Abstract
To avoid the spread of COVID-19, China has implemented strict lockdown policies and control measures, resulting in a dramatic decrease in air pollution and improved air quality. In this study, the air quality model WRF-Chem and the latest MEIC2019 and MEIC2020 anthropogenic emission inventories were used to simulate the air quality during the COVID-19 lockdown in 2020 and the same period in 2019. By designing different emission scenarios, this study explored the impact of the COVID-19 lockdown on the concentration of air pollutants emitted by different sectors (industrial sector and transportation sector) in Nanjing for the first time. The results indicate that influenced by the COVID-19 lockdown policies, compared with the same period in 2019, the concentrations of PM2.5, PM10, and NO2 in Nanjing decreased by 15%, 17.1%, and 20.3%, respectively, while the concentration of O3 increased by 45.1% in comparison; the concentrations of PM2.5, PM10 and NO2 emitted by industrial sector decreased by 30.7%, 30.8% and 14.0% respectively; the concentrations of PM2.5, PM10 and NO2 emitted by transportation sector decreased by 15.6%, 15.7% and 26.2% respectively. The COVID-19 lockdown has a greater impact on the concentrations of PM2.5 and PM10 emitted by the industrial sector, while the impact on air pollutants emitted by the transportation sector is more reflected in the concentration of NO2. This study provides some theoretical basis for the treatment of air pollutants in different departments in Nanjing.
1. Introduction
Air pollution is a global public health concern, particularly in developing countries such as China [1] and India [2]. According to the 2020 World Air Quality Report, air pollution remains one of the greatest health hazards that people face around the world [3]. Studies have shown that poor air quality increases the prevalence and mortality caused by novel coronavirus pneumonia [4,5].
In early 2020, the sudden outbreak of COVID-19 had a large impact on many aspects of China’s society and economy. To avoid the spread of COVID-19, China has implemented strict lockdown policies and control measures. The widespread COVID-19 lockdown policies provided a rare opportunity to assess the impact of the reduction in anthropogenic air pollutant emissions on air quality, and the impact of COVID-19 on air pollutants has been described as “the largest controlled air quality experiment ever conducted” [6].
Many studies have shown that around the world, air quality has improved due to the implementation of lockdown policies [7,8]. In 366 urban areas across China, the concentrations of PM10, PM2.5, SO2, NO2, and CO were reduced, while O3 showed increasing rates [9]. In the USA, a study using air quality data from 2017 to 2020 found that the concentrations of PM2.5 and NO2 decreased during the COVID-19 period [10]. Agarwal et al. [11] reported that nationwide lockdown and shutdown policies in India and China resulted in a significant improvement in air quality status. The results demonstrated that in India and China, concentrations of PM2.5 and NO2 decreased by 65% and 66%, and 45% and 37%, respectively.
Most researchers use methods such as statistical analysis of ground observations, inversion of satellite data, machine learning, and modeling analysis to investigate the changes in air quality caused by the COVID-19 lockdown. Wong et al. [12] propose a novel research framework to investigate the observed and meteorological-normalized concentrations of nitrogen dioxide (NO2) and ozone (O3) across 62 cities in Taiwan. They found that throughout 2020, even in the absence of a lockdown, the daily mean meteorological-normalized NO2 and O3 levels across Taiwan decreased by 14.9% and 5.8%, respectively. Habibi et al. [13] obtained air quality data between January 2019 and April 2020 from the world air quality index project and showed that compared with the same period in 2019, the concentrations of NO2, CO, and PM2.5 decreased and O3 increased in most major cities around the world during February April 2020. Tang et al. [14] 2021 used ground air monitoring data and satellite data to investigate ozone changes caused by the COVID-19 lockdown in different parts of the world. The study found that, with significant reductions in NOx, O3 concentrations showed an upward signal in East Asia and Europe, while those in North America showed a downward trend. Dai et al. [15] used a random forest algorithm to quantify the impact of meteorological elements on surface air quality in 31 major cities in China during the COVID-19 lockdown and showed that the impact of the epidemic lockdown on air quality was limited after removing the effect of the Chinese New Year holiday on air pollutants.
Other studies also used air quality models to study the effects of lockdowns on air quality. Feng et al. [16] 2021 used the WRF-CMAQ model to assess the emission reduction and related air quality impacts of the transportation and industrial sectors during the Wuhan lockdown. The results show that the contribution of the industrial shutdown to the emission reduction in pollutants is significantly greater than that of traffic restrictions. Ciarelli et al. [17] used the CAMx model to study potential changes in air quality and its chemical composition in northern Italy and Switzerland during the COVID-19 lockdown. The results showed that the lockdown measures reduced the NO2 air concentration resolution in the Po River basin and the Swiss plateau by up to 46% and 25%, while the air concentration of fine particulate matter (PM2.5) only decreased by 10% and 6%. Wang et al. [18] used WRF-CMAQ to simulate the air quality changes in the Pearl River Delta before, during, and after the lockdown. Compared with before and after the lockdown, under the dual influence of anthropogenic emissions and meteorology, the air quality was significantly improved during the lockdown. PM2.5, NO2, and SO2 decreased by 52%, 67%, and 25%, respectively, while O3 did not change significantly.
At present, most studies basically adopt the anthropogenic emission inventory of MEIC2017. By adjusting the emissions of different emission sectors, the simulation results are more consistent with the situation of air pollutants during the COVID-19 lockdown. There are few studies on the impact of COVID-19 lockdowns on different emission sectors, and old emission inventories are not able to accurately quantify the impact of COVID-19 lockdowns on different emission sectors. Therefore, in this study, the WRF-Chem model and the latest emission inventories, MEIC2019 and MEIC2020, were used to simulate air pollutants in Nanjing during the COVID-19 lockdown and the same period in 2019. They aim to more realistically reappear the temporal and spatial changes of air pollutants during the COVID-19 lockdown and the same period in 2019, as well as compare the levels of air pollutants during the two periods and assess the impact of anthropogenic emissions reduction caused by COVID-19 lockdown on air pollutants emitted by different emission sectors. We used the NP to represent the normal period (22 January 2019 to 25 February 2019) and the LP to represent the COVID-19 lockdown period (22 January 2020 to 25 February 2020). The COVID-19 lockdown provided an excellent opportunity to investigate the characteristics of Nanjing’s air pollution and the distribution of pollution sources. This study will provide an important basis for designing effective control strategies and further improving the air quality of Nanjing.
2. Data & Methods
2.1. Research Area
Located in eastern China, downstream of the Yangtze River and southwest of Jiangsu Province, Nanjing is an important node city where the eastern coastal economic belt and the Yangtze River economic belt meet strategically and is one of the largest cities in China. Due to urbanization and economic development, Nanjing has a growing population and a large industrial scale. As of 2021, the resident population of Nanjing reached 9.31 million, the number of motor vehicles reached 2.91 million, and the secondary industry accounted for 35.2% of the GDP. However, at the same time, air pollution in Nanjing also presents more obvious characteristics, such as regional complexity, and consequently brings about increasingly serious air pollution problems, causing serious impacts on resident health and air quality, making the air pollution in Nanjing a matter of great concern to scholars [19,20].
2.2. Air Quality Model
The WRF model is a fully compressible and non-hydrostatic model (with a run-time hydrostatic option). Arakawa C-grid is used in the horizontal direction of the WRF model. The WRF model uses Arakawa C-grid for the horizontal coordinate, and its vertical coordinate is a hybrid vertical coordinate (HVC) hydrostatic pressure coordinate. The model uses the Runge-Kutta 2nd and 3rd-order time integration schemes and 2nd to 6th-order advection schemes in both the horizontal and vertical. The dynamics conserve scalar variables. The dynamic frame adopts the completely compressible and non-static equilibrium Euler model.
