Super Typhoon Saola (2023) over the Northern Part of the South China Sea—Aircraft Data Analysis
Abstract
:1. Introduction
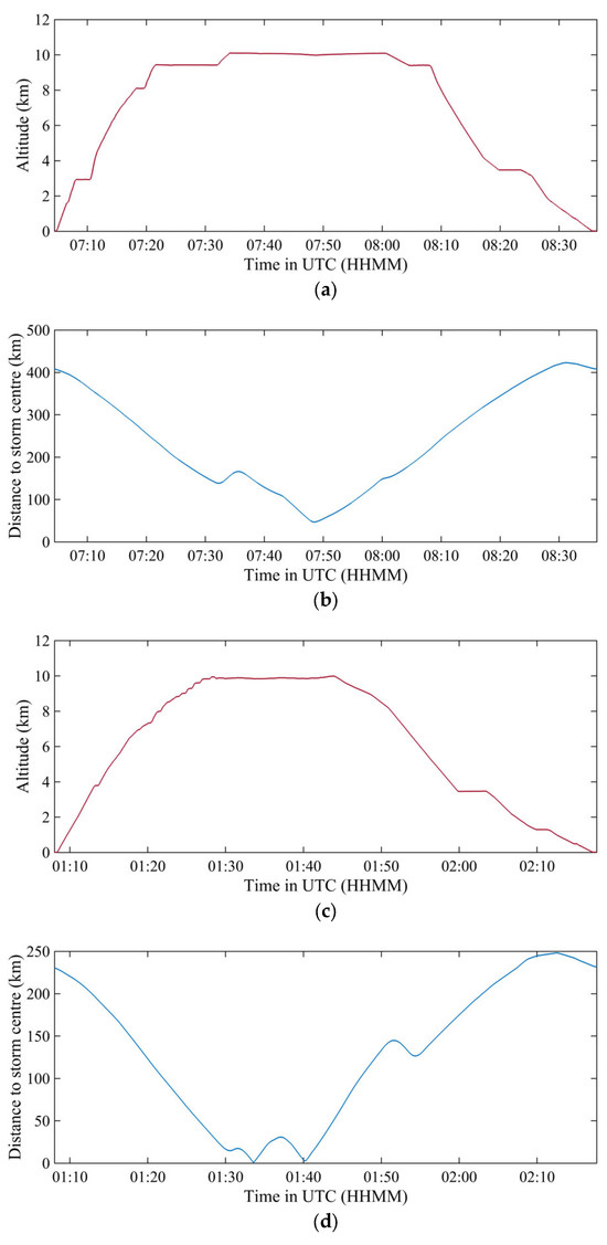
2. Analysis of Flight Data
3. Eddy Dissipation Rate and Turbulent Kinetic Energy
4. EDR Comparison with Radar, Satellite and Model Data
5. Dropsonde Observation
6. Conclusions
Author Contributions
Funding
Data Availability Statement
Conflicts of Interest
References
- Aberson, S.D.; Black, M.L.; Black, R.A.; Burpee, R.W.; Cione, J.J.; Landsea, C.W.; Marks, F.D., Jr. Thirty years of tropical cyclone research with the NOAA P-3 aircraft. Bull. Am. Meteorol. Soc. 2006, 87, 1039–1055. [Google Scholar] [CrossRef]
- Hock, T.F.; Franklin, J.L. The NCAR GPS dropwindsonde. Bull. Am. Meteorol. Soc. 1999, 80, 407–420. [Google Scholar] [CrossRef]
- Wang, J.; Young, K.; Hock, T.; Lauritsen, D.; Behringer, D.; Black, M.; Black, P.G.; Franklin, J.; Halverson, J.; Molinari, J.; et al. A long-term, high-quality, high-vertical-resolution GPS Dropsonde dataset for hurricane and other studies. Bull. Am. Meteorol. Soc. 2015, 96, 961–973. [Google Scholar] [CrossRef]
- Kepert, J.D. Observed boundary layer wind structure and balance in the hurricane core. Part I: Hurricane Georges. J. Atmos. Sci. 2006, 63, 2169–2193. [Google Scholar] [CrossRef]
- Kepert, J.D. Observed boundary layer wind structure and balance in the hurricane core. Part II: Hurricane Mitch. J. Atmos. Sci. 2006, 63, 2194–2211. [Google Scholar] [CrossRef]
- Stern, D.P.; Bryan, G.H.; Aberson, S.D. Extreme low-level updrafts and wind speeds measured by dropsondes in tropical cyclones. Mon. Weather Rev. 2016, 144, 2177–2204. [Google Scholar] [CrossRef]
- Franklin, J.L.; Black, M.L.; Valde, K. GPS dropwindsonde wind profiles in hurricanes and their operational implications. Weather Forecast. 2003, 18, 32–44. [Google Scholar] [CrossRef]
- Giammanco, I.M.; Schroeder, J.L.; Powell, M.D. GPS dropwindsonde and WSR-88D observations of tropical cyclone vertical wind profiles and their characteristics. Weather Forecast. 2013, 28, 77–99. [Google Scholar] [CrossRef]
- Powell, M.D.; Vickery, P.J.; Reinhold, T.A. Reduced drag coefficient for high wind speeds in tropical cyclones. Nature 2003, 402, 279–283. [Google Scholar] [CrossRef]
- French, J.R.; Drennan, W.M.; Zhang, J.A.; Black, P.G. Turbulent fluxes in the hurricane boundary layer. Part I: Momentum flux. J. Atmos. Sci. 2007, 64, 1089–1102. [Google Scholar] [CrossRef]
- Drennan, W.M.; Zhang, J.A.; French, J.R.; McCormick, C.; Black, P.G. Turbulent fluxes in the hurricane boundary layer. Part II: Latent heat flux. J. Atmos. Sci. 2007, 64, 1103–1115. [Google Scholar] [CrossRef]
- Zhang, J.A.; Marks, F.D.; Montgomery, M.T.; Lorsolo, S. An estimation of turbulent characteristics in the low-level region of intense hurricanes Allen (1980) and Hugo (1989). Mon. Weather Rev. 2011, 139, 1447–1462. [Google Scholar] [CrossRef]
- Zhang, J.A. Estimation of dissipative heating using low-level in situ aircraft observations in the hurricane boundary layer. J. Atmos. Sci. 2010, 67, 1853–1862. [Google Scholar] [CrossRef]
- Zhang, J.A. Spectral characteristics of turbulence in the hurricane boundary layer over the ocean between the outer rain bands. Q. J. R. Meteorol. Soc. 2010, 136, 918–926. [Google Scholar] [CrossRef]
