Future Projection of Drought Risk over Indian Meteorological Subdivisions Using Bias-Corrected CMIP6 Scenarios
Abstract
1. Introduction
2. Materials and Methods
2.1. Study Area
2.2. Observation Datasets
2.3. Model Datasets
2.4. Methodology
2.4.1. Downscaling and Empirical Quantile Mapping (EQM) Bias Correction
2.4.2. Standard Precipitation Index (SPI)—Drought Index
2.4.3. CMIP6 Bias Corrected Model Selection and Ensemble Product
3. Results
3.1. Spatial–Temporal Variability of Observed Rainfall Climatology over Indian Sub-Continent
3.2. Inter Annual Variability of Monsoon Rainfall
3.3. Decadal Variability of Dry and Wet Events
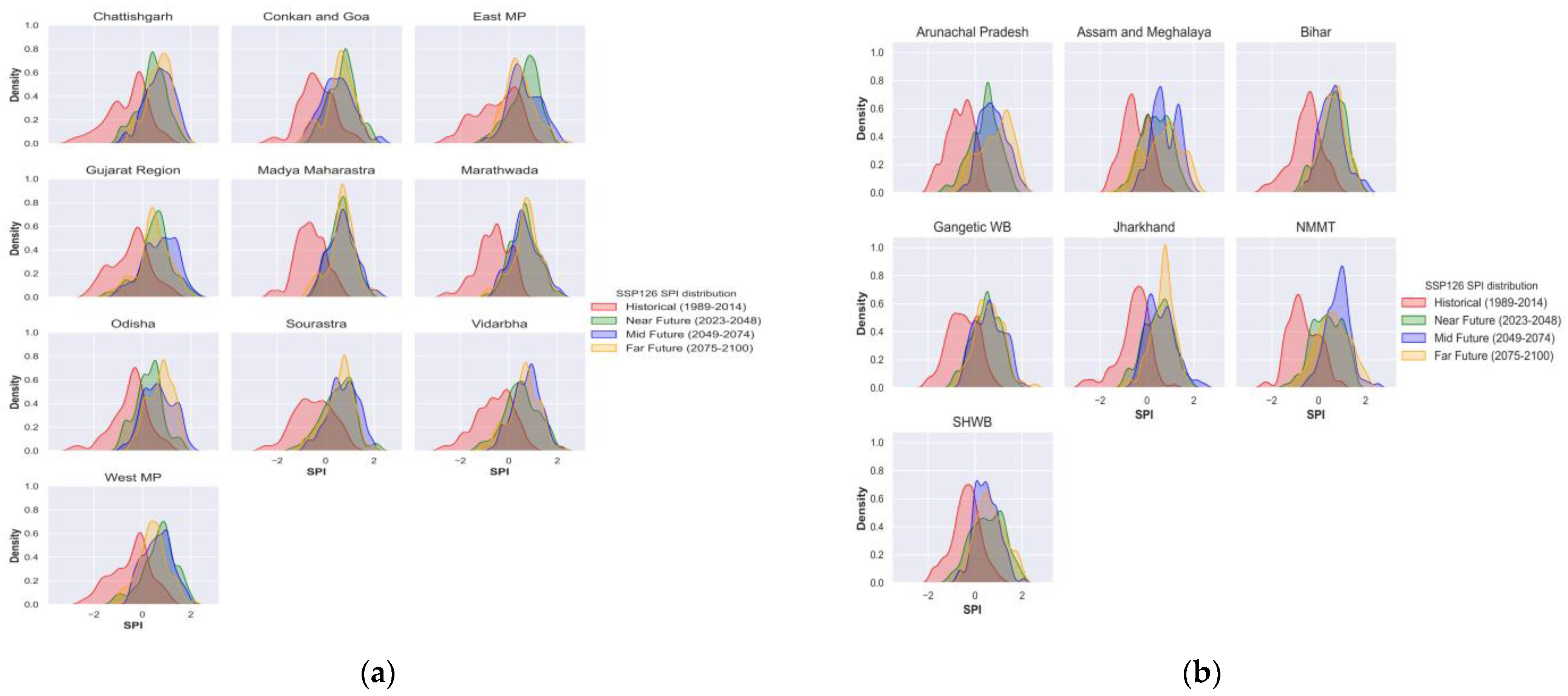
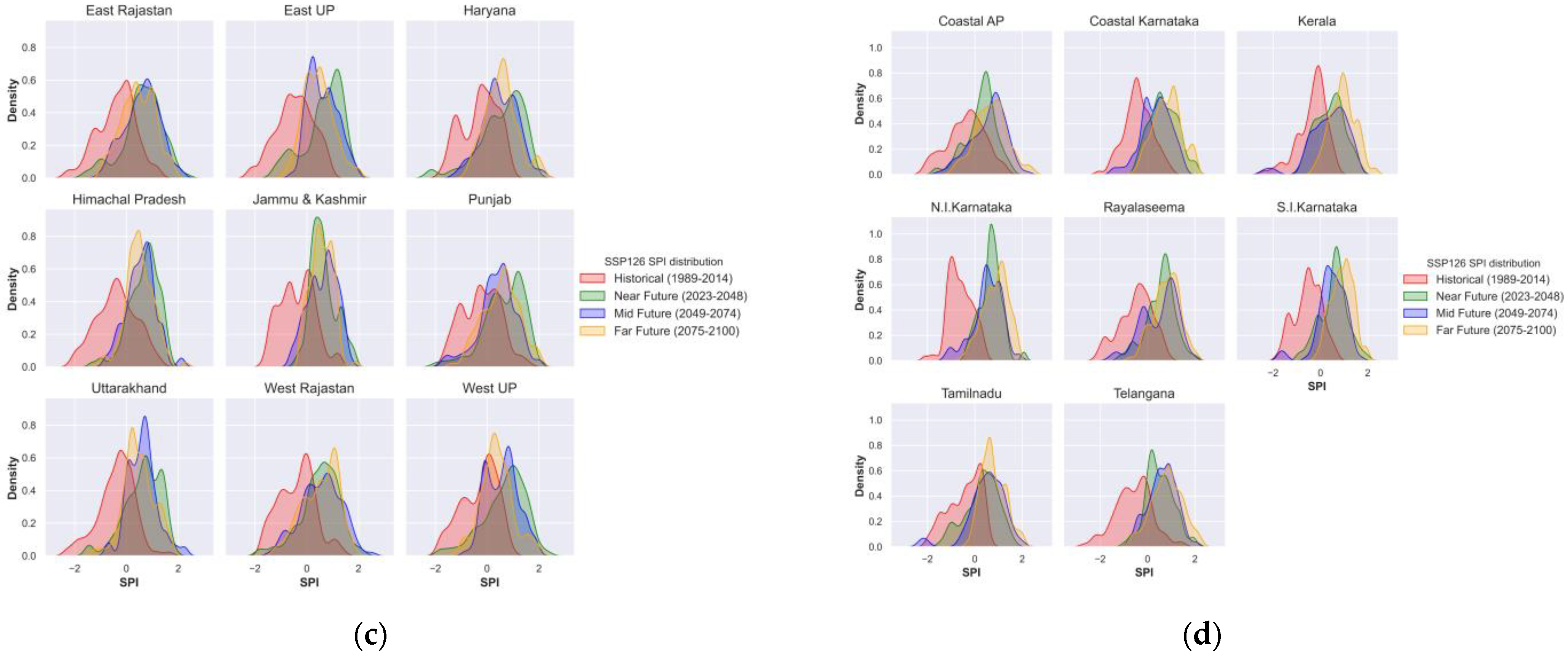
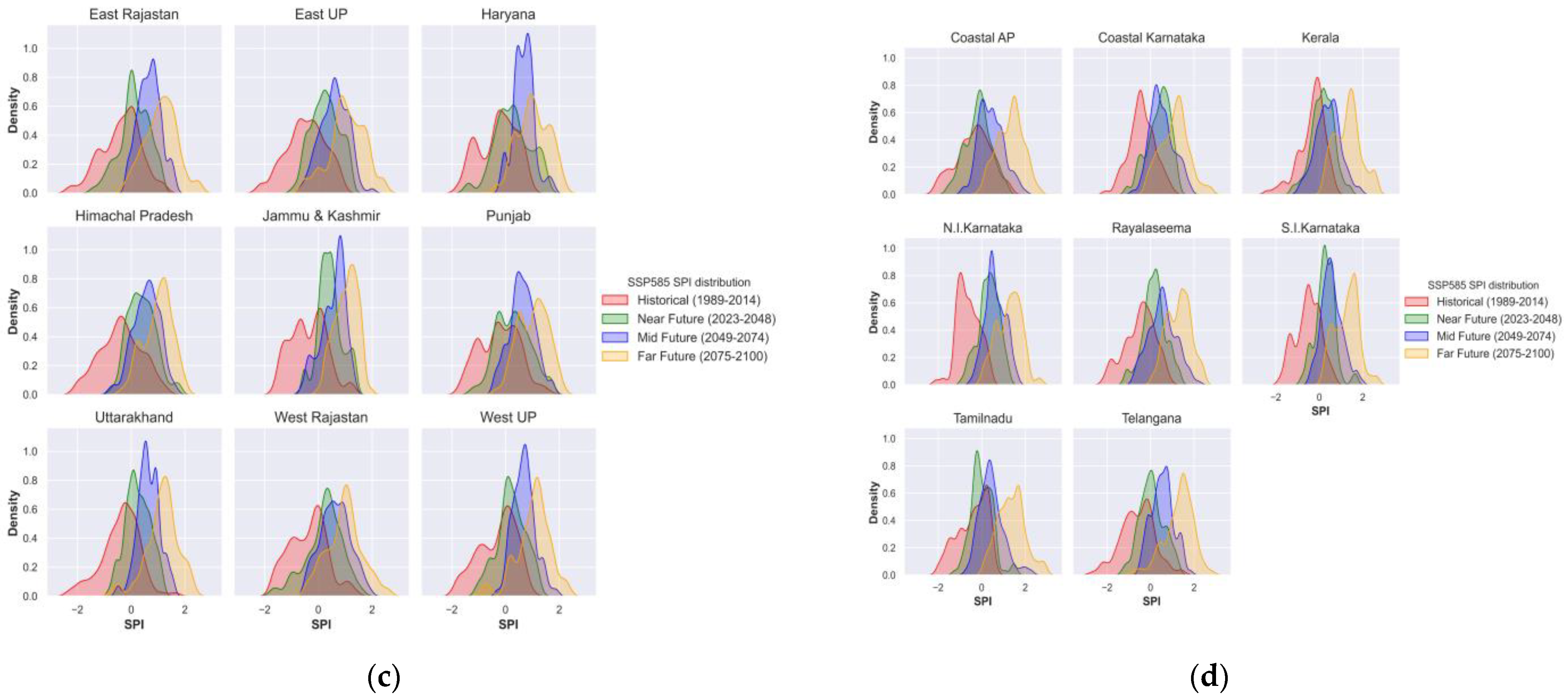
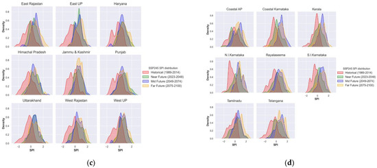
3.4. Bias-Corrected CMIP6 Projected Changes in the Frequency of Extreme Events (Dry/Wet)
4. Summary and Conclusions
Supplementary Materials
Author Contributions
Funding
Institutional Review Board Statement
Informed Consent Statement
Data Availability Statement
Acknowledgments
Conflicts of Interest
References
- Census of India. 2011. Available online: https://censusindia.gov.in/nada/index.php/catalog/1130 (accessed on 1 November 2022).