In this study, WRF-Chem Version V3.9.1 was used, in which meteorological and chemical processes occur and interact simultaneously in the real atmosphere, and WRF-Chem enables the meteorological mode WRF [21] and chemical transport module Chem to be fully coupled online in terms of temporal and spatial resolution, and the same physical parameterization scheme is used in the subgrid transport [22]. The WRF-Chem model adopts classical three-dimensional Euler grid coordinates. The space-time evolution law of air pollutants conforms to the law of conservation of mass, and the equation is as follows:
is the concentration of pollutant ; is the change of pollutant concentration in unit time step; is the variation of pollutant concentration caused by advection transport; among them, is the wind speed, is the variation of pollution concentration caused by turbulent processes. Among them, is the turbulence exchange coefficient; , and are the variations of convection, dry and wet deposition, chemical reaction, and emission intensity on pollutant concentration. Therefore, the variation of air pollutants concentration in the model is the result of careful consideration of multiple factors such as wind field transmission, turbulent diffusion, chemical transformation, dry and wet deposition, and pollutant emissions.
In this study, three layers of mode nesting were set; the third-layer nesting centers were 32.2° and 119.15°; the horizontal resolutions were 27 km × 27 km, 9 km × 9 km, and 3 km × 3 km; the number of nested grids in the third layer was 100 × 100, and the range of mode nesting is shown below. The model parameterization settings are shown in Table 1. Meteorological initial and boundary conditions were obtained from NCEP GDAS Final Analysis data with a spatial resolution of 0.25° × 0.25° for January–February 2019 and January—February 2020 [23]. Biogenic emission data used natural gas and aerosol emission models (MEGANv2.1) [24]. CAM-Chem outputs were used as chemical initial boundary conditions for January and February 2019 and 2020 [24]. Each simulation time of the WRF-Chem model is two months, and each spin-up time for the model is 48 h.
Table 1.
WRF-Chem parameterization settings.
2.3. Observation Data
Hourly concentration data of four pollutants, including particulate matter ≤ 10 µm in diameter (PM10), particulate matter ≤ 2.5 µm in diameter (PM2.5), nitrogen dioxide (NO2), and ozone (O3), from nine Nanjing state-controlled ambient air quality testing stations (station locations are shown in Figure 1) were used in this paper for January and February 2019 and 2020 in Nanjing. Observational data were used to validate air pollutant results obtained from WRF-Chem model simulations.
Figure 1.
Scope of the model nested areathe three-nested domains consisting of the outer domain (d01), inner domain (d02), and innermost domain (d03) (horizontal resolutions of 27 km × 27 km, 9 km × 9 km, 3 km × 3 km, respectively) and the location of the national monitoring sites in Nanjing.
2.4. Anthropogenic Emissions Inventory Data
The emission inventory is indispensable data for air quality models. It contains information on emission rates of different species, such as PM2.5, PM10, NOx, SO2, etc. In this study, the anthropogenic emission data used the Multi-resolution Emission Inventory for China (MEIC) developed by Tsinghua University, which includes anthropogenic emissions from different sources, including power, industry, residential, transportation, and agriculture. We used MEIC’s 2019 and 2020 emission inventories. MEIC2019 and MEIC2020 used the Multi-resolution Emission Inventory for China model to estimate China’s emissions in 2018 and 2019 and then used 39 types of near-real-time activity data to update the emission estimates to 2020. MEIC2019 and MEIC2020, for the first time, reported China’s anthropogenic emissions from January to December 2019 and 2020 and provided the most up-to-date China’s emissions input to chemical transport models and helped interpret the abrupt changes in pollutant concentrations during the COVID-19 lockdowns [34,35]. The temporal resolution of MEIC anthropogenic emission inventory is monthly scale. In this study, the total monthly emissions of the anthropogenic emission inventory are evenly distributed hourly and multiplied by the hourly emission coefficient to make the anthropogenic emissions more consistent with the actual daily situation.
2.5. Research Methods
In the early stage of COVID-19, in order to curb the spread of COVID-19, the Nanjing Municipal Government took up month-long lockdown measures. Since 23 January 2020, Nanjing has implemented measures such as home quarantine, suspension of public transport, and shutdown of factories and businesses. After 7 February 2020, some important national economy and livelihood-related enterprises in Nanjing began to resume work and production. After 24 February 2020, the daily life of residents gradually returned to normal, and all enterprises and factories resumed work and production. In this study, we use the WRF-Chem model to simulate the concentration of air pollutants, and the “zero-out” method is used to study the contribution of industrial and traffic emissions to air pollutants. The “zero-out” approach [36] means that the anthropogenic emissions of a sector in the anthropogenic emission inventory in the study area are removed and conduct sensitivity tests. On this basis, different emission scenarios were designed to study the impact on air quality of the reduction in anthropogenic emissions due to the COVID-19 lockdown and to quantify the impact of the COVID-19 lockdown on industrial emissions as well as on traffic emissions. Table 2 summarizes all emission scenarios.
Table 2.
Emission scenario design.
Scenario 1 (urban activity as usual): using meteorological field data from January and February 2019 and 2020 and MEIC2019 and MEIC2020 anthropogenic emission inventory data, with no change in emissions from five sectors, industry, transportation, electricity, residential, and agriculture, in the MEIC emission inventory. Urban activities were business as usual. The WRF-Chem model is used to simulate the air pollutants in Nanjing in January and February 2020 and January and February 2019 during the same period.
Scenario 2 (removal of industrial emission scenario): Based on Scenario 1, using a “zero-out” approach, industrial emissions were removed from the MEIC emission inventory, i.e., no industrial emissions were assumed to occur in the simulation area, and emissions from four sectors, transportation, electricity, residential, and agriculture, remained unchanged, and the WRF-Chem model is used to simulate the air pollutants in Nanjing in January–February 2020 and January–February 2019 again.
Scenario 3 (removal of traffic emission scenario): Based on Scenario 1, using the “zero-out” approach, the traffic emission data in the MEIC emission inventory were removed, i.e., it was assumed that there were no industrial traffic emissions in the simulation area, and the emissions from four sectors, industry, electricity, residential, and agriculture, remained unchanged, and the WRF-Chem model is used to simulate the air pollutants in Nanjing in January and February 2020 and January and February 2019 again.
We first extract the simulation data of the NP and the LP from the simulation results. Then, by comparing the results obtained from the WRF-Chem model simulations in Scenario 1 for 2019 and 2020, the changes in air pollutant concentrations in Nanjing during the NP and LP can be obtained. The simulation results for 2019 and 2020 in Scenario 1 and Scenario 2 were correspondingly subtracted to obtain data on industrial emissions of air pollutants during the NP and LP. Similarly, the simulation results for 2019 and 2020 in Scenario 1 and Scenario 3 were correspondingly subtracted to obtain data on air pollutant emissions from transport during the NP and LP. By comparing the results of industrial and traffic emissions of air pollutants in 2019 and 2020, the impact of the COVID-19 lockdown on the concentration of industrial and traffic emissions of air pollutants in Nanjing is obtained.
Although atmospheric chemical processes are nonlinear in nature, the “zero-out” method does not provide very accurate results, and the method is more applicable to primary pollutants and has some uncertainties for highly nonlinear pollutants such as ozone, the “zero-out” method is still used in source analysis studies and quantitative assessments of transport contributions and has proven to be an effective method in a number of studies [37,38].
