Non-Thermal Nitric Oxide Formation in the Earth’s Polar Atmosphere
Abstract
1. Introduction
2. Materials and Methods
2.1. Suprathermal N Atom Formation Due to the Auroral Electron Precipitation and Odd Nitrogen Chemistry
2.2. The Kinetic Monte Carlo Model for Suprathermal N Atom Kinetics and Transport in the Planetary Atmosphere
- (a)
- The differential and total cross-sections dependent on the collision energy for reaction (1);
- (b)
- The energy distribution function of fresh nitrogen atoms formed in reaction (1);
- (c)
- The branching ratios describing the probabilities to form N atoms in the ground and electron excited states.
3. Results
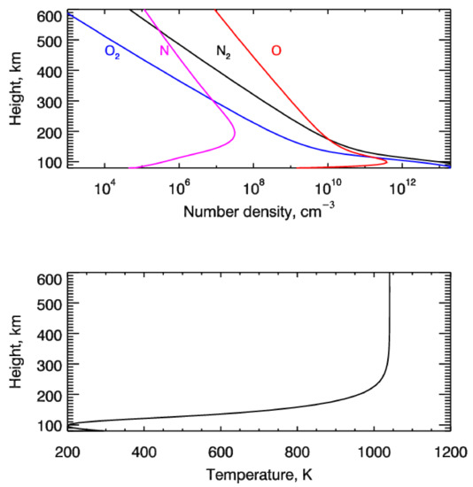
3.1. Distribution of the Suprathermal N(4S) Atoms in the Polar Upper Atmosphere
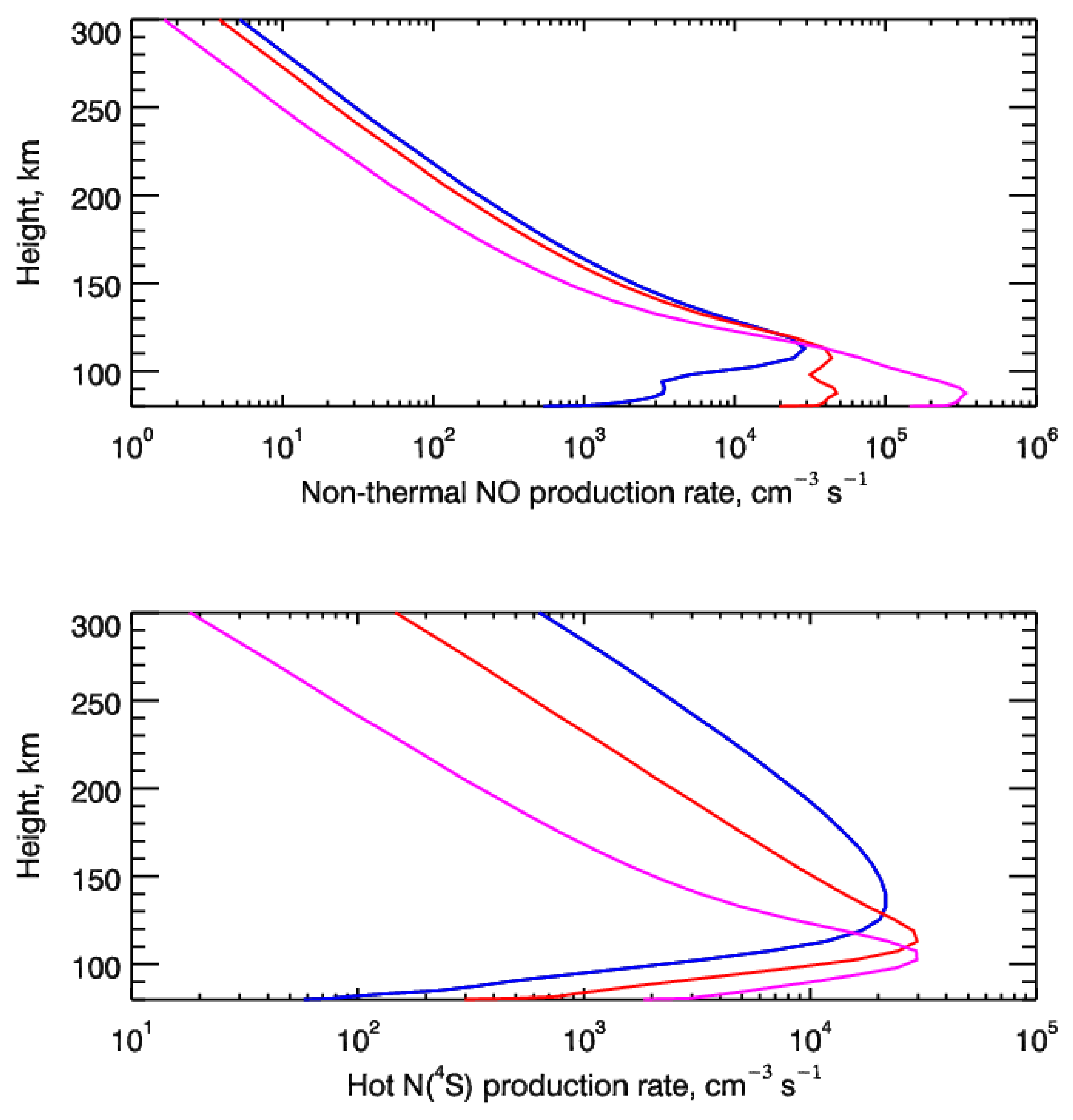
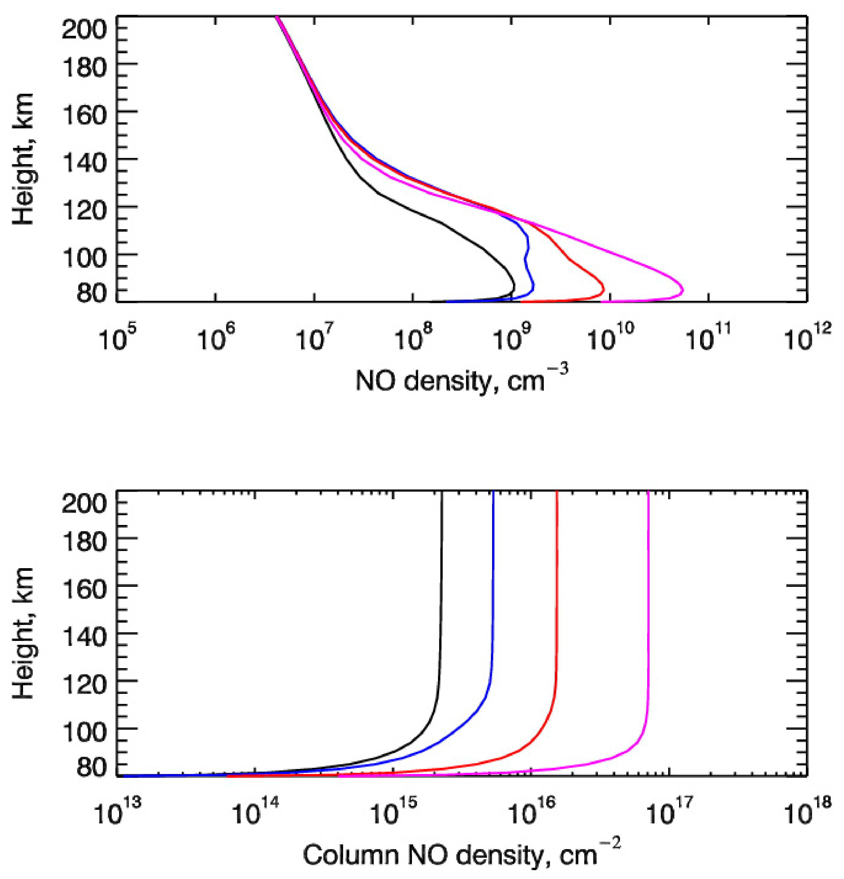
3.2. Non-Thermal NO Production Due to the Auroral Electron Precipitation
- Peak NO number densities in low thermosphere heights between 80 and 110 km—no hot N(4S) atom input—1.1 × 108 cm−3 at h = 85 km; with hot N(4S) atom input—Case A—3.5 × 109 cm−3 between h = 85 and h = 105 km; Case B—9.0 × 109 cm−3 at h = 85 km; and Case C—5.7 × 1010 cm−3 at h = 85 km.
