Effects of Elevated Surface Ozone Concentration on Photosynthetic Fluorescence Characteristics and Yield of Soybean Parents and Offspring
Abstract
:1. Introduction
2. Materials and Methods
2.1. Selection of Test Material
2.2. Experimental Design
2.3. Measurement Items and Methods
2.3.1. Determination of Chlorophyll Content
2.3.2. Measurement of Fluorescence Parameters
2.3.3. Determination of Net Photosynthetic Rate
2.3.4. Determination of Yield Components
2.4. Data Analysis
3. Results
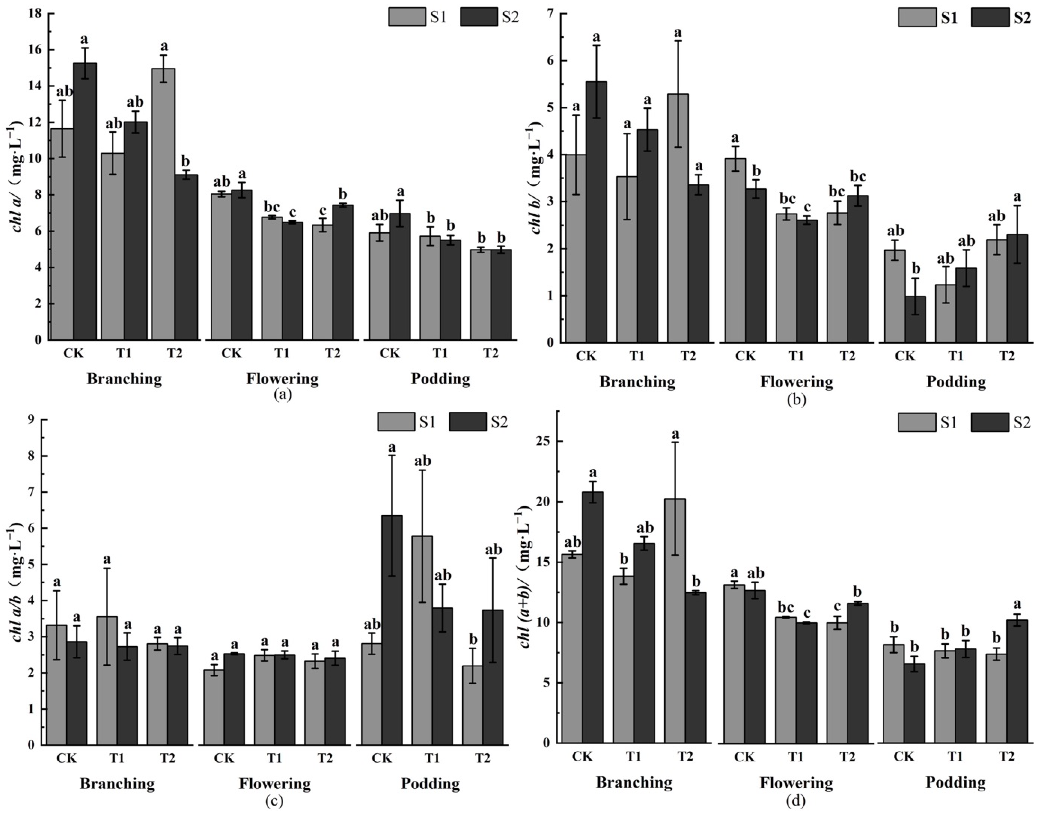
3.1. Effect of Increased O3 Concentration on Soybean Leaf Chlorophyll Content
3.2. Effects of Elevated O3 Concentration on Fluorescence Parameters of Soybean Leaves
3.2.1. Primary Photochemical Efficiency of PSII and Actual Photochemical Efficiency of PSII
3.2.2. Maximum Photochemical Efficiency of PSII
3.2.3. Photosynthetic Electron Transfer Rate
3.2.4. Photochemical Quenching and Non-Photochemical Quenching
3.3. Effects of Elevated O3 Concentration on Net Photosynthetic Rate
3.4. The Effect of Elevated O3 Concentration on Soybean Yield Component Factors
3.5. Correlation Analysis of Photosynthetic and Fluorescence Parameters with Yield
4. Discussion and Conclusions
Author Contributions
Funding
Institutional Review Board Statement
Informed Consent Statement
Data Availability Statement
Conflicts of Interest
Abbreviations
| Abbreviation | Full Name |
| O3 | Ozone |
| OTCs | Open-top chambers |
| Pn | Net photosynthetic rate |
| chla | Chlorophyll a |
| chlb | Chlorophyll b |
| chla/chlb | Ratio of Chlorophyll a and b |
| ETR | Electron transfer rate |
| F0 | Initial fluorescence |
| Fm | Maximum fluorescence |
| Fv/Fm | PSII primary photochemical efficiency |
| ΦPSII | PSII actual photochemical efficiency |
| Fv′/Fm′ | PSII maximum photochemical efficiency |
| qP | Photochemical quenching coefficient |
| NPQ | Non-photochemical quenching coefficient |
References
- Li, A.; Zhou, Q.; Xu, Q. Prospects for ozone pollution control in China: An epidemiological perspective. Environ. Pollut. 2021, 285, 117670. [Google Scholar] [CrossRef] [PubMed]
- Xu, M.; Yao, Q.; Chen, D.; Li, M.; Li, R.; Gao, B.; Zhao, B.; Chen, Z. Estimating the impact of ground ozone concentrations on crop yields across China from 2014 to 2018: A multi-model comparison. Environ. Pollut. 2021, 283, 117099. [Google Scholar] [CrossRef] [PubMed]
- Wang, N.; Wang, Y.-J.; Ping, Q.; Xu, S.; Li, Y.; He, X.-Y.; Chen, W. Characteristics of leaf litter decomposition of Ginkgo biloba L. exposed to elevated O3 concentration. Chin. J. Ecol. 2021, 40, 2727–2736. [Google Scholar] [CrossRef]
- Jin, D.-Y.; Zhao, T.-H.; Fu, Y.; Sun, J.-W.; Huang, S. Effects of Elevated Ozone. Concentration on Soybean Photosynthesis and Yield. Soybean Sci. 2009, 28, 632–635. [Google Scholar]
