Assessment of Different Boundary Layer Parameterization Schemes in Numerical Simulations of Typhoon Nida (2016) Based on Aircraft Observations
Abstract
:1. Introduction
2. Data and Methods
2.1. Aircraft Observations of Typhoon Nida
2.2. Other Related Datasets
2.3. TKE
3. Model Design and Deviation Analysis
3.1. Model and Experimental Design
3.2. Simulated Deviation Analysis
4. Simulation Assessment Based on Aircraft Observations
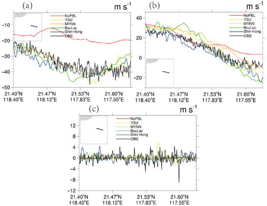
4.1. Characteristics of Simulated U-Wind
4.2. Characteristics of the Simulated V-Wind
4.3. Characteristics of Simulated W-Wind
4.4. Comparison of the Winds with Aircraft Observations
4.5. Turbulent Kinetic Energy
5. Conclusions and Discussions
- (1)
- In the eye area, the simulation results of the YSU and MYNN schemes were relatively close to those of aircraft observations and the ideal typhoon model. In the V-wind simulation, the YSU scheme was similar to the observation. The interface of the north–south wind had a clear leftward inclination from low to high levels. The W-wind MYNN and YSU schemes were similar to the observation and ideal model. The eye center was mainly characterized by sinking movement. There was upward movement on both sides of the eye area, as well as upward and sinking movements that formed vertical circulation.
- (2)
- The U-wind YSU and BouLac schemes in the eyewall area were similar to the observation and ideal typhoon model. The V-wind of the YSU scheme was similar to the observation; the southerly wind component jet existed in the boundary layer. The W-wind MYNN and YSU schemes were similar to the observation and ideal model. Rising and sinking movements coexisted; vertical motion in the low layer and middle and high levels was strong.
- (3)
- Compared with the eye area, the U-wind in the eyewall area was strong. The V-wind did not have a conversion interface for the north and south wind. The W-wind had no unique whole-layer sinking area. The rising and sinking movements of the lower layer were evenly distributed, with weak overall vertical movement.
- (4)
- The YSU and MYNN schemes had similar TKEs, which were similar to those in the aircraft observations, but those in the simulations of several schemes in the boundary layer were evidently lower.
Author Contributions
Funding
Informed Consent Statement
Data Availability Statement
Conflicts of Interest
References
- Tan, Z.-M.; Lei, L.; Wang, Y.; Xu, Y.; Zhang, Y. Typhoon Track, Intensity, and Structure: From Theory to Prediction. Adv. Atmos. Sci. 2022, 39, 1789–1799. [Google Scholar] [CrossRef]
- Hong, S.-Y.; Noh, Y.; Dudhia, J. A New Vertical Diffusion Package with an Explicit Treatment of Entrainment Processes. Mon. Weather. Rev. 2006, 134, 2318–2341. [Google Scholar] [CrossRef]
- Troen, I.B.; Mahrt, L. A simple model of the atmospheric boundary layer; sensitivity to surface evaporation. Bound.-Layer Meteorol. 1986, 37, 129–148. [Google Scholar] [CrossRef]
- Hong, S.Y.; Pan, H.L. Nonlocal boundary layer vertical diffusion in a Medium-Range Forecast Model. Mon. Weather Rev. 1996, 124, 2322–2339. [Google Scholar] [CrossRef]
