Multiple Factors Driving Carbonate System in Subtropical Coral Community Environments along Dapeng Peninsula, South China Sea
Abstract
1. Introduction
2. Materials and Methods
2.1. Study Area and Field Sampling
2.2. Analytical Methods
2.3. Laboratory Incubation Experiments
2.3.1. Microbial Respiration in Seawater
2.3.2. Coral Metabolism
2.4. Estimation of CO2 Fluxes
3. Results
3.1. Environmental Variables
3.2. Carbonate Parameters in Yangmeikeng Sea Area and Dalu Bay
3.2.1. Yangmeikeng Sea Area (Area I)
3.2.2. Dalu Bay (Area Ⅱ)
3.3. Microbial Respiration
3.4. The Metabolic Processes of Coral Colony
4. Discussion
4.1. General Characteristics of Carbonate System
4.2. The Physical Factors Affecting the Carbonate System
4.2.1. Temperature
4.2.2. Mixing Effect
4.3. Biological Processes
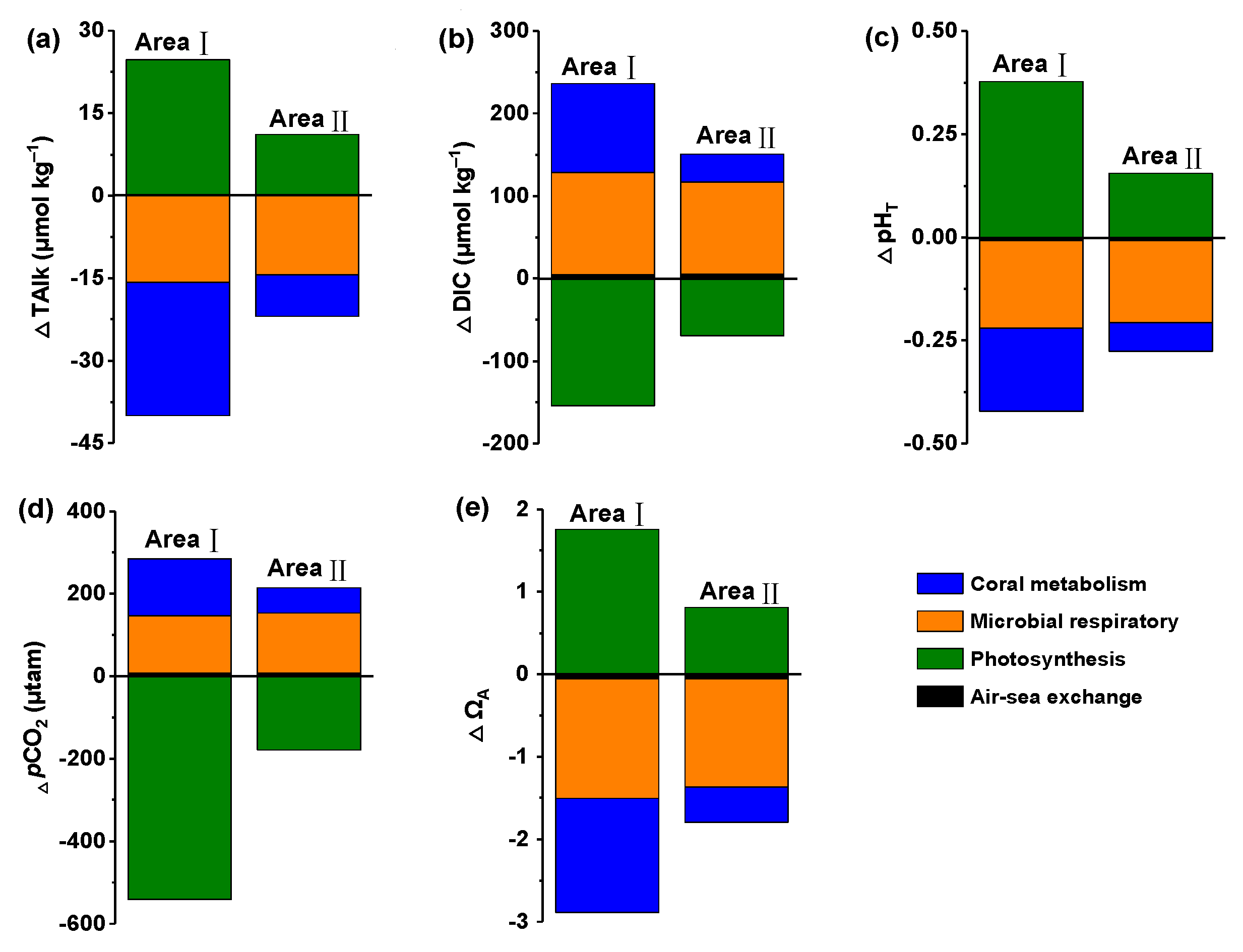
4.4. Quantification of Processes Controlling the Carbonate System
5. Conclusions
Author Contributions
Funding
Institutional Review Board Statement
Informed Consent Statement
Data Availability Statement
Acknowledgments
Conflicts of Interest
Appendix A
| Location | Sampling Time | Talk | DIC | Reference |
|---|---|---|---|---|
| (μmol kg−1) | (μmol kg−1) | |||
| Pedra da Risca do Meio Coral Reef | August and November 2020 | 2325 ± 19 | 2019 ± 16 | Cotovicz et al. [25] |
| Great Barrier Reef—Australia | September 2009 to August 2016 | 2288 ± 44 | 1989 ± 45 | Lønborg et al. [14] |
