Abstract
An unusually persistent and heavy rainfall event occurred in Hainan Island from 1 to 9 October 2010, in association with one extended tropical depression (TD) over the South China Sea (SCS). Based on rain-gauge precipitation, satellite altimetry, in situ Argo profile, air–sea enthalpy flux, and reanalysis data, this study investigates the impact of warm ocean anomalies in the SCS on the formation and intensification of the extended TD, and their reinforcing effect on TD-related heavy rainfall. The TD intensified and migrated northward to the vicinity of Hainan Island. A thicker-than-normal warm subsurface layer that was present beneath the positive sea surface temperature (SST) anomalies contained a sufficient upper-ocean heat content to effectively restrain the TD’s self-induced SST cooling effect, and available enthalpy fluxes were therefore sufficient to support the maintenance of the TD. The composite analyses confirm the reinforcing effect of warm oceanic anomalies in the central SCS off the south-central coast of Vietnam on heavy rainfall in Hainan Island, with the composite precipitation of “Warm eddy” cases being significantly larger in Hainan Island and northern Vietnam than that of the “Normal” cases, using reanalysis and remote sensing precipitation data over 29 years (1993–2021).
1. Introduction
Hainan Island is located in the northwestern South China Sea (SCS), south of the Chinese mainland and east of the Indochina Peninsula; elevations on the southern part of the island are over 500 m (Figure 1a). Although the island is strongly affected by the SCS summer monsoon (onset in May–June), the dominant rainy season is during the autumn months of September–October, as shown by the annual cycle of average monthly rainfall derived from seven meteorological observatories on the Island (Figure 1b) and as was studied by Zhou et al. [] and Mao et al. []. The maximum rainfall in September–October, which is nearly twice that in May–June, may be a result of the southward retreat of the summer monsoon in autumn, as well as the approach and passage of tropical cyclones (TCs) around the island [,].

Figure 1.
(a) Topography of Hainan Island and the surrounding region; the color scale indicates terrain altitude (m). The locations of the seven observational sites (1. Haikou, 2. Qionghai, 3. Qiongzhong, 4. Lingshui, 5. Sanya, 6. Dongfang, and 7. Zhanzhou stations) in Hainan Island are marked, respectively, by black solid cycles; (b) climatological annual cycle of average monthly rainfall (mm) for the seven observational stations in (a) Hainan Island.
During the main rainy season (September–October), frequent heavy rainfall events in Hainan Island and surrounding areas have historically caused severe flooding and damage [,,,,]. In 2010, an unusually persistent and heavy rainfall event took place in Hainan Island from 1 October to 9 October. The cumulative precipitation amount during these 9 days exceeded 600 mm on the southeastern portion of Hainan Island, with extremes of over 1000 mm in coastal areas (Figure 2a). Daily precipitation observed at Qionghai station (19.23° N, 110.47° E, the second observational station shown in Figure 1a) on three successive days during 4–7 October exceeded 100 mm with an extreme daily rainfall amount on 5 October of over 600 mm, breaking historical records of daily precipitation on eastern Hainan Island (Figure 2b). Precipitation levels for almost every day during the period of 1–9 October was much greater than climatological daily rainfall amounts (Figure 2b). The long-lasting heavy rainfall event is hereafter called the OCT10 event for brevity. During this event, heavy rainfall was also recorded in Vietnam (Figure 2a).

Figure 2.
(a) Accumulated precipitation (color scale, mm) derived from GPM products, from 1 October to 9 October 2010. The solid line represents the track of the tropical depression (TD) associated with the OCT10 event. The black circle indicates the daily mean position of the TD center; (b) daily precipitation (light blue bars, mm day−1) and climatological daily precipitation (white bars, mm day−1) at Qionghai station for the period of 30 September to 9 October 2010.
Heavy rainfall events in Hainan Island and surrounding areas (e.g., Vietnam) in the autumn rainy season are usually the result of multi-scale interactions between large scale fields and mesoscale systems, such as mid-latitude cold surges, TC activities, mesoscale convective systems (MCSs), etc. [,,,,]. In an investigation of atmospheric conditions conducive to heavy rainfall events in central Vietnam in the autumn rainy season, Yokoi and Matsumoto [] found that a southerly wind anomaly associated with a tropical depression (TD), together with a northerly wind anomaly associated with a winter monsoon cold surge, contributed to heavy autumn rainfall events, with topographic effects amplifying the rainfall. The composite analysis showed that cold surges do not result in intense precipitation without a TD. Mechanisms contributing to a similar heavy rainfall event in northern Vietnam in 2008 were examined by Wu et al. [], who also attributed the event to a synoptic-scale tropical disturbance formed over the SCS, which moved northwestward to the eastern coast of the Indochina Peninsula. Moreover, according to Wu et al. [], a better understanding of subsynoptic moisture convergence can fill the gaps left by weather forecasting models and weather diagnostic analysis with regard to the location of rain bands and heavy precipitation patterns.
A low-pressure cell formed over the southwestern SCS at the beginning of the OCT10 event, and then migrated northward and developed into a TD at 12 UTC on 4 October (Figure 2a). The China Meteorological Administration (CMA) reported the formation of the OCT10 TD in the SCS [,], and named it 14 W. A landfall of the TD in Hainan Island occurred on approximately 5 October, and the TD maintained a moderate intensity over the island for the next 4 days. Subsequently, the TD retreated over the northern SCS and decayed at 06 UTC on 10 October. The TD associated with the OCT10 event preserved for 138 h (12 UTC 4 October—06 UTC 10 October), much longer than the climatological lifetime of TDs with 78 h (Table 1). Thus, this extended TD was the dominant factor responsible for the persistent extreme rainfall in Hainan Island and north–central Vietnam during the OCT10 event (Figure 2a); in both areas, rainfall maxima occurred on windward slopes, indicating the magnification effect of topography. Considering the weak strength of the TD itself and the large frictional dissipation after landfall on 5 October, the dynamical–thermal conditions that caused such a long stagnation of the TD deserve to be thoroughly studied.