- Ramya, A.; Dhevagi, P.; Poornima, R.; Avudainayagam, S.; Watanabe, M.; Agathokleous, E. Effect of ozone stress on crop productivity: A threat to food security. Environ. Res. 2023, 236, 116816. [Google Scholar] [CrossRef]
- Ren, W.H. Study on Spatial and Temporal Variation Characteristics of Ozone Pollution and Weather Classification in Shenyang. Environ. Monit. China 2021, 37, 75–82. [Google Scholar] [CrossRef]
- Morgan, P.B.; Mies, T.A.; Bollero, G.A.; Nelson, R.L.; Long, S.P. Season-long elevation of ozone concentration to projected 2050 levels under fully open-air conditions substantially decreases the growth and production of soybean. New Phytol. 2006, 170, 333–343. [Google Scholar] [CrossRef]
- Biancari, L.; Cerrotta, C.; Menendez, A.I.; Gundel, P.E.; Alejandra Martinez-Ghersa, M. Episodes of high tropospheric ozone reduce nodulation, seed production and quality in soybean (Glycine max (L.) merr.) on low fertility soils. Environ. Pollut. 2021, 269, 116117. [Google Scholar] [CrossRef]
- Nishinari, K.; Fang, Y.; Guo, S.; Phillips, G.O. Soy proteins: A review on composition, aggregation and emulsification. Food Hydrocoll. 2014, 39, 301–318. [Google Scholar] [CrossRef]
- Xu, B.; Wang, T.; Gao, L.; Ma, D.; Song, R.; Zhao, J.; Yang, X.; Li, S.; Zhuang, B.; Li, M.; et al. Impacts of meteorological factors and ozone variation on crop yields in China concerning carbon neutrality objectives in 2060. Environ. Pollut. 2023, 317, 120715. [Google Scholar] [CrossRef]
- Li, D.; Shindell, D.; Ding, D.; Lu, X.; Zhang, L.; Zhang, Y. Surface ozone impacts on major crop production in China from 2010 to 2017. Atmos. Chem. Phys. 2022, 22, 2625–2638. [Google Scholar] [CrossRef]
- Wang, Y.T.; Wang, Y.C.; Feng, Z.Z.; Yuan, X.Y.; Zhao, Y. The impacts of ambient ozone pollution on China’s wheat yield and forest production from 2010 to 2021. Environ. Pollut. 2023, 330, 121726. [Google Scholar] [CrossRef]
- Zentella, R.; Burkey, K.O.; Tisdale, R.H. Impact of tropospheric ozone on root proteomes of two soybean genotypes with contrasting sensitivity to ozone. Environ. Exp. Bot. 2023, 208, 105269. [Google Scholar] [CrossRef]
- Zhang, X.; Zhang, X.; Wang, T.; Li, C. Metabolic response of soybean leaves induced by short-term exposure of ozone. Ecotoxicol. Env. Saf. 2021, 213, 112033. [Google Scholar] [CrossRef]
- Montes, C.M.; Demler, H.J.; Li, S.; Martin, D.G.; Ainsworth, E.A. Approaches to investigate crop responses to ozone pollution: From O3 -FACE to satellite-enabled modeling. Plant J. 2022, 109, 432–446. [Google Scholar] [CrossRef] [PubMed]