| Trawler Reef | August 2014 | 2289.3 ± 4.9 | 2003.0 ± 19.7 | Hannan et al. [26] |
| Big Vicki’s Reef | August 2014 | 2284.0 ± 9.8 | 1984.7 ± 14.7 | Hannan et al. [26] |
| Palfrey Reef | August 2014 | 2278.4 ± 7.4 | 1981.9 ± 22.7 | Hannan et al. [26] |
| Yongle Atoll, China | July 2013 | 2776 ± 52 | 2378 ± 92 | Yan et al. [57] |
| Coral Reef Lagoon Kaneohe Bay —Hawaii | September 2003 to September 2004 | 2180 ± 36 | 1920 ± 16 | Fagan et al. [71] |
| The coast of Iriomote Island (Japan) | August 2017 | 2211 ± 44 | 1878 ± 103 | Akhand et al. [59] |
| Reef flat in Northeastern Brazil | July 2006 | 1857.6 ± 42.1 | 1623.0 ± 39.2 | Akhand et al. [59] |
| August 2007 | 2002.3 ± 0.8 | 1801.1 ± 13.6 | Longhini et al. [73] | |
| Luhuitou fringing reef, Sanya Bay, China | July 2010 | 2312.1 ± 15.3 | 1994.7 ± 40.9 | Zhang et al. [58] |
| Yongxing Island, China | July to August 2009 | 2421 ± 142 | n.d. | Yan et al. [35] |
| Fiery Cross Reef, China | July to August 2009 | 2240 ± 56 | n.d. | Yan et al. [35] |
| Yangmeikeng Sea Area, South China | November 2022 | 2174.3 ± 36.4 | 1867.6 ± 33.5 | In this study |
| Dalu Bay | 2189.3 ± 6.4 | 1900.8 ± 10.4 |








References
- NOAA. Trends in Atmosphere Carbon Dioxide, Global Greenhouse Gas Reference Network. 2022. Available online: https://www.esrl.noaa.gov/gmd/ccgg/trends/global.html (accessed on 28 November 2022).
