Positive Effect Observed on Reducing Criteria Pollutant Emissions Provided by Provisional Local Regulations during the 2022 Winter Olympics
Abstract
1. Introduction
2. Materials and Methods
2.1. Air Pollution Prevention Policies and Regulations
2.2. Study Area and Air Monitoring Sites
2.3. Definition of the Time Window
2.4. Air Pollutant Dataset
2.5. Reducing the Impacts of Weather and Human Factors on the Dataset
2.6. Statistical Analysis Methods
3. Results and Discussion
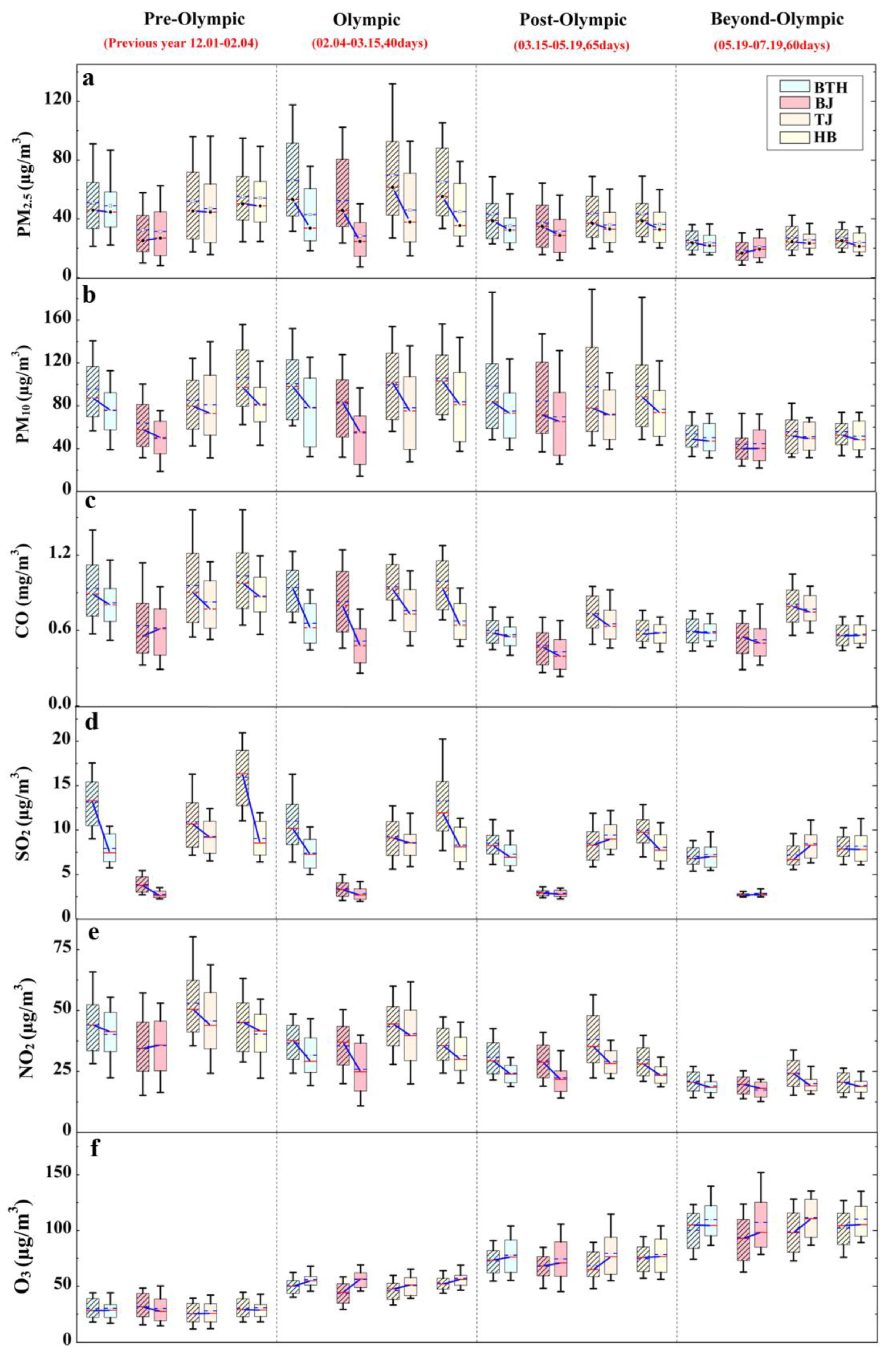
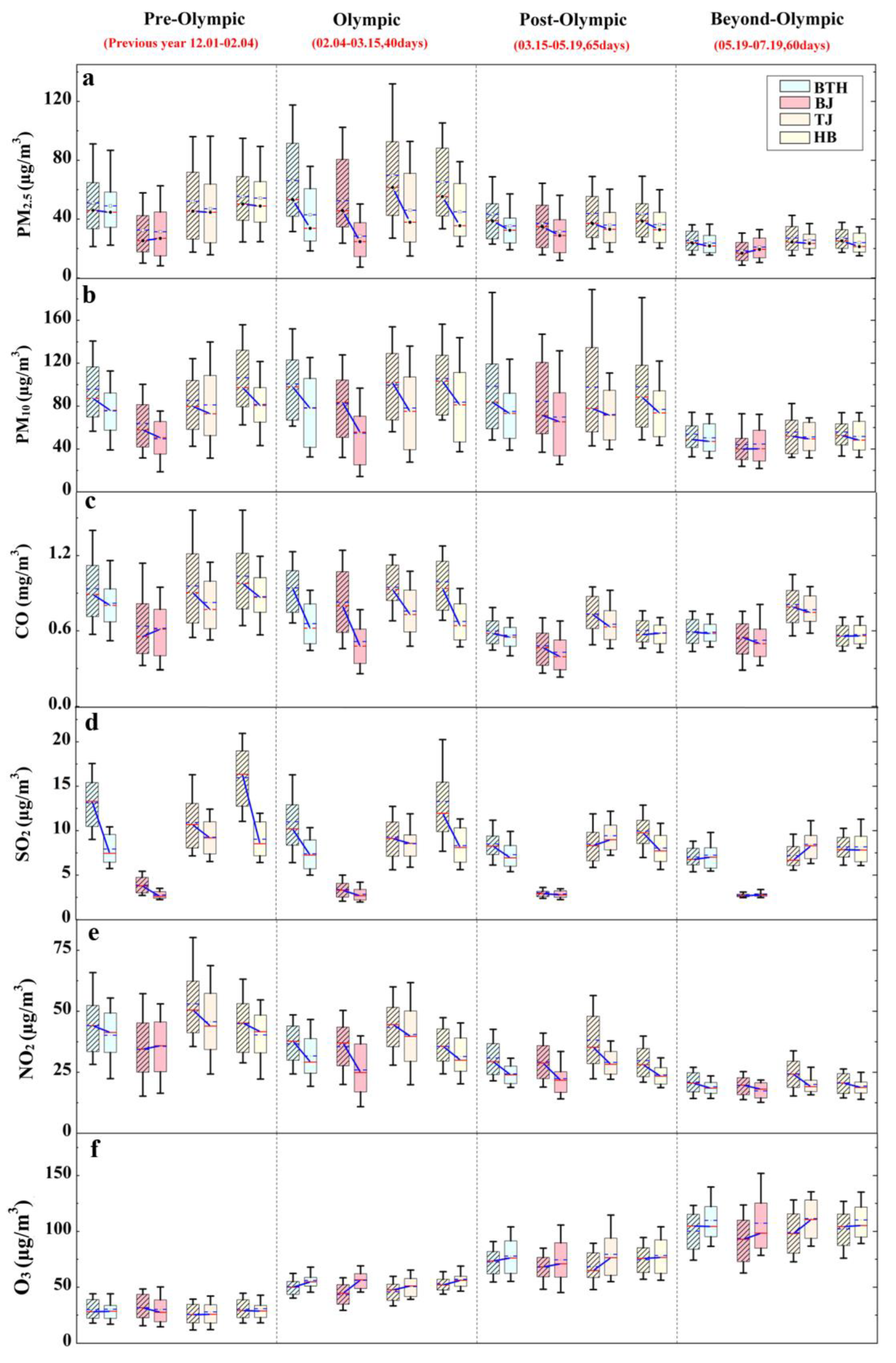
3.1. Analysis of the Criteria Pollutant Concentrations in the Entire Study Area, Provinces, and Municipalities within a Given Time Window
3.1.1. Overall Evaluation Analysis of PM2.5
3.1.2. Overall Evaluation Analysis of PM10
3.1.3. Overall Evaluation Analysis of CO
3.1.4. Overall Evaluation Analysis of SO2
3.1.5. Overall Evaluation Analysis of NO2 and O3
3.2. Reduction in Emissions in the BTH Urban Area during the 2022 Winter Olympics
3.3. Evaluation of the Daily Average Quality via the Air Pollution Concentration in the Cities Hosting the 2022 Winter Olympics
4. Conclusions
Author Contributions
Funding
Institutional Review Board Statement
Informed Consent Statement
Data Availability Statement
Acknowledgments
Conflicts of Interest
References
- Bennett, J.E.; Tamura-Wicks, H.; Parks, R.M.; Burnett, R.T.; Pope, C.A.; Bechle, M.J.; Marshall, J.D.; Danaei, G.; Ezzati, M. Particulate Matter Air Pollution and National and County Life Expectancy Loss in the USA: A Spatiotemporal Analysis. PLoS Med. 2019, 16, e1002856. [Google Scholar] [CrossRef] [PubMed]
- Feng, S.; Gao, D.; Liao, F.; Zhou, F.; Wang, X. The Health Effects of Ambient PM2.5 and Potential Mechanisms. Ecotoxicol. Environ. Saf. 2016, 128, 67–74. [Google Scholar] [CrossRef] [PubMed]
- Pui, D.Y.H.; Chen, S.-C.; Zuo, Z. PM2.5 in China: Measurements, Sources, Visibility and Health Effects, and Mitigation. Particuology 2014, 13, 1–26. [Google Scholar] [CrossRef]
- Curtis, L.; Rea, W.; Smith-Willis, P.; Fenyves, E.; Pan, Y. Adverse Health Effects of Outdoor Air Pollutants. Environ. Int. 2006, 32, 815–830. [Google Scholar] [CrossRef]
- Greenberg, N.; Carel, R.S.; Derazne, E.; Bibi, H.; Shpriz, M.; Tzur, D.; Portnov, B.A. Different Effects of Long-Term Exposures to SO2 and NO2 Air Pollutants on Asthma Severity in Young Adults. J. Toxicol. Environ. Health A 2016, 79, 342–351. [Google Scholar] [CrossRef]