Table 1.
The climatological lifetime (in units of hours) of tropical cyclones (TCs) with different intensity categories. In the tropical cyclone best-track dataset obtained from China Meteorological Administration (CMA), TCs are classified into 6 categories according to a two-minute mean maximum sustained wind near a TC center, tropical depression (TD) with 10.8–17.1 m/s; tropical storm (TS) with 17.2–24.4 m/s; severe tropical storm (STS) with 24.5–32.6 m/s; typhoon (TY) with 32.7–41.4 m/s; severe typhoon (STY) with 41.5–50.9 m/s; super typhoon (SuperTY) ≥51.0 m/s.
Thermodynamic conditions are essential for the development and maintenance of TCs [,] in favorable dynamical contexts of large-scale atmospheric circulations [,]. High sea surface temperatures (SSTs) in the SCS are pervasive, with the exception that during the winter, high SSTs are restricted to the southern SCS (south of 15° N), where they are typically above 26 °C throughout most months of the year. Thus, locally generated TCs in the SCS typically form between May and December, with August and September seeing the highest number of occurrences. In addition, since the SCS is located between the Pacific and Indian Oceans to the southeast of Asia, the SSTs over the SCS exhibit pronounced intraseasonal variations [,], which have a significant positive correlation with the South Asian monsoon system [,,]. And persistent convection mode depends on such intraseasonal variation characteristics of the SSTs in the SCS [,,], which also encourages longer lasting tropical cyclones. As TCs constantly interact not only with the surface but also with the entire upper-ocean layer (typically from the surface down to 100–200 m) [], it has been proposed that the subsurface thermal structure of the ocean is an important condition for the intensity changes of TCs in addition to SSTs [,,,,].
The depth of the 26 °C isotherm (D26) is commonly used to represent the thickness of the warm upper-ocean layer [,], and the vertically integrated heat content from the surface to D26 is typically used to represent the tropical cyclone heat potential (TCHP) [,]. A positive (negative) sea surface height anomaly (SSHA) observed by satellite altimetry is characterized by subsurface layers warmer (colder) than the climatology, as well as a deeper (shallower) D26 and larger (smaller) TCHP []. Since a positive (negative) SSHA typically corresponds to a positive (negative) anomaly in both the D26 and the TCHP, it is widely thought to be a reliable indicator of a warm (cold) ocean eddy []. Similar to the SST, the D26, TCHP, and SSHA are critical metrics that portray the underlying oceanic thermal structure [].
Based on satellite altimetry, an in situ upper-ocean thermal structure, and best-track TC data, a number of studies have investigated the role of the upper ocean in the intensification of super-TCs [,,,]. Rapid intensification of TCs is achievable due to the presence of sufficient sensible and latent heat fluxes because a thicker-than-climatological warm subsurface layer contains a significantly larger heat content (TCHP), which effectively restrains a TC’s self-induced oceanic cooling [,,,,,,]. According to Lin et al. [], the background climatological D26 is rather shallow in the SCS from July to September (about 20–70 m). Given that the warming of upper-ocean layers in the region of a relatively shallow background climatological D26 can effectively restrain the TC’s self-induced SST cooling negative feedback, and thus support the further intensification of a TC [], it is conceivable that warmer upper-ocean layers in the SCS favored the maintenance or intensification of the TD associated with the OCT10 event.
Therefore, the objective of this study was to reveal the thermodynamic processes of warm ocean anomalies in both surface and subsurface layers that contributed to the extended TD during the OCT10 event, thereby enhancing our understanding of the causes of recurrent heavy rainfall events in Hainan Island. To confirm the oceanic contribution, we will also conduct composite analysis using satellite altimetry, reanalysis, and precipitation data.
Section 2 describes the observational and reanalysis data utilized in this investigation. Basic synoptic-scale atmospheric conditions relevant to the OCT10 event are presented in Section 3. Section 4 discusses the role of the warm oceanic anomalies in the SCS on the development of the extended TD. In Section 5, the composite analysis is presented. Finally, a summary and discussions are given in Section 6.
2. Data and Methods
Six-hourly best-track data of TCs over the northwest Pacific between 1993 and 2021 were obtained from the CMA [,]. Daily rain-gauge rainfall data from seven observational sites (1. Haikou, 2. Qionghai, 3. Qiongzhong, 4. Lingshui, 5. Sanya, 6. Dongfang, and 7. Zhanzhou stations) in Hainan Island were also provided by the CMA. In oceanic regions, available high-resolution (0.1° × 0.1°) daily accumulated rainfall data were extracted from the integrated multi-satellite retrieval (IMERG) products for global precipitation measurement (GPM) []. To demonstrate the atmospheric circumstances of the heavy rainfall event, 0.25° × 0.25°-resolution six-hourly atmospheric circulation data were taken from the fifth generation European center for medium-range weather forecasts (ECMWF) (ERA5) reanalysis datasets []. A 1–2–2–2–1 temporal filter was employed to eliminate the diurnal cycle of the reanalysis data []. Daily mean reanalysis data were utilized for the composite analysis.
For ocean features, daily oceanic reanalysis data with a resolution of 1/12° × 1/12° were derived from the French Global Ocean Reanalysis and Simulations (GLORYS) project (https://doi.org/10.48670/moi-00021, accessed on 7 June 2023), which are driven by atmospheric ECMWF reanalysis and assimilated observations, including in situ T and S profiles, satellite SST, and along-track sea-level anomalies obtained from satellite altimetry. To identify the synoptic characteristics of upper-ocean eddies or anomalies, daily SSHA data with a spatial resolution of 1/3° from Archiving, Validation, and Interpretation of Satellite Oceanographic (AVISO) [,] altimetry products were also used. The subsurface thermal structure was based on Argo float (No. 2901143) data [] collected in the vicinity of the TD track before and during the OCT10 event, with in situ depth–temperature profiles available only every 4 days. As reference, the climatology of depth–temperature profiles was estimated according to World Ocean Atlas 2009 (WOA09) [] datasets.
At the air–sea interface, daily surface sensible heat (SH) and latent heat (LH) fluxes with a resolution of 0.25° × 0.25° were derived from products of the Woods Hole Oceanographic Institute’s Objectively Analyzed air–sea heat Fluxes (WHOI_OAFlux) [], which were created by integrating satellite observations with surface moorings, ship reports, and an atmospheric model reanalyzed surface meteorology.
The TCHP is calculated as:
where is the capacity heat of the seawater at constant pressure taken as 4178 J kg−1 K−1, is the average seawater density of the upper ocean taken as 1026 kg m−3, is the temperature difference between and 26 °C at depth , and is the depth increment taken at 5 m [,,].
Figure 3 and Figure 4 are the flowcharts of the favorable atmospheric fields and upper-oceanic conditions for the heavy rainfall events in Hainan Island associated with TDs in October utilized in the composite analysis. As shown in Figure 3, we set the southward cold air definition as follows: (1) the 3-day mean meridional wind anomaly at the 925 hPa level averaged over 105°–115° E along 21° N is negative, and (2) the 3-day mean temperature anomaly at the 850 hPa level averaged over 105°–115° E along 26° N is negative as well. Additionally, the southerlies of tropical depressions associated with rainfalls in the northern SCS are delimited as: (1) the daily mean meridional wind anomaly at the 925 hPa level averaged over 14°–20° N, 108°–114° E is larger than 3.8 m/s (1 standard deviation) and (2) the daily mean meridional wind anomaly at the 925 hPa level averaged over 14°–20° N, 108°–114° E records a maximum in the 3-day window from 1 day before to 1 day after the meridional wind anomaly maximum.

Figure 3.
The flowchart of the favorable atmospheric fields for the heavy rainfall events in Hainan Island associated with TDs during the monsoon transition period used in the composite analysis.

Figure 4.
Same as Figure 3, but for the upper-oceanic conditions.
Since the SSHA data were computed with respect to a twenty-year (1993–2012) mean [,], we use the area mean SSHA anomaly across the box located at 10°–16° N and 110°–116° E positively (negatively) greater than ±6 cm (±1 standard deviation) as a criterion for the presence of oceanic meso-scale warm (cold) eddies or warm (cold) anomalies background in October (Figure 4).
3. Synoptic-Scale Atmospheric Conditions during the Heavy Rainfall Event
Figure 5a depicts the low-level wind field on 5 October 2010 when the TD caused a landfall in Hainan Island (Figure 2a), leading to extremely heavy rainfall (greater than 600 mm) within a single day at Qionghai station (Figure 2b). There was a strong northeasterly from 30° N intruding into the TD, which centered near the southwest of the Hainan Island, which was similar to the atmospheric circumstances causing heavy precipitation in central Vietnam documented by Yokoi and Matsumoto []. The maximum northeasterly in the northern SCS (near 20° N) exceeded 20 m/s; correspondingly, the climatological northeasterly monsoon over the region at this time is less than 10 m/s (Figure 5b). Due to the TD’s proximity to the Hainan Island, the southwesterly (Figure 5a) rather than the northeasterly (Figure 5b) in climatology encompassed the western portion of the central SCS. Notice that the rainfall maxima in both regions (eastern Hainan Island and north–central Vietnam) (Figure 2a) occurred on windward slopes (Figure 5a), indicating the amplifying effect of topography (Figure 1a). Along with the strong northeasterly, a dry and cold tongue stretching southward encountered with the warm humid air in the SCS, forming an equivalent potential temperature front in a west–southwest to east–northeast direction near 20° N (Figure 5c).

