Glacier Retreat Leads to the Expansion of Alpine Lake Karakul Observed Via Remote Sensing Water Volume Time Series Reconstruction
Abstract
:1. Introduction
2. Materials and Methods
2.1. Study Area
2.2. Data Source
2.2.1. Remote Sensing Image Data
2.2.2. Elevation Data
2.2.3. Meteorological Data
2.3. Research Methods
2.3.1. Extraction of Lake Area and Glacier Area
2.3.2. Extraction of Lake Surface Elevations
- (1)
- Data format conversions: ICESat altimetry satellite GLA14 data were downloaded from NSIDC in HDF5 format; Cryosat-2 satellite L2 level product data were downloaded from ESA in NC file format. In this study, Matlab software was used to read the HDF5 and NC format files and save them to an EXCEL table; the main readout parameters included geodetic longitude, geodetic latitude, altitude with respect to the reference ellipsoid, and geoid disparity. Data were converted to Shapefile point data format using ArcGIS software.
- (2)
- Coordinate system transformation: The ICESat-1 altimetry satellite has a different reference system for altimetry data than the CryoSat-2 satellite. ICESat-1 uses the TOPEX/Poseidon, EGM2008 reference system; Cryosat-2 uses the WGS84, EGM96 reference system, which requires the conversion of the altimetry data from the two satellites into the same reference system for processing [35].
- (3)
- Lake footpoint extraction: In this study, the boundary of the lake water body at different time periods was pushed inward by 200 m as the range of elevation footing extraction. Elevation footings were screened using ArcGIS software to eliminate elevation footing data that were not within the lake, and elevation footings within the lake were organized into timestamps.
- (4)
- Abnormal footpoint handling: In the process of monitoring the surface elevation of lakes using altimetry satellites, abnormal footings can occur due to various factors (cloud cover, rainfall, lake reflections, satellite footing size, etc.). In this study, the abnormal footpoints in the collection of elevation points are eliminated based on the principle of threshold extraction and the “Pauta” criterion. Firstly, the median elevation of the collection of elevation footings is calculated, followed by the selection of a threshold range to initially exclude outliers. Then, the standard deviation of the elevation of the collection of elevation footpoints is calculated. The elevation values at each footpoint is evaluated to determine whether it falls within the range of 3 times the standard deviation. The elevation footpoints within the range are retained, while outliers are excluded. Finally, the median elevation of the remaining collection of elevation footpoints is calculated.
- (5)