3. Results
3.1. WRF-Chem Model Validation
The pollutant results simulated by the WRF-Chem model were extracted from the Nanjing state-controlled ambient air quality monitoring stations, and the observed data from the stations and the resultant data obtained from the WRF-Chem model simulation were averaged and tested for accuracy using the correlation coefficient (R), normalized mean deviation (NMB), mean fractional deviation (MFB) and mean fractional error (MFE) as the criteria for the error test, and the specific formulae are shown in Table 3.
Table 3.
Indices used to evaluate model performance.
Figure 2 and Figure 3 show the hour-by-hour near-surface NO2, O3, PM2.5, and PM10 concentration time series from ground-based observations and model simulations for January and February 2019 and 2020, and the model performance for PM10, PM2.5, NO2, and O3 for 2019 and 2020 is given in Table 4 and Table 5 and presented in Taylor diagrams (see Figure 4 and Figure 5). Boylan and Russell [39] proposed the use of mean fractional deviation (MFB) and mean fractional error (MFE) as measures. If the MFB is within ±30% and the MFE is less than 50%, the simulation performance is excellent; if the MFB is within ±60% and the MFE is less than 75%, the model simulation capability is within acceptable limits.
Figure 2.
Hour-by-hour near-surface NO2, O3, PM2.5, and PM10 (μg/m3) concentrations in Nanjing from 1 January to 28 February 2019, for observed (red dots) and simulated (blue line) values.
Figure 3.
Hour-by-hour near-surface NO2, O3, PM2.5, and PM10 (μg/m3) concentrations in Nanjing from 1 January to 29 February 2020 for observed (red dots) and simulated (blue line) values.
Table 4.
Statistical analysis of simulated and observed hourly near-surface NO2, O3, PM2.5, PM10 concentrations (μg/m3) compared for the period 1 January 2019 to 28 February 2019.
Table 5.
Statistical analysis of simulated and observed hourly near-surface NO2, O3, PM2.5, PM10 concentrations (μg/m3) compared for the period 1 January 2020 to 28 February 2020.
Figure 4.
Taylor diagram on the left showing the statistical comparison between observed and model simulated values for Nanjing from 1 January to 28 February 2019.
Figure 5.
Taylor diagram on the right shows the statistical comparison between observed and model simulated values for Nanjing from 1 January to 29 February 2020.
In terms of PM2.5, the WRF-Chem model could reproduce well the trend of near-ground PM2.5 concentrations over time (R2019 = 0.70, R2020 = 0.67), but during the COVID-19 lockdown period, the model simulated significantly higher PM2.5 concentrations (NMB2019 = 32%, NMB2020 = 45%). For PM10, the model was not only able to simulate the trend of PM10 concentration over time well (R2019 = 0.72, R2020 = 0.64) but could also simulate PM10 concentrations accurately (NMB2019 = 0%, NMB2020 = 10%). For NO2, the correlation between the simulated values and the observed values was general (R2019 = 0.48, R2020 = 0.42), and the model could overestimate the concentration of NO2 (NMB2019 = 33%), and the simulated values of the concentration of NO2 during the COVID-19 lockdown period would be higher. (NMB2020 = 54%). For O3, the correlation between the simulated values and the observed values of the model was also general (R2019 = 0.54, R2020 = 0.49), and the simulated values of the model showed obvious diurnal variation. The model could well reappear the situation when the concentration of O3 is high, but when the actual concentration of O3 is low, the simulation effect of the model is poor, and the simulated values were far lower than the observed values. From the perspective of MFE and MFB, the model performance of NO2, PM2.5, and PM10 is excellent, except for O3. From the perspective of NMB, the model overestimated the concentration of NO2 and PM2.5, especially the concentration of NO2 and PM2.5 during the COVID-19 lockdown period in 2020, but the model underestimated the concentration of O3.
Overall, the WRF-Chem model can better reappear the trends of pollutant concentrations over time, but it has some degree of error in the simulation of pollutant concentrations. The simulation effectiveness of the WRF Chem model in 2020 is decreasing compared to that in 2019, and the pollutant concentration results of the model simulation are higher during the 2020 COVID-19 lockdown period. The results of the patterns provide a research basis for discussing later the changes in air pollutants in Nanjing during the outbreak blockade period and the changes in pollutant concentrations from industrial emissions and traffic emissions.
3.2. Changes in Air Pollutant Concentrations during the LP Compared to the NP
This section discusses the changes in air pollutant concentrations during the initial outbreak of the COVID-19 epidemic in Nanjing. Changes in atmospheric pollutant concentrations are influenced by a combination of meteorological conditions and anthropogenic emissions. It has been shown [40] that compared to February 2019, the average wind speed, relative humidity, and cumulative effective precipitation days were approximately the same during the same period in 2020 as during the COVID-19 lockdown period, with higher average temperatures and slightly higher cumulative precipitation, making meteorological conditions more favorable for the dispersion of pollutants. By comparing the simulation results in 2019 and 2020 in Scenario 1, the changes in air pollutants in Nanjing during the LP could be obtained. Figure 6 shows the time series of model-simulated daily mean near-surface NO2, O3, PM2.5, and PM10 concentrations during the NP (2019_sim) and LP (2020_sim), with the differences between 2019 and 2020 observations and model-simulated NO2, O3, PM2.5, and PM10 concentrations.
Figure 6.
Time series of daily mean near-surface NO2, O3, PM2.5, and PM10 concentrations (μg/m3) simulated during the NP (black dashed line with triangles, 2019_sim) and LP (blue dashed line with triangles, 2020_sim), Differences in observed NO2, O3, PM2.5, and PM10 concentrations (μg/m3) between the NP and LP (red dots, Obs_change), Differences in model simulations between the NP and LP for NO2, O3, PM2.5, and PM10 concentrations (μg/m3) (black dashed line, Sim_change). (a) represents NO2, (b) represents O3, (c) represents PM2.5, (d) represents PM10.
As shown in Figure 6 and Table 6, the simulated day-by-day average changes in NO2, O3, PM2.5, and PM10 concentrations between the NP and LP agree well with the observed changes, indicating that the model could reproduce the daily NO2, PM2.5, and PM10 changes between the NP and LP, with O3 not being too effective. From 24 January to 3 February, influenced by the COVID-19 lockdown policies and the 2020 Chinese New Year, the daily average NO2 concentrations in 2020 were much smaller than those in the same period in 2019, except for some days. Between 4 February and 12 February, influenced by the 2019 Chinese New Year, the difference in daily average NO2 concentrations gradually decreased, and the daily average NO2 concentrations in 2020 were the same as those in the same period in 2019. Between 4 February and 13 February, the difference in daily average NO2 concentrations gradually increased again.
Table 6.
Statistics comparing the differences in observed and modeled daily mean concentrations (μg/m3) of NO2, O3, PM2.5 and PM10 during the NP and LP.
In terms of PM2.5 and PM10 daily mean concentration changes, the modeling results could reproduce well the observed daily mean concentration temporal trends and concentration trends. In addition to some days being affected by meteorological conditions such as rainfall, for example, between 24 January and 26 January, the weather conditions in 2020 were rainy and influenced by rainfall and the lockdown of the epidemic, and the concentrations of PM2.5 and PM10 in 2020 were much lower during this period than during the same period in 2019. Between 28 January and 30 January 2019, weather conditions were rainy, causing the 2019 PM2.5 and PM10 concentrations to be lower than those during the 2020 COVID-19 lockdown. Between 4 February and 12 February, influenced by the 2019 Chinese New Year, the PM2.5 and PM10 daily average concentrations in 2019 decreased and were on par with the same period in 2020. After 13 February, the difference between the daily average PM2.5 and PM10 concentrations gradually increased again. Overall, the daily average concentrations of PM2.5 and PM10 showed an overall decreasing trend during the 2020 COVID-19 lockdown period due to strict lockdown policies. In contrast to the other three pollutants, O3 concentrations showed an increasing trend during the 2020 outbreak compared to the same period in 2019, except for some days, and although the model was able to reproduce the trend in O3 concentrations, it still underestimated the increase in O3 concentrations.
