regions. Atmosphere 2023, 14, 1391. https://doi.org/10.3390/atmos14091391
Wang D, Zhao X, Qiu C, Guo X, Du Y, Li X, Gao Y, Xuan J. Experimental and Numerical Investigation on the Damage Mechanism of a Loess–Mudstone Tunnel in Cold Regions. Atmosphere. 2023; 14(9):1391. https://doi.org/10.3390/atmos14091391
Chicago/Turabian StyleWang, Dongrui, Xueyi Zhao, Chenghu Qiu, Xin Guo, Yaohui Du, Xianhan Li, Yue Gao, and Junjie Xuan. 2023. "Experimental and Numerical Investigation on the Damage Mechanism of a Loess–Mudstone Tunnel in Cold Regions" Atmosphere 14, no. 9: 1391. https://doi.org/10.3390/atmos14091391
APA StyleWang, D., Zhao, X., Qiu, C., Guo, X., Du, Y., Li, X., Gao, Y., & Xuan, J. (2023). Experimental and Numerical Investigation on the Damage Mechanism of a Loess–Mudstone Tunnel in Cold Regions. Atmosphere, 14(9), 1391. https://doi.org/10.3390/atmos14091391