- Pandey, J.S.; Kumar, R.; Devotta, S. Health Risks of NO2, SPM and SO2 in Delhi (India). Atmos. Environ. 2005, 39, 6868–6874. [Google Scholar] [CrossRef]
- Nazaroff, W.W.; Weschler, C.J. Cleaning Products and Air Fresheners: Exposure to Primary and Secondary Air Pollutants. Atmos. Environ. 2004, 38, 2841–2865. [Google Scholar] [CrossRef]
- Bozkurt, Z.; Üzmez, Ö.Ö.; Döğeroğlu, T.; Artun, G.; Gaga, E.O. Atmospheric Concentrations of SO2, NO2, Ozone and VOCs in Düzce, Turkey Using Passive Air Samplers: Sources, Spatial and Seasonal Variations and Health Risk Estimation. Atmos. Pollut. Res. 2018, 9, 1146–1156. [Google Scholar] [CrossRef]
- Hossain, M.S.; Frey, H.C.; Louie, P.K.K.; Lau, A.K.H. Combined Effects of Increased O3 and Reduced NO2 Concentrations on Short-Term Air Pollution Health Risks in Hong Kong. Environ. Pollut. 2021, 270, 116280. [Google Scholar] [CrossRef]
- Tao, C.; Liao, Z.; Hu, M.; Cheng, B.; Diao, G. Can Industrial Restructuring Improve Urban Air Quality?—A Quasi-Experiment in Beijing during the COVID-19 Pandemic. Atmosphere 2022, 13, 119. [Google Scholar] [CrossRef]
- Wang, Y.; Yuan, Y.; Wang, Q.; Liu, C.; Zhi, Q.; Cao, J. Changes in Air Quality Related to the Control of Coronavirus in China: Implications for Traffic and Industrial Emissions. Sci. Total Environ. 2020, 731, 139133. [Google Scholar] [CrossRef] [PubMed]
- Yao, L.; Wang, D.; Fu, Q.; Qiao, L.; Wang, H.; Li, L.; Sun, W.; Li, Q.; Wang, L.; Yang, X.; et al. The Effects of Firework Regulation on Air Quality and Public Health during the Chinese Spring Festival from 2013 to 2017 in a Chinese Megacity. Environ. Int. 2019, 126, 96–106. [Google Scholar] [CrossRef] [PubMed]
- McKenzie, D.C.; Boulet, L.-P. Asthma, Outdoor Air Quality and the Olympic Games. Can. Med. Assoc. J. 2008, 179, 543–548. [Google Scholar] [CrossRef] [PubMed][Green Version]
- Ventura, L.M.B.; Ramos, M.B.; Santos, J.O.; Gioda, A. Monitoring of Air Quality before the Olympic Games Rio 2016. An. Acad. Bras. Ciências 2019, 91, e20170984. [Google Scholar] [CrossRef]
- Friedman, M.S.; Powell, K.E.; Hutwagner, L.; Graham, L.M.; Teague, W.G. Impact of Changes in Transportation and Commuting Behaviors During the 1996 Summer Olympic Games in Atlanta on Air Quality and Childhood Asthma. JAMA 2001, 285, 897–905. [Google Scholar] [CrossRef]