Figure 5.
(a) Daily mean horizontal wind (vector) and its speed (shading) at 925 hPa on 5 October 2010; (b) same as in (a), but for the climatological wind on the same day; (c) equivalent potential temperature at 925 hPa on 5 October 2010.
Subsequently, the TD sustained a modest strength despite gradually weakening, and it practically stagnated in Hainan Island for several days (figure not shown). Consequently, heavy rainfall continued, especially over the eastern part of the island. Be aware that the daily rainfall at Qionghai station exceeded 100 mm (Figure 2b) on October 6 and 7, respectively. Thus, the OCT10 event was the result of the prolonged maintenance of an extended TD in the northern SCS.
The evolution of low-level cold air during the OCT10 event was clearly demonstrated in Figure 6a,b. The northerlies prevailed over the northern SCS and southern China (16°–30° N) during the OCT10 event (Figure 6a). The cold air (less than −1 °C temperature anomaly) spread quickly southward from 30° N on 1 October to 20° N on 4 October (Figure 6b). With the southward propagation of the cold air, the northerlies strengthened to the south. Correspondingly, southerlies enhanced and expanded northward from the equator on 1 October, meeting up with the northerlies near 17° N on 4 October (Figure 6a). As a result, there was a strong horizontal convergence anomaly (less than −3 × 10−5 s−1) near 17° N on 4 and 5 October (Figure 6c), and the TD close to the Hainan Island at this latitude was issued by the CMA (Figure 2a). The equivalent potential temperature exceeded 345K over the entire SCS (Figure 5c). Such thermally unstable air was transported northward by the southerlies; thus, the relatively high convective available potential energy (CAPE) (greater than 750 J/kg) extended from the equator on 1 October to 18° N on 4 October (Figure 6d).

Figure 6.
(a) Time–latitude cross-section of meridional wind at the 925 hPa level averaged in 105°–120° E (units: m/s); (b) as (a), but for the temperature anomaly (units: °C); (c) same as (a), except for the horizontal divergence anomaly (units: 10−5 s−1); (d) time–latitude cross-section of convective available potential energy (units: J/kg).
The northeasterly alongside the southwesterly that associated with the TD contrived a strong low-level convergence near the Hainan Island on 4th and 5th October. In addition, the northward conveyance of the warm humid air by the southwesterly resulted in the lower troposphere being more thermally unstable, which was also favorable for convection. The atmospheric conditions during the OCT10 event were similar to the severe precipitation which occurred in central Vietnam during the monsoon transition period in 1999, as reported by Yokoi and Matsumoto []. Since the extended TD was the dominant system responsible for the OCT10 event, the external energy sources that enabled the maintenance of the TD are examined in terms of an anomalous upper-oceanic thermal structure.
4. Warm Ocean Anomalies Contributing to the Formation and Intensification of the OCT10 TD
4.1. Oceanic Anomalies in the Sea Surface
The SSTs were greater than 29.5 °C over nearly the entire SCS before and during the OCT10 event (figure not shown). However, high SSTs were not uniformly distributed over the SCS; the warmest SSTs were present in the area south of the Indochina Peninsula and in the eastern SCS near Luzon Island (figure not shown). Figure 7 illustrates the distribution of sea surface temperature anomaly (SSTA) from 1 October to 9 October. SSTA maxima greater than 1 °C were found in three locations on October 1 despite the fact that positive SSTAs were seen across the whole SCS (Figure 7a): in the northwest, near Hainan Island; in the southwest, south of the Indochina Peninsula; and in the east, close to Luzon Island. Note that the area of the latter was significantly larger than each of the previous two. The non-uniformly larger SSTAs would have induced anomalous surface winds, converging toward the warmest centers (Figure 7a), and produced an anomalous large-scale southeasterly flow in the central SCS. According to Lindzen and Nigam [], the surface wind anomalies were actually due to changes in the virtual temperature distribution of the boundary layer, caused by air–sea enthalpy flux anomalies associated with SSTAs. In fact, this flow ultimately belonged to an anomalous easterly jet with high horizontal wind shear, creating cyclonic vorticity south of the jet axis over the southern SCS. Thus, such a horizontally shearing easterly jet, together with anomalous southwesterlies in the lower troposphere, might have resulted in the genesis of the TD’s incipient disturbance on account of barotropic instability, as was suggested by Mao and Wu [].

Figure 7.
Daily SSTAs (color scale, °C) and surface wind anomalies (vectors, m/s) at 10 m above sea level on (a) 1 October, (b) 3 October, (c) 5 October, and (d) 7 October 2010. Positive SSTAs greater than 1 °C are highlighted by black contours. The green dot marks the daily mean position of the TD center.
Although weak, the anomalous southwesterlies, which discerned over the southwestern SCS south of 6° N, might have been induced locally in some small areas by the warm SSTAs. Subsequently, the warm SSTAs weakened slightly in the central SCS, but were strengthened in the northwestern SCS. By 3 October, the SSTAs in the northwestern SCS were mostly greater than 1.5 °C (Figure 7b), with the induced wind anomalies being dominated by anomalous strong southerlies rather than easterlies over the northern SCS. Thus, the TD moved northward to 16° N and strengthened significantly due to anomalous southerlies converging and interacting with anomalous northeasterlies west of Hainan Island (note the TD center located over the western coast of the SCS).
Two days later, when the TD reached its highest intensity, the enhanced SSTAs were accompanied by stronger southerlies, mostly concentrated in the northwestern SCS (Figure 7c), and the maximum SSTA exceeded 2 °C (note that the range of positive SSTAs west of Luzon Island narrowed dramatically). On 7 October (Figure 7d), although a significant SSTA was still located in the northwestern SCS, its magnitude had decreased.
The temporal evolution of the TC system described above indicates that the TD formed on a pre-existing anomalous warm sea surface, with anomalous southerlies induced by significant SSTAs in the northwestern SCS supporting its growth and maintenance. On the other hand, TD activity caused SST cooling, which weakened the positive SSTAs, producing conditions unfavorable for continued intensification []. As suggested by Lin et al. [], in the absence of available SH and LH fluxes sufficient to restrain the negative feedback of self-induced cooling, the TD could not intensify and maintain itself for a prolonged period. Therefore, we examined the available air–sea enthalpy (SH plus LH) fluxes to confirm that the enthalpy fluxes available to restrain the TD’s self-induced cooling were sufficient to maintain the period of intensification.
The SH and LH fluxes (positive upward) from OAFlux datasets along with their anomalies are depicted in Figure 8. During the initial stage on 1 October (Figure 8a), an SH flux greater than 10 W m−2 was observed over almost the entire SCS south of 16° N, with a larger flux of greater than 15 W m−2 located in the western coastal regions and southern and eastern portions, indicating a heating and warming of the lower atmosphere in the near-surface layer. Compared with Figure 7, the areas of larger SH fluxes overlapped with those of larger positive SSTAs (Figure 7a). Note that over these overlapping areas, the positive SH flux anomaly exceeded 10 W m−2 (Figure 8a), implying that warm oceanic anomalies at the sea surface supply a significant amount of heat to the atmosphere. Equivalently, sensible (diabatic) heating directly heats the warmer air in the lower troposphere, leading to a convergence of surrounding air toward the warmer regions, thus forming an anomalous cyclonic system (Figure 7a). On the other hand, available potential energy is generated and stored in the lower troposphere over positive SSTA regions as a result of the positive correlation between the warm surface air temperature anomaly and the positive diabatic heating anomaly []. Note also that although the positive surface LH flux anomaly (greater than 50 W m−2) covered only partial areas of larger warm SSTAs, compared with the situation in Figure 7a, the surface LH flux itself was already large enough over almost the entire SCS, with a magnitude exceeding 100 W m−2 (Figure 8e), indicating that a substantial amount of water vapor had already evaporated into the lower tropospheric atmosphere, forming moisture conditions favorable for TD genesis.