- Yu, Z.S.; Gao, Q.; Guo, X.; Peng, J.L.; Qi, Q.; Chen, X.W.; Gao, M.Y.; Mo, C.H.; Feng, Z.Z.; Wong, M.H.; et al. Phylogenetic Conservation of Soil Microbial Responses to Elevated Tropospheric Ozone and Nitrogen Fertilization. Msystems 2023, 8, e00721-22. [Google Scholar] [CrossRef] [PubMed]
- Sun, M.-Y.; Wang, Y.; Fan, R.-X.; Mu, L.; Zhao, T.-H. Comparison of Photosynthetic Capacity and Light Response Curve Models of Soybean Under Elevated Ozone Concentration. Soybean Sci. 2021, 40, 497–503. [Google Scholar] [CrossRef]
- Zheng, Y.-F.; Gu, K.-L.; Wu, R.-J.; Xu, J.-X.; Shi, M.-H.; Hu, H.-F. Combination. effects of reduced radiation and enhanced O3 stress on chlorophyll fluorescence characteristics and yield of soybean. J. South. Agric. 2013, 44, 1295–1302. [Google Scholar] [CrossRef]
- Mu, L.; Wang, Y.; Sun, M.-Y.; Zhou, Y.-T.; Zhuang, Y.-H.; Zhao, T.-H. Effect of Ozone Concentration Increasing near the Ground on Nitrogen Metabolism and Yield of Soybean Leaves. Ecol. Environ. Sci. 2020, 29, 1395–1402. [Google Scholar] [CrossRef]
- Tisdale, R.H.; Zentella, R.; Burkey, K.O. Impact of elevated ozone on yield and carbon-nitrogen content in soybean cultivar ‘Jake’. Plant Sci. 2021, 306, 110855. [Google Scholar] [CrossRef] [PubMed]
- Pleijel, H.; Broberg, M.C.; Uddling, J. Ozone impact on wheat in Europe, Asia and North America—A comparison. Sci. Total Env. 2019, 664, 908–914. [Google Scholar] [CrossRef]
- Chen, S.-J.; Yang, Q.-K.; Wang, J.-L.; Hui, D.-W.; Chen, S.-Y.; Cui, R.-Z.A. RAPD Study on the genetic relationship between parents and offsprings in soybean breeding. J. Northeast Agric. Univ. 1996, 27, 137–141. [Google Scholar] [CrossRef]
- Khan, N.A.; Komatsu, S.; Sawada, H.; Nouri, M.-Z.; Kohno, Y. Analysis of Proteins Associated with Ozone Stress Response in Soybean Cultivars. Protein Pept. Lett. 2013, 20, 1144–1152. [Google Scholar] [CrossRef] [PubMed]
- Mills, G.; Sharps, K.; Simpson, D.; Pleijel, H.; Frei, M.; Burkey, K.; Emberson, L.; Uddling, J.; Broberg, M.; Feng, Z.; et al. Closing the global ozone yield gap: Quantification and cobenefits for multistress tolerance. Glob. Chang. Biol. 2018, 24, 4869–4893. [Google Scholar] [CrossRef] [PubMed]
- Gosselin, H.; Sagan, V.; Maimaitiyiming, M.; Fishman, J.; Belina, K.; Podleski, A.; Maimaitijiang, M.; Bashir, A.; Balakrishna, J.; Dixon, A. Using Visual Ozone Damage Scores and Spectroscopy to Quantify Soybean Responses to Background Ozone. Remote Sens. 2020, 12, 93. [Google Scholar] [CrossRef]
- Li, Y.-Z.; Kong, R.-M.; Li, J.-Q.; Du, X.-L.; Shao, L.; Kong, F.-K. Effect of Biochar-based Fertilizer on Growth and Yield of Soybean. Chin. J. Trop. Agric. 2021, 41, 33–37. [Google Scholar]