Figure 7 shows the spatial distribution of mean near-surface NO2, O3, PM2.5 and PM10 concentrations (μg/m3) and the proportional reduction in pollutants during the NP and LP for the Nanjing model simulation. The figure shows that most of the major PM2.5 reduction areas were near the main urban areas of Nanjing, with the average PM2.5 concentration falling from 72–90 μg/m3 in 2019 to 60–80 μg/m3 in 2020, a reduction in over 20%, and the PM10 situation was similar to that of PM2.5. In addition, the change in the particulate matter also showed a clear urban-rural difference, with a greater reduction in particulate matter in the main urban areas of Nanjing than in the suburbs of Nanjing. The figure also shows that the average NO2 concentration decreased from 55~75 μg/m3 in 2019 to 40~65 in 2020, with a decrease of approximately 16~40% in the area covered by high NO2 concentrations, and it shows that there was a gradual increase from north to south. The average concentration of O3, on the other hand, showed an opposite trend to the other three pollutants, with the average O3 concentration during the LP rising from 20~50 to 30~65 compared to the NP. The area of increase in the average O3 concentration was mainly near the main urban area of Nanjing, with an increase in more than 40%, and the average O3 concentration in the northern suburbs of Nanjing had a small decrease. Ozone chemistry was highly nonlinear, and its production was at NOx saturation (NOx = NO + NO2) during winter in urban China due to the relative lack of HOX radicals [41]. In addition, it can be seen from Table 7 that the decrease in NOx significantly reduced O3 depletion (NO + O3 = NO2 + O2), which led to an increase in O3 concentration and eased ozone titration [42]. Thus, a decrease in NOx led to an increase in ozone [43].
Figure 7.
Spatial distribution of simulated mean near-surface NO2, O3, PM2.5, and PM10 concentrations (μg/m3) and percentage reduction in Nanjing during the NP and LP.
Table 7.
Average concentration and variation of pollutants during the NP and LP in Nanjing.
In conclusion, the reduction in mean NO2, PM2.5, and PM10 concentrations and the increase in mean O3 concentrations during the epidemic lockdown in Nanjing were comparable to previous results. The reduction in human mobility, traffic restrictions, and the shutdown of factories during the LP were the main reasons for the reduction in pollutant concentrations. In previous studies, Wang et al. [44] studied the nonlinear effects of four typical pollutants (PM2.5, NO2, SO2, and O3) in eight cities around the world (Wuhan, China; New York, USA; Milan, Italy; Madrid, Spain; Bandra, India; London, UK; Tokyo, Japan; and Mexico City, Mexico) and found that COVID-19 lockdown policies reduced only NO2 and PM2.5, while O3 concentrations increased somewhat. According to Chen et al. [9], strict COVID-19 lockdown policies significantly improved air quality in many provinces in mainland China, with national average concentrations of PM2.5, PM10, and NO2 decreasing by 14%, 15%, and 16%, respectively, and O3 concentrations increasing by 9% during January-April 2020 compared to 2019.
3.3. Changes in Pollutant Concentrations in Industrial Emissions during the LP Compared to the NP
The first priority for controlling air pollutant emissions is industrial emissions [45], which are the main source of PM2.5, PM10, and NOx emissions. The lockdown policies during the LP in 2020 had a significant impact on the industry, with factories and companies shutting down or reducing their operations, but we do not know from the observed data exactly how much industrial emissions were reduced. Therefore, we used MEIC’s latest anthropogenic emission inventories for 2019 and 2020 [34] and designed experiments to quantify the changes in pollutant emissions from industry in Nanjing during the LP. By subtracting the simulation results of 2019 in Scenario 1 and Scenario 2, we obtained the industrial emission pollutant data during the NP, and by subtracting the simulation results of 2020 in Scenario 1 and Scenario 2, we obtained the industrial emission pollutant data during the LP, and the difference between the two was the change in industrial emission pollutants in Nanjing during the LP.
As shown in Figure 8, the impact of the lockdown policies at the beginning of the outbreak of COVID-19 in 2020 on the daily average concentrations of industrial emissions of NO2 was limited. The daily average concentrations of industrial emissions of NO2 during the entire LP were approximately 20 , and the magnitude of change in the daily average concentrations of NO2 was not too great except for some days. Compared to the NP, the overall average daily concentrations of industrial emissions of NO2 for the LP were still somewhat lower, but the reduction was not too significant. Industrial emissions, specifically PM2.5 and PM10 daily average concentrations, changed with a similar trend. At the beginning of the outbreak in 2020, Nanjing implemented a shutdown of enterprises and factories. Between 22 January and 26 January, there was a clear downward trend in PM2.5 and PM10 daily average concentrations due to the lockdown policies and rainfall. Between 27 January and 31 January, as the weather gradually cleared and the atmosphere stabilized, forming stationary weather, the PM2.5 and PM10 daily average concentrations gradually increased. Between 1 February and 6 February, as the temperature increased, the PM2.5 and PM10 daily average concentrations decreased. During the period from 1 February to 6 February, the daily average concentrations of PM2.5 and PM10 gradually increased as the temperature increased. From 7 February to 15 February, some important livelihood enterprises in Nanjing started to resume work and production, and the daily average PM2.5 and PM10 concentrations gradually rose but were affected by rainfall and snowfall, and the daily average PM2.5 and PM10 concentrations still decreased to a certain extent after the rise. After 16 February, the daily average PM2.5 and PM10 concentrations gradually rose again and tended to stabilize. Overall, the industrial emissions, specifically PM2.5 and PM10 daily average concentrations, during the LP still decreased to a greater extent compared to the NP.
Figure 8.
Daily average concentrations (μg/m3) of industrial emissions of NO2 (a), PM2.5 (b), and PM10 (c) in Nanjing during the NP and LP.
Figure 9 shows the average concentrations of industrial emissions of air pollutants in Nanjing during the LP, the NP, and the changes in industrial emissions of pollutants in Nanjing during the LP. The figure shows that the areas with the largest decrease in PM2.5 and PM10 concentrations from industrial emissions in Nanjing was located in the Yuhuatai, Jiangning, and Pukou districts of Nanjing, which is consistent with the actual locations of the major industrial zones in Nanjing. As a result of the COVID-19 lockdown policies, the average industrial emissions, specifically PM2.5 and PM10 concentrations, in Nanjing decreased by approximately 3~14 ; a decrease in approximately 24~40% compared to the NP. The decrease in the average concentration of industrial NO2 emissions was mainly located in the southern region of Nanjing (Jiangning District, Gaochun District, Lishui District, and Yuhuatai District), with a decrease in approximately 15~30%. The change in the concentration of industrial emissions of NO2 in the main urban area of Nanjing was not too great, while the average concentration of industrial emissions of NO2 in the northern area of Nanjing even showed a small increase, with a rise of approximately 15–30%.
Figure 9.
Spatial distribution of average NO2, PM2.5, and PM10 concentrations (μg/m3) from near-surface industrial emissions and the percentage reduction during the NP and LP in the Nanjing City model simulation.