- Bachmair, S.; Kohn, I.; Stahl, K. Exploring the link between drought indicators and impacts. Nat. Hazards Earth Syst. Sci. 2015, 15, 1381–1397. [Google Scholar] [CrossRef]
- Mukherjee, S.; Aadhar, S.; Stone, D.; Mishra, V. Increase in extreme precipitation events under anthropogenic warming in India. Weather Clim. Extrem. 2018, 20, 45–53. [Google Scholar] [CrossRef]
- Sankriti, R.; Saravanan, S.; Aluru, M.; Singh, L.; Jennifer, J.J.; Abijith, D. Chapter 16—Identification of drought intensity and development of drought resilience in the Rayalaseema region of Andhra Pradesh, India. In Disaster Resilience and Sustainability; Pal, I., Shaw, R., Djalante, R., Shrestha, S., Eds.; Elsevier: Amsterdam, The Netherlands, 2021; pp. 357–377. [Google Scholar] [CrossRef]
- Vogt, J.V.; Safriel, U.; von Maltitz, G.; Sokona, Y.; Zougmore, R.; Bastin, G.; Hill, J. Monitoring and assessment of land degradation and desertification: Towards new conceptual and integrated approaches. Land Degrad. Dev. 2011, 22, 150–165. [Google Scholar] [CrossRef]
- Rajeevan, M.N.; Nayak, S. Springer Geology Observed Climate Variability and Change over the Indian Region; Springer EBooks; Springer: Singapore, 2017; Available online: http://www.myilibrary.com?id=968509 (accessed on 19 March 2023).
- Ghorbanpour, A.K.; Afshar, A.; Hessels, T.; Duan, Z. Water and productivity accounting using WA+ framework for sustainable water resources management: Case study of northwestern Iran. Phys. Chem. Earth 2022, 128, 103245. [Google Scholar] [CrossRef]
- Khatiwada, K.R.; Pandey, V.P. Characterization of hydro-meteorological drought in Nepal Himalaya: A case of Karnali River Basin. Weather Clim. Extrem. 2019, 26, 100239. [Google Scholar] [CrossRef]
- Trambauer, P.; Maskey, S.; Werner, M.; Pappenberger, F.; van Beek, L.P.H.; Uhlenbrook, S. Identification and simulation of space–time variability of past hydrological drought events in the Limpopo River basin, southern Africa. Hydrol. Earth Syst. Sci. 2014, 18, 2925–2942. [Google Scholar] [CrossRef]
- Uhe, P.; Philip, S.; Kew, S.; Shah, K.; Kimutai, J.; Mwangi, E.; van Oldenborgh, G.J.; Singh, R.; Arrighi, J.; Jjemba, E.; et al. Attributing drivers of the 2016 Kenyan drought. Int. J. Climatol. 2018, 38, e554–e568. [Google Scholar] [CrossRef]
- Wambura, F.J. Uncertainty of drought information in a data-scarce tropical river basin. J. Hydrol. Reg. Stud. 2020, 32, 100760. [Google Scholar] [CrossRef]
- Chan, S.S.; Seidenfaden, I.K.; Jensen, K.H.; Sonnenborg, T.O. Climate change impacts and uncertainty on spatiotemporal variations of drought indices for an irrigated catchment. J. Hydrol. 2021, 601, 126814. [Google Scholar] [CrossRef]
- Saharwardi, M.S.; Kumar, P. Future drought changes and associated uncertainty over the homogenous regions of India: A multimodel approach. Int. J. Climatol. 2022, 42, 652–670. [Google Scholar] [CrossRef]
- Kulkarni, A. Weakening of Indian summer monsoon rainfall in warming environment. Theor. Appl. Climatol. 2012, 109, 447–459. [Google Scholar] [CrossRef]
- Pattanaik, D.R.; Rajeevan, M. Variability of extreme rainfall events over India during southwest monsoon season. Meteorol. Appl. 2010, 17, 88–104. [Google Scholar] [CrossRef]
- Saha, A.; Ghosh, S. Can the weakening of Indian Monsoon be attributed to anthropogenic aerosols? Environ. Res. Commun. 2019, 1, 61006. [Google Scholar] [CrossRef]
- Kchouk, S.; Melsen, L.A.; Walker, D.W.; van Oel, P.R. A review of drought indices: Predominance of drivers over impacts and the importance of local context. Nat. Hazards Earth Syst. Sci. Discuss. 2021, 1–28. [Google Scholar] [CrossRef]