- Feely, R.A.; Sabine, C.L.; Lee, K.; Berelson, W.; Kleypas, J.; Fabry, V.J. Impact of anthropogenic CO2 on the CaCO3 system in the oceans. Science 2004, 305, 362–366. [Google Scholar] [CrossRef]
- Le Quéré, C.; Andrew, R.M.; Friedlingstein, P.; Sitch, S.; Pongratz, J.; Manning, A.C.; Korsbakken, J.I.; Peters, G.P.; Canadell, J.G.; Jackson, R.B.; et al. Global carbon budget 2017. Earth Syst. Sci. Data 2018, 10, 405–448. [Google Scholar] [CrossRef]
- Hamilton, S.L.; Kashef, N.S.; Stafford, D.M.; Mattiasen, E.G.; Kapphahn, L.A.; Logan, C.A. Ocean acidification and hypoxia can have opposite effects on rockfish otolith growth. J. Exp. Mar. Biol. Ecol. 2019, 521, 151245. [Google Scholar] [CrossRef]
- Lee, Y.H.; Jeong, C.B.; Wang, M.; Hagiwara, A.; Lee, J.S. Transgenerational acclimation to changes in ocean acidification in marine invertebrates. Mar. Pollut. Bull. 2020, 153, 111006. [Google Scholar] [CrossRef] [PubMed]
- Yang, B.; Gao, X.; Zhao, J.; Liu, Y.; Lui, H.K.; Huang, T.H.; Chen, T.; Xing, Q. Massive shellfish farming might accelerate coastal acidification: A case study on carbonate system dynamics in a bay scallop (Argopecten irradians) farming area, North Yellow Sea. Sci. Total Environ. 2021, 798, 149214. [Google Scholar] [CrossRef] [PubMed]
- Fabry, V.J.; Seibel, B.A.; Feely, R.A.; Orr, J.C. Impacts of ocean acidification on marine fauna and ecosystem processes. ICES J. Mar. Sci. 2008, 65, 414–432. [Google Scholar] [CrossRef]
- Wachs, T.D. The distribution of dissolved organic carbon in the Western Indian Ocean. Deep. Sea Res. Oceanogr. Abstr. 1964, 11, 757–765. [Google Scholar]
- Winn, C.D.; Li, Y.H.; Mackenzie, F.T.; Karl, D.M. Rising surface ocean dissolved inorganic carbon at the Hawaii Ocean Time-series site. Mar. Chem. 1998, 60, 33–47. [Google Scholar] [CrossRef]
- Bienson, C.V.; Wendy, A.; Michael, Y. Inorganic carbon utilization of tropical calcifying macroalgae and the impacts of intensive mariculture-derived coastal acidification on the physiological performance of the rhodolith Sporolithon sp. Environ. Pollut. 2020, 266, 115344. [Google Scholar]
- Kerr, D.E.; Brown, P.J.; Grey, A.; Kelleher, B.P. The influence of organic alkalinity on the carbonate system in coastal waters. Mar. Chem. 2021, 237, 104050. [Google Scholar] [CrossRef]
- Cai, W.J.; Hu, X.; Huang, W.J.; Murrell, M.C.; Lehrter, J.C.; Lohrenz, S.E. Acidification of subsurface coastal waters enhanced by eutrophication. Nat. Geosci. 2011, 4, 766–770. [Google Scholar] [CrossRef]
- Chen, C.T.A.; Borges, A.V. Reconciling opposing views on carbon cycling in the coastal ocean: Continental shelves as sinks and near-shore ecosystems as sources of atmospheric CO2. Deep-Sea Res. II Top. Stud. Oceanogr. 2009, 56, 578–590. [Google Scholar] [CrossRef]
- Lonborg, C.; Calleja, M.L.; Fabricius, K.E.; Smith, J.N.; Achterberg, E.P. The great barrier reef: A source of CO2 to the atmosphere. Mar. Chem. 2019, 210, 24–33. [Google Scholar] [CrossRef]
- Cai, W.J.; Dai, M.; Wang, Y. Air-sea exchange of carbon dioxide in ocean margins: A province-based synthesis. Geophys. Res. Lett. 2006, 33, 347–366. [Google Scholar] [CrossRef]
- Ries, J.B.; Ghazaleh, M.N.; Connolly, B.; Westfield, I.; Castillo, K.D. Impacts of seawater saturation state (ΩA = 0.4–4.6) and temperature (10, 25 °C) on the dissolution kinetics of whole-shell biogenic carbonates. Geochim. Cosmochim. Ac. 2016, 192, 318–337. [Google Scholar] [CrossRef]
- Ferrera, C.M.; Jacinto, G.S.; Chen, C.T.A.; Diego-Mcglone, M.L.S.; Datoc, M.F.K.T.; Lagumen, M.C.T. Carbonate parameters in high and low productivity areas of the Sulu Sea, Philippines. Mar. Chem. 2017, 195, 2–14. [Google Scholar] [CrossRef]