Overall, the concentration of PM2.5 and PM10 from industrial emissions decreased by about 24~40% during the LP. In contrast, COVID-19 lockdown policies did not have as great an effect on the concentrations of NO2 from industrial emissions, which decreased by about 15% to 30%. PM2.5 and PM10 concentrations are more sensitive to primary particulate matter emissions [46], so the impact of COVID-19 lockdown policies on industrial emissions in 2020 is more reflected in PM2.5 and PM10.
3.4. Changes in Pollutant Concentrations in Traffic Emissions during the LP Compared to the NP
In recent years, as the number of motor vehicles has increased year by year, the total amount of pollution emitted from motor vehicles has also increased dramatically. Anthropogenic emissions from the transport sector are also considered to be one of the main causes of air pollution, especially NOx concentrations [47]. The impact of the COVID-19 lockdown policies, the implementation of very strict traffic controls at all levels of government from the end of January 2020, and the sharp reduction in motor vehicle road access, coupled with strict restrictions on residential travel, resulted in a significant reduction in traffic emissions. Feng et al. [48] used a regional data assimilation system and near-surface NO2 observations to extrapolate daily NOx emissions and found that across China, NOx emissions were reduced by 36% as a result of the COVID-19 lockdown, which was mainly due to a reduction in transport. Jeong et al. [49] found that in the Canadian city of Toronto during COVID-19, average traffic decreased by 58%, while PM2.5 decreased by only 4% relative to the baseline. Therefore, using the same approach as quantifying industrial emissions, the latest MEIC emission inventories for 2019 and 2020 were used to obtain traffic emission pollutant data for 2019 for the same period as COVID-19 lockdown by subtracting the simulation results for 2019 from Scenario 1 and Scenario 3 and subtracting the simulation results for 2020 from Scenario 1 and Scenario 3 to obtain traffic emission pollutant data for 2020 during the COVID-19 lockdown period, with the difference between the two being the change in traffic emission pollutant concentrations in Nanjing during the COVID-19 lockdown period.
As shown in Figure 10, the average daily NO2 concentration from traffic emissions during the LP was approximately 20 , which was not too different compared to the average daily NO2 concentration during the same period in 2019, except for some days. At the beginning of the LP, there was a significant decrease in the average daily NO2 concentration due to the COVID-19 lockdown measures and rainfall, after which the average daily NO2 average concentrations gradually increased, with concentrations remaining at approximately 16 . From 7 February to 10 February 2020, there was a clear upward trend in the daily average NO2 concentration as enterprises gradually resumed work and production, residents were gradually able to go out, the gathering of people increased, and public transport gradually resumed operation. 12 February to 15 February 2020 was affected by rainfall, and the daily average NO2 concentration started to decrease and gradually increased after 16 February. From 1 February 2019 to 5 February, influenced by the 2019 Chinese New Year, there was a peak in NO2 concentrations from traffic emissions and a significant downward trend in the daily average NO2 concentrations in 2019 from 6 February to 14 February, influenced by prolonged rainfall. Overall, except for some days, the overall traffic emission, NO2 daily average concentration was still somewhat lower in the LP compared to the NP. Traffic emissions, specifically PM2.5 and PM10 daily average concentrations, in 2020 changed in a similar trend to that of NO2. At the beginning of the LP, there was a significant decrease in the daily average PM2.5 and PM10 concentrations, with a significant increase after 7 February. From 9 February to 15 February, there was a downward trend in the daily average PM2.5, and PM10 concentrations as the temperature rose, and rainfall occurred.
Figure 10.
Daily average concentrations (μg/m3) of traffic emissions of NO2 (a), PM2.5 (b), and PM10 (c) in Nanjing during the NP and LP.
Figure 11 shows the average concentrations of air pollutants emitted from traffic in Nanjing during the LP, NP, and the reduction rate of pollutants emitted from traffic in Nanjing during LP. The graph shows that the PM2.5 and PM10 concentrations from traffic emissions in Nanjing in 2019 were approximately 8~15 , while in the same period in 2020, there was a small decrease with overall concentrations in a range of 7~12 ; an overall decrease in approximately 18~24%, with PM2.5 and PM10 reduction areas mainly in Jiangning District, Nanjing, which is an important transportation and logistics hub and airport hub in Nanjing; therefore, the results obtained from the simulation are consistent with the actual situation. While the concentration of traffic NO2 emissions was smaller in the main urban area of Nanjing, it was larger around Nanjing. The 2019 Nanjing traffic emission NO2 concentration was approximately 18~30 . In 2020, during LP, the traffic emission NO2 concentration decreased significantly, and in 2020, the Nanjing traffic emission NO2 concentration decreased to 15~22 , with an overall reduction in approximately 20~40%, representing a large reduction. Overall, the impact of the 2020 COVID-19 lockdown policies on traffic emission pollutants was reflected more in the impact on NO2 concentrations, while for PM2.5 and PM10, the changes during the COVID-19 lockdown period were not as significant as the changes in NO2 concentrations.
Figure 11.
Spatial distribution of average NO2, PM2.5, and PM10 concentrations (μg/m3) and reduction ratio of near-surface traffic emissions during the NP and LP in the Nanjing City model simulation.
4. Discussion
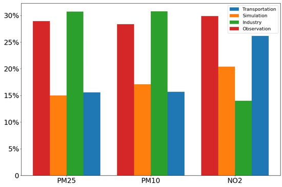
In this study, the changes in air pollutant concentrations during the LP in Nanjing compared to the NP were obtained, as well as the changes in pollutant emissions from industry and transportation. As shown in Figure 12, the observed PM2.5, PM10, and NO2 concentrations during the LP in Nanjing were 28.9%, 28.3%, and 29.8% lower, respectively, compared to the NP. Due to the different time periods selected for the COVID-19 lockdown, the observed pollutant reduction concentrations obtained in this study were slightly lower than those in the study by Chu et al. [40]. The model-simulated PM2.5, PM10, and NO2 concentrations were reduced by 15%, 17.1%, and 20.3%, respectively, and similar results were obtained by Cai et al. [50] using an assimilation system. The results of the study showed that the reduction in anthropogenic emissions resulting from the strict lockdown policies, such as traffic restrictions and factory shutdown implemented in Nanjing during the LP, was effective in reducing PM2.5, PM10, and NO2 concentrations. Previous studies have shown that other cities implemented strict lockdown policies to reduce air pollutant concentrations [51] and that PM2.5 and NO2 were more sensitive to anthropogenic emission reductions [52].
Figure 12.
Proportional reduction in model-simulated pollutants observed pollutants, traffic emissions, and industrial emissions of pollutants concentrations during the LP.
Since the COVID-19 lockdown policies had a significant impact on the reduction in emissions from the transport and industrial sectors, this study used a “zero-out” approach to quantify the changes in industrial and transport emissions during the LP by designing different scenarios. The results showed that both industrial and transport emissions decreased to a certain extent in the LP compared to the NP. The concentration of industrial emissions of PM2.5, PM10, and NO2 decreased by 30.7%, 30.8%, and 14%, respectively, and the impact of the lockdown policies on industrial emissions was greater on PM2.5 and PM10. At the same time, the impact on transport emissions was 15.6%, 15.7%, and 26.2%, respectively. The impact of the COVID-19 lockdown policies on traffic emissions was greater on the NO2 concentration [48]. In other studies, Jia et al. [53] concluded that automobile exhaust emissions and petrochemical industry emissions were the main contributors to VOCs in the atmospheric environment. Ciarelli et al. [17] highlights the importance of other emission categories other than traffic for the total PM2.5 levels. Feng et al. [16] showed that industrial shutdowns contributed much more to pollutant reductions than transport restrictions, and Liu et al. [54] showed that significant reductions in vehicle emissions were effective in reducing urban NOx concentrations. Wong et al. [55] found that reduced public transportation use had a more significant impact than meteorology on air quality improvement in Taiwan, while Wang et al. [56] highlights that large emissions reduction in transportation and a slight reduction in industrial would not help avoid severe air pollution in China, especially when meteorology is unfavorable.