- Niranjan Kumar, K.; Rajeevan, M.; Pai, D.S.; Srivastava, A.K.; Preethi, B. On the observed variability of monsoon droughts over India. Weather Clim. Extrem. 2013, 1, 42–50. [Google Scholar] [CrossRef]
- O’Neill, B.C.; Tebaldi, C.; van Vuuren, D.P.; Eyring, V.; Friedlingstein, P.; Hurtt, G.; Knutti, R.; Kriegler, E.; Lamarque, J.F.; Lowe, J.; et al. The Scenario Model Intercomparison Project (ScenarioMIP) for CMIP6. Geosci. Model Dev. 2016, 9, 3461–3482. [Google Scholar] [CrossRef]
- Riahi, K.; van Vuuren, D.P.; Kriegler, E.; Edmonds, J.; O’Neill, B.C.; Fujimori, S.; Bauer, N.; Calvin, K.; Dellink, R.; Fricko, O.; et al. The Shared Socioeconomic Pathways and their energy, land use, and greenhouse gas emissions implications: An overview. Glob. Environ. Chang. 2017, 42, 153–168. [Google Scholar] [CrossRef]
- Ayugi, B.; Zhihong, J.; Zhu, H.; Ngoma, H.; Babaousmail, H.; Rizwan, K.; Dike, V. Comparison of CMIP6 and CMIP5 models in simulating mean and extreme precipitation over East Africa. Int. J. Climatol. 2021, 41, 6474–6496. [Google Scholar] [CrossRef]
- Dutta, U.; Hazra, A.; Chaudhari, H.S.; Saha, S.K.; Pokhrel, S.; Verma, U. Unraveling the global teleconnections of Indian summer monsoon clouds: Expedition from CMIP5 to CMIP6. Glob. Planet. Chang. 2022, 215, 103873. [Google Scholar] [CrossRef]
- Gusain, A.; Ghosh, S.; Karmakar, S. Added value of CMIP6 over CMIP5 models in simulating Indian summer monsoon rainfall. Atmos. Res. 2020, 232, 104680. [Google Scholar] [CrossRef]
- Hamed, M.M.; Nashwan, M.S.; Shahid, S.; bin Ismail, T.; Wang, X.; Dewan, A.; Asaduzzaman, M. Inconsistency in historical simulations and future projections of temperature and rainfall: A comparison of CMIP5 and CMIP6 models over Southeast Asia. Atmos. Res. 2022, 265, 105927. [Google Scholar] [CrossRef]
- Eyring, V.; Bony, S.; Meehl, G.A.; Senior, C.A.; Stevens, B.; Stouffer, R.J.; Taylor, K.E. Overview of the Coupled Model Intercomparison Project Phase 6 (CMIP6) experimental design and organization. Geosci. Model Dev. 2016, 9, 1937–1958. [Google Scholar] [CrossRef]
- Rajbanshi, J.; Das, S. The variability and teleconnections of meteorological drought in the Indian summer monsoon season: Implications for staple crop production. J. Hydrol. 2021, 603, 126845. [Google Scholar] [CrossRef]
- Aadhar, S.; Mishra, V. Challenges in drought monitoring and assessment in India. Water Secur. 2022, 16, 100120. [Google Scholar] [CrossRef]
- Arunrat, N.; Sereenonchai, S.; Chaowiwat, W.; Wang, C. Climate change impact on major crop yield and water footprint under CMIP6 climate projections in repeated drought and flood areas in Thailand. Sci. Total Environ. 2022, 807, 150741. [Google Scholar] [CrossRef] [PubMed]
- Katzenberger, A.; Schewe, J.; Pongratz, J.; Levermann, A. Robust increase of Indian monsoon rainfall and its variability under future warming in CMIP6 models. Earth Syst. Dyn. 2021, 12, 367–386. [Google Scholar] [CrossRef]
- Li, X.; Tan, L.; Li, Y.; Qi, J.; Feng, P.; Li, B.; Liu, D.L.; Zhang, X.; Marek, G.W.; Zhang, Y.; et al. Effects of global climate change on the hydrological cycle and crop growth under heavily irrigated management—A comparison between CMIP5 and CMIP6. Comput. Electron. Agric. 2022, 202, 107408. [Google Scholar] [CrossRef]
- Mishra, V.; Bhatia, U.; Tiwari, A.D. Bias-corrected climate projections for South Asia from Coupled Model Intercomparison Project-6. Sci. Data 2020, 7, 338. [Google Scholar] [CrossRef]