- Time series rebuild of lake surface elevations: The satellite footpoints processed with steps (3) and (4) were counted according to timestamps, and the mean value was taken as the current timestamped lake surface elevation. The time series of lake surface elevation of Karakul Lake is obtained after collation.
2.3.3. Calculation of Lake Water Volume
3. Results
3.1. Variations in the Size of Lake Karakul
3.2. Variation in Surface Elevation of Lake Karakul
3.3. Variation in the Volume of Water in Lake Karakul
3.4. Characteristics of Intra-Annual Variability in Lake Karakul
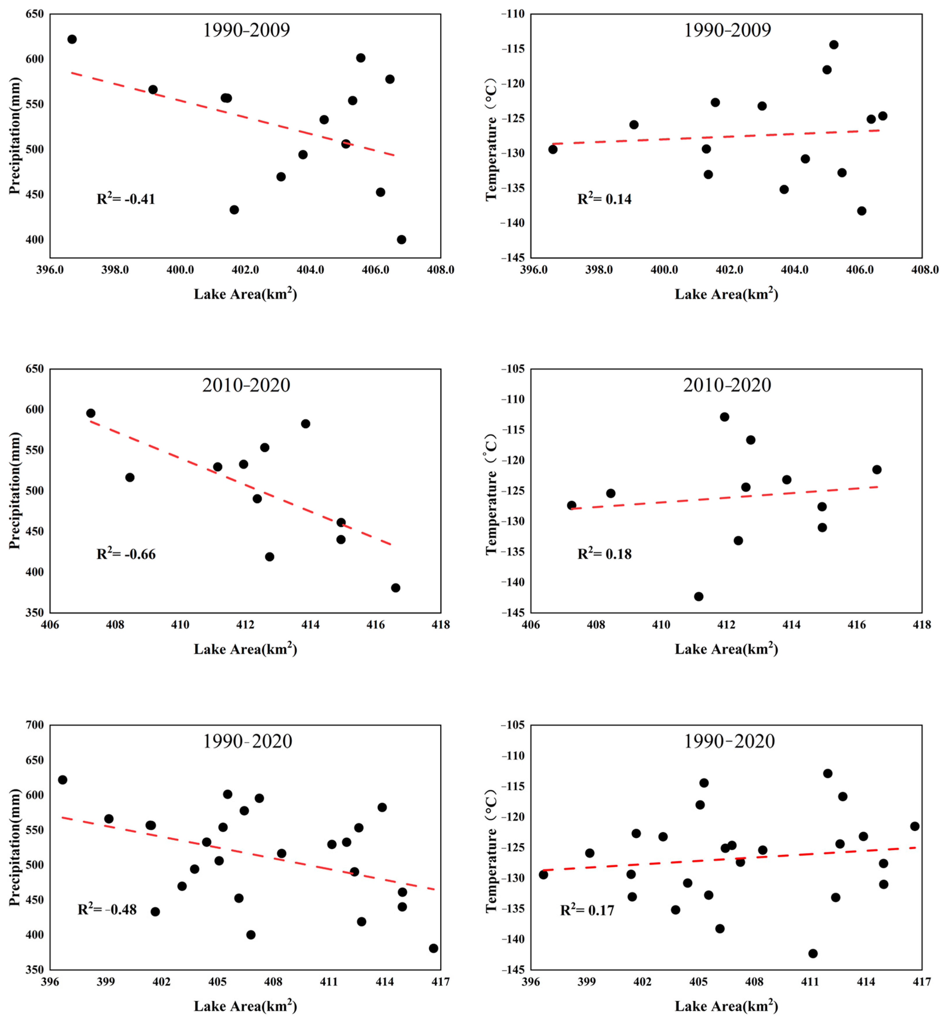
3.5. Climate Variability in the Lake Karakul Basin
4. Discussion
5. Conclusions
Author Contributions
Funding
Institutional Review Board Statement
Informed Consent Statement
Data Availability Statement
Acknowledgments
Conflicts of Interest
References
- Fang, Y.; Cheng, W.M.; Zhang, Y.C.; Wang, N.; Zhao, S.M.; Zhou, C.H.; Chen, X.; Bao, A.M. Changes in inland lakes on the Tibetan Plateau over the past 40 years. J. Geogr. Sci. 2016, 26, 415–438. [Google Scholar] [CrossRef]
- Zhang, Q.F.; Chen, Y.N.; Li, Z.; Fang, G.H.; Xiang, Y.Y.; Ji, H.P. Why are glacial lakes in the eastern Tianshan Mountains expanding at an accelerated rate? J. Geogr. Sci. 2023, 33, 121–150. [Google Scholar] [CrossRef]
- Ran, Q.W.; Aires, F.; Ciais, P.; Qiu, C.J.; Hu, R.H.; Fu, Z.; Xue, K.; Wang, Y.F. The Status and Influencing Factors of Surface Water Dynamics on the Qinghai-Tibet Plateau During 2000–2020. IEEE Trans. Geosci. Remote Sens. 2023, 61, 4200114. [Google Scholar] [CrossRef]
- Che, X.H.; Feng, M.; Sun, Q.; Sexton, J.O.; Channan, S.; Liu, J.P. The Decrease in Lake Numbers and Areas in Central Asia Investigated Using a Landsat-Derived Water Dataset. Remote Sens. 2021, 13, 1032. [Google Scholar] [CrossRef]
- Ge, Y.X.; Wu, N.; Abuduwaili, J.; Issanova, G. Assessment of spatiotemporal features and potential sources of atmospheric aerosols over the Tianshan Mountains in arid central Asia. Atmos. Environ. 2023, 294, 119502. [Google Scholar] [CrossRef]
- Chen, X.; Jiang, F.; Wang, Y.; Li, Y.; Hu, R. Characteristics of the eco-geographical pattern in arid land of Central Asia. Arid. Zone Res. 2013, 30, 385–390. [Google Scholar]
- Aichner, B.; Makhmudov, Z.; Rajabov, I.; Zhang, Q.; Pausata, F.S.R.; Werner, M.; Heinecke, L.; Kuessner, M.L.; Feakins, S.J.; Sachse, D.; et al. Hydroclimate in the Pamirs Was Driven by Changes in Precipitation-Evaporation Seasonality Since the Last Glacial Period. Geophys. Res. Lett. 2019, 46, 13972–13983. [Google Scholar] [CrossRef]
- Xu, Y.Y.; Lin, J.; Zhao, J.W.; Zhu, X.Y. New method improves extraction accuracy of lake water bodies in Central Asia. J. Hydrol. 2021, 603, 127180. [Google Scholar] [CrossRef]