- Dai, M.; Lu, Z.; Zhai, W.; Chen, B.; Cao, Z.; Zhou, K.; Cai, W.; Arthur, C.T. Diurnal variations of surface seawater pCO2 in contrasting coastal environments. Anglais 2009, 54, 735–745. [Google Scholar] [CrossRef]
- Xue, L.; Cai, W.J.; Sutton, A.J.; Sabine, C. Sea surface aragonite saturation state variations and control mechanisms at the Gray’s Reef time-series site off Georgia, USA (2006–2007). Mar. Chem. 2017, 195, 27–40. [Google Scholar] [CrossRef]
- Zhai, W.D.; Zhao, H.D.; Su, J.L.; Liu, P.F.; Li, Y.W.; Zheng, N. Emergence of summertime hypoxia and concurrent carbonate mineral suppression in the central Bohai Sea, China. J. Geophys. Res-Biogeo. 2019, 124, 2768–2785. [Google Scholar] [CrossRef]
- Pipko, I.; Pugach, S.; Luchin, V.; Francis, O.; Savelieva, N.; Charkin, A. Surface CO2 system dynamics in the Gulf of Anadyr during the open water season. Cont. Shelf Res. 2021, 217, 104371. [Google Scholar] [CrossRef]
- Gobler, C.J.; DePasquale, E.L.; Griffith, A.W.; Baumann, H. Hypoxia and acidification have additive and synergistic negative effects on the growth, survival, and metamorphosis of early life stage bivalves. PLoS ONE 2014, 9, e83648. [Google Scholar] [CrossRef]
- Tribollet, A.; Langdon, C.; Golubic, S.; Atkinson, M. Endolithic microflora are major primary producers in dead carbonate substrates of Hawaiian coral reefs. J. Phycol. 2006, 42, 292–303. [Google Scholar] [CrossRef]
- Bates, N.R.; Astor, Y.M.; Church, M.J.; Currie, K.; Dore, J.E.; González-Dávila, M. A time-series view of changing surface ocean chemistry due to ocean uptake of anthropogenic CO2 and ocean acidification. Oceanography 2014, 27, 126–141. [Google Scholar] [CrossRef]
- Cotovicz, L.C., Jr.; Vidal, L.O.; de Rezende, C.E.; Bernardes, M.C.; Knoppers, B.A.; Sobrinho, R.L.; Abril, G. Carbon dioxide sources and sinks in the delta of the Paraíba do Sul River (Southeastern Brazil) modulated by carbonate thermodynamics, gas exchange and ecosystem metabolism during estuarine mixing. Mar. Chem. 2020, 226, 103869. [Google Scholar] [CrossRef]
- Hannan, K.D.; Miller, G.M.; Watson, S.A.; Rummer, J.L.; Fabricius, K.; Munday, P.L. Diel pCO2 variation among coral reefs and microhabitats at Lizard Island, Great Barrier Reef. Coral Reefs 2020, 39, 1391–1406. [Google Scholar] [CrossRef]
- Yang, W.; Guo, X.; Cao, Z.; Xu, Y.; Wang, L.; Guo, L.; Dai, M. Seasonal dynamics of the carbonate system under complex circulation schemes on a large continental shelf: The northern South China Sea. Prog. Oceanogr. 2021, 197, 102630. [Google Scholar] [CrossRef]
- Chauvaud, L.; Thompson, J.K.; Cloern, J.E.; Thouzeau, G. Clams as CO2 generators: The Potamocorbula amurensis example in San Francisco Bay. Limnol. Oceanogr. 2003, 48, 2086–2092. [Google Scholar] [CrossRef]
- Li, J.Q.; Zhang, W.W.; Ding, J.K.; Xue, S.Y.; Huo, E.Z.; Ma, Z.F. Effect of large-scale kelp and bivalve farming on seawater carbonate system variations in the semi-enclosed Sanggou Bay. Sci. Total Environ. 2021, 753, 142065. [Google Scholar] [CrossRef]
- Choi, Y.; Kim, D.; Noh, J.H.; Kang, D.J. Contribution of Changjiang River discharge to CO2 uptake capacity of the northern East China Sea in August 2016. Cont. Shelf Res. 2021, 215, 104336. [Google Scholar] [CrossRef]
- Xu, X.; Zheng, N.; Zan, K. Aragonite saturation state variation and control in the river-dominated marginal BoHai and Yellow seas of China during summer. Mar. Pollut. Bull. 2018, 135, 540–550. [Google Scholar] [CrossRef]