- Mondal, S.K.; Huang, J.; Wang, Y.; Su, B.; Zhai, J.; Tao, H.; Wang, G.; Fischer, T.; Wen, S.; Jiang, T. Doubling of the population exposed to drought over South Asia: CMIP6 multi-model-based analysis. Sci. Total Environ. 2021, 771, 145186. [Google Scholar] [CrossRef]
- Sreeparvathy, V.; Srinivas, V.V. Meteorological flash droughts risk projections based on CMIP6 climate change scenarios. NPJ Clim. Atmos. Sci. 2022, 5, 77. [Google Scholar] [CrossRef]
- Wang, T.; Tu, X.; Singh, V.P.; Chen, X.; Lin, K. Global data assessment and analysis of drought characteristics based on CMIP6. J. Hydrol. 2021, 596, 126091. [Google Scholar] [CrossRef]
- Zhai, J.; Mondal, S.K.; Fischer, T.; Wang, Y.; Su, B.; Huang, J.; Tao, H.; Wang, G.; Ullah, W.; Uddin, M.d.J. Future drought characteristics through a multi-model ensemble from CMIP6 over South Asia. Atmos. Res. 2020, 246, 105111. [Google Scholar] [CrossRef]
- Pai, D.S.; Sridhar, L.; Rajeevan, M.; Sreejith, O.P.; Satbhai, N.S.; Mukhopadhyay, B. Development of a new high spatial resolution (0.25° × 0.25°) long period (1901–2010) daily gridded rainfall data set over India and its comparison with existing data sets over the region. Mausam 2014, 65, 1–18. [Google Scholar] [CrossRef]
- Jena, P.; Garg, S.; Azad, S. Performance analysis of imd high-resolution gridded rainfall (0.25° × 0.25°) and satellite estimates for detecting cloudburst events over the Northwest Himalayas. J. Hydrometeorol. 2020, 21, 1549. [Google Scholar] [CrossRef]
- Rajeevan, M.; Bhate, J.; Kale, J.D.; Lal, B. High resolution daily gridded rainfall data for the Indian region: Analysis of break and active monsoon spells. Curr. Sci. 2008, 91, 296–306. [Google Scholar]
- Yatagai, A.; Kamiguchi, K.; Arakawa, O.; Hamada, A.; Yasutomi, N.; Kitoh, A. Aphrodite constructing a long-term daily gridded precipitation dataset for Asia based on a dense network of rain gauges. Bull. Am. Meteorol. Soc. 2012, 93, 1401–1415. [Google Scholar] [CrossRef]
- Agbazo, M.N.; Grenier, P. Characterizing and avoiding physical inconsistency generated by the application of univariate quantile mapping on daily minimum and maximum temperatures over Hudson Bay. Int. J. Climatol. 2020, 40, 3868–3884. [Google Scholar] [CrossRef]
- Hoffmann, H.; Rath, T. Meteorologically consistent bias correction of climate time series for agricultural models. Theor. Appl. Climatol. 2012, 110, 129–141. [Google Scholar] [CrossRef]
- Thrasher, B.; Maurer, E.P.; McKellar, C.; Duffy, P.B. Technical Note: Bias correcting climate model simulated daily temperature extremes with quantile mapping. Hydrol. Earth Syst. Sci. 2012, 16, 3309–3314. [Google Scholar] [CrossRef]
- Déqué, M. Frequency of precipitation and temperature extremes over France in an anthropogenic scenario: Model results and statistical correction according to observed values. Glob. Planet. Chang. 2007, 57, 16–26. [Google Scholar] [CrossRef]
- Saha, U.; Sateesh, M. Rainfall extremes on the rise: Observations during 1951–2020 and bias-corrected CMIP6 projections for near- and late 21st century over Indian landmass. J. Hydrol. 2022, 608, 127682. [Google Scholar] [CrossRef]
- Mckee, T.B.; Doesken, N.J.; Kleist, J. The relationship of drought frequency and duration to time scales. In Proceedings of the Eighth Conference on Applied Climatology, Anaheim, CA, USA, 17–22 January 1993. [Google Scholar]
- Edwards, D.C.; Mckee, T.B. Characteristics of 20th Century Drought in the United States at Multiple Time Scales; Atmospheric Science Paper; Colorado State University: Fort Collins, CO, USA, 1997; Volume 634, pp. 1–30. Available online: https://mountainscholar.org/handle/10217/170176 (accessed on 19 March 2023).