Figure 8.
Daily sensible heat (SH) flux (color scale, W m−2) and SH flux anomalies (contours, W m−2; interval, 10 W m−2) on (a) 1 October, (b) 3 October, (c) 5 October, and (d) 7 October 2010. (e–h) As in (a–d), but for daily latent heat (LH) flux and LH flux anomalies (interval, 50 W m−2). Positive (negative) anomalies are shown as solid (dashed) contours; the zero contour is thickened. The black dots mark the daily mean position of the TD center.
When the TD migrated northward to the western–central SCS (to around 16° N) on 3 October, the positive SH flux anomaly beneath the central portion of the TD exceeded 10 W m−2 (Figure 8b) and overlapped with the positive SSTA area (Figure 7b) beneath the eastern half of the TD, which raised the amount of available potential energy over the warm SSTA area for conversion into kinetic energy of the TD. Take heed that the significant surface SH flux anomaly north of the TD center may have resulted from the northeasterly wind anomaly related to the southward cold air. The significant positive LH flux anomaly was observed east of the TD center in conjunction with the warm SSTA (Figure 8f), and a significant LH flux anomaly north of the TD center even grew to above 100 W m−2, supplying more moisture to cause deep convection and heavy rainfall. A large positive LH flux anomaly was perceived east of the TD center in conjunction with the warm SSTA (Figure 8f), and a significant LH flux anomaly north of the TD center even grew to above 100 W m−2, supplying more moisture to produce deep convection and heavy rainfall.
As suggested by Richard and McBride [], the TC-induced change in SSTs beneath the core region has a strong impact on the TC’s intensity, because reduced SSTs result in reduced fluxes of heat from the ocean to the TC. Therefore, the growth of the TD from 1 October to 3 October might be attributed to the positive anomalies in both SH and LH fluxes in the vicinity of the TD center, reflected in the increase in the maximum wind speed of the TD. During the period of the highest intensity of the TD on 5 October, the positive SH anomaly around the TD was even greater than 20 W m−2 (Figure 8c), and the LH anomaly was consistently greater than 50 W m−2 (Figure 8g). Such large enthalpy flux anomalies restrained the TD’s self-induced SST cooling during the intensification. Subsequently, both surface SH and LH flux anomalies around the TD evidently decreased, with the LH flux anomaly dropping to nearly zero (Figure 7d and Figure 8h); however, the SH fluxes were maintained at over 15–50 W m−2 (Figure 8d) and the LH fluxes were maintained at over 100 W m−2 (Figure 8h). Thus, the TD had weakened to some degree.
We further examined the thermodynamic role of the surface enthalpy flux around the central region of the TD during intensification, as the TC-induced SST cooling associated with the available enthalpy flux supply beneath the central region has a more important influence on the TC’s intensity than that beneath the area outside of the center []. The area-averaged enthalpy flux, along with its two components (the SH and LH fluxes), over a region within a 300 km radius of the TD center during the OCT10 event are plotted in Figure 9. The climatological situations are also displayed for comparison, to show how anomalous the air–sea enthalpy (SH and LH) fluxes were in magnitudes during the event. The variation in the SH flux was observed to have its maximum during the peak period of the TD on 5 October, whereas the climatological SH flux remained nearly constant during this period. In fact, the SH flux for each day was at least twice as large as the corresponding climatological value. The daily LH flux showed a pronounced maximum on 5 October and a second maximum on 4 October compared with the climatology. The positive LH flux anomalies were much larger during the peak phase than throughout the formation stage of the TD, with a maximum anomaly of roughly 80 W m−2 during 4 and 5 October. The enthalpy flux exhibited variations similar to those of the LH flux, which indicates that much more enthalpy flux was available during the TD event than during normal climatology, and thus was able to effectively suppress the TD’s self-induced SST cooling. Note the increasingly positive enthalpy flux anomalies during the intensification period from 1 to 5 October, while weakened positive enthalpy flux anomalies after 5 October might have partly restrained the negative feedback, as a stronger TD would have induced a large amount of subsequent SST cooling.

Figure 9.
Time series of area-averaged (over an area within a 300 km radius of the surface vortex center) daily sensible heat (SH) flux (red lines, W m−2), latent heat (LH) flux (blue lines, W m−2), and enthalpy (SH plus LH) flux (black lines, W m−2) for the period 1–9 October in 2010 (solid lines) and climatology (dashed lines).
4.2. Oceanic Anomalies in the Subsurface Layer
Because a TC’s self-induced SST cooling reduces the available air–sea enthalpy flux supply from the ocean to the TC [,], a sufficiently thick layer of warm water below the surface is required as a precondition for TC development and persistence [,]. This is because the thicker warm subsurface layer enables SST cooling to be restrained through the upwelling of warm water to the sea surface. Therefore, a thickened warm subsurface layer was a necessary precondition for the maintenance of the OCT10 TD. To assess the upper-ocean thermal structure, Figure 10 illustrates SSHA distributions, with positive (negative) SSHAs representing a warm subsurface layer thickness deeper (shallower) than climatology [,,,]. During the developing stage of the TD, from 1 October to 5 October 2010, positive SSHAs (greater than 20 cm, and in places greater than ~30 cm) were present in the western–central SCS (Figure 10a). A comparison of the SSHA and SSTA distributions (Figure 7) shows that regions with large positive SSHA values corresponded well with areas of large positive SSTAs, especially in the vicinity of the TD’s track, suggesting that the TD formed and intensified in a region of positive SSHA features.

Figure 10.
Daily mean sea surface height anomaly (SSHA, cm) from Aviso satellite altimeters for the periods (a) 1–5 October 2010 and (b) 6–10 October 2010. The tropical depression (TD) track and the location of its center during each day are indicated by a solid line and black circle, respectively. The position of the Argo float (No. 2901143) near the positive SSHA on 1 and 9 October 2010 is marked, respectively, by the green stars in (a,b).
In order to clarify the thickness of the corresponding subsurface warm layer and the thermal condition of the upper ocean when the above SSHA features exist, the distribution of the depth of 26 °C isotherm and TCHP on October 5 and the climatic state of the same period are given in Figure 11. In the area with SSHA greater than 20 cm in the western–central SCS (Figure 10a), the depth of the subsurface warm layer beneath it characterized by the D26 reached more than 80 m (Figure 11a), about 50 m deeper (Figure 11c) than the climatology (20–30 m, Figure 11b). Such a deep upper warm layer contains energy conducive to the development and maintenance of the TD associated with the OCT10, with the TCHP of 90 KJ cm−2 (Figure 11d), almost twice that of the climate state (Figure 11e,f). Such a large amount of heat can naturally counteract the sea surface cooling caused by the upwelling of cold water due to the TC activities. During the OCT10 event, the situation of D26 and TCHP was similar to that on 5 October.