- Suzuki, A.; Kawahata, H. Carbon budget of coral reef systems: An overview of observations in fringing reefs, barrier reefs and atolls in the indo-Pacific region. Tellus 2003, 55B, 428–444. [Google Scholar] [CrossRef]
- Borges, A.V.; Delille, B.; Frankignoulle, M. Budgeting sinks and sources of CO2 in the coastal ocean: Diversity of ecosystems counts. Geophys. Res. Lett. 2005, 32, L14601. [Google Scholar] [CrossRef]
- Cyronak, T.; Andersson, A.J.; Langdon, C.; Albright, R.; Bates, N. Taking the metabolic pulse of the world’s coral reefs. PLoS ONE 2018, 13, e0190872. [Google Scholar] [CrossRef] [PubMed]
- Yan, H.; Yu, K.; Shi, Q.; Tan, Y.; Zhang, H.; Zhao, M.; Li, S.; Chen, T.; Huang, L.; Wang, P. Coral reef ecosystems in the South China Sea as a source of atmospheric CO2 in summer. Chin. Sci. Bull. 2011, 56, 676–684. [Google Scholar] [CrossRef]
- Yan, H.; Yu, K.; Shi, Q.; Tan, Y.; Liu, G.; Zhao, M.; Li, S.; Chen, T.; Wang, Y. Seasonal variations of seawater pCO2 and sea-air CO2 fluxes in a fringing coral reef, northern South China Sea. J. Geophys. Res. Oceans. 2016, 121, 998–1008. [Google Scholar] [CrossRef]
- Yan, S.H.; Tao, L.I. Evaluation of water quality status of coastal water in Dapeng Bay, Shenzhen. Environ. Sci. Surv. 2019, 38, 83–87. [Google Scholar]
- Jia, C.; Wang, J.; Tang, Z. Distribution of coral communities in eastern sea area of Shenzhen. J. Fish. 2020, 42, 590–597. [Google Scholar]
- Zhao, Y.; Yu, S.L.; Zhai, X.H.; Zhou, K.; Chen, M.R.; Qiu, J.W. Urban coral communities and water quality parameters along the coasts of Guangdong Province, China. Mar. Pollut. Bull. 2022, 180, 113821. [Google Scholar] [CrossRef]
- Qi, Y.; Chen, J.; Wang, Z.; Xu, N.; Wang, Y.; Shen, P.; Lu, S.; Hodgkiss, I.J. Some observations on harmful algal bloom (HAB) events along the coast of Guangdong, southern China in 1998. Hydrobiologia 2004, 512, 209–214. [Google Scholar] [CrossRef]
- Chen, X.; Wang, K.; Zhang, Z.; Zeng, Y.; Zhang, Y.; O’Driscoll, K. An assessment of wind and wave climate as potential sources of renewable energy in the nearshore Shenzhen coastal zone of the South China Sea. Energy 2017, 134, 789–801. [Google Scholar] [CrossRef]
- Song, J.T.; Bi, H.S.; Cai, Z.H.; Cheng, X.M.; He, Y.H. Early warning of Noctiluca scintillans blooms using in-situ plankton imaging system: An example from Dapeng Bay, P.R. China. Ecol. Indic. 2020, 112, 106123. [Google Scholar] [CrossRef]
- Grasshoff, K.; Kremling, K.; Ehrhardt, M. Methods of Seawater Analysis, 3rd ed.; Wiley-VCH: Weinheim, Germany, 1999; p. 632. [Google Scholar]
- García, H.E.; Gordon, L.I. Oxygen solubility in seawater: Better fitting equations. Limnol. Oceanogr. 1992, 37, 1307–1312. [Google Scholar] [CrossRef]
- Dickson, A.G. Standard potential of the (AgCl(s) + 1/2H2 (g) = Ag(s) + HCl(aq)) cell and the dissociation constant of bisulfate ion in synthetic sea water from 273.15 to 318.15 K. J. Chem. Thermodyn. 1990, 22, 113–127. [Google Scholar] [CrossRef]
- Cadée, G.; Hegeman, J. Primary production of phytoplankton in the Dutch Wadden Sea. Neth. J. Sea Res. 1974, 8, 260–291. [Google Scholar] [CrossRef]
- Li, B.; Li, G.W.; Jin, Y.; Ma, Y.Q.; Bai, Y.Y.; Sun, S. Distribution of chlorophyll-a and primary productivity in Yantai Sishili Bay. Prog. Fish. Sci. 2012, 33, 19–23. [Google Scholar]
- Dickson, A.G. An exact definition of total alkalinity and a procedure for the estimation of alkalinity and total inorganic carbon from titration data. Deep-Sea Res. Pt. II 1981, 28, 609–623. [Google Scholar] [CrossRef]