- Wang, S.; Zhao, M.; Xing, J.; Wu, Y.; Zhou, Y.; Lei, Y.; He, K.; Fu, L.; Hao, J. Quantifying the Air Pollutants Emission Reduction during the 2008 Olympic Games in Beijing. Environ. Sci. Technol. 2010, 44, 2490–2496. [Google Scholar] [CrossRef]
- Ding, J.; van der A, R.J.; Mijling, B.; Levelt, P.F.; Hao, N. NOx Emission Estimates during the 2014 Youth Olympic Games in Nanjing. Atmos. Chem. Phys. 2015, 15, 9399–9412. [Google Scholar] [CrossRef]
- Li, S.; Xu, S.; Liu, Y. Major Features of China’s Current Macro Economy. In The China Economy Yearbook; Brill: Leiden, The Netherlands, 2010; Volume 4, pp. 51–61. ISBN 978-90-04-19033-7. [Google Scholar]
- Wang, T.; Du, H.; Zhao, Z.; Zhou, Z.; Russo, A.; Xi, H.; Zhang, J.; Zhou, C. Prediction of the Impact of Meteorological Conditions on Air Quality during the 2022 Beijing Winter Olympics. Sustainability 2022, 14, 4574. [Google Scholar] [CrossRef]
- Chu, F.; Gong, C.; Sun, S.; Li, L.; Yang, X.; Zhao, W. Air Pollution Characteristics during the 2022 Beijing Winter Olympics. Int. J. Environ. Res. Public. Health 2022, 19, 11616. [Google Scholar] [CrossRef]
- Wu, Q.; Wu, Z.; Li, S.; Chen, Z. The Impact of the Beijing Winter Olympic Games on Air Quality in the Beijing–Tianjin–Hebei Region: A Quasi-Natural Experiment Study. Sustainability 2023, 15, 11252. [Google Scholar] [CrossRef]
- Central People’s Government of the People’s Republic of China, Beijing, China. Two Departments on the Beijing-Tianjin-Hebei and Surrounding Areas in the Heating Season of 2021–2022 Steel Industry Peak Production Notice. 2021; p. 1. Available online: http://www.gov.cn/zhengce/zhengceku/2021-10/15/content_5642770.htm (accessed on 30 September 2021).
- Tianjin Municipal People’s Government, Tianjin, China. General Office of Tianjin Municipal People’s Government on the Work of the Ban on Fireworks during the Spring Festival in 2022. 5 January 2022. Available online: https://www.tj.gov.cn/zwgk/szfwj/tjsrmzfbgt/202201/t20220110_5775314.html (accessed on 10 January 2022).
- Beijing Municipal People’s Government. Beijing Municipal People’s Government Notice on Temporary Traffic Management Measures during the Beijing 2022 Winter Olympic Games and Winter Paralympic Games_Policy Documents_Beijing Municipal People’s Government Portal. 2022. Available online: http://www.beijing.gov.cn/zhengce/zhengcefagui/202201/t20220114_2590998.html (accessed on 14 January 2022).