- Huang, W.J.; Duan, W.L.; Chen, Y.N. Unravelling lake water storage change in Central Asia: Rapid decrease in tail-end lakes and increasing risks to water supply. J. Hydrol. 2022, 614, 128546. [Google Scholar] [CrossRef]
- Han, W.X.; Huang, C.L.; Gu, J.; Hou, J.L.; Zhang, Y.; Wang, W.Z. Water Level Change of Qinghai Lake from ICESat and ICESat-2 Laser Altimetry. Remote Sens. 2022, 14, 6212. [Google Scholar] [CrossRef]
- Chen, J.; Duan, Z. Monitoring Spatial-Temporal Variations of Lake Level in Western China Using ICESat-1 and CryoSat-2 Satellite Altimetry. Remote Sens. 2022, 14, 5709. [Google Scholar] [CrossRef]
- Zhang, M.M.; Chen, F.; Guo, H.D.; Yi, L.; Zeng, J.Y.; Li, B. Glacial Lake Area Changes in High Mountain Asia during 1990–2020 Using Satellite Remote Sensing. Research 2022, 2022, 9821275. [Google Scholar] [CrossRef] [PubMed]
- Li, W.; Xie, X.K.; Li, W.Q.; van der Meijde, M.; Yan, H.W.; Huang, Y.T.; Li, X.T.; Wang, Q.W. Monitoring of Hydrological Resources in Surface Water Change by Satellite Altimetry. Remote Sens. 2022, 14, 4904. [Google Scholar] [CrossRef]
- Wang, Y.; Yao, X.J.; Hu, N.; Sha, T.; Chu, X.D. The Spatiotemporal Change of Xiao Qaidam Lake from 1990 to 2020 and Its Potential Hazards. Sustainability 2022, 14, 11372. [Google Scholar] [CrossRef]
- Wang, J.B.; Wang, J.Y.; Chen, S.D.; Luo, J.B.; Sun, M.Z.; Sun, J.L.; Yuan, J.J.; Guo, J.Y. Study on the Variations in Water Storage in Lake Qinghai Based on Multi-Source Satellite Data. Remote Sens. 2023, 15, 1746. [Google Scholar] [CrossRef]
- Wu, Y.H.; Zhang, X.; Zheng, H.X.; Li, J.S.; Wang, Z.Y. Investigating changes in lake systems in the south-central Tibetan Plateau with multi-source remote sensing. J. Geogr. Sci. 2017, 27, 337–347. [Google Scholar] [CrossRef]
- Zhang, Y.; An, C.B.; Zheng, L.Y.; Liu, L.Y.; Zhang, W.S.; Lu, C.; Zhang, Y.Z. Assessment of lake area in response to climate change at varying elevations: A case study of Mt. Tianshan, Central Asia. Sci. Total Environ. 2023, 869, 161665. [Google Scholar] [CrossRef] [PubMed]
- Wufu, A.; Yang, S.T.; Chen, Y.; Lou, H.Z.; Li, C.J.; Ma, L.G. Estimation of Long-Term River Discharge and Its Changes in Ungauged Watersheds in Pamir Plateau. Remote Sens. 2021, 13, 4043. [Google Scholar] [CrossRef]
- Goerlich, F.; Bolch, T.; Paul, F. More dynamic than expected: An updated survey of surging glaciers in the Pamir. Earth Syst. Sci. Data 2020, 12, 3161–3176. [Google Scholar] [CrossRef]
- Mischke, S.; Lai, Z.P.; Aichner, B.; Heinecke, L.; Mahmoudov, Z.; Kuessner, M.; Herzschuh, U. Radiocarbon and optically stimulated luminescence dating of sediments from Lake Karakul, Tajikistan. Quat. Geochronol. 2017, 41, 51–61. [Google Scholar] [CrossRef]