Figure 11.
(a) The depth of the 26 °C isotherm (D26, m) derived from GLORYS oceanic reanalysis data on 5 October 2010; (b) same as (a) but for the same day in climatology; (c) the anomaly of D26 on 5 October 2010; (d) same as (a) but for the tropical cyclone heat potential (TCHP, KJ cm−2); (e) same as (b) but for the TCHP in climatology; (f) same as (c) but for the TCHP anomaly.
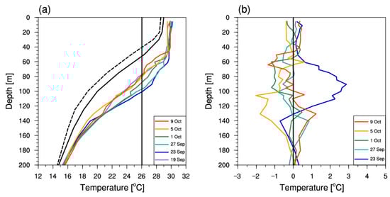
To further identify the thickness of the warm subsurface layer concerning the positive SSHAs during the OCT10 event, in situ depth–temperature profiles (accessible only every 4 days) from an Argo float (Figure 12) were examined. Since this float was the only one present in the vicinity of the TD track, it provided sole in situ information on the subsurface water temperatures associated with the TD activity. For comparison, the climatological temperature profiles around the Argo float in September and October were approximated on the basis of monthly data from the World Ocean Atlas 2009 (WOA09) [], as was also conducted by Lin et al. []. The depth of warm water in the subsurface layer beneath the positive SSHA was shown to be greater than the climatological situation (Figure 12a). During the developing stage of the TD, on 1–5 October, the D26 was as deep as 80–90 m, whereas the climatological D26 was only in the order of 40–50 m (Figure 12a). Note that the other subsurface-related parameters, such as the TCHP, exhibited a similar feature (Table 2); TCHP values were in the range of 97.1–108.4 KJ cm−2, while the climatological TCHP was in the range of 33.5–47.5 KJ cm−2. Thus, the depth of the warm subsurface layer was nearly doubled relative to the climatological background and contained enough TCHP to counteract the cooling effect from both the thermocline and the sea surface. The SST cooling corresponding to this situation was only ~0.5 °C from 1 to 5 October (Figure 12b), with daily SSTs decreasing by only 0.125 °C, while the oceanic water temperature evidently decreased by 0.5–2 °C at depths of 70–150 m, and the corresponding D26 decreased ~7.2 m within 4 days (Table 2). These observations clearly demonstrate that the TD-induced SST cooling was sufficiently restrained by the thickened warm subsurface layer in the positive-SSHA region during the developing stage. Therefore, as suggested by Lin et al. [], such a thickened warm subsurface layer acted as a “booster” for TD intensification, as the SCS is an area where the background climatological warm subsurface layer is relatively shallow.

Figure 12.
(a) Four-day potential temperature profiles (colored lines) from the Argo float (No. 2901143) for the period 19 September–9 October 2010 and climatological monthly potential temperature profiles near the Argo float (position, 12.5° N, 112.5° E) in September (black solid line) and October (black dashed line) derived from the WOA09; (b) local changes (colored lines) in potential temperature profiles at 4-day intervals.

Table 2.
Subsurface-related parameters (depth of the 26 °C isotherm, D26; and the tropical cyclone heat potential, TCHP) estimated from in situ potential temperature profiles from the Argo float (No. 2901143) for the period 19 September–9 October 2010 as compared with background climatological parameters calculated from potential temperature profiles near the Argo float (at 12.5° N, 112.5° E) from WOA09 data for September and October. Also shown are the local changes in D26 and TCHP at 4-day intervals.
Notably, prior to TD formation, especially during 23–27 September, the warm subsurface layer extended even deeper, corresponding to a D26 of approximately 96–100 m (Figure 12a) and TCHP in the order of 124–131 KJ cm−2 (Table 2). Although the considerably thickened warm subsurface layer was located north of the subsequently generated TD (as reflected by the position of the Argo float), the layer was conducive to the formation of anomalous southeasterlies in the lower troposphere over the central SCS, as shown in Figure 7a, thereby favoring the genesis of the TD. As was suggested by Lindzen and Nigam [], surface wind anomalies depend entirely on changes in the virtual temperature distribution in the boundary layer, which result from surface SH and LH flux anomalies associated with SST anomalies. In this sense, a thicker warm subsurface layer might be a necessary precondition for the genesis of a TD under a shallow climatological background.
In addition, it should be noted that on 19 September, the D26 (TCHP) was at only 76.2 m (101.2 KJ cm−2), while the warm subsurface layer in the shallow background was further deepened by around 30% within 4 days (to a D26 value of 110.3 m and a TCHP value of 131.4 KJ cm−2) (Table 2), corresponding to a considerable temperature increase at depths of 60–120 m (Figure 12b), and thus forming a much thicker warm subsurface layer prior to the genesis of the TD.
In contrast, during the decaying stage of the TD, on 6–9 October, the TD was mostly active over a relatively small area of the positive SSHA around Hainan Island, rather than over the large area of positive SSHA where the TD intensified. Note that the Argo float was already located in the southern portion of the large area; thus, it could not effectively measure the warm subsurface layer beneath the TD. However, the subsurface-related information from this Argo float could be used as reference for the subsurface variations in its location, as the positive SSHA corresponded to a locally thicker warm subsurface layer. On 9 October, the D26 was at 78.9 m and the TCHP was 95.7 KJ cm−2 (Table 2); compared with the previous 4 days, both the D26 and TCHP had slightly decreased. As such, although no in situ Argo float profiles were available to accurately identify the actual subsurface variations around Hainan Island, a locally positive SSHA had already reflected the existence of a thicker-than-climatological warm subsurface layer. Of course, such a thickened warm subsurface layer was possibly shallower than that in the large area of the positive SSHA because of its location in a coastal area. Therefore, it is conceivable that the presence of the thickened warm subsurface layer slowed the weakening of the TD, thereby maintaining it for several days.
5. Composite Analysis
The composite analysis is employed in this paper to corroborate the case study in Section 4, suggesting that warm ocean anomalies in the SCS reinforced the severe rainfall that occurred in Hainan Island in October. Because the heavy precipitation was in the case of southward cold air interacting with the southerlies of tropical depressions during the monsoon transition period, we defined the above two key atmospheric components (Figure 3) as shown in Section 2. Finally, we identified 12 cases in the 29-year (1993–2021) October periods that satisfy the aforementioned criteria listed in column 2 of Table 3.

Table 3.
Twelve cases shown in column 2 which meet the standards: (1) both the 3-day mean meridian wind anomaly at the 925 hPa level averaged over 105°–115° E along 21° N and the 3-day mean temperature anomaly at the 850 hPa level averaged over 105°–115° E along 26° N are negative and (2) the daily mean meridional wind anomaly at the 925 hPa level averaged over 14°–20° N, 108°–114° E is larger than 3.8 m/s (1 standard deviation), and it records a maximum in the 3-day window from 1 day before to 1 day after the meridional wind anomaly maximum; the corresponding oceanic conditions of the 12 cases are shown in column 3.
To further classify the ocean conditions during the 12 cases of heavy precipitation selected above, firstly, the distribution of the SSHA standard deviation in October is given in Figure 13a. There is a large value area of the SSHA standard deviation in the middle of the SCS off the south–central coast of Vietnam, which demonstrates that the oceanic meso-scale eddies are more active in this region. This is consistent with the findings of previous studies [,,] in which meso-scale eddies shedding from the large anticyclonic gyre off the Vietnam coast around 12°–14° N during the northeast monsoon, or eddies emerging due to the Kuroshio–Babuyan Islands, interact in the summer and reach Vietnam in the winter. The dramatically large SSHA associated with the OCT10 event was also over this area (Figure 10a). The time series of the area mean SSHA anomaly across the box located at 10°–16° N and 110°–116° E, where the large value region of the SSHA standard deviation is subsistent in October, is displayed in Figure 13b.