- Wang, Z.; Li, J.; Liang, L. Spatio-Temporal Evolution of Ozone Pollution and Its Influencing Factors in the Beijing-Tianjin-Hebei Urban Agglomeration. Environ. Pollut. 2020, 256, 113419. [Google Scholar] [CrossRef] [PubMed]
- Lyu, Y.; Ju, Q.; Lv, F.; Feng, J.; Pang, X.; Li, X. Spatiotemporal Variations of Air Pollutants and Ozone Prediction Using Machine Learning Algorithms in the Beijing-Tianjin-Hebei Region from 2014 to 2021. Environ. Pollut. 2022, 306, 119420. [Google Scholar] [CrossRef] [PubMed]
- Huang, R.-J.; Zhang, Y.; Bozzetti, C.; Ho, K.-F.; Cao, J.-J.; Han, Y.; Daellenbach, K.R.; Slowik, J.G.; Platt, S.M.; Canonaco, F.; et al. High Secondary Aerosol Contribution to Particulate Pollution during Haze Events in China. Nature 2014, 514, 218–222. [Google Scholar] [CrossRef]
- Zhu, L.; Gan, Q.; Liu, Y.; Yan, Z. The Impact of Foreign Direct Investment on SO2 Emissions in the Beijing-Tianjin-Hebei Region: A Spatial Econometric Analysis. J. Clean. Prod. 2017, 166, 189–196. [Google Scholar] [CrossRef]
- Yue, J.; Zhu, H.; Yao, F. Does Industrial Transfer Change the Spatial Structure of CO2 Emissions?—Evidence from Beijing-Tianjin-Hebei Region in China. Int. J. Environ. Res. Public Health 2021, 19, 322. [Google Scholar] [CrossRef]
- Pei, Z.; Han, G.; Ma, X.; Su, H.; Gong, W. Response of Major Air Pollutants to COVID-19 Lockdowns in China. Sci. Total Environ. 2020, 743, 140879. [Google Scholar] [CrossRef]
- Le, T.; Wang, Y.; Liu, L.; Yang, J.; Yung, Y.L.; Li, G.; Seinfeld, J.H. Unexpected Air Pollution with Marked Emission Reductions during the COVID-19 Outbreak in China. Science 2020, 369, 702–706. [Google Scholar] [CrossRef]
- Zhu, Y.; Xie, J.; Huang, F.; Cao, L. Association between Short-Term Exposure to Air Pollution and COVID-19 Infection: Evidence from China. Sci. Total Environ. 2020, 727, 138704. [Google Scholar] [CrossRef]
- Air Pollution Reduction and Mortality Benefit during the COVID-19 Outbreak in China–The Lancet Planetary Health. Available online: https://www.thelancet.com/journals/lancet/article/PIIS2542-5196(20)30107-8/fulltext (accessed on 12 March 2023).
- Beelen, R.; Hoek, G.; Cyrys, J.; Eeftens, M.; De Hoogh, K. S-156: Air Pollution Exposure Assessment Using Land Use Regression Modeling in 36 European Study Areas—Results of the ESCAPE Project. Epidemiology 2012, 23, 1. [Google Scholar] [CrossRef]
- Delavar, M.; Gholami, A.; Shiran, G.; Rashidi, Y.; Nakhaeizadeh, G.; Fedra, K.; Hatefi Afshar, S. A Novel Method for Improving Air Pollution Prediction Based on Machine Learning Approaches: A Case Study Applied to the Capital City of Tehran. ISPRS Int. J. Geo-Inf. 2019, 8, 99. [Google Scholar] [CrossRef]
- Gregório, J.; Gouveia-Caridade, C.; Caridade, P.J. Modeling PM2. 5 and PM10 Using a Robust Simplified Linear Regression Machine Learning Algorithm. Atmosphere 2022, 13, 1334. [Google Scholar] [CrossRef]
- Ma, J.; Ding, Y.; Gan, V.J.L.; Lin, C.; Wan, Z. Spatiotemporal Prediction of PM2.5 Concentrations at Different Time Granularities Using IDW-BLSTM. IEEE Access 2019, 7, 107897–107907. [Google Scholar] [CrossRef]
- Zheng, M.; Salmon, L.G.; Schauer, J.J.; Zeng, L.; Kiang, C.S.; Zhang, Y.; Cass, G.R. Seasonal Trends in PM2.5 Source Contributions in Beijing, China. Atmos. Environ. 2005, 39, 3967–3976. [Google Scholar] [CrossRef]
- D’Amato, G.; Holgate, S.T.; Pawankar, R.; Ledford, D.K.; Cecchi, L.; Al-Ahmad, M.; Al-Enezi, F.; Al-Muhsen, S.; Ansotegui, I.; Baena-Cagnani, C.E.; et al. Meteorological Conditions, Climate Change, New Emerging Factors, and Asthma and Related Allergic Disorders. A Statement of the World Allergy Organization. World Allergy Organ. J. 2015, 8, 1–52. [Google Scholar] [CrossRef]
- Orru, H.; Ebi, K.L.; Forsberg, B. The Interplay of Climate Change and Air Pollution on Health. Curr. Environ. Health Rep. 2017, 4, 504–513. [Google Scholar] [CrossRef]
- Ng, E.; Ren, C. China’s Adaptation to Climate & Urban Climatic Changes: A Critical Review. Urban Clim. 2018, 23, 352–372. [Google Scholar] [CrossRef]
- Kinney, P.L. Interactions of Climate Change, Air Pollution, and Human Health. Curr. Environ. Health Rep. 2018, 5, 179–186. [Google Scholar] [CrossRef]