- Column NO densities—no hot N(4S) atom input—2.5 × 1015 cm−2; Case A—8.4 × 1015 cm−2; Case B—1.7 × 1016 cm−2; and Case C—7.9 × 1016 cm−2.
4. Discussion
Author Contributions
Funding
Institutional Review Board Statement
Informed Consent Statement
Data Availability Statement
Acknowledgments
Conflicts of Interest
References
- De Wit, T.D.; Ermolli, I.; Haberreiter, M.; Kambezidis, H.; Lam, M.M.; Lilensten, J.; Matthes, K.; Mironova, I.; Schmidt, H.; Seppälä, A.; et al. (Eds.) Earth’s Climate Response to a Changing Sun; EDP Science: Les Ulis, France, 2015. [Google Scholar] [CrossRef]
- Seppälä, A.; Funke, B.; Verronen, P. Impact of energetic particle precipitation on atmospheric chemistry and climate. In Earth’s Climate Response to a Changing Sun; EDP Science: Les Ulis, France, 2015; pp. 267–272. [Google Scholar] [CrossRef]
- Rozanov, E.V.; Calisto, M.; Egorova, T.A.; Peter, T.; Schmutz, W.K. Influence of the precipitating energetic particles on atmospheric chemistry and climate. Survays Geophys. 2012, 33, 483–501. [Google Scholar] [CrossRef]
- Lammer, H.; Sproß, L.; Grenfell, J.L.; Scherf, M.; Fossati, L.; Lendl, M.; Cubillos, P.E. The Role of N2 as a Geo-Biosignature for the Detection and Characterization of Earth-like Habitats. Astrobiology 2019, 19, 927–950. [Google Scholar] [CrossRef] [PubMed]
- Sproß, L.; Scherf, M.; Shematovich, V.I.; Bisikalo, D.V.; Lammer, H. Life is the Only Reason for the Existence of N2-O2-Dominated Atmospheres. Astron. Rep. 2021, 65, 275–296. [Google Scholar] [CrossRef]
- Tsurikov, G.N.; Bisikalo, D.V. On the Possibility of Observing Nitric Oxide on Terrestrial Exoplanets Using the WSO-UV Observatory. Astron. Rep. 2023, 67, 125–143. [Google Scholar] [CrossRef]
- Boyarchuk, A.A.; Shustov, B.M.; Savanov, I.S.; Sachkov, M.E.; Bisikalo, D.V.; Mashonkina, L.I.; Wiebe, D.Z.; Shematovich, V.I.; Shchekinov, Y.A.; Ryabchikova, T.A.; et al. Scientific problems addressed by the Spektr-UV space project (world space Observatory—Ultraviolet). Astron. Rep. 2016, 60, 1–42. [Google Scholar] [CrossRef]
- Bisikalo, D.V.; Shematovich, V.I.; Kaygorodov, P.V.; Zhilkin, A.G. Extended envelopes of hot Jupiters. Phys. Uspiekhy 2021, 64, 747–800. [Google Scholar] [CrossRef]
- Bisikalo, D.; Shematovich, V.; Hubert, B. The Kinetic Monte Carlo Model of the Auroral Electron Precipitation into N2-O2 Planetary Atmospheres. Universe 2022, 8, 437. [Google Scholar] [CrossRef]
- Gérard, J.C.; Barth, C.A. High-latitude nitric oxide in the lower thermosphere. J. Geophys. Res. 1977, 82, 674–680. [Google Scholar] [CrossRef]
- Barth, C.A.; Bailey, S.C.; Solomon, S.C. Solar–terrestrial coupling: Solar soft x-rays and thermospheric nitric oxide. Geophys. Res. Lett. 1999, 26, 1251–1254. [Google Scholar] [CrossRef]
- Barth, C.A.; Baker, D.N.; Mankoff, K.D.; Bailey, S.M. The northern auroral region as observed in nitric oxide. Geophys. Res. Lett. 2001, 28, 1463–1466. [Google Scholar] [CrossRef]
- Barth, C.A.; Mankoff, K.D.; Bailey, S.M.; Solomon, S.C. Global observations of nitric oxide in the thermosphere. J. Geophys. Res. 2003, 108, 1027–1038. [Google Scholar] [CrossRef]