- Heinecke, L.; Fletcher, W.J.; Mischke, S.; Tian, F.; Herzschuh, U. Vegetation change in the eastern Pamir Mountains, Tajikistan, inferred from Lake Karakul pollen spectra of the last 28 kyr. Palaeogeogr. Palaeoclimatol. Palaeoecol. 2018, 511, 232–242. [Google Scholar] [CrossRef]
- Yan, D.N.; Xu, H.; Lan, J.H.; Zhou, K.G.; Ye, Y.D.; Zhang, J.X.; An, Z.S.; Yeager, K.M. Solar activity and the westerlies dominate decadal hydroclimatic changes over arid Central Asia. Glob. Planet. Change 2019, 173, 53–60. [Google Scholar] [CrossRef]
- Xiang, J.; Li, H.; Zhao, J.Y.; Cai, X.B.; Li, P. Inland water level measurement from spaceborne laser altimetry: Validation and comparison of three missions over the Great Lakes and lower Mississippi River. J. Hydrol. 2021, 597, 126312. [Google Scholar] [CrossRef]
- Lai, Y.R.; Wang, L. Monthly Surface Elevation Changes of the Greenland Ice Sheet From ICESat-1, CryoSat-2, and ICESat-2 Altimetry Missions. IEEE Geosci. Remote Sens. Lett. 2022, 19, 2000305. [Google Scholar] [CrossRef]
- Feng, Y.; Yang, L.K.; Zhan, P.F.; Luo, S.X.; Chen, T.; Liu, K.; Song, C.Q. Synthesis of the ICESat/ICESat-2 and CryoSat-2 observations to reconstruct time series of lake level. Int. J. Digit. Earth 2023, 16, 183–209. [Google Scholar] [CrossRef]
- Wang, F.; Bamber, J.L.; Cheng, X. Accuracy and Performance of CryoSat-2 SARIn Mode Data Over Antarctica. IEEE Geosci. Remote Sens. Lett. 2015, 12, 1516–1520. [Google Scholar] [CrossRef]
- Jiang, L.G.; Nielsen, K.; Andersen, O.B.; Bauer-Gottwein, P. Monitoring recent lake level variations on the Tibetan Plateau using CryoSat-2 SARIn mode data. J. Hydrol. 2017, 544, 109–124. [Google Scholar] [CrossRef]
- Meloni, M.; Bouffard, J.; Parrinello, T.; Dawson, G.; Garnier, F.; Helm, V.; Di Bella, A.; Hendricks, S.; Ricker, R.; Webb, E.; et al. CryoSat Ice Baseline-D validation and evolutions. Cryosphere 2020, 14, 1889–1907. [Google Scholar] [CrossRef]
- Jiang, L.G.; Schneider, R.; Andersen, O.B.; Bauer-Gottwein, P. CryoSat-2 Altimetry Applications over Rivers and Lakes. Water 2017, 9, 211. [Google Scholar] [CrossRef]
- Munoz-Sabater, J.; Dutra, E.; Agusti-Panareda, A.; Albergel, C.; Arduini, G.; Balsamo, G.; Boussetta, S.; Choulga, M.; Harrigan, S.; Hersbach, H.; et al. ERA5-Land: A state-of-the-art global reanalysis dataset for land applications. Earth Syst. Sci. Data 2021, 13, 4349–4383. [Google Scholar] [CrossRef]
- Hisam, E.; Mehr, A.D.; Alganci, U.; Seker, D.Z. Comprehensive evaluation of Satellite-Based and reanalysis precipitation products over the Mediterranean region in Turkey. Adv. Space Res. 2023, 71, 3005–3021. [Google Scholar] [CrossRef]
- Li, J.L.; Sheng, Y.W. An automated scheme for glacial lake dynamics mapping using Landsat imagery and digital elevation models: A case study in the Himalayas. Int. J. Remote Sens. 2012, 33, 5194–5213. [Google Scholar] [CrossRef]