- Hayes, M.; Svoboda, M.; Wall, N.; Widhalm, M. The lincoln declaration on drought indices: Universal meteorological drought index recommended. Bull. Am. Meteorol. Soc. 2011, 92, 485–488. [Google Scholar] [CrossRef]
- Rajesh, P.; Goswami, B.N. Climate Change and Potential Demise of the Indian Deserts. arXiv 2022, arXiv:2212.13711. [Google Scholar] [CrossRef]
- Pal, L.; Ojha, C.S.P.; Dimri, A.P. Characterizing rainfall occurrence in India: Natural variability and recent trends. J. Hydrol. 2021, 603, 126979. [Google Scholar] [CrossRef]
- Guhathakurta, P.; Rajeevan, M. Trends in the rainfall pattern over India. Int. J. Climatol. 2008, 28, 1453–1469. [Google Scholar] [CrossRef]
- Guhathakurta, P.; Menon, P.; Inkane, P.M.; Krishnan, U.; Sable, S.T. Trends and variability of meteorological drought over the districts of India using standardized precipitation index. J. Earth Syst. Sci. 2017, 126, 120. [Google Scholar] [CrossRef]
- Krishnamurthy, V.; Ajayamohan, R.S. Composite Structure of Monsoon Low Pressure Systems and Its Relation to Indian Rainfall. J. Clim. 2010, 23, 4285–4305. [Google Scholar] [CrossRef]
- Vishnu, S.; Boos, W.R.; Ullrich, P.A.; O’Brien, T.A. Assessing Historical Variability of South Asian Monsoon Lows and Depressions With an Optimized Tracking Algorithm. J. Geophys. Res. Atmos. 2020, 125, e2020JD032977. [Google Scholar] [CrossRef]
- Bal, P.K.; Dasari, H.P.; Prasad, N.; Salunke, P.; Parihar, R.S. Variations of Energy Fluxes with ENSO, IOD and ISV of Indian Summer Monsoon Rainfall over the Indian Monsoon Region. Atmos. Res. 2021, 258, 105645. [Google Scholar] [CrossRef]
- Saha, K.; Guha, A.; Banik, T. Indian summer monsoon variability over North-East India: Impact of ENSO and IOD. J. Atmos. Sol.-Terr. Phys. 2021, 221, 105705. [Google Scholar] [CrossRef]
- Sankar, S.; Vijaykumar, P.; Abhilash, S.; Mohanakumar, K. Influence of the strongest positive Indian Ocean Dipole and an El Niño Modoki event on the 2019 Indian summer monsoon. Dyn. Atmos. Ocean. 2021, 95, 101235. [Google Scholar] [CrossRef]
- Mishra, V.; Thirumalai, K.; Jain, S.; Aadhar, S. Unprecedented drought in South India and recent water scarcity. Environ. Res. Lett. 2021, 16, 054007. [Google Scholar] [CrossRef]
- Bonacci, O.; Bonacci, D.; Roje-Bonacci, T.; Vrsalovic, A. Proposal of a new method for drought analysis. J. Hydrol. Hydromech. 2023, 71, 100–110. [Google Scholar] [CrossRef]


















| S. No. | CMIP6 Model Name | Horizontal Resolution (Long × Lat in Degrees) | Variant Label | Country of the Modeling Group |
|---|---|---|---|---|
| 1 | CESM2-WACCM | 1.25 × 0.9375 | r1i1p1f1 | National Center for Atmospheric Research, USA |