- Wen, W.; Ma, X.; Tang, Y.; Wei, P.; Wang, J.; Guo, C. The Impacts of Meteorology on Source Contributions of Air Pollution in Winter in Beijing, 2015–2017 Changes. Atmos. Pollut. Res. 2020, 11, 1953–1962. [Google Scholar] [CrossRef]
- Pérez, I.A.; García, M.Á.; Sánchez, M.L.; Pardo, N.; Fernández-Duque, B. Key Points in Air Pollution Meteorology. Int. J. Environ. Res. Public Health 2020, 17, 8349. [Google Scholar] [CrossRef]
- Yienger, J.J.; Galanter, M.; Holloway, T.A.; Phadnis, M.J.; Guttikunda, S.K.; Carmichael, G.R.; Moxim, W.J.; Levy, H. The Episodic Nature of Air Pollution Transport from Asia to North America. J. Geophys. Res. Atmos. 2000, 105, 26931–26945. [Google Scholar] [CrossRef]
- Goldman, G.T.; Desikan, A.; Morse, R.; Kalman, C.; MacKinney, T.; Cohan, D.S.; Reed, G.; Parras, J. Assessment of Air Pollution Impacts and Monitoring Data Limitations of a Spring 2019 Chemical Facility Fire. Environ. Justice 2022, 15, 362–372. [Google Scholar] [CrossRef]
- Haryanto, B. Climate Change and Urban Air Pollution Health Impacts in Indonesia. In Climate Change and Air Pollution; Springer: Cham, Switzerland, 2018; pp. 215–239. [Google Scholar] [CrossRef]
- Yue, X.; Unger, N. Fire Air Pollution Reduces Global Terrestrial Productivity. Nat. Commun. 2018, 9, 5413. [Google Scholar] [CrossRef]
- Shen, L.; Zhao, T.; Wang, H.; Liu, J.; Bai, Y.; Kong, S.; Zheng, H.; Zhu, Y.; Shu, Z. Importance of Meteorology in Air Pollution Events during the City Lockdown for COVID-19 in Hubei Province, Central China. Sci. Total Environ. 2021, 754, 142227. [Google Scholar] [CrossRef] [PubMed]
- Bakar, Z.A.; Mohemad, R.; Ahmad, A.; Deris, M.M. A Comparative Study for Outlier Detection Techniques in Data Mining. In Proceedings of the 2006 IEEE Conference on Cybernetics and Intelligent Systems, Bangkok, Thailand, 7–9 June 2006; pp. 1–6. [Google Scholar] [CrossRef]
- Ottosen, T.-B.; Kumar, P. Outlier Detection and Gap Filling Methodologies for Low-Cost Air Quality Measurements. Environ. Sci. Process. Impacts 2019, 21, 701–713. [Google Scholar] [CrossRef] [PubMed]
- Cheng, Z.; Zou, C.; Dong, J. Outlier Detection Using Isolation Forest and Local Outlier Factor. In Proceedings of the Conference on Research in Adaptive and Convergent Systems, Chongqing, China, 24–27 September 2019; pp. 161–168. [Google Scholar] [CrossRef]
- Wang, J.; Du, P.; Hao, Y.; Ma, X.; Niu, T.; Yang, W. An Innovative Hybrid Model Based on Outlier Detection and Correction Algorithm and Heuristic Intelligent Optimization Algorithm for Daily Air Quality Index Forecasting. J. Environ. Manag. 2020, 255, 109855. [Google Scholar] [CrossRef] [PubMed]
- Elminir, H.K. Dependence of Urban Air Pollutants on Meteorology. Sci. Total Environ. 2005, 350, 225–237. [Google Scholar] [CrossRef] [PubMed]
- Tasdemir, Y.; Cindoruk, S.S.; Esen, F. Monitoring of Criteria Air Pollutants in Bursa, Turkey. Environ. Monit. Assess. 2005, 110, 227–241. [Google Scholar] [CrossRef]
- de Fatima Andrade, M.; Kumar, P.; de Freitas, E.D.; Ynoue, R.Y.; Martins, J.; Martins, L.D.; Nogueira, T.; Perez-Martinez, P.; de Miranda, R.M.; Albuquerque, T. Air Quality in the Megacity of São Paulo: Evolution over the Last 30 Years and Future Perspectives. Atmos. Environ. 2017, 159, 66–82. [Google Scholar] [CrossRef]
- Xiao, K.; Wang, Y.; Wu, G.; Fu, B.; Zhu, Y. Spatiotemporal Characteristics of Air Pollutants (PM10, PM2.5, SO2, NO2, O3, and CO) in the Inland Basin City of Chengdu, Southwest China. Atmosphere 2018, 9, 74. [Google Scholar] [CrossRef]
- Hoque, M.; Ashraf, Z.; Kabir, H.; Sarker, E.; Nasrin, S. Meteorological Influences on Seasonal Variations of Air Pollutants (SO2, NO2, O3, CO, PM2.5 and PM10) in the Dhaka Megacity. Am. J. Pure Appl. Biosci. 2020, 2, 15–23. [Google Scholar] [CrossRef]
- Qu, L.; Liu, S.; Ma, L.; Zhang, Z.; Du, J.; Zhou, Y.; Meng, F. Evaluating the Meteorological Normalized PM2.5 Trend (2014–2019) in the “2+26” Region of China Using an Ensemble Learning Technique. Environ. Pollut. 2020, 266, 115346. [Google Scholar] [CrossRef] [PubMed]