5. Conclusions
In this paper, we studied the changes in air pollutant concentrations in Nanjing during the LP and the NP by using the WRF-Chem model and the latest anthropogenic emission inventory of Tsinghua University MEIC for 2019 and 2020 to simulate the air pollutants during the LP and NP. Based on the “zero-out” method, different emission scenarios were designed to quantify the impact of the lockdown policies on the industrial and transportation air pollutants in Nanjing. The WRF-Chem model can better capture the spatio-temporal characteristics of the four air pollutants, but it overestimated the concentration of air pollutants during the COVID-19 lockdown, which may be due to the uncertainty of the anthropogenic emission inventory. The study found that affected by the COVID-19 lockdown, the concentration of PM2.5 and PM10 in Nanjing decreased by 10–20%, and the concentration of NO2 decreased by 16–40% compared with the same period in 2019, while the concentration of O3 showed the opposite trend, rising by about 10–40%. The results showed that strict lockdown policies implemented during the COVID-19 lockdown, such as home quarantine, closing factories, and reducing public transport operations, reduced anthropogenic emissions and reduced air pollutant concentrations. The decrease in atmospheric pollutant concentration was mainly concentrated in the main urban area and main industrial area of Nanjing. The strict lockdown policies implemented during the COVID-19 lockdown had a greater impact on the concentrations of PM2.5 and PM10z emitted by industry and NO2 emitted by traffic in Nanjing.
However, the study had some limitations. Since the data given in the MEIC anthropogenic emissions inventory is the total monthly emissions, and hourly data are required for model input, we divided the MEIC emissions inventory equally among the hours. Since the COVID-19 lockdown began in late January and ended in late February, there may be some errors between the input anthropogenic emission data and the actual situation, which may overestimate the concentration of air pollutants during the COVID-19 lockdown. Due to the nonlinear nature of the atmospheric chemical reaction process, although the “zero-out” method can preliminarily quantify the impact of the COVID-19 lockdown policies on pollutant emissions from industry and traffic in Nanjing, there may still have been some discrepancies with the actual situation. This paper prioritizes the impact of lockdown measures on emissions from the industrial and transport sectors, as COVID-19 lockdown policies have had the greatest impact on these sectors. In future studies, we may discuss the impact of COVID-19 lockdowns on the two remaining emitting sectors (the power sector and the residential sector). In addition, the study did not discuss in detail the impact of changes in meteorological conditions on air pollutants during the COVID-19 lockdown. Despite some limitations, the results of this study can still provide a theoretical basis for the future treatment of PM2.5 and NO2 pollution in Nanjing.
Author Contributions
Conceptualization, Z.Y. and Y.W.; Methodology, Z.Y.; Software, Z.Y.; Validation, Z.Y.; Formal analysis, Z.Y.; Investigation, Z.Y. and F.S.; Resources, X.Q.; Data curation, F.S.; Writing—original draft, Z.Y.; Writing—review & editing, Y.W. and X.Q; Visualization, Z.Y. Supervision, Y.W. and X.Q.; Project administration, X.Q.; Funding acquisition, X.Q. All authors have read and agreed to the published version of the manuscript.
Funding
This research was sponsored by the “National Key R&D Program of China” with grant number (2019YFB2102003) and the “Postgraduate Education Reform Project of Jiangsu Province” with grant number (KYCX22_1170).
Institutional Review Board Statement
Not applicable.
Informed Consent Statement
Not applicable.
Data Availability Statement
Data are available from the corresponding author on reasonable request.
Acknowledgments
We are grateful to the MEIC team for providing the Chinese anthropogenic emission source data for 2019–2020 (gridded emission data available for the model).
Conflicts of Interest
The authors declare no conflict of interest.
Abbreviations
| LP | Lockdown Period |
| NP | Normal Period |
| MEIC | Multi-resolution Emission Inventory for China |
| RRTMG | A new version of Rapid Radiative Transfer Model |
| MYJ | Mellor-Yamada-Janjic |
| BEP | Building Environment Parameterization |
| CBMZ | Carbon–Bond Mechanism version Z |
| MOSAIC | Model for Simulating Aerosol Interactions and Chemistry |
References
- Lelieveld, J.; Evans, J.S.; Fnais, M.; Giannadaki, D.; Pozzer, A. The contribution of outdoor air pollution sources to premature mortality on a global scale. Nature 2015, 525, 367–371. [Google Scholar] [CrossRef] [PubMed]
- Guo, H.; Kota, S.H.; Sahu, S.K.; Hu, J.; Ying, Q.; Gao, A.; Zhang, H. Source apportionment of PM2.5 in North India using source-oriented air quality models. Environ. Pollut. 2017, 231, 426–436. [Google Scholar] [CrossRef] [PubMed]
- IQAir. 2020 World Air Quality Report; IQAir: Goldach, Switzerland, 2020. [Google Scholar]
- Coccia, M. Factors determining the diffusion of COVID-19 and suggested strategy to prevent future accelerated viral infectivity similar to COVID. Sci. Total Environ. 2020, 729, 138474. [Google Scholar] [CrossRef] [PubMed]
- Liang, D.; Shi, L.; Zhao, J.; Liu, P.; Sarnat, J.A.; Gao, S.; Schwartz, J.; Liu, Y.; Ebelt, S.T.; Scovronick, N.; et al. Urban Air Pollution May Enhance COVID-19 Case-Fatality and Mortality Rates in the United States. Innovation 2020, 1, 100047. [Google Scholar] [CrossRef] [PubMed]
- Board, M.P.C. Impact Evaluation of COVID-19 Pandemic on Environmental Attributes; Maharashtra Pollution Control Board: Maharashtra, India, 2022.