- Dothe, H.; Duff, J.W.; Sharma, R.H.; Wheeler, N.B.; Wise, J.O. A model of odd nitrogen in the aurorally dosed nighttime terrestrial thermosphere. J. Geophys. Res. 2002, 107, 1071. [Google Scholar] [CrossRef]
- Sætre, C.; Barth, C.A.; Stadsnes, J. Thermospheric nitric oxide at higher latitudes: Model calculations with auroral energy input. J. Geophys. Res. 2007, 112, A08306. [Google Scholar] [CrossRef]
- Solomon, S.C. Auroral particle transport using Monte Carlo and hybrid methods. J. Geophys. Res. 2001, 106, 107–116. [Google Scholar] [CrossRef]
- Solomon, S.C. Global modeling of thermospheric airglow in the far ultraviolet. J. Geophys. Res. Space Phys. 2017, 122, 7834–7848. [Google Scholar] [CrossRef]
- Shematovich, V.I.; Bisikalo, D.V.; Gérard, J.C.; Cox, C.; Bougher, S.W.; Leblanc, F. Monte Carlo model of electron transport for the calculation of Mars dayglow emissions. J. Geophys. Res. 2008, 113, E02011. [Google Scholar] [CrossRef]
- Gérard, J.C.; Hubert, B.; Shematovich, V.I.; Bisikalo, D.V.; Gladstone, G.R. The Venus ultraviolet oxygen dayglow and aurora: Model comparison with observations. Planet. Space Sci. 2008, 56, 542–552. [Google Scholar] [CrossRef]
- Shematovich, V.I. Suprathermal particles in astrochemistry. Russ. Chem. Rev. 2019, 88, 1013–1045. [Google Scholar] [CrossRef]
- Shematovich, V.I.; Bisikalo, D.V.; Gérard, J.-C. Non-thermal nitrogen atoms in the earth’s thermosphere. I—Kinetics of hot N(4S). Geophys. Res. Lett. 1991, 18, 1691–1693. [Google Scholar] [CrossRef]
- Gérard, J.-C.; Shematovich, V.I.; Bisikalo, D.V. Non-thermal nitrogen atoms in the earth’s thermosphere. II—A source of nitric oxide. Geophys. Res. Lett. 1991, 18, 1695–1697. [Google Scholar]
- Gérard, J.C.; Shematovich, V.I.; Bisikalo, D.V.; Duff, J.W. An updated model of the hot nitrogen atom kinetics and thermospheric nitric oxide. J. Geophys. Res. 1997, 102, 285–292. [Google Scholar] [CrossRef]
- Bermejo-Pantaleón, D.; Funke, B.; López-Puertas, M.; García-Comas, M.; Stiller, G.P.; Von Clarmann, T.; Linden, A.; Grabowski, U.; Höpfner, M.; Kiefer, M.; et al. Global observations of thermospheric temperature and nitric oxide from MIPAS spectra at 5.3 μm. J. Geophys. Res. Space Phys. 2011, 116, A10313. [Google Scholar] [CrossRef]
- Hubert, B.; Gérard, J.-C.; Shematovich, V.I.; Bisikalo, D.V. High rotational excitation of NO infrared thermospheric airglow: A signature of superthermal nitrogen atoms? Geophys. Res. Lett. 1996, 23, 2215–2218. [Google Scholar] [CrossRef]
- Venkataramani, K.; Yonker, J.D.; Bailey, S.M. Contribution of chemical processes to infrared emissions from nitric oxide in the thermosphere. J. Geophys. Res. Space Phys. 2016, 121, 2450–2461. [Google Scholar] [CrossRef]
- Shematovich, V.I.; Bisikalo, D.V.; Gérard, J.-C. The thermospheric odd nitrogen photochemistry: Role of non-thermal N(4S) atoms. Ann. Geophys. 1992, 10, 792–801. [Google Scholar]