- Zhou, Y.-T.; Wang, Y.; Sun, M.-Y.; San, Y.; Yao, X.-Z.; Zhao, T.-H. Effect of Ozone Concentration Increasing Near the Ground on Antioxidant System of Parent and Offspring Soybean Leaves. Ecol. Environ. Sci. 2021, 30, 2195–2203. [Google Scholar] [CrossRef]
- Zhang, W.-W.; Wang, G.-H.; Wang, M.-Y.; Liu, X.-B.; Feng, Z.-Z. Responses of Soybean Cultivar Dongsheng-1 to Different O3 Concentrations in Northeast China. Environ. Sci. 2014, 35, 1473–1478. [Google Scholar] [CrossRef]
- Tao, H.-C.; Ma, C.-L.; Xu, -S. Effects of Ozone and Drought on Photosynthetic Pigment Contents and Chlorophyll Fluorescence Physiology of Catalpa ovata Leaves. J. Southwest For. Univ. Nat. Sci. 2018, 38, 83–88. [Google Scholar]
- Zheng, F.-X.; Wang, X.-K.; Zhang, W.-W.; Duan, X.-N.; Hou, P.-Q. Influences of Elevated Ozone on Rice Photosynthesis and Yield. J. Agro-Environ. Sci. 2009, 28, 2217–2223. [Google Scholar]
- Bailey, A.; Burkey, K.; Taggart, M.; Rufty, T. Leaf Traits That Contribute to Differential Ozone Response in Ozone-Tolerant and Sensitive Soybean Genotypes. Plants 2019, 8, 235. [Google Scholar] [CrossRef] [PubMed]
- Guo, X.-F.; Xu, L.-F.; Lu, G.-C.; Chen, H.-Y. Effects of Increased Ground-level Ozone Concentration on Four Species of Plant. Environ. Sci. Technol. 2014, 37, 6–10. [Google Scholar]
- Murchie, E.H.; Lawson, T. Chlorophyll fluorescence analysis: A guide to good practice and understanding some new applications. J. Exp. Bot. 2013, 64, 3983–3998. [Google Scholar] [CrossRef]
- You, X.; Gong, J. Significance and Application of Chlorophyll Fluorescence Dynamics Process Parameters. J. West China For. Sci. 2012, 41, 90–94. [Google Scholar]
- Shirke, P.A.; Pathre, U.V. Diurnal and Seasonal Changes in Photosynthesis and Photosystem 2 Photochemical Efficiency in Prosopis juliflora Leaves Subjected to Natural Environmental Stress. Photosynthetica 2003, 41, 83–89. [Google Scholar] [CrossRef]
- Demmig-Adams, B.; Adams, W.W. Xanthophyll cycle and light stress in nature: Uniform response to excess direct sunlight among higher plant species. Planta 1996, 198, 460–470. [Google Scholar] [CrossRef]
- Zhang, S.-R. A Discussion on Chlorophyll Fluorescence Kinetics Parameters and Their Significance. Chin. Bull. Bot. 1999, 16, 444–448. [Google Scholar]
- Liu, F.; Mo, X.; Zhang, S.; Chen, F.; Li, D. Gas exchange characteristics and their influencing factors for halophytic plant communities on west coast of Bohai Sea. PLoS ONE 2020, 15, e0229047. [Google Scholar] [CrossRef]
- Zhang, W.-W.; Zhao, T.-H.; Wang, M.-Y.; He, X.-Y.; Fu, S.-L. Effects of elevated ozone concentration on Ginkgo biloba photosynthesis. Chin. J. Ecol. 2007, 26, 645–649. [Google Scholar]
- Waldeck, N.; Burkey, K.; Carter, T.; Dickey, D.; Song, Q.; Taliercio, E. RNA-Seq study reveals genetic responses of diverse wild soybean accessions to increased ozone levels. BMC Genom. 2017, 18, 498. [Google Scholar] [CrossRef]