Figure 13.
(a) The standard deviation of the SSHA in October (units: cm); (b) a time series of area mean of the SSHA anomaly over the 10°–16° N, 110°–116° E box in October. The red color characterizes the area-mean SSHA greater than the 29-year climatic mean, indicating the presence of an upper-oceanic warm anomaly; the presence of an upper-oceanic cold anomaly is demonstrated by the blue color, which is distinctive of the area-mean SSHA negatively larger than the climatology. The black dashed line is ±6 cm (±1 standard deviation).
Based on Figure 13b, we set the criteria for determining the upper-oceanic thermal conditions in the SCS in October, as described in Section 2 (Figure 4). According to such a standard, we divide the marine background fields in October into three groups: cold eddy conditions, including 1993, 1994, 1995, and 1997; warm eddy conditions, including 2008, 2010, 2017, 2018, 2020, and 2021; and the remaining years as normal conditions. The area mean SSHA anomaly was noticeably higher than in other years for essentially the whole month of October 2010, which coincided with the occurrence of heavy precipitation in the OCT10 event as a supportive marine background field.
Taking into account the classification of the SCS’s oceanic background conditions mentioned above, we find that four among the twelve individual heavy-precipitation cases above occurred under oceanic meso-scale warm eddies or warm anomalies in the central SCS with deeper subsurface warm layers, while the others are all under the “Normal” oceanic background (Table 3). It should also be pointed out that in years when there is a meso-scale cold eddy or cold anomaly in the central SCS, no processes of southward cold air confronting the southerlies of tropical cyclones occur near the Hainan Island in the northern SCS.
Figure 14 shows the composite low-level horizontal wind anomaly and precipitation anomaly averaged of the 3-day period from 1 day before to 1 day after the area mean meridional wind anomaly maximum over 14°–20° N and 108°–114° E over the SCS under the “Warm eddy” and “Normal” marine conditions, respectively. For all the 12 cases, the composite low-level horizontal wind anomalies are similar to that of the OCT10 event (Figure 7b,c), which features a TC centered close to Hainan Island and a northeasterly wind anomaly extending from South China to North Vietnam. On the other hand, the center of the composite TC (near 19° N) during “Warm-eddy” cases (Figure 14a) is slightly north of it (near 17° N) during “Normal” cases (Figure 14b). More essentially, the composite southerly over the north–central SCS is unusually stronger due to the existence of warm eddies in the middle of the SCS (Figure 14a). As a result, both the low-level convergence along approximately 19° N and the southerly wind anomaly on the windward slope off the east coast of Hainan Island are stronger in the “Warm eddy” cases than those in the “Normal” ones. Consequently, the composite precipitation of the “Warm eddy” cases is remarkably greater throughout Hainan Island and the north coast of Vietnam (more than 40 mm); in particular, the precipitation anomaly on eastern coastal areas is more than 100 mm (Figure 14a), as in the OCT10 event. In contrast, the composite precipitation anomaly in Hainan Island is only 20 mm under the “Normal” ocean conditions, and there is no significant core of precipitation anomalies in the east (Figure 14b).