- Duff, J.W.; Dothe, H.; Sharma, R.H. A first-principles model of spectrally resolved 5.3 micron nitric oxide emission from aurorally dosed nighttime high-altitude terrestrial thermosphere. Geophys. Res. Lett. 2005, 32, L17108. [Google Scholar] [CrossRef]
- Cosby, P.C. Electron-impact dissociation of nitrogen. J. Chem. Phys. 1993, 98, 9544–9553. [Google Scholar] [CrossRef]
- Hedin, A.E. Extension of the MSIS thermosphere model into the middle and lower atmosphere. J. Geophys. Res. 1991, 96, 1159–1172. [Google Scholar] [CrossRef]
- Akasofu, S.-I. Exploring the Secrets of the Aurora; Astrophysics and Space Science Library; Springer: Berlin, Germany, 2007; Volume 346. [Google Scholar]
- Decker, D.T.; Kozelov, B.V.; Basu, B.; Jasperse, J.R.; Ivanov, V.E. Collisional degradation of the proton-H atom fluxes in the atmosphere: A comparison of theoretical techniques. J. Geophys.Res. 1996, 101, 26947–26960. [Google Scholar] [CrossRef]
- Kharchenko, V.; Balakrishnan, N.; Dalgarno, A. Thermalization of fast nitrogen atoms in elastic and inelastic collisions with molecules of atmospheric gases. J. Ofatmospheric Sol.-Terr. Phys. 1998, 60, 95–106. [Google Scholar] [CrossRef]
- Balakrishnan, N.; Kharchenko, V.; Dalgarno, A. Quantum mechanical and semiclassical studies of N + N2 collisions and their application to thermalization of fast N atoms. J. Chem. Phys. 1998, 108, 943–949. [Google Scholar] [CrossRef]
- Balakrishnan, N.; Sergueeva, E.; Kharchenko, V.; Dalgarno, A. Kinetics and thermalization of hot N(4S) atoms in the upper atmosphere. J. Geophys. Res. 2000, 105, 18549–18555. [Google Scholar] [CrossRef]
- Nakayama, T.; Takahashi, K.; Matsumi, Y. Thermalization cross sections of suprathermal N(4S) atoms in collisions with atmospheric molecules. Geophys. Res. Lett. 2005, 32, L24803. [Google Scholar] [CrossRef]
- Solomon, S. The possible effect of translationally excited nitrogen atoms on lower thermospheric odd nitrogen. Planet. Space Sci. 1983, 31, 135–144. [Google Scholar] [CrossRef]
- Dothe, H.; Sharma, R.H.; Duff, J.W. On the steady-state assumption for the energy distribution function of the nonthermal N(4S) atoms and the efficiency of NO production by these atoms in the terrestrial thermosphere. Geophys. Res. Lett. 1997, 24, 3233–3236. [Google Scholar] [CrossRef]
- Caledonia, G.E.; Krech, R.H.; Oakes, D.B.; Lipson, S.J.; Blumberg, W.A.M. Products of the reaction of 8 km/s N (4S) and O2. J. Geophys. Res. 2000, 105, 12833–12837. [Google Scholar] [CrossRef]
- Duff, J.W.; Sharma, R.D. Quasiclassical trajectory study of the N (4S) + NO(2II)→N2(X1Σ+g) + O(3P) reaction rate coefficient. Geophys. Res. Lett. 1996, 23, 2777–2780. [Google Scholar] [CrossRef]
- Balakrishnan, N.; Dalgarno, A. Rate coefficients for NO formation in energetic N+O2 collisions. Chem. Phys. Lett. 1999, 302, 485–488. [Google Scholar] [CrossRef]
- Sultanov, R.A.; Balakrishnan, N. Quantum mechanical investigations of the N(4S)+O2(X 3Σg-)-->NO(X 2Π)+O(3P) reaction. J. Chem. Phys. 2006, 124, 124321. [Google Scholar] [CrossRef]