- Zhang, M.; Wang, Y.; Zhao, T.-H.; Wu, H.-Y.; Sun, M.-Y.; Mu, L. Effects of Straw Returning on Photosynthetic Fluorescence Characteristics and Yield of Soybean Under Elevated Ozone Concentration. Soybean Sci. 2019, 38, 754–761. [Google Scholar] [CrossRef]
- Wu, R.-J.; Yao, J.; Zheng, Y.-F.; Zhang, J.-E.; Liu, R.-N.; Xu, W.-M.; Hu, H.-F. Combination Effects of Elevated O3 and Enhanced UV-B Radiation on Biomass and Yield of Soybean. Chin. J. Agrometeorol. 2012, 33, 207–214. [Google Scholar] [CrossRef]
- Yang, L.-X.; Wang, Y.-X.; Zhao, Z.-P.; Zhu, J.-G.; Sun, J.D.; Wang, Y.-L. Responses of soybean to free-air ozone concentration enrichment: A research review. Acta Ecol. Sin. 2010, 30, 6635–6645. [Google Scholar]




| Period | Treatment | Fv/Fm | ΦPSII | Fv’/Fm’ | ETR | qP | NPQ |
|---|---|---|---|---|---|---|---|
| Branching stage | CKS1 | 0.788 ± 0.016 a | 0.510 ± 0.050 b | 0.662 ± 0.031 a | 4.861 ± 0.075 a | 0.761 ± 0.044 a | 1.087 ± 0.205 a |
| CKS2 | 0.738 ± 0.015 ab | 0.574 ± 0.024 a | 0.692 ± 0.016 a | 5.311 ± 0.095 a | 0.827 ± 0.018 a | 0.765 ± 0.081 a | |
| T1S1 | 0.783 ± 0.019 ab | 0.453 ± 0.097 c | 0.633 ± 0.041 a | 4.643 ± 1.032 a | 0.701 ± 0.115 a | 1.277 ± 0.265 a | |
| T1S2 | 0.698 ± 0.045 b | 0.488 ± 0.089 bc | 0.628 ± 0.046 a | 5.210 ± 0.919 a | 0.763 ± 0.092 a | 1.039 ± 0.424 a | |
| T2S1 | 0.779 ± 0.008 ab | 0.469 ± 0.077 bc | 0.631 ± 0.051 a | 4.611 ± 0.939 a | 0.729 ± 0.074 a | 1.173 ± 0.265 a | |
| T2S2 | 0.708 ± 0.046 b | 0.541 ± 0.029 ab | 0.641 ± 0.028 a | 5.258 ± 0.260 a | 0.853 ± 0.011 a | 0.949 ± 0.081 a | |
| Flowering stage | CKS1 | 0.782 ± 0.009 a | 0.476 ± 0.046 a | 0.637 ± 0.021 a | 5.330 ± 0.571 a | 0.742 ± 0.051 a | 1.087 ± 0.205 a |
| CKS2 | 0.783 ± 0.009 a | 0.490 ± 0.046 a | 0.644 ± 0.025 a | 5.040 ± 0.247 a | 0.757 ± 0.057 a | 0.765 ± 0.081 a | |
| T1S1 | 0.794 ± 0.010 a | 0.520 ± 0.061 a | 0.666 ± 0.047 a | 3.869 ± 0.484 b | 0.777 ± 0.041 a | 1.092 ± 0.366 a | |
| T1S2 | 0.805 ± 0.012 a | 0.486 ± 0.038 a | 0.618 ± 0.022 a | 3.158 ± 0.423 bc | 0.784 ± 0.040 a | 1.230 ± 0.235 a | |
| T2S1 | 0.810 ± 0.004 a | 0.392 ± 0.079 b | 0.659 ± 0.029 a | 2.906 ± 0.138 bc | 0.590 ± 0.110 a | 1.293 ± 0.242 a | |
| T2S2 | 0.802 ± 0.017 a | 0.348 ± 0.024 b | 0.572 ± 0.018 a | 2.582 ± 0.073 c | 0.609 ± 0.028 a | 1.265 ± 0.099 a | |
| Podding stage | CKS1 | 0.775 ± 0.021 a | 0.430 ± 0.057 b | 0.598 ± 0.032 ab | 3.654 ± 0.276 b | 0.629 ± 0.048 ab | 1.084 ± 0.172 b |
| CKS2 | 0.735 ± 0.025 ab | 0.427 ± 0.070 b | 0.632 ± 0.036 ab | 4.760 ± 0.416 a | 0.659 ± 0.079 ab | 1.050 ± 0.138 b | |
| T1S1 | 0.683 ± 0.021 b | 0.324 ± 0.052 c | 0.535 ± 0.059 b | 1.972 ± 0.368 c | 0.635 ± 0.047 ab | 1.440 ± 0.196 a | |