- Nakanishi, M.; Niino, H. An Improved Mellor-Yamada Level-3 Model: Its Numerical Stability and Application to a Regional Prediction of Advection Fog. Bound.-Layer Meteorol. 2006, 119, 397–407. [Google Scholar] [CrossRef]
- Nakanishi, M.; Niino, H. Development of an Improved Turbulence Closure Model for the Atmospheric Boundary Layer. J. Meteorol. Soc. Jpn. Ser. II 2009, 87, 895–912. [Google Scholar] [CrossRef]
- Fitch, A.C.; Olson, J.B.; Lundquist, J.K.; Dudhia, J.; Gupta, A.K.; Michalakes, J.; Barstad, I.; Archer, C.L. Local and mesoscale impacts of wind farms as parameterized in a mesoscale NWP model. Mon. Wea. Rev. 2012, 140, 3017–3038. [Google Scholar] [CrossRef]
- Shin, H.H.; Hong, S.-Y. Representation of the Subgrid-Scale Turbulent Transport in Convective Boundary Layers at Gray-Zone Resolutions. Mon. Weather. Rev. 2015, 143, 250–271. [Google Scholar] [CrossRef]
- Nelson, M.A.; Conry, P.; Costigan, K.R.; Brown, M.J.; Meech, S.; Zajic, D.; Bieringer, P.E.; Annunzio, A.; Bieberbach, G. A Case Study of the Weather Research and Forecasting Model Applied to the Joint Urban 2003 Tracer Field Experiment. Part III: Boundary-Layer Parametrizations. Bound.-Layer Meteorol. 2022, 183, 381–405. [Google Scholar] [CrossRef]
- Pradhan, P.K.; Liberato, M.L.R.; Kumar, V.; Rao, S.V.B.; Ferreira, J.; Sinha, T. Simulation of mid-latitude winter storms over the North Atlantic Ocean: Impact of boundary layer parameterization schemes. Clim. Dyn. 2019, 53, 6785–6814. [Google Scholar] [CrossRef]
- Pradhan, P.; Liberato, M.L.; Ferreira, J.A.; Dasamsetti, S.; Rao, S.V.B. Characteristics of different convective parameterization schemes on the simulation of intensity and track of severe extratropical cyclones over North Atlantic. Atmos. Res. 2018, 199, 128–144. [Google Scholar] [CrossRef]
- Shen, Y.; Du, Y. Sensitivity of boundary layer parameterization schemes in a marine boundary layer jet and associated precipitation during a coastal warm-sector heavy rainfall event. Front. Earth Sci. 2023, 10, 1085136. [Google Scholar] [CrossRef]
- Fang, G.H.; Susanto, D.; Soesilo, I.; Zheng, Q.A.; Qiao, F.L.; Wei, Z.X. A note on the South China Sea shallow interocean circulation. Adv. Atmos. Sci. 2005, 22, 946–954. [Google Scholar] [CrossRef]
- Zhao, Z.; Chan, P.W.; Wu, N.; Zhang, J.A.; Hon, K.K. Aircraft Observations of Turbulence Characteristics in the Tropical Cyclone Boundary Layer. Bound.-Layer Meteorol. 2019, 174, 493–511. [Google Scholar] [CrossRef]
- Tang, J.; Zhang, J.A.; Chan, P.; Hon, K.; Lei, X.; Wang, Y. A direct aircraft observation of helical rolls in the tropical cyclone boundary layer. Sci. Rep. 2021, 11, 18771. [Google Scholar] [CrossRef]
- Alam, M. Sensitivity Study of Planetary Boundary Layer Parameterization Schemes for the Simulation of Tropical Cyclone ‘Fani’ Over the Bay of Bengal Using High Resolution Wrf-Arw Model. J. Eng. Sci. 2020, 11, 1–18. [Google Scholar] [CrossRef]