- Nguyen, G.T.H.; Hoang-Cong, H.; La, L.T. Statistical Analysis for Understanding PM2.5 Air Quality and the Impacts of COVID-19 Social Distancing in Several Provinces and Cities in Vietnam. Water Air Soil Pollut. 2023, 234, 85. [Google Scholar] [CrossRef] [PubMed]
- Zhao, X.; Gao, Q.; Sun, M.; Xue, Y.; Ma, R.; Xiao, X.; Ai, B. Statistical Analysis of Spatiotemporal Heterogeneity of the Distribution of Air Quality and Dominant Air Pollutants and the Effect Factors in Qingdao Urban Zones. Atmosphere 2018, 9, 135. [Google Scholar] [CrossRef]
- deSouza, P.; Lu, R.; Kinney, P.; Zheng, S. Exposures to Multiple Air Pollutants While Commuting: Evidence from Zhengzhou, China. Atmos. Environ. 2021, 247, 118168. [Google Scholar] [CrossRef]
- Wang, T.; Song, H.; Wang, F.; Zhai, S.; Han, Z.; Wang, D.; Li, X.; Zhao, H.; Ma, R.; Zhang, G. Hysteretic Effects of Meteorological Conditions and Their Interactions on Particulate Matter in Chinese Cities. J. Clean. Prod. 2020, 274, 122926. [Google Scholar] [CrossRef]
- Gao, J.; Wang, K.; Wang, Y.; Liu, S.; Zhu, C.; Hao, J.; Liu, H.; Hua, S.; Tian, H. Temporal-Spatial Characteristics and Source Apportionment of PM2.5 as Well as Its Associated Chemical Species in the Beijing-Tianjin-Hebei Region of China. Environ. Pollut. 2018, 233, 714–724. [Google Scholar] [CrossRef]
- Chang, X.; Wang, S.; Zhao, B.; Xing, J.; Liu, X.; Wei, L.; Song, Y.; Wu, W.; Cai, S.; Zheng, H.; et al. Contributions of Inter-City and Regional Transport to PM2.5 Concentrations in the Beijing-Tianjin-Hebei Region and Its Implications on Regional Joint Air Pollution Control. Sci. Total Environ. 2019, 660, 1191–1200. [Google Scholar] [CrossRef]
- Alvarez, R.; Weilenmann, M.; Favez, J.-Y. Evidence of Increased Mass Fraction of NO2 within Real-World NOx Emissions of Modern Light Vehicles—Derived from a Reliable Online Measuring Method. Atmos. Environ. 2008, 42, 4699–4707. [Google Scholar] [CrossRef]
- Freedman, B. The ecological effects of pollution, disturbance, and other stresses. In Environmental Ecology; Elsevier: Amsterdam, The Netherlands, 1995; pp. 1–10. ISBN 978-0-12-266542-4. [Google Scholar]
- Zhao, Y.; Mao, P.; Zhou, Y.; Yang, Y.; Zhang, J.; Wang, S.; Dong, Y.; Xie, F.; Yu, Y.; Li, W. Improved Provincial Emission Inventory and Speciation Profiles of Anthropogenic Non-Methane Volatile Organic Compounds: A Case Study for Jiangsu, China. Atmos. Chem. Phys. 2017, 17, 7733–7756. [Google Scholar] [CrossRef]
- Lee, J.D.; Drysdale, W.S.; Finch, D.P.; Wilde, S.E.; Palmer, P.I. UK Surface NO2 Levels Dropped by 42% during the COVID-19 Lockdown: Impact on Surface O3. Atmos. Chem. Phys. 2020, 20, 15743–15759. [Google Scholar] [CrossRef]
- Li, K.; Jacob, D.J.; Liao, H.; Zhu, J.; Shah, V.; Shen, L.; Bates, K.H.; Zhang, Q.; Zhai, S. A Two-Pollutant Strategy for Improving Ozone and Particulate Air Quality in China. Nat. Geosci. 2019, 12, 906–910. [Google Scholar] [CrossRef]
- World Health Organization. WHO Global Air Quality Guidelines: Particulate Matter (PM2.5 and PM10), Ozone, Nitrogen Dioxide, Sulfur Dioxide and Carbon Monoxide; World Health Organization: Geneva, Switzerland, 2021; ISBN 92-4-003422-6. [Google Scholar]






| Agency | Period | Regulations | Impact Area |
|---|---|---|---|
| Ministry of Industry and Information Technology Ministry of Ecology and Environment | 15 November 2021–15 March 2022 | Heavy industrial enterprises should aim to reduce air pollutant emissions to achieve staggered production and pollutant reduction | Beijing, Tianjin, Hebei, Shanxi, Shandong, and Henan provinces |
| 1 January 2022–15 March 2022 | High-emission enterprises were prohibited from engaging in production activities | Shijiazhuang, Tangshan, Xingtai, Handan, Langfang, Qinhuangdao, and Cangzhou in Hebei Province | |
| Tianjin Municipal Government | 1 January 2022–15 March 2022 | The discharge of fireworks was prohibited | Tianjin |
| Beijing Municipal Government | 1 January 2022–15 March 2022 | Vehicle restrictions were enacted, dedicated lanes were opened, and heavy fuel (gas) trucks were not allowed to drive on roads | Beijing |