| T1S2 | 0.772 ± 0.031 a | 0.513 ± 0.044 a | 0.672 ± 0.025 a | 2.898 ± 0.205 bc | 0.761 ± 0.038 a | 1.482 ± 0.143 a | |
| T2S1 | 0.785 ± 0.020 a | 0.371 ± 0.041 bc | 0.646 ± 0.019 ab | 2.291 ± 0.148 c | 0.574 ± 0.057 ab | 1.547 ± 0.884 a | |
| T2S2 | 0.794 ± 0.027 a | 0.338 ± 0.032 c | 0.632 ± 0.034 ab | 1.835 ± 0.068 c | 0.537 ± 0.060 b | 1.409 ± 0.473 a |
| Treatment | Pods Number per Plant | Seed Number per Plant | Mass per 100 Seeds/g | Seed Mass per Plant/g |
|---|---|---|---|---|
| CKS1 | 38.67 ± 3.86 b | 58.67 ± 4.03 b | 25.60 ± 0.37 b | 15.43 ± 0.95 b |
| CKS2 | 58.33 ± 9.93 a | 76.33 ± 7.17 a | 30.76 ± 0.63 a | 23.80 ± 1.40 a |
| T1S1 | 29.33 ± 2.05 c | 42.33 ± 3.68 c | 23.50 ± 0.28 c | 12.20 ± 1.37 c |
| T1S2 | 35.00 ± 2.64 b | 60.00 ± 3.05 b | 23.76 ± 0.26 c | 15.46 ± 1.32 b |
| T2S1 | 25.67 ± 3.40 d | 36.67 ± 1.25 c | 23.57 ± 0.85 c | 9.30 ± 1.07 c |
| T2S2 | 22.00 ± 1.73 d | 39.33 ± 5.82 c | 26.00 ± 0.35 b | 10.23 ± 0.38 c |
Disclaimer/Publisher’s Note: The statements, opinions and data contained in all publications are solely those of the individual author(s) and contributor(s) and not of MDPI and/or the editor(s). MDPI and/or the editor(s) disclaim responsibility for any injury to people or property resulting from any ideas, methods, instructions or products referred to in the content. |
© 2023 by the authors. Licensee MDPI, Basel, Switzerland. This article is an open access article distributed under the terms and conditions of the Creative Commons Attribution (CC BY) license (https://creativecommons.org/licenses/by/4.0/).
Share and Cite
Cheng, S.; Wang, Y.; Sun, M.; Zheng, J.; Zhu, X.; Zhao, T. Effects of Elevated Surface Ozone Concentration on Photosynthetic Fluorescence Characteristics and Yield of Soybean Parents and Offspring. Atmosphere 2023, 14, 1368. https://doi.org/10.3390/atmos14091368
Cheng S, Wang Y, Sun M, Zheng J, Zhu X, Zhao T. Effects of Elevated Surface Ozone Concentration on Photosynthetic Fluorescence Characteristics and Yield of Soybean Parents and Offspring. Atmosphere. 2023; 14(9):1368. https://doi.org/10.3390/atmos14091368
Chicago/Turabian StyleCheng, Shihao, Yan Wang, Mingyu Sun, Jingyi Zheng, Xianjin Zhu, and Tianhong Zhao. 2023. "Effects of Elevated Surface Ozone Concentration on Photosynthetic Fluorescence Characteristics and Yield of Soybean Parents and Offspring" Atmosphere 14, no. 9: 1368. https://doi.org/10.3390/atmos14091368
APA StyleCheng, S., Wang, Y., Sun, M., Zheng, J., Zhu, X., & Zhao, T. (2023). Effects of Elevated Surface Ozone Concentration on Photosynthetic Fluorescence Characteristics and Yield of Soybean Parents and Offspring. Atmosphere, 14(9), 1368. https://doi.org/10.3390/atmos14091368