- Zhang, J.A.; Drennan, W.M. An observational study of vertical eddy diffusivity in the hurricane boundary layer. J. Atmos. Sci. 2012, 69, 3223–3236. [Google Scholar] [CrossRef]
- Zhang, J.A.; Montgomery, M.T. Observational estimates of the horizontal eddy diffusivity and mixing length in the low-level region of intense hurricanes. J. Atmos. Sci. 2012, 69, 1306–1316. [Google Scholar] [CrossRef]
- Zhao, Z.; Chan, P.W.; Wu, N.; Zhang, J.A.; Hon, K.K. Aircraft observations of turbulence characteristics in the tropical cyclone boundary layer. Bound.-Layer Meteorol. 2019, 174, 493–511. [Google Scholar] [CrossRef]
- Sparks, N.; Hon, K.K.; Chan, P.W.; Wang, S.; Chan, J.C.L.; Lee, T.C.; Toumi, R. Aircraft observations of tropical cyclone boundary layer turbulence over the South China Sea. J. Atmos. Sci. 2019, 76, 3773–3783. [Google Scholar] [CrossRef]
- Gopalakrishnan, S.; Hazelton, A.; Zhang, J.A. Improving hurricane boundary layer parameterization scheme based on observations. Earth Space Sci. 2021, 8, e2020EA001422. [Google Scholar] [CrossRef]
- Hon, K.K.; Chan, P.W. A decade (2011–2020) of tropical cyclone reconnaissance flights over the South China Sea. Weather 2022, 77, 308–314. [Google Scholar] [CrossRef]
- Chan, P.W.; Hon, K.K.; Foster, S. Wind data collected by a fixed-wing aircraft in the vicinity of a tropical cyclone over the south China coastal waters. Meteorol. Z. 2011, 20, 313–321. [Google Scholar] [CrossRef]
- Chan, P.W.; Wong, W.K.; Hon, K.K. Weather observations by aircraft reconnaissance inside Severe Typhoon Utor. Weather 2014, 69, 199–203. [Google Scholar] [CrossRef]
- Chan, P.W.; Wu, N.G.; Zhang, C.Z.; Deng, W.J.; Hon, K.K. The first complete dropsonde observation of a tropical cyclone over the South China Sea by the Hong Kong Observatory. Weather 2018, 73, 227–234. [Google Scholar] [CrossRef]
- Beswick, K.M.; Gallagher, M.W.; Webb, A.R.; Norton, E.G.; Perry, F. Application of the Aventech AIMMS20AQ airborne probe for turbulence measurements during the Convective Storm Initiation Project. Atmos. Chem. Phys. 2008, 8, 5449–5463. [Google Scholar] [CrossRef]
- Sreenivasan, K.R. On the universality of the Kolmogorov constant. Phys. Fluids 1995, 7, 2778–2784. [Google Scholar] [CrossRef]
- Mellor, G.L.; Yamada, T. A hierarchy of turbulence closure models for planetary boundary layers. J. Atmos. Sci. 1974, 31, 1791–1806. [Google Scholar] [CrossRef]
- Stull, R.B. An Introduction to Boundary Layer Meteorology, 1st ed.; Springer: Berlin/Heidelberg, Germany, 1988. [Google Scholar]
- Vecenaj, Z.; Belusic, D.; Grisogono, B. Characteristics of the near-surface turbulence during a bora event. Ann. Geophys. 2010, 28, 155–163. [Google Scholar] [CrossRef]
- Chan, P.W.; Zhang, Y.; Doviak, R.J. Calculation and application of eddy dissipation rate map based on spectrum width data of a S-band radar in Hong Kong. MAUSAM 2016, 67, 411–422. [Google Scholar] [CrossRef]
- Wimmers, A.; Griffin, S.; Gerth, J.; Bachmeier, S.; Lindstrom, S. Observations of gravity waves with high-pass filtering in the new generation of geostationary imagers and their relation to aircraft turbulence. Weather Forecast. 2018, 33, 139–144. [Google Scholar] [CrossRef]
- Kwok, J.L.; Chan, H.T.; Yin, P.W.; Li, C.Y.Y. Automatic aviation turbulence detection using advanced machine learning techniques. In Proceedings of the AOGS2022, Singapore, 1–5 August 2022; Asia Oceania Geosciences Society (AOGS): Singapore, 2022. [Google Scholar]