- Beswick, K.M.; Gallagher, M.W.; Webb, A.R.; Norton, E.G.; Perry, F. Application of the Aventech AIMMS20AQ airborne probe for turbulence measurements during the Convective Storm Initiation Project. Atmos. Meas. Tech. 2008, 8, 5449–5463. [Google Scholar] [CrossRef]
- Foster, S.; Chan, P.W. Improving the wind and temperature measurements of an airborne meteorological measuring system. J. Zhejiang Univ. A 2012, 13, 723–746. [Google Scholar] [CrossRef]
- Sun, W.; Sun, Y.; Zhang, Y.; Qiu, Q.; Wang, T.; Wang, Y. Ground validation of GPM IMERG rainfall products over the Capital Circle in Northeast China on rainstorm monitoring. In Proceedings of the Remote Sensing for Agriculture, Ecosystems, and Hydrology XX, Berlin, Germany, 10–13 September 2018; Volume 10783, p. 107831S. [Google Scholar] [CrossRef]
- Chen, Y.; Zhang, A.; Zhang, Y.; Cui, C.; Wan, R.; Wang, B.; Fu, Y. A Heavy Precipitation Event in the Yangtze River Basin Led by an Eastward Moving Tibetan Plateau Cloud System in the Summer of 2016. J. Geophys. Res. Atmos. 2020, 125, e2020JD032429. [Google Scholar] [CrossRef]
- Ying, M.; Zhang, W.; Yu, H.; Lu, X.; Feng, J.; Fan, Y.; Zhu, Y.; Chen, D. An Overview of the China Meteorological Administration Tropical Cyclone Database. J. Atmos. Ocean. Technol. 2014, 31, 287–301. [Google Scholar] [CrossRef]
- Zhang, H.S. Fundamentals of Atmospheric Turbulence; Peking University Press: Beijing, China, 2014. [Google Scholar]
- Mahala, B.K.; Mohanty, P.K.; Nayak, B.K. Impact of Microphysics Schemes in the Simulation of Cyclone Phailinusing WRF Model. Procedia Eng. 2015, 116, 655–662. [Google Scholar] [CrossRef]
- Skamarock, W.C.; Klemp, J.B.; Dudhia, J.; Gill, D.O.; Liu, Z.; Berner, J.; Wang, W.; Powers, J.G.; Duda, M.G.; Barker, D.M.; et al. A Description of the Advanced Research WRF, Version 4; National Center for Atmospheric Research: Boulder, CO, USA, 2019. [Google Scholar]
- Fang, R.; Chen, S.; Zhou, M.; Li, W.; Xiao, H.; Zhan, T.; Wu, Y.; Liu, H.; Tu, C. Periodic Cycles of Eyewall Convection Limit the Rapid Intensification of Typhoon Hato (2017). Adv. Meteorol. 2021, 2021, 5557448. [Google Scholar] [CrossRef]
- Emanuel, K.A. An air-sea interaction theory for tropical cyclones. Part I, Steady state maintenance. J. Atmos. Sci. 1986, 43, 585–605. [Google Scholar] [CrossRef]
- Chen, S.; Li, W.; Wen, Z.; Lu, Y.; Zhou, M.; Qian, Y.; Chen, G. Vertical Motions Prior to the Intensification of Simulated Typhoon Hagupit (2008). J. Geophys. Res. Oceans 2019, 124, 577–592. [Google Scholar] [CrossRef]
- Fei, R.; Wang, Y.; Li, Y. Contribution of Vertical Advection to Supergradient Wind in Tropical Cyclone Boundary Layer: A Numerical Study. J. Atmos. Sci. 2021, 78, 1057–1073. [Google Scholar] [CrossRef]
- Bao, S.; Bernardet, L.; Thompson, G.; Kalina, E.; Newman, K.; Biswas, M.; Shaowu, B. Impact of the Hydrometeor Vertical Advection Method on HWRF’s Simulated Hurricane Structure. Weather. Forecast. 2020, 35, 723–737. [Google Scholar] [CrossRef]
- Bao, S.; Zhang, Z.; Kalina, E.; Liu, B. The Use of Composite GOES-R Satellite Imagery to Evaluate a TC Intensity and Vortex Structure Forecast by an FV3GFS-Based Hurricane Forecast Model. Atmosphere 2022, 13, 126. [Google Scholar] [CrossRef]

