- Esposito, F.; Armenise, I. Reactive, Inelastic, and Dissociation Processes in Collisions of Atomic Nitrogen with Molecular Oxygen. J. Phys. Chem. A 2021, 125, 3953–3964. [Google Scholar] [CrossRef]
- Sayos, R.; Oliva, C.; Gonzalez, M. New analyticalsurfaces and theoretical rate constants for the N(4S)+O2 reaction. J. Chem. Phys. 2002, 117, 670–678. [Google Scholar] [CrossRef]
- Lin, C.I.; Kaufman, F. Reactions of metastable nitrogen atoms. J. Chem. Phys. 1971, 55, 3760. [Google Scholar] [CrossRef]
- Bailey, S.M.; Barth, C.A.; Solomon, S.C. A model of nitric oxide in the lower thermosphere. J. Geophys. Res. 2002, 107, 1205. [Google Scholar] [CrossRef]
- Cleary, D.D. Daytime High-Latitude Rocket Observations of the NO γ, δ, ε bands. J. Geophys. Res. 1986, 91, 11337–11344. [Google Scholar] [CrossRef]
- Colegrove, F.D.; Hanson, W.B.; Johnson, F.S. Eddy diffusion and oxygen transport in the lower thermosphere. J. Geophys. Res. 1965, 70, 4931–4941. [Google Scholar] [CrossRef]
- Lee, J.H.; Michael, J.V.; Payne, W.A.; Stief, L.J. Absolute rate of the reaction of N(4S) with NO from 196–400 K with DF–RF and FP–RF techniques. J. Chem. Phys. 1978, 69, 3069–3076. [Google Scholar] [CrossRef]
- Samarskii, A.A.; Nikolaev, E.S. Numerical Methods for Grid Equations: Volume I Direct Methods; Birkhäuser: Basel, Switzerland, 1989. [Google Scholar]
- Vidotto, A.A. The evolution of the solar wind. Living Rev. Sol. Phys. 2021, 18, 3. [Google Scholar] [CrossRef]
- Nakayama, A.; Ikoma, M.; Terada, N. Survival of Terrestrial N2–O2 Atmospheres in Violent XUV Environments through Efficient Atomic Line Radiative Cooling. Astrophys. J. 2022, 937, 72. [Google Scholar] [CrossRef]






Disclaimer/Publisher’s Note: The statements, opinions and data contained in all publications are solely those of the individual author(s) and contributor(s) and not of MDPI and/or the editor(s). MDPI and/or the editor(s) disclaim responsibility for any injury to people or property resulting from any ideas, methods, instructions or products referred to in the content. |
© 2023 by the authors. Licensee MDPI, Basel, Switzerland. This article is an open access article distributed under the terms and conditions of the Creative Commons Attribution (CC BY) license (https://creativecommons.org/licenses/by/4.0/).
Share and Cite
Shematovich, V.; Bisikalo, D.; Tsurikov, G. Non-Thermal Nitric Oxide Formation in the Earth’s Polar Atmosphere. Atmosphere 2023, 14, 1092. https://doi.org/10.3390/atmos14071092
Shematovich V, Bisikalo D, Tsurikov G. Non-Thermal Nitric Oxide Formation in the Earth’s Polar Atmosphere. Atmosphere. 2023; 14(7):1092. https://doi.org/10.3390/atmos14071092
Chicago/Turabian StyleShematovich, Valery, Dmitry Bisikalo, and Grigory Tsurikov. 2023. "Non-Thermal Nitric Oxide Formation in the Earth’s Polar Atmosphere" Atmosphere 14, no. 7: 1092. https://doi.org/10.3390/atmos14071092
APA StyleShematovich, V., Bisikalo, D., & Tsurikov, G. (2023). Non-Thermal Nitric Oxide Formation in the Earth’s Polar Atmosphere. Atmosphere, 14(7), 1092. https://doi.org/10.3390/atmos14071092