Figure 14.
(a) Composite horizontal wind anomaly at the 925 hPa level (vector) and precipitation anomaly (contour) during the four “Warm-eddy” cases, averaged of the 3-day period from 1 day before to 1 day after the area mean meridional wind anomaly maximum over 14°–20° N, 108°–114° E. Reference vector corresponds to a value of 10 m/s; (b) same as (a), but for the other eight “Normal” cases.
Therefore, we can conclude that the combination of southward cold air and TC-related southerly can cause more precipitation on Hainan Island than the climatology. When there is a substantially stronger meso-scale warm vortex or warm anomaly in the central SCS, the southerly wind anomaly blowing from the northern part of the SCS to Hainan Island is stronger. Thus, the precipitation in the eastern part of Hainan Island is also substantially enhanced due to the windward slope lifting effect. The OCT10 heavy rainfall event is a typical illustration of the strengthening effect of these oceanic meso-scale warm eddies.
6. Summary and Discussion
An extraordinarily persistent and heavy rainfall event in Hainan Island, from 1 October to 9 October 2010, was the heaviest event ever recorded in the region. The accumulated rainfall amounts during these 9 days exceeded 600 mm on southeastern Hainan Island, with extreme rainfall amounts of greater than 1000 mm in coastal areas. The heavy rainfall event, referred to as the OCT10 event, was brought on by an extended TC (referred to as “the TD” in the present paper) over the SCS. The objective of this study was to investigate the thermodynamic impact of warm ocean anomalies in both surface and subsurface layers in the SCS on the genesis and maintenance of the extended TD, and its resultant reinforcing effect on TD-related persistent rainfall in Hainan Island during the OCT10 event, using rain-gauge rainfall, best-track typhoon, satellite altimetry, in situ Argo profile, air–sea enthalpy flux, and ERA5 reanalysis data.
The TD formed on a pre-existing anomalous warm sea surface, with SSTs above 29.5 °C over almost the entire SCS (figure not shown) prior to the OCT10 event, and then intensified and migrated northward to the vicinity of Hainan Island during the event. Anomalous southerlies induced by significant SSTAs in the northwestern SCS supported the growth and maintenance of the TD, and the surface wind anomalies were actually due to changes in virtual temperature distribution in the boundary layer caused by air–sea enthalpy flux anomalies associated with the SSTAs. However, while TD activities caused SST cooling, which weakened the positive SSTAs and produced conditions unfavorable for continued intensification, in the region around the TD, the available air–sea enthalpy (SH plus LH) fluxes were sufficient to restrain the negative feedback of the TD’s self-induced SST cooling, leading to the intensification and maintenance of the TD for a period of more than 10 days. Such a condition occurred because the enthalpy flux beneath the central area of the TD had a more important influence on the TD’s intensity than that beneath the area outside of the center. During the intensification period, from 1 to 5 October, positive enthalpy flux anomalies beneath the central area of the TD continued to increase, while weakened positive enthalpy flux anomalies after 5 October might have partly restrained the negative feedback, as the enhanced TD would have induced a large amount of subsequent SST cooling.
Given that sufficient enthalpy fluxes to intensify the TD depended on a very thick warm subsurface layer to overcome TD’s self-induced SST cooling in the region of a relatively shallow climatological background, the satellite altimetry data, oceanic reanalysis data and the in situ depth–temperature profiles demonstrated that, in the SCS, the thickness of the warm subsurface layer beneath the positive SSHA was much deeper than that under the climatological situation. During the developing stage of the TD, on 1–5 October, the D26 was as deep as 80–90 m, whereas the climatological D26 was only in the order of 40–50 m. The TCHP was as high as 97–108 KJ cm−2, while the climatological TCHP was 33.5–47.5 KJ cm−2. Such a thickened warm subsurface layer obviously contained sufficient TCHP to counteract the cooling effects from both the thermocline and the sea surface. Indeed, daily SST cooling was only around 0.125 °C during 1–5 October. These observations unequivocally display that TD-induced SST cooling was restrained by the thickened warm subsurface layer in the positive SSHA area throughout the developing stage. Therefore, this thickened warm subsurface layer actually acted as a “booster” for TD intensification. Notably, before TD formation, especially during 23–27 September, the warm subsurface layer extended even deeper, corresponding to a D26 of approximately 96–100 m and a TCHP in the order of 124–131 KJ cm−2, suggesting that a thicker warm subsurface layer may be a necessary prerequisite for the genesis of the TD under a shallow climatological background.
The composite analyses were conducted to confirm that the warm ocean anomalies in the central SCS reinforced the heavy rainfall in Hainan Island in October. From the 29-year data (1993–2021) in October, we identified 12 cases where southward cold air accompanied by the southerly wind anomalies associated with TCs centered in the northern SCS. Four of the incidents involve meso-scale warm eddies or warm anomalies that are stronger than the climatology in the central SCS off the south–central coast of Vietnam, where meso-scale eddies are active, referred to as “Warm eddy” cases. These four instances are comparable to the occurrence of OCT10, which implies the existence of a deep warm layer beneath the surface. In addition, the central SCS saw the strongest and longest lasting meso-scale warm anomaly in October 2010 when the OCT10 event occurred. The remaining eight individual cases exhibit “Normal” upper-ocean layers. However, there is no coexistence of the cold air and southerly winds of TCs in the northern SCS when an unusually strong cold eddy or cold anomaly prevails in the central SCS. In “Normal” cases, the composite precipitation in Hainan Island is indeed higher than the climatic average, while among the four “Warm eddy” cases, the composite precipitation is significantly larger in Hainan Island and northern Vietnam, especially on the eastern coast of Hainan Island, where the composite precipitation is five times more than in the “Normal” cases.
In the present study, the warm oceanic anomalies both at the sea surface and in the subsurface layers in the SCS were identified as key factors in the development of the extended TD, through the establishment of anomalous surface winds induced by warm SST anomalies over the SCS. In order to determine how the warm subsurface layer contributed to suppressing the TD’s self-induced SST cooling and its consequences for maintenance, we performed both a qualitative analysis and composite analysis. Future research on the interrelationships between oceanic subsurface conditions and the air–sea enthalpy flux required for the emergence and persistence of TCs in the SCS based on more TC cases should be conducted using a fully coupled atmosphere–ocean model. Note that the extended TD did not strengthen to a high intensity during the OCT10 event, suggesting that additional elements, such as strong northeasterlies from the mid-latitudes and terrain, were also crucial for the intensification of the TD. Thus, in the future, we will examine the contribution of anomalous atmospheric circulation to the development of the extended TD.
Author Contributions
Data curation, X.L.; formal analysis, S.H.; funding acquisition, S.H.; investigation, S.H.; methodology, S.H.; project administration, L.C.; resources, W.P.; software, K.L.; supervision, L.C.; validation, W.P.; visualization, X.L.; writing—original draft, S.H.; writing—review and editing, S.H. All authors have read and agreed to the published version of the manuscript.
Funding
This research was funded by the National Natural Science Foundation of China, grant number 41606032.
Institutional Review Board Statement
Not applicable.
Informed Consent Statement
Not applicable.
Data Availability Statement
The daily rain-gauge rainfall data are obtained from the China Meteorological Administration. The best-track data of TCs are openly available at https://tcdata.typhoon.org.cn/zjljsjj_sm.html (accessed on 1 May 2023). The GLORYS oceanic reanalysis data are derived from https://doi.org/10.48670/moi-00021 (accessed on 7 June 2023). The daily SSHA data can be founded at https://doi.org/10.48670/moi-00148 (accessed on 1 June 2023).
Acknowledgments
The authors are appreciative of the anonymous reviewers who greatly improved presentation of the results.
Conflicts of Interest
The authors declare no conflict of interest.
References
- Zhou, W.; Li, C.; Chan, J.C.L. The interdecadal variations of the summer monsoon rainfall over South China. Meteorol. Atmos. Phys. 2006, 93, 165–175. [Google Scholar] [CrossRef]
- Mao, J.; Chan, J.C.L.; Wu, G. Interannual variations of early summer monsoon rainfall over South China under different PDO backgrounds. Int. J. Climatol. 2011, 31, 847–862. [Google Scholar] [CrossRef]
- Fumin, R.; Gleason, B.; Easterling, D. Typhoon impacts on China’s precipitation during 1957–1996. Adv. Atmos. Sci. 2002, 19, 943–952. [Google Scholar]
- Feng, W.; Fu, S.H.; Wu, Y. Distribution characteristics of low level jet in north-central South China Sea and its formation mechanism. J. Trop. Meteor. 2015, 31, 247–254. (In Chinese) [Google Scholar]