- He, J.Y.; Hon, K.K.; Li, Q.S.; Chan, P.W. Wind profile analysis for selected tropical cyclones over the South China Sea based on dropsonde measurements. Atmósfera 2022, 35, 111–126. [Google Scholar] [CrossRef]
- Zhang, J.A.; Rogers, R.F.; Reasor, P.D.; Uhlhorn, E.W.; Marks, F.D. Asymmetric hurricane boundary layer structure from dropsonde composites in relation to the environmental vertical wind shear. Mon. Weather Rev. 2013, 141, 3968–3984. [Google Scholar] [CrossRef]
- He, J.Y.; Hon, K.K.; Chan, P.W.; Li, Q.S. Dropsonde observations and numerical simulations for intensifying and weakening tropical cyclones over the northern part of the South China Sea. Weather 2022, 77, 332–338. [Google Scholar] [CrossRef]
- Vickery, P.J.; Wadhera, D.; Powell, M.D.; Chen, Y. A hurricane boundary layer and wind field model for use in engineering applications. J. Appl. Meteorol. Climatol. 2009, 48, 381–405. [Google Scholar] [CrossRef]
- Gryning, S.E.; Batchvarova, E.; Brümmer, B.; Jørgensen, H.; Larsen, S. On the extension of the wind profile over homogeneous terrain beyond the surface boundary layer. Bound.-Layer Meteorol. 2007, 124, 251–268. [Google Scholar] [CrossRef]
- Chan, P.W.; Choy, C.W.; Mak, B.; He, J.Y. A rare tropical cyclone necessitating the issuance of gale or storm wind warning signal in Hong Kong in late autumn in 2022—Severe Tropical Storm Nalgae. Atmosphere 2023, 14, 170. [Google Scholar] [CrossRef]
- He, J.Y.; Li, Q.S.; Chan, P.W.; Choy, C.W.; Mak, B.; Lam, C.C.; Luo, H.Y. An observational study of Typhoon Talim over the northern part of the South China Sea in July 2023. Atmosphere 2023, 14, 1340. [Google Scholar] [CrossRef]



















Disclaimer/Publisher’s Note: The statements, opinions and data contained in all publications are solely those of the individual author(s) and contributor(s) and not of MDPI and/or the editor(s). MDPI and/or the editor(s) disclaim responsibility for any injury to people or property resulting from any ideas, methods, instructions or products referred to in the content. |
© 2023 by the authors. Licensee MDPI, Basel, Switzerland. This article is an open access article distributed under the terms and conditions of the Creative Commons Attribution (CC BY) license (https://creativecommons.org/licenses/by/4.0/).
Share and Cite
He, J.; Chan, P.W.; Chan, Y.W.; Cheung, P. Super Typhoon Saola (2023) over the Northern Part of the South China Sea—Aircraft Data Analysis. Atmosphere 2023, 14, 1595. https://doi.org/10.3390/atmos14111595
He J, Chan PW, Chan YW, Cheung P. Super Typhoon Saola (2023) over the Northern Part of the South China Sea—Aircraft Data Analysis. Atmosphere. 2023; 14(11):1595. https://doi.org/10.3390/atmos14111595
Chicago/Turabian StyleHe, Junyi, Pak Wai Chan, Ying Wa Chan, and Ping Cheung. 2023. "Super Typhoon Saola (2023) over the Northern Part of the South China Sea—Aircraft Data Analysis" Atmosphere 14, no. 11: 1595. https://doi.org/10.3390/atmos14111595
APA StyleHe, J., Chan, P. W., Chan, Y. W., & Cheung, P. (2023). Super Typhoon Saola (2023) over the Northern Part of the South China Sea—Aircraft Data Analysis. Atmosphere, 14(11), 1595. https://doi.org/10.3390/atmos14111595