- Gautam, S. COVID-19: Air pollution remains low as people stay at home. Air Qual. Atmos. Health 2020, 13, 853–857. [Google Scholar] [CrossRef]
- Muhammad, S.; Long, X.; Salman, M. COVID-19 pandemic and environmental pollution: A blessing in disguise? Sci. Total Environ. 2020, 728, 138820. [Google Scholar] [CrossRef]
- Chen, Q.-X.; Huang, C.-L.; Yuan, Y.; Tan, H.-P. Influence of COVID-19 Event on Air Quality and their Association in Mainland China. Aerosol Air Qual. Res. 2020, 20, 1541–1551. [Google Scholar] [CrossRef]
- Berman, J.D.; Ebisu, K. Changes in U.S. air pollution during the COVID-19 pandemic. Sci. Total Environ. 2020, 739, 139864. [Google Scholar] [CrossRef]
- Agarwal, A.; Kaushik, A.; Kumar, S.; Mishra, R.K. Comparative study on air quality status in Indian and Chinese cities before and during the COVID-19 lockdown period. Air Qual. Atmos. Health 2020, 13, 1167–1178. [Google Scholar] [CrossRef]
- Wong, Y.J.; Yeganeh, A.; Chia, M.Y.; Shiu, H.Y.; Ooi, M.C.G.; Chang, J.H.W.; Shimizu, Y.; Ryosuke, H.; Try, S.; Elbeltagi, A. Quantification of COVID-19 impacts on NO2 and O3: Systematic model selection and hyperparameter optimization on AI-based meteorological-normalization methods. Atmos. Environ. 2023, 301, 119677. [Google Scholar] [CrossRef]
- Habibi, H.; Awal, R.; Fares, A.; Ghahremannejad, M. COVID-19 and the Improvement of the Global Air Quality: The Bright Side of a Pandemic. Atmosphere 2020, 11, 1279. [Google Scholar] [CrossRef]
- Tang, R.; Huang, X.; Zhou, D.; Wang, H.; Xu, J.; Ding, A. Global air quality change during the COVID-19 pandemic: Regionally different ozone pollution responses COVID-19. Atmos. Ocean. Sci. Lett. 2021, 14, 100015. [Google Scholar] [CrossRef]
- Dai, Q.; Hou, L.; Liu, B.; Zhang, Y.; Song, C.; Shi, Z.; Hopke, P.K.; Feng, Y. Spring Festival and COVID-19 Lockdown: Disentangling PM Sources in Major Chinese Cities. Geophys. Res. Lett. 2021, 48, e2021GL093403. [Google Scholar] [CrossRef]
- Feng, X.; Zhang, X.; He, C.; Wang, J. Contributions of Traffic and Industrial Emission Reductions to the Air Quality Improvement after the Lockdown of Wuhan and Neighboring Cities Due to COVID-19. Toxics 2021, 9, 358. [Google Scholar] [CrossRef]
- Ciarelli, G.; Jiang, J.; El Haddad, I.; Bigi, A.; Aksoyoglu, S.; Prevot, A.S.H.; Marinoni, A.; Shen, J.; Yan, C.; Bianchi, F. Modeling the effect of reduced traffic due to COVID-19 measures on air quality using a chemical transport model: Impacts on the Po Valley and the Swiss Plateau regions. Environ. Sci. Atmos. 2021, 1, 228–240. [Google Scholar] [CrossRef]
- Wang, S.; Zhang, Y.; Ma, J.; Zhu, S.; Shen, J.; Wang, P.; Zhang, H. Responses of decline in air pollution and recovery associated with COVID-19 lockdown in the Pearl River Delta. Sci. Total Environ. 2021, 756, 143868. [Google Scholar] [CrossRef]
- Zhang, C.; Yu, X.; An, J.; Zhu, B.; Lin, M. Aerosol Chemical Characteristics for Different Air Pollution Levels in North Suburban Nanjing. Environ. Sci. 2017, 38, 4932–4942. [Google Scholar] [CrossRef]
- Zu, Y.; Huang, L.; Hu, J.; Zhao, Z.; Liu, H.; Zhang, H.; Ying, Q.; Chen, M. Investigation of relationships between meteorological conditions and high PM10 pollution in a megacity in the western Yangtze River Delta, China. Air Qual. Atmos. Health 2017, 10, 713–724. [Google Scholar] [CrossRef]
- Skamarock, W.C.; Klemp, J.B.; Dudhia, J.; Gill, D.O.; Barker, D.; Duda, M.G.; Huang, X.-y.; Wang, W.; Powers, J.G. A Description of the Advanced Research WRF Version 3; University Corporation for Atmospheric Research: Boulder, CO, USA, 2008. [Google Scholar]
- Grell, G.A.; Peckham, S.E.; Schmitz, R.; McKeen, S.A.; Frost, G.; Skamarock, W.C.; Eder, B. Fully coupled “online” chemistry within the WRF model. Atmos. Environ. 2005, 39, 6957–6975. [Google Scholar] [CrossRef]
- National Centers for Environmental Prediction/National Weather Service/NOAA/US Department of Commerce. NCEP GDAS/FNL 0.25 Degree Global Tropospheric Analyses and Forecast Grids. In Research Data Archive at the National Center for Atmospheric Research; Computational and Information Systems Laboratory: Boulder, CO, USA, 2015. [Google Scholar] [CrossRef]
- Guenther, A.; Karl, T.; Harley, P.; Wiedinmyer, C.; Palmer, P.I.; Geron, C. Estimates of global terrestrial isoprene emissions using MEGAN (Model of Emissions of Gases and Aerosols from Nature). Atmos. Chem. Phys. 2006, 6, 3181–3210. [Google Scholar] [CrossRef]
- Lin, Y.-L.; Farley, R.D.; Orville, H.D. Bulk Parameterization of the Snow Field in a Cloud Model. J. Appl. Meteorol. 1983, 22, 1065–1092. [Google Scholar] [CrossRef]
- Iacono, M.J.; Delamere, J.S.; Mlawer, E.J.; Shephard, M.W.; Clough, S.A.; Collins, W.D. Radiative forcing by long-lived greenhouse gases: Calculations with the AER radiative transfer models. J. Geophys. Res. 2008, 113. [Google Scholar] [CrossRef]
- Janjic, Z. The Mellor-Yamada Level 2.5 Turbulence Closure Scheme in the NCEP Eta Model; World Meteorological Organization-Publications-WMO TD: Boston, MA, USA, 1996; pp. 4.14–4.15. [Google Scholar]
- Mellor, G.L.; Yamada, T. Development of a turbulence closure model for geophysical fluid problems. Rev. Geophys. 1982, 20, 851–875. [Google Scholar] [CrossRef]
- Tewari, M.; Wang, W.; Dudhia, J.; LeMone, M.A.; Mitchell, K.; Ek, M.; Gayno, G.; Wegiel, J.; Cuenca, R. Implementation and verification of the united NOAH land surface model in the WRF model. In Proceedings of the 20th Conference on Weather Analysis and Forecasting/16th Conference on Numerical Weather Prediction; American Meteorological Society: Seattle, WA, USA, 2004; pp. 11–15. [Google Scholar]
- Grell, G.A.; Dévényi, D. A generalized approach to parameterizing convection combining ensemble and data assimilation techniques. Geophys. Res. Lett. 2002, 29, 38-1–38-4. [Google Scholar] [CrossRef]
- Salamanca, F.; Martilli, A. A new Building Energy Model coupled with an Urban Canopy Parameterization for urban climate simulations—Part II. Validation with one dimension off-line simulations. Theor. Appl. Climatol. 2009, 99, 345. [Google Scholar] [CrossRef]
- Zaveri, R.A.; Peters, L.K. A new lumped structure photochemical mechanism for large-scale applications. J. Geophys. Res. Atmos. 1999, 104, 30387–30415. [Google Scholar] [CrossRef]
- Zaveri, R.A.; Easter, R.C.; Fast, J.D.; Peters, L.K. Model for Simulating Aerosol Interactions and Chemistry (MOSAIC). J. Geophys. Res. 2008, 113. [Google Scholar] [CrossRef]