- Pelletier, G.J.; Lewis, E.; Wallace, D.W.R. CO2SYS.XLS: A Calculator for the CO2 System in Seawater for Microsoft Excel/VBA (Version 24); Washington State Department of Ecology: Olympia, DC, USA, 2015. [Google Scholar]
- Lueker, T.J.; Dickson, A.G.; Keeling, C.D. Ocean pCO2 calculated from dissolved inorganic carbon, alkalinity, and equations for K1 and K2: Validation based on laboratory measurements of CO2 in gas and seawater at equilibrium. Mar. Chem. 2000, 70, 105–119. [Google Scholar] [CrossRef]
- Lee, K.; Kim, T.W.; Byrne, R.H.; Millero, F.J.; Feely, R.A.; Liu, Y.M. The universal ratio of boron to chlorinity for the North Pacific and North Atlantic oceans. Geochim. Cosmochim. Ac. 2010, 74, 1801–1811. [Google Scholar] [CrossRef]
- Meng, L.; Huang, W.; Yang, E.G. High temperature bleaching events can increase thermal tolerance of Porites lutea in the Weizhou Island. Haiyang Xuebao 2022, 44, 87–96. [Google Scholar]
- Weiss, R.F. Carbon dioxide in water and seawater: The solubility of a non-ideal gas. Mar. Chem. 1974, 2, 203–215. [Google Scholar] [CrossRef]
- Wanninkhof, R. Relationship between wind speed and gas exchange over the ocean. J. Geophys Res-Oceans 1992, 97, 7373–7382. [Google Scholar] [CrossRef]
- South China Sea and Adjacent Seas Data Center. 2022. Available online: http://ocean.geodata.cn (accessed on 25 November 2022).
- Guo, X.; Wong, G.T. Carbonate chemistry in the northern South China Sea shelf-sea in June 2010. Deep-Sea Res. PT II 2015, 117, 119–130. [Google Scholar] [CrossRef]
- Yan, H.; Yu, K.; Shi, Q.; Lin, Z.; Zhao, M.; Tao, S.; Zhang, H. Air-sea CO2 fluxes and spatial distribution of seawater pCO2 in Yongle Atoll, northern-central South China Sea. Cont. Shelf Res. 2018, 165, 71–77. [Google Scholar] [CrossRef]
- Zhang, C.; Huang, H.; Ye, C.; Huang, L.; Li, X.; Lian, J.; Liu, S. Diurnal and seasonal variations of carbonate system parameters on Luhuitou fringing reef, Sanya Bay, Hainan Island, South China Sea. Deep-Sea Res. Pt. II 2013, 96, 65–74. [Google Scholar] [CrossRef]
- Akhand, A.; Watanabe, K.; Chanda, A.; Tokoro, T.; Kuwae, T. Lateral carbon fluxes and CO2 evasion from a subtropical mangrove-seagrass-coral continuum. Sci. Total Environ. 2020, 752, 142190. [Google Scholar] [CrossRef]
- Zang, H.; Li, Y.; Xue, L.; Liu, X.; Zhang, L. The contribution of low temperature and biological activities to the CO2 sink in Jiaozhou Bay during winter. J. Marine Syst. 2018, 186, 37–46. [Google Scholar] [CrossRef]
- Xue, L.; Cai, W.J.; Hu, X.; Sabine, C.; Jones, S.; Sutton, A.J. Sea surface carbon dioxide at the Georgia time series site (2006–2007): Air-sea flux and controlling processes. Prog. Oceanogr. 2016, 140, 14–26. [Google Scholar] [CrossRef]
- Zhai, W.; Chen, J.; Jin, H.; Li, H.; Liu, J.; He, X. Spring carbonate chemistry dynamics of surface waters in the Northern East China Sea: Water mixing, biological uptake of CO2, and chemical buffering capacity. J. Geophys Res-Oceans. 2014, 119, 5638–5653. [Google Scholar] [CrossRef]
- Luo, X.; Wei, H.; Liu, Z.; Zhao, L. Seasonal variability of air–sea CO2 fluxes in the Yellow and East China Seas: A case study of continental shelf sea carbon cycle model. Cont. Shelf Res. 2015, 107, 69–78. [Google Scholar] [CrossRef]
- Chen, C.T.A.; Wang, S.L.; Lu, X.X.; Zhang, S.R.; Lui, H.K.; Tseng, H.C.; Huang, H.I. Hydrogeochemistry and greenhouse gases of the Pearl River, its estuary and beyond. Quatern. Int. 2008, 186, 79–90. [Google Scholar] [CrossRef]
- Friis, K.; Körtzinger, A.; Wallace, D.W. The salinity normalization of marine inorganic carbon chemistry data. Geophys. Res. Lett. 2003, 30, 1085. [Google Scholar] [CrossRef]