| Region | Period | Historical Median | Current Median | Absolute Change | Change Rate | p Value |
|---|---|---|---|---|---|---|
| BTH | Pre-O | 45.94 | 44.63 | −1.30 | −2.84% | 0.652 |
| O ** | 53.17 | 33.72 | −19.45 | −36.59% | 0.000 | |
| Post-O * | 38.75 | 32.38 | −6.37 | −16.45% | 0.022 | |
| Beyond-O | 23.78 | 21.70 | −2.07 | −8.73% | 0.257 | |
| BJ | Pre-O | 25.33 | 26.91 | 1.57 | 6.21% | 0.767 |
| O ** | 45.68 | 24.63 | −21.05 | −46.07% | 0.000 | |
| Post-O | 34.83 | 28.81 | −6.02 | −17.29% | 0.121 | |
| Beyond-O | 16.85 | 19.38 | 2.53 | 15.02% | 0.134 | |
| TJ | Pre-O | 45.39 | 44.57 | −0.81 | −1.79% | 0.317 |
| O ** | 61.55 | 37.83 | −23.72 | −38.54% | 0.002 | |
| Post-O * | 37.06 | 33.06 | −4.00 | −10.79% | 0.028 | |
| Beyond-O | 24.38 | 23.43 | −0.94 | −3.87% | 0.421 | |
| HB | Pre-O | 50.21 | 48.84 | −1.38 | −2.74% | 0.821 |
| O ** | 55.24 | 35.48 | −19.76 | −35.78% | 0.001 | |
| Post-O * | 38.66 | 32.77 | −5.89 | −15.23% | 0.026 | |
| Beyond-O | 25.19 | 21.29 | −3.90 | −15.47% | 0.057 |
| Region | Period | Historical Median | Current Median | Absolute Change | Change Rate | p Value |
|---|---|---|---|---|---|---|
| BTH | Pre-O ** | 87.25 | 76.00 | −11.26 | −12.90% | 0.001 |
| O * | 98.01 | 78.06 | −19.94 | −20.35% | 0.015 | |
| Post-O ** | 83.74 | 73.09 | −10.65 | −12.71% | 0.004 | |
| Beyond-O | 48.85 | 47.10 | −1.75 | −3.59% | 0.315 | |
| BJ | Pre-O ** | 57.85 | 50.55 | −7.30 | −12.63% | 0.003 |
| O ** | 83.51 | 55.72 | −27.79 | −33.27% | 0.003 | |
| Post-O | 71.46 | 65.36 | −6.09 | −8.53% | 0.059 | |
| Beyond-O | 40.02 | 40.24 | 0.22 | 0.54% | 0.900 | |
| TJ | Pre-O | 79.89 | 72.83 | −7.06 | −8.84% | 0.551 |
| O * | 102.05 | 75.10 | −26.95 | −26.41% | 0.027 | |
| Post-O ** | 77.86 | 71.49 | −6.37 | −8.18% | 0.001 | |
| Beyond-O | 51.92 | 49.42 | −2.50 | −4.81% | 0.249 | |
| HB | Pre-O ** | 97.24 | 80.53 | −16.71 | −17.18% | 0.000 |
| O * | 103.28 | 81.16 | −22.11 | −21.41% | 0.014 | |
| Post-O ** | 88.47 | 73.60 | −14.87 | −16.80% | 0.005 | |
| Beyond-O | 52.67 | 48.32 | −4.35 | −8.26% | 0.205 |
| Region | Period | Historical Median | Current Median | Absolute Change | Change Rate | p Value |
|---|---|---|---|---|---|---|
| BTH | Pre-O * | 0.89 | 0.80 | −0.09 | −9.80% | 0.017 |
| O ** | 0.94 | 0.62 | −0.32 | −33.95% | 0.000 | |
| Post-O | 0.58 | 0.55 | −0.03 | −4.99% | 0.152 | |
| Beyond-O | 0.59 | 0.58 | −0.01 | −2.05% | 0.827 | |
| BJ | Pre-O | 0.55 | 0.61 | 0.06 | 10.63% | 0.724 |
| O ** | 0.80 | 0.48 | −0.32 | −40.15% | 0.000 | |
| Post-O | 0.47 | 0.39 | −0.07 | −15.65% | 0.119 | |
| Beyond-O | 0.55 | 0.50 | −0.05 | −8.99% | 0.697 | |
| TJ | Pre-O * | 0.90 | 0.77 | −0.13 | −14.89% | 0.018 |
| O ** | 0.93 | 0.73 | −0.20 | −21.46% | 0.000 | |
| Post-O ** | 0.73 | 0.63 | −0.10 | −13.73% | 0.005 | |
| Beyond-O | 0.79 | 0.75 | −0.04 | −5.57% | 0.173 | |
| HB | Pre-O ** | 0.98 | 0.87 | −0.11 | −11.34% | 0.001 |
| O ** | 0.94 | 0.64 | −0.30 | −31.61% | 0.000 | |
| Post-O | 0.57 | 0.58 | 0.01 | 1.79% | 0.375 | |
| Beyond-O | 0.56 | 0.56 | 0.00 | 0.71% | 0.765 |
| Region | Period | Historical Median | Current Median | Absolute Change | Change Rate | p Value |
|---|---|---|---|---|---|---|
| BTH | Pre-O ** | 13.30 | 7.44 | −5.86 | −44.04% | 0.000 |
| O ** | 10.20 | 7.25 | −2.95 | −28.90% | 0.000 | |
| Post-O ** | 8.26 | 6.94 | −1.32 | −16.02% | 0.000 | |
| Beyond-O | 6.77 | 7.01 | 0.24 | 3.58% | 0.449 | |
| BJ | Pre-O ** | 3.77 | 2.61 | −1.16 | −30.76% | 0.000 |
| O * | 3.29 | 2.68 | −0.61 | −18.58% | 0.013 | |
| Post-O | 2.92 | 2.77 | −0.14 | −4.88% | 0.186 | |
| Beyond-O * | 2.67 | 2.76 | 0.09 | 3.20% | 0.040 | |
| TJ | Pre-O ** | 10.69 | 9.18 | −1.50 | −14.08% | 0.001 |
| O | 9.11 | 8.57 | −0.54 | −5.91% | 0.182 | |
| Post-O * | 8.31 | 8.98 | 0.67 | 8.03% | 0.014 | |
| Beyond-O ** | 6.67 | 8.29 | 1.62 | 24.27% | 0.000 | |
| HB | Pre-O ** | 16.34 | 8.53 | −7.82 | −47.82% | 0.000 |
| O ** | 11.94 | 8.10 | −3.84 | −32.15% | 0.000 | |
| Post-O ** | 9.75 | 7.72 | −2.02 | −20.75% | 0.000 | |
| Beyond-O | 7.87 | 7.82 | −0.04 | −0.54% | 0.971 |
| Region | Period | Historical Median | Current Median | Absolute Change | Change Rate | p Value |