- Feng, W.; Fu, S.H.; Zhao, F.Z. Circulation of extreme rainstorm and its anomalous characteristics during post-flood period of the last decade in Hainan Island. Meteorol. Mon. 2015, 41, 143–152. (In Chinese) [Google Scholar]
- Feng, W.; Zhou, L.L.; Xiao, C.; Fu, S.H. The spatial and temporal characteristics of the autumn flood season rainfall in Hainan Island and its associated circulation features. J. Trop. Meteorol. 2016, 32, 533–545. (In Chinese) [Google Scholar]
- Ma, X.K.; Fu, J.L.; Cao, D.B. Study on physical mechanism of persistent heavy rainfall event in autumn 2008 over Hainan. Meteorol. Mon. 2012, 38, 795–803. (In Chinese) [Google Scholar]
- Wu, Z.; Cao, J.; Zhao, W.; Ke, Y.; Li, X. An observational analysis of a persistent extreme precipitation event in the post-flood season over a tropical island in China. Atmosphere 2022, 13, 679. [Google Scholar] [CrossRef]
- Yokoi, S.; Mastsumoto, J. Collaborative effects of cold surge and tropical depression-type disturbance on heavy rainfall in central Vietnam. Mon. Weather Rev. 2008, 136, 3275–3287. [Google Scholar] [CrossRef]
- Wu, P.; Fukutomi, Y.; Mastsumoto, J. An observational study of the extremely heavy rain event in northern Vietnam during 30 October–1 November 2008. J. Meteorol. Soc. Jpn. 2011, 89, 331–334. [Google Scholar] [CrossRef]
- Ying, M.; Zhang, W.; Yu, H.; Lu, X.; Feng, J.; Fan, Y.; Zhu, Y.; Chen, D. An overview of the China Meteorological Administration tropical cyclone database. J. Atmos. Ocean. Technol. 2014, 31, 287–301. [Google Scholar] [CrossRef]
- Lu, X.Q.; Yu, H.; Ying, M.; Zhao, B.K.; Zhang, S.; Lin, L.M.; Bai, L.N.; Wan, R.J. Western North Pacific tropical cyclone database created by the China Meteorological Administration. Adv. Atmos. Sci. 2021, 38, 690–699. [Google Scholar] [CrossRef]
- Gray, W.M. Global view of the origin of tropical disturbances and storms. Mon. Weather Rev. 1968, 96, 669–700. [Google Scholar] [CrossRef]
- Emanuel, K.A. An air–sea interaction theory for tropical cyclones. Part I: Steady-state maintenance. J. Atmos. Sci. 1986, 43, 585–604. [Google Scholar] [CrossRef]
- Harr, P.A.; Elsberry, R.L. Large-scale circulation variability over the tropical westen North Pacific. Part I: Spatial patterns and tropical cyclone characteristics. Mon. Weather Rev. 1995, 123, 1225–1246. [Google Scholar] [CrossRef]
- Mao, J.; Wu, G. Barotropic process contributing to the formation and growth of tropical cyclone Nargis. Adv. Atmos. Sci. 2011, 28, 483–491. [Google Scholar] [CrossRef]
- Gao, R.; Zhou, F. Monsoonal characteristics revealed by intraseasonal variability of Sea Surface Temperature (SST) in the South China Sea (SCS). Geophys. Res. Lett. 2002, 29, L1222. [Google Scholar] [CrossRef]
- Vaid, B.H.; Polito, P.S. Influence of the South China Sea biweekly sea surface temperature on the South China Sea summer monsoon especially during the Indian Ocean Dipole. Atmos. Ocean 2016, 54, 48–59. [Google Scholar] [CrossRef]
- Achuthavarier, D.; Krishnamurthy, V. Daily modes of South Asian summer monsoon variability in the NCEP climate forecast system. Clim. Dyn. 2011, 36, 1941–1958. [Google Scholar] [CrossRef]
- Shahi, N.K.; Rai, S.; Pandey, D.K. Prediction of daily modes of South Asian monsoon variability and its association with Indian and Pacific Ocean SST in the NCEP CFS v2. Meteorol. Atmos. Phys. 2016, 128, 131–142. [Google Scholar] [CrossRef]
- Shahi, N.K.; Rai, S.; Shahi, A.K.; Abhilash, S. Intra-seasonal variability of the South Asian monsoon and its relationship with the Indo–Pacific sea-surface temperature in the NCEP CFSv2. Int. J. Climatol. 2018, 38, 28–47. [Google Scholar] [CrossRef]
- Lin, I.I.; Wu, C.C.; Pun, I.F.; Ko, D.S. Upper ocean thermal structure and the western North Pacific category-5 typhoons. Part I: Ocean features and category-5 typhoon’s intensification. Mon. Weather Rev. 2008, 136, 3288–3306. [Google Scholar] [CrossRef]
- Goni, G.J.; Trinanes, J.A. Ocean thermal structure monitoring could aid in the intensity forecast of tropical cyclones. Eos Trans. Am. Geophys. Union 2003, 84, 573–578. [Google Scholar] [CrossRef]
- Lin, I.I.; Pun, I.F.; Wu, C.C. Upper ocean thermal structure and the western North Pacific category-5 typhoons. Part II: Dependence on translation speed. Mon. Weather Rev. 2009, 137, 3744–3757. [Google Scholar] [CrossRef]
- Lin, I.I.; Chen, C.H.; Pun, I.F.; Liu, W.T.; Wu, C.C. Warm ocean anomaly, air sea fluxes, and the rapid intensification of tropical cyclone Nargis (2008). Geophys. Res. Lett. 2009, 36, L03817. [Google Scholar] [CrossRef]
- Shay, L.K.; Goni, G.J.; Black, P.G. Effects of a warm oceanic feature on hurricane Opal. Mon. Weather Rev. 2000, 128, 1366–1383. [Google Scholar] [CrossRef]
- Leipper, D.; Volgenau, D. Hurricane heat potential of the Gulf of Mexico. J. Phys. Oceanogr. 1972, 2, 218–224. [Google Scholar] [CrossRef]
- Pun, I.-F.; Lin, I.I.; Wu, C.R.; Ko, D.S.; Liu, W.T. Validation and application of altimetry-derived upper ocean thermal structure in the western North Pacific Ocean for typhoon intensity forecast. IEEE Trans. Geosci. Remote Sens. 2007, 45, 1616–1630. [Google Scholar] [CrossRef]
- Wada, A.; Chan, J.C.L. Relationship between typhoon activity and upper ocean heat content. Geophys. Res. Lett. 2008, 35, L17603. [Google Scholar] [CrossRef]
- Wada, A.; Usui, N.; Sato, K. Relationship of maximum tropical cyclone intensity to sea surface temperature and tropical cyclone heat potential in the North Pacific Ocean. J. Geophys. Res. 2012, 117, D11118. [Google Scholar] [CrossRef]
- Emanuel, K.A. Thermodynamic control of hurricane intensity. Nature 1999, 401, 665–669. [Google Scholar] [CrossRef]
- Huffman, G.J.; Stocker, E.F.; Bolvin, D.T.; Nelkin, E.J.; Tan, J. GPM IMERG Final Precipitation L3 Half Hourly 0.1 Degree × 0.1 Degree V06. Greenbelt, MD, Goddard Earth Sciences Data and Information Services Center (GES DISC). 2019. Available online: https://disc.gsfc.nasa.gov/datasets/GPM_3IMERGHH_06/summary (accessed on 3 May 2023).
- Hersbach, H.; Bell, B.; Berrisford, P.; Biavati, G.; Horányi, A.; Muñoz Sabater, J.; Nicolas, J.; Peubey, C.; Radu, R.; Rozum, I.; et al. ERA5 Hourly Data on Pressure Levels from 1940 to Present. Copernicus Climate Change Service (C3S) Climate Data Store (CDS). 2023. Available online: https://cds.climate.copernicus.eu/cdsapp#!/dataset/10.24381/cds.bd0915c6?tab=overview (accessed on 10 May 2023).
- Liu, J.; Lin, W.; Dong, X.; Lang, S.; Yun, R.; Zhu, D.; Zhang, K.; Sun, C.; Mu, B.; Ma, J.; et al. First results from the rotating fan beam scatterometer onboard CFOSAT. IEEE Trans. Geosci. Remote Sens. 2020, 58, 8793–8806. [Google Scholar] [CrossRef]
- Hauser, D.; Tourain, C.; Hermozo, L.; Alraddawi, D.; Aouf, L.; Chapron, B.; Dalphinet, A.; Delaye, L.; Dalila, M.; Dormy, E.; et al. New observations from the SWIM radar on-board CFOSAT: Instrument validation and ocean wave measurement assessment. IEEE Trans. Geosci. Remote Sens. 2021, 59, 5–26. [Google Scholar] [CrossRef]
- Gould, J.; Roemmich, D.; Wijffels, S.; Freeland, H.; Riser, S. Argo profiling floats bring new era of in situ ocean observations. Eos Trans. Am. Geophys. Union 2004, 85, 190–191. [Google Scholar] [CrossRef]
- Locarnini, R.A.; Mishonov, A.V.; Antonov, J.I.; Boyer, T.P.; Garcia, H.E.; Baranova, O.K.; Zweng, M.M.; Johnson, D.R. World Ocean Atlas 2009, Volume 1: Temperature; NOAA Atlas NESDIS 68; Levitus, S., Ed.; Government Printing Office: Washington, DC, USA, 2010; p. 184.
- Yu, L.; Weller, R.A. Objectively analyzed air–sea heat fluxes for the global ice-free oceans (1981–2005). Bull. Am. Meteorol. Soc. 2010, 88, 527–539. [Google Scholar] [CrossRef]
- Lindzen, R.S.; Nigam, S. On the role of sea surface temperature gradients in forcing low-level winds and convergence in the tropics. J. Atmos. Sci. 1987, 44, 2418–2436. [Google Scholar] [CrossRef]
- Wu, G.; Guan, Y.; Liu, Y.; Yan, J.; Mao, J. Air–sea interaction and formation of the Asian summer monsoon onset vortex over the Bay of Bengal. Clim. Dyn. 2012, 38, 261–279. [Google Scholar] [CrossRef]
- Richard, A.D.; McBride, J.L. Sea surface temperature response to tropical cyclones. Mon. Weather Rev. 2011, 39, 3798–3808. [Google Scholar]
- Cione, J.J.; Uhlhorn, E.W. Sea surface temperature variability in hurricanes: Implications with respect to intensity change. Mon. Weather Rev. 2003, 131, 1783–1796. [Google Scholar] [CrossRef]
- Lin, I.I.; Wu, C.C.; Emanuel, K.A.; Lee, I.H.; Wu, C.R.; Pun, I.F. The interaction of supertyphoon Maemi (2003) with a warm ocean eddy. Mon. Weather Rev. 2005, 133, 2635–2649. [Google Scholar] [CrossRef]
- Su, J.; Xu, J.; Cai, S.; Wang, O. Gyres and eddies in the South China Sea. In Onset and Evolution of the South China Sea Monsoon and Its Interaction with the Ocean; Ding, Y., Li, C., Eds.; China Meteorological Press: Beijing, China, 1999; pp. 272–279. [Google Scholar]
- Fang, W.; Fang, G.; Shi, P.; Huang, Q.; Xie, Q. Seasonal structures of upper layer circulation in the southern south China sea from in situ observations. J. Geophys. Res. 2002, 107, 3202. [Google Scholar] [CrossRef]
- Wang, G.; Su, J.; Chu, P.C. Mesoscale eddies in the South China Sea observed with altimeter data. Geophys. Res. Lett. 2003, 30, 2121. [Google Scholar] [CrossRef]
Disclaimer/Publisher’s Note: The statements, opinions and data contained in all publications are solely those of the individual author(s) and contributor(s) and not of MDPI and/or the editor(s). MDPI and/or the editor(s) disclaim responsibility for any injury to people or property resulting from any ideas, methods, instructions or products referred to in the content. |
© 2023 by the authors. Licensee MDPI, Basel, Switzerland. This article is an open access article distributed under the terms and conditions of the Creative Commons Attribution (CC BY) license (https://creativecommons.org/licenses/by/4.0/).