- Benson, B.B.; Krause, D. The concentration and isotopic fractionation of oxygen dissolved in fresh water and seawater in equilibrium with the atmosphere. Limnol. Oceanogr. 1984, 29, 620–632. [Google Scholar] [CrossRef]
- Redfield, A.C. The biological control of chemical factors in the environment. Am. Sci. 1958, 46, 230A; 205–221. [Google Scholar]
- Maske, H.; Medrano, R.C.; Castro, A.T.; Mercado, A.J.; Jauregui, C.O.; Castro, G.G. Inorganic carbon and biological oceanography above a shallow oxygen minimum in the entrance to the Gulf of California in the Mexican Pacific. Limnol. Oceanogr. 2010, 55, 481–491. [Google Scholar] [CrossRef]
- Chen, C.T.; Pytkowicz, R.M.; Olson, E.J. Evaluation of the calcium problem in the South Pacific. Geochem. J. 1982, 16, 1–10. [Google Scholar] [CrossRef]
- Duarte, B.; Freitas, J.; Valentim, J.; Medeiros, J.P.; Costa, J.L.; Silva, H.; Caçador, I. Abiotic control modelling of salt marsh sediments respiratory CO2 fluxes: Application to increasing temperature scenarios. Ecol. Indic. 2014, 46, 110–118. [Google Scholar] [CrossRef]
- Fagan, K.E.; Mackenzie, F.T. Air–sea CO2 exchange in a subtropical estuarine-coral reef system, Kaneohe Bay, Oahu, Hawaii. Mar. Chem. 2007, 106, 174–191. [Google Scholar] [CrossRef]
- Dellisanti, W.; Tsang, R.H.; Ang, P., Jr.; Wu, J.; Wells, M.L.; Chan, L. A diver-portable respirometry system for in-situ short-term measurements of coral metabolic health and rates of calcification. Front. Mar. Sci. 2020, 7, 571451. [Google Scholar] [CrossRef]
- Longhini, C.M.; Souza, M.; Silva, A.M. Net ecosystem production, calcification and CO2 fluxes on a reef flat in Northeastern Brazil. Estuar. Coast. Shelf S. 2015, 166, 13–23. [Google Scholar] [CrossRef]







Disclaimer/Publisher’s Note: The statements, opinions and data contained in all publications are solely those of the individual author(s) and contributor(s) and not of MDPI and/or the editor(s). MDPI and/or the editor(s) disclaim responsibility for any injury to people or property resulting from any ideas, methods, instructions or products referred to in the content. |
© 2023 by the authors. Licensee MDPI, Basel, Switzerland. This article is an open access article distributed under the terms and conditions of the Creative Commons Attribution (CC BY) license (https://creativecommons.org/licenses/by/4.0/).
Share and Cite
Yang, B.; Zhang, Z.; Cui, Z.; Xie, Z.; Chen, B.; Zheng, H.; Liao, B.; Zhou, J.; Xiao, B. Multiple Factors Driving Carbonate System in Subtropical Coral Community Environments along Dapeng Peninsula, South China Sea. Atmosphere 2023, 14, 688. https://doi.org/10.3390/atmos14040688
Yang B, Zhang Z, Cui Z, Xie Z, Chen B, Zheng H, Liao B, Zhou J, Xiao B. Multiple Factors Driving Carbonate System in Subtropical Coral Community Environments along Dapeng Peninsula, South China Sea. Atmosphere. 2023; 14(4):688. https://doi.org/10.3390/atmos14040688
Chicago/Turabian StyleYang, Bo, Zhuo Zhang, Zhouping Cui, Ziqiang Xie, Bogui Chen, Huina Zheng, Baolin Liao, Jin Zhou, and Baohua Xiao. 2023. "Multiple Factors Driving Carbonate System in Subtropical Coral Community Environments along Dapeng Peninsula, South China Sea" Atmosphere 14, no. 4: 688. https://doi.org/10.3390/atmos14040688
APA StyleYang, B., Zhang, Z., Cui, Z., Xie, Z., Chen, B., Zheng, H., Liao, B., Zhou, J., & Xiao, B. (2023). Multiple Factors Driving Carbonate System in Subtropical Coral Community Environments along Dapeng Peninsula, South China Sea. Atmosphere, 14(4), 688. https://doi.org/10.3390/atmos14040688