|---|---|---|---|---|---|---|
| BTH | Pre-O | 44.04 | 41.26 | −2.79 | −6.33% | 0.080 |
| O * | 37.70 | 29.14 | −8.56 | −22.70% | 0.038 | |
| Post-O ** | 29.36 | 23.92 | −5.44 | −18.52% | 0.001 | |
| Beyond-O * | 20.56 | 18.47 | −2.09 | −10.18% | 0.014 | |
| BJ | Pre-O | 34.48 | 35.85 | 1.37 | 3.97% | 0.606 |
| O ** | 37.01 | 24.89 | −12.12 | −32.74% | 0.001 | |
| Post-O ** | 28.75 | 21.69 | −7.05 | −24.53% | 0.001 | |
| Beyond-O * | 19.70 | 18.10 | −1.60 | −8.14% | 0.036 | |
| TJ | Pre-O * | 50.47 | 43.90 | −6.57 | −13.02% | 0.011 |
| O | 44.51 | 39.72 | −4.79 | −10.77% | 0.380 | |
| Post-O ** | 35.24 | 28.24 | −6.99 | −19.85% | 0.001 | |
| Beyond-O ** | 24.20 | 19.06 | −5.15 | −21.26% | 0.001 | |
| HB | Pre-O * | 45.11 | 41.57 | −3.54 | −7.86% | 0.031 |
| O ** | 35.61 | 29.93 | −5.68 | −15.96% | 0.006 | |
| Post-O ** | 28.08 | 23.35 | −4.73 | −16.85% | 0.001 | |
| Beyond-O | 20.55 | 18.77 | −1.78 | −8.64% | 0.089 |
| Region | Period | Historical Median | Current Median | Absolute Change | Change Rate | p Value |
|---|---|---|---|---|---|---|
| BTH | Pre-O | 28.00 | 28.46 | 0.46 | 1.64% | 0.844 |
| O ** | 49.99 | 54.79 | 4.80 | 9.59% | 0.005 | |
| Post-O | 73.51 | 76.16 | 2.65 | 3.61% | 0.079 | |
| Beyond-O | 104.71 | 104.37 | −0.34 | −0.33% | 0.080 | |
| BJ | Pre-O | 31.51 | 27.50 | −4.01 | −12.73% | 0.510 |
| O ** | 44.64 | 56.46 | 11.82 | 26.48% | 0.001 | |
| Post-O | 68.20 | 70.91 | 2.71 | 3.98% | 0.053 | |
| Beyond-O ** | 92.89 | 98.33 | 5.44 | 5.86% | 0.004 | |
| TJ | Pre-O | 25.42 | 25.66 | 0.24 | 0.95% | 0.257 |
| O * | 47.64 | 51.10 | 3.46 | 7.26% | 0.040 | |
| Post-O ** | 64.87 | 76.46 | 11.58 | 17.85% | 0.002 | |
| Beyond-O ** | 98.00 | 110.54 | 12.54 | 12.79% | 0.002 | |
| HB | Pre-O | 29.00 | 28.65 | −0.35 | −1.20% | 0.794 |
| O * | 52.04 | 56.16 | 4.12 | 7.92% | 0.046 | |
| Post-O | 75.73 | 76.63 | 0.91 | 1.20% | 0.193 | |
| Beyond-O * | 104.23 | 105.22 | 0.99 | 0.95% | 0.024 |
| Items | Averaging Time | Interim Target | AQG Level | |||
|---|---|---|---|---|---|---|
| 1 | 2 | 3 | 4 | |||
| PM2.5, µg/m3 | 24 h | 75 | 50 | 37.5 | 25 | 15 |
| PM10, µg/m3 | 24 h | 150 | 100 | 75 | 50 | 45 |
| O3, µg/m3 | 24 h | 100 | 70 | – | – | 60 |
| NO2, µg/m3 | 24 h | 120 | 50 | – | – | 25 |
| SO2, µg/m3 | 24 h | 125 | 50 | – | – | 40 |
| CO, mg/m3 | 24 h | 7 | – | – | – | 4 |
Disclaimer/Publisher’s Note: The statements, opinions and data contained in all publications are solely those of the individual author(s) and contributor(s) and not of MDPI and/or the editor(s). MDPI and/or the editor(s) disclaim responsibility for any injury to people or property resulting from any ideas, methods, instructions or products referred to in the content. |
© 2023 by the authors. Licensee MDPI, Basel, Switzerland. This article is an open access article distributed under the terms and conditions of the Creative Commons Attribution (CC BY) license (https://creativecommons.org/licenses/by/4.0/).
Share and Cite
Shi, Z.; Ren, Z.; Fan, J.; Zuo, J.; Gao, Y.; Wei, F. Positive Effect Observed on Reducing Criteria Pollutant Emissions Provided by Provisional Local Regulations during the 2022 Winter Olympics. Atmosphere 2023, 14, 1774. https://doi.org/10.3390/atmos14121774
Shi Z, Ren Z, Fan J, Zuo J, Gao Y, Wei F. Positive Effect Observed on Reducing Criteria Pollutant Emissions Provided by Provisional Local Regulations during the 2022 Winter Olympics. Atmosphere. 2023; 14(12):1774. https://doi.org/10.3390/atmos14121774
Chicago/Turabian StyleShi, Zongwen, Zhoupeng Ren, Junfu Fan, Jiwei Zuo, Yu Gao, and Fulu Wei. 2023. "Positive Effect Observed on Reducing Criteria Pollutant Emissions Provided by Provisional Local Regulations during the 2022 Winter Olympics" Atmosphere 14, no. 12: 1774. https://doi.org/10.3390/atmos14121774
APA StyleShi, Z., Ren, Z., Fan, J., Zuo, J., Gao, Y., & Wei, F. (2023). Positive Effect Observed on Reducing Criteria Pollutant Emissions Provided by Provisional Local Regulations during the 2022 Winter Olympics. Atmosphere, 14(12), 1774. https://doi.org/10.3390/atmos14121774