| 2 | EC-Earth3 | 0.703125 × 0.703125 | r1i1p1f1 | EC-Earth-Consortium, Europe |
| 3 | EC-Earth3-Veg | 0.703125 × 0.703125 | r1i1p1f1 | EC-Earth-Consortium, Europe |
| 4 | KACE-1-0-G | 1.875 × 1.25 | r1i1p1f1 | National Institute of Meteorological Sciences (NIMS), National Institute of Meteorological Sciences (NIMS), Korea |
| 5 | KIOST-ESM | 1.875 × 1.875 | r1i1p1f1 | Korea Institute of Ocean Science and Technology, Korea |
| 6 | MIROC6 | 1.40625 × 11.4516 | r1i1p1f1 | Japan Agency for Marine-Earth Science and Technology, Japan |
| 7 | MPI-ESM1-2-HR | 0.9375 × 0.9375 | r1i1p1f1 | Max Planck Institute for Meteorology, Germany |
| 8 | NorESM2-LM | 2.5 × 1.875 | r1i1p1f1 | Norwegian Meteorological Institute, Norway |
| SPI Range | SPI Category |
|---|---|
| <−2.0 | Extreme Drought |
| −1.99 to −1.5 | Severe Drought |
| −1.49 to −1.0 | Moderate Drought |
| −0.99 to 0.99 | Normal |
| 1 to 1.49 | Moderate Wet |
| 1.5 to 1.99 | Very Wet |
| >2.0 | Extremely Wet |
Disclaimer/Publisher’s Note: The statements, opinions and data contained in all publications are solely those of the individual author(s) and contributor(s) and not of MDPI and/or the editor(s). MDPI and/or the editor(s) disclaim responsibility for any injury to people or property resulting from any ideas, methods, instructions or products referred to in the content. |
© 2023 by the authors. Licensee MDPI, Basel, Switzerland. This article is an open access article distributed under the terms and conditions of the Creative Commons Attribution (CC BY) license (https://creativecommons.org/licenses/by/4.0/).
Share and Cite
Soni, A.K.; Tripathi, J.N.; Tewari, M.; Sateesh, M.; Singh, T. Future Projection of Drought Risk over Indian Meteorological Subdivisions Using Bias-Corrected CMIP6 Scenarios. Atmosphere 2023, 14, 725. https://doi.org/10.3390/atmos14040725
Soni AK, Tripathi JN, Tewari M, Sateesh M, Singh T. Future Projection of Drought Risk over Indian Meteorological Subdivisions Using Bias-Corrected CMIP6 Scenarios. Atmosphere. 2023; 14(4):725. https://doi.org/10.3390/atmos14040725
Chicago/Turabian StyleSoni, Anil Kumar, Jayant Nath Tripathi, Mukul Tewari, M. Sateesh, and Tarkeshwar Singh. 2023. "Future Projection of Drought Risk over Indian Meteorological Subdivisions Using Bias-Corrected CMIP6 Scenarios" Atmosphere 14, no. 4: 725. https://doi.org/10.3390/atmos14040725
APA StyleSoni, A. K., Tripathi, J. N., Tewari, M., Sateesh, M., & Singh, T. (2023). Future Projection of Drought Risk over Indian Meteorological Subdivisions Using Bias-Corrected CMIP6 Scenarios. Atmosphere, 14(4), 725. https://doi.org/10.3390/atmos14040725