- Zheng, B.; Zhang, Q.; Geng, G.; Chen, C.; Shi, Q.; Cui, M.; Lei, Y.; He, K. Changes in China’s anthropogenic emissions and air quality during the COVID-19 pandemic in 2020. Earth Syst. Sci. Data 2021, 13, 2895–2907. [Google Scholar] [CrossRef]
- Zheng, B.; Cheng, J.; Geng, G.; Wang, X.; Li, M.; Shi, Q.; Qi, J.; Lei, Y.; Zhang, Q.; He, K. Mapping anthropogenic emissions in China at 1 km spatial resolution and its application in air quality modeling. Sci. Bull. 2021, 66, 612–620. [Google Scholar] [CrossRef]
- Zhang, L.; Wang, T.; Lv, M.Y.; Zhang, Q. On the severe haze in Beijing during January 2013: Unraveling the effects of meteorological anomalies with WRF-Chem. Atmos. Environ. 2015, 104, 11–21. [Google Scholar] [CrossRef]
- Li, X.; Zhang, Q.; Zhang, Y.; Zheng, B.; Wang, K.; Chen, Y.; Wallington, T.J.; Han, W.J.; Shen, W.; Zhang, X.Y.; et al. Source contributions of urban PM2.5 in the Beijing-Tianjin-Hebei region: Changes between 2006 and 2013 and relative impacts of emissions and meteorology. Atmos. Environ. 2015, 123, 229–239. [Google Scholar] [CrossRef]
- Xing, J.; Zhang, Y.; Wang, S.X.; Liu, X.H.; Cheng, S.H.; Zhang, Q.A.; Chen, Y.S.; Streets, D.G.; Jang, C.; Hao, J.M.; et al. Modeling study on the air quality impacts from emission reductions and atypical meteorological conditions during the 2008 Beijing Olympics. Atmos. Environ. 2011, 45, 1786–1798. [Google Scholar] [CrossRef]
- Boylan, J.W. PM and light extinction model performance metrics, goals, and criteria for three-dimensional air quality models. Atmos. Environ. 2005, 40, 4946–4959. [Google Scholar] [CrossRef]
- Chu, C.; Jiang, F.; Sun, X.; Liang, J.; JIang, Y.; Qin, Y. Characteristics of air pollution concentration changes during COVID-19 restriction periods in Jiangsu Province. J. Meteorol. Sci. 2022, 42, 51–60. [Google Scholar] [CrossRef]
- Seinfeld, J.H.; Pandis, S.N. Atmospheric Chemistry and Physics: From Air Pollution to Climate Change, 3rd, ed.; John Wiley & Sons: Hoboken, NJ, USA, 2016. [Google Scholar]
- Levy, M.; Zhang, R.; Zheng, J.; Zhang, A.L.; Xu, W.; Gomez-Hernandez, M.; Wang, Y.; Olaguer, E. Measurements of nitrous acid (HONO) using ion drift-chemical ionization mass spectrometry during the 2009 SHARP field campaign. Atmos. Environ. 2014, 94, 231–240. [Google Scholar] [CrossRef]
- Le, T.; Wang, Y.; Liu, L.; Yang, J.; Yung, Y.L.; Li, G.; Seinfeld, J.H. Unexpected air pollution with marked emission reductions during the COVID-19 outbreak in China. Science 2020, 369, 702–706. [Google Scholar] [CrossRef]
- Wang, Q.; Li, S. Nonlinear impact of COVID-19 on pollutions—Evidence from Wuhan, New York, Milan, Madrid, Bandra, London, Tokyo and Mexico City. Sustain. Cities Soc. 2021, 65, 102629. [Google Scholar] [CrossRef]
- Zheng, B.; Tong, D.; Li, M.; Liu, F.; Hong, C.; Geng, G.; Li, H.; Li, X.; Peng, L.; Qi, J.; et al. Trends in China’s anthropogenic emissions since 2010 as the consequence of clean air actions. Atmos. Chem. Phys. 2018, 18, 14095–14111. [Google Scholar] [CrossRef]
- Wu, W.; Chang, X.; Xing, J.; Wang, S.; Hao, J. Assessment of PM2.5 Pollution Mitigation due to Emission Reduction from Main Emission Sources in the Bejing-Tianjin-Hebei Region. Environ. Sci. 2016, 38, 867–875. [Google Scholar] [CrossRef]
- Pan, S.; Roy, A.; Choi, Y.; Eslami, E.; Thomas, S.; Jiang, X.Y.; Gao, H.O. Potential impacts of electric vehicles on air quality and health endpoints in the Greater Houston Area in 2040. Atmos. Environ. 2019, 207, 38–51. [Google Scholar] [CrossRef]
- Feng, S.; Jiang, F.; Wang, H.; Wang, H.; Ju, W.; Shen, Y.; Zheng, Y.; Wu, Z.; Ding, A. NOx Emission Changes Over China During the COVID-19 Epidemic Inferred From Surface NO2 Observations. Geophys. Res. Lett. 2020, 47, e2020GL090080. [Google Scholar] [CrossRef] [PubMed]
- Jeong, C.H.; Yousif, M.; Evans, G.J. Impact of the COVID-19 lockdown on the chemical composition and sources of urban PM2.5. Environ. Pollut. 2022, 292, 118417. [Google Scholar] [CrossRef] [PubMed]
- Cai, J.; Peng, Z.; Sun, J.; Xie, Y.; Liu, Q. Evaluating the impact of the COVID-19 lockdown on the pollutant emissions reduction in Nanjing. Acta Sci. Circumstantiae 2021, 41, 2959–2965. [Google Scholar] [CrossRef]
- Wang, M.; Lu, S.; Shao, M.; Zeng, L.; Zheng, J.; Xie, F.; Lin, H.; Hu, K.; Lu, X. Impact of COVID-19 lockdown on ambient levels and sources of volatile organic compounds (VOCs) in Nanjing, China. Sci. Total Environ. 2021, 757, 143823. [Google Scholar] [CrossRef]
- Zhang, C.; Wang, D.; Zhao, T.; Du, J.; Yu, Y.; Zhou, C. Causes of variation of air pollutant concentration in Shenyang during the COVID-19 epidemic based on WRF-Chem and EMI-index. Acta Sci. Circumstantiae 2021, 41, 3709–3716. [Google Scholar] [CrossRef]
- Jia, H.; Huo, J.; Fu, Q.; Duan, Y.; Lin, Y.; Jin, X.; Hu, X.; Cheng, J. Insights into chemical composition, abatement mechanisms and regional transport of atmospheric pollutants in the Yangtze River Delta region, China during the COVID-19 outbreak control period. Environ. Pollut. 2020, 267, 115612. [Google Scholar] [CrossRef]
- Liu, L.; Zhang, J.; Du, R.; Teng, X.; Hu, R.; Yuan, Q.; Tang, S.; Ren, C.; Huang, X.; Xu, L.; et al. Chemistry of Atmospheric Fine Particles During the COVID-19 Pandemic in a Megacity of Eastern China. Geophys. Res. Lett. 2021, 48, 2020GL091611. [Google Scholar] [CrossRef]
- Wong, Y.J.; Shiu, H.Y.; Chang, J.H.; Ooi, M.C.G.; Li, H.H.; Homma, R.; Shimizu, Y.; Chiueh, P.T.; Maneechot, L.; Nik Sulaiman, N.M. Spatiotemporal impact of COVID-19 on Taiwan air quality in the absence of a lockdown: Influence of urban public transportation use and meteorological conditions. J. Clean. Prod. 2022, 365, 132893. [Google Scholar] [CrossRef]
- Wang, P.; Chen, K.; Zhu, S.; Wang, P.; Zhang, H. Severe air pollution events not avoided by reduced anthropogenic activities during COVID-19 outbreak. Resour. Conserv. Recycl. 2020, 158, 104814. [Google Scholar] [CrossRef]
Disclaimer/Publisher’s Note: The statements, opinions and data contained in all publications are solely those of the individual author(s) and contributor(s) and not of MDPI and/or the editor(s). MDPI and/or the editor(s) disclaim responsibility for any injury to people or property resulting from any ideas, methods, instructions or products referred to in the content. |
© 2023 by the authors. Licensee MDPI, Basel, Switzerland. This article is an open access article distributed under the terms and conditions of the Creative Commons Attribution (CC BY) license (https://creativecommons.org/licenses/by/4.0/).