- Lin, J.T.; Feng, X.Z.; Xiao, P.F.; Li, H.; Wang, J.G.; Li, Y. Comparison of Snow Indexes in Estimating Snow Cover Fraction in a Mountainous Area in Northwestern China. IEEE Geosci. Remote Sens. Lett. 2012, 9, 725–729. [Google Scholar] [CrossRef]
- Gao, M.; Gu, X.F.; Liu, Y.; Zhan, Y.L.; Wei, X.Q.; Yu, H.D.; Liang, M.; Weng, C.Y.; Ding, Y.Z. An Improved Spatiotemporal Data Fusion Method for Snow-Covered Mountain Areas Using Snow Index and Elevation Information. Sensors 2022, 22, 8524. [Google Scholar] [CrossRef] [PubMed]
- Lei, Y.B.; Yao, T.D.; Sheng, Y.W.; Yang, K.; Yang, W.; Li, S.H.; Zhou, J.; Jiang, Y.Z.; Yu, Y.F. Unprecedented lake expansion in 2017-2018 on the Tibetan Plateau: Processes and environmental impacts. J. Hydrol. 2023, 619, 129333. [Google Scholar] [CrossRef]
- Zhang, G.Q.; Bolch, T.; Chen, W.F.; Cretaux, J.F. Comprehensive estimation of lake volume changes on the Tibetan Plateau during 1976–2019 and basin-wide glacier contribution. Sci. Total Environ. 2021, 772, 145463. [Google Scholar] [CrossRef]
- Tang, L.Y.; Duan, X.F.; Kong, F.J.; Zhang, F.; Zheng, Y.F.; Li, Z.; Mei, Y.; Zhao, Y.W.; Hu, S.J. Influences of climate change on area variation of Qinghai Lake on Qinghai-Tibetan Plateau since 1980s. Sci. Rep. 2018, 8, 7331. [Google Scholar] [CrossRef]
- Liu, H.J.; Chen, Y.N.; Ye, Z.X.; Li, Y.P.; Zhang, Q.F. Recent Lake Area Changes in Central Asia. Sci. Rep. 2019, 9, 16277. [Google Scholar] [CrossRef]
- Lutz, A.F.; Immerzeel, W.W.; Kraaijenbrink, P.D.A.; Shrestha, A.B.; Bierkens, M.F.P. Climate Change Impacts on the Upper Indus Hydrology: Sources, Shifts and Extremes. PLoS ONE 2016, 11, e0165630. [Google Scholar] [CrossRef]
- Zhang, G.Q.; Xie, H.J.; Yao, T.D.; Kang, S.C. Water balance estimates of ten greatest lakes in China using ICESat and Landsat data. Chin. Sci. Bull. 2013, 58, 3815–3829. [Google Scholar] [CrossRef]
- Cui, B.L.; Xiao, B.; Li, X.Y.; Wang, Q.; Zhang, Z.H.; Zhan, C.; Li, X.D. Exploring the geomorphological processes of Qinghai Lake and surrounding lakes in the northeastern Tibetan Plateau, using Multitemporal Landsat Imagery (1973–2015). Glob. Planet. Change 2017, 152, 167–175. [Google Scholar] [CrossRef]
- Ibarra-Morales, D.; Silva-Aguilera, R.A.; Oseguera, L.A.; Merino-Ibarra, M.; Alcocer, J. Impacts of global change on two tropical, high mountain lakes in Central Mexico. Sci. Total Environ. 2022, 852, 158521. [Google Scholar] [CrossRef]













| Time Periods | Average Cumulative Temperature (°C) | Temperature Distance Level (°C) | Average Cumulative Precipitation (mm) |
|---|---|---|---|
| 1990–1995 | −127.89 | −1.08 | 546.26 |
| 1996–2000 | −128.40 | −1.60 | 528.03 |
| 2001–2005 | −128.69 | −1.89 | 502.29 |
| 2006–2010 | −124.03 | 2.78 | 537.31 |
| 2011–2015 | −128.38 | −1.58 | 501.88 |
| 2016–2020 | −123.22 | 3.58 | 479.59 |
| Average value | −126.80 | 516.87 | |
| Time Periods | Precipitation Distance Level (mm) | Maximum Area of Lake Karakul (km2) | Area Distance Level (km2) |
| 1990–1995 | 29.39 | 400.88 | −6.47 |
| 1996–2000 | 11.16 | 406.17 | −1.18 |
| 2001–2005 | −14.59 | 402.27 | −5.08 |
| 2006–2010 | 20.43 | 406.05 | −1.31 |
| 2011–2015 | −14.99 | 411.46 | 4.11 |
| 2016–2020 | −37.28 | 414.46 | 7.11 |
| Average value | 407.35 |
| Time Period | Variation in Glacier Area (km2) | Variation in Water Volume (km3) | Evaporation (mm) |
|---|---|---|---|
| 2004–2007 | −1.14 | 0.21 | 257.86 |
| 2007–2016 | −1.94 | 0.58 | 543.29 |
| 2016–2020 | −1.16 | 0.03 | 304.39 |
| Time Period | Rate of Glacier Area Variation (km2/year) | Water Volume Variation Rate (km3/year) | Multi-Year average Evaporation (mm/year) |
| 2004–2007 | −0.16 | 0.07 | 64.46 |
| 2007–2016 | −0.21 | 0.06 | 67.91 |
| 2016–2020 | −0.29 | 0.01 | 76.09 |
Disclaimer/Publisher’s Note: The statements, opinions and data contained in all publications are solely those of the individual author(s) and contributor(s) and not of MDPI and/or the editor(s). MDPI and/or the editor(s) disclaim responsibility for any injury to people or property resulting from any ideas, methods, instructions or products referred to in the content. |
© 2023 by the authors. Licensee MDPI, Basel, Switzerland. This article is an open access article distributed under the terms and conditions of the Creative Commons Attribution (CC BY) license (https://creativecommons.org/licenses/by/4.0/).
Share and Cite
Du, W.; Pan, Y.; Li, J.; Bao, A.; Chai, H.; Yuan, Y.; Cheng, C. Glacier Retreat Leads to the Expansion of Alpine Lake Karakul Observed Via Remote Sensing Water Volume Time Series Reconstruction. Atmosphere 2023, 14, 1772. https://doi.org/10.3390/atmos14121772
Du W, Pan Y, Li J, Bao A, Chai H, Yuan Y, Cheng C. Glacier Retreat Leads to the Expansion of Alpine Lake Karakul Observed Via Remote Sensing Water Volume Time Series Reconstruction. Atmosphere. 2023; 14(12):1772. https://doi.org/10.3390/atmos14121772
Chicago/Turabian StyleDu, Weibing, Yaming Pan, Junli Li, Anming Bao, Huabin Chai, Ye Yuan, and Chaoying Cheng. 2023. "Glacier Retreat Leads to the Expansion of Alpine Lake Karakul Observed Via Remote Sensing Water Volume Time Series Reconstruction" Atmosphere 14, no. 12: 1772. https://doi.org/10.3390/atmos14121772
APA StyleDu, W., Pan, Y., Li, J., Bao, A., Chai, H., Yuan, Y., & Cheng, C. (2023). Glacier Retreat Leads to the Expansion of Alpine Lake Karakul Observed Via Remote Sensing Water Volume Time Series Reconstruction. Atmosphere, 14(12), 1772. https://doi.org/10.3390/atmos14121772