| Domain 1 | Domain 2 | Domain 3 | |
|---|---|---|---|
| Resolution | 4.5 km | 1.5 km | 0.5 km |
| Grid number | 598 × 466 | 1237 × 643 | 811 × 811 |
| Microphysics schemes | WSM 6-class graupel scheme | WSM 6-class graupel scheme | WSM 6-class graupel scheme |
| Cumulus schemes | Modified Tiedtke scheme (ARW only) | No cumulus | No cumulus |
| Shortwave radiation schemes | rrtmg scheme | rrtmg scheme | rrtmg scheme |
| Longwave radiation schemes | rrtmg scheme | rrtmg scheme | rrtmg scheme |
| Land–surface scheme | Unified Noah land–surface scheme | Unified Noah land–surface scheme | Unified Noah land–surface scheme |
| Experiment Name | Domain 1 | Domain 2 | Domain 3 |
|---|---|---|---|
| NoPBL | No boundary-layer | ||
| YSU | YSU scheme | ||
| MYNN | MYNN 2.5 level TKE scheme | ||
| BouLac | Bougeault and Lacarrere PBL scheme | ||
| Shin-Hong | Shin-Hong “scale-aware” PBL scheme | ||
| Area | Parameterization Scheme | (m s−1) | (m s−1) | (m s−1) | (m s−1) | (m s−1) | (m s−1) |
|---|---|---|---|---|---|---|---|
| II | NoPBL | 12.1 | 5.1 | 0.421 | 4.4 | 7.4 | 0.787 |
| YSU | 8.3 | 9.6 | 0.388 | 7.6 | 8.9 | 0.729 | |
| MYNN | 9.6 | 8.1 | 0.309 | 5.6 | 6.4 | 0.740 | |
| BouLac | 8.9 | 9.2 | 0.336 | 8.0 | 10.1 | 0.755 | |
| Shin-Hong | 8.8 | 9.6 | 0.409 | 9.5 | 5.0 | 0.665 | |
| IV | NoPBL | 19.9 | 10.9 | 0.287 | 16.2 | 4.2 | 1.227 |
| YSU | 23.1 | 18.1 | 0.243 | 3.7 | 5.3 | 1.038 | |
| MYNN | 23.2 | 17.8 | 0.246 | 2.3 | 5.7 | 1.061 | |
| BouLac | 23.6 | 18.1 | 0.364 | 4.6 | 7.5 | 1.005 | |
| Shin-Hong | 24.4 | 18.4 | 0.353 | 3.7 | 4.4 | 1.105 |
Disclaimer/Publisher’s Note: The statements, opinions and data contained in all publications are solely those of the individual author(s) and contributor(s) and not of MDPI and/or the editor(s). MDPI and/or the editor(s) disclaim responsibility for any injury to people or property resulting from any ideas, methods, instructions or products referred to in the content. |
© 2023 by the authors. Licensee MDPI, Basel, Switzerland. This article is an open access article distributed under the terms and conditions of the Creative Commons Attribution (CC BY) license (https://creativecommons.org/licenses/by/4.0/).
Share and Cite
Tu, C.; Zhao, Z.; Zhou, M.; Li, W.; Xie, M.; Ni, C.; Chen, S. Assessment of Different Boundary Layer Parameterization Schemes in Numerical Simulations of Typhoon Nida (2016) Based on Aircraft Observations. Atmosphere 2023, 14, 1403. https://doi.org/10.3390/atmos14091403
Tu C, Zhao Z, Zhou M, Li W, Xie M, Ni C, Chen S. Assessment of Different Boundary Layer Parameterization Schemes in Numerical Simulations of Typhoon Nida (2016) Based on Aircraft Observations. Atmosphere. 2023; 14(9):1403. https://doi.org/10.3390/atmos14091403
Chicago/Turabian StyleTu, Chaoyong, Zhongkuo Zhao, Mingsen Zhou, Weibiao Li, Min Xie, Changjiang Ni, and Shumin Chen. 2023. "Assessment of Different Boundary Layer Parameterization Schemes in Numerical Simulations of Typhoon Nida (2016) Based on Aircraft Observations" Atmosphere 14, no. 9: 1403. https://doi.org/10.3390/atmos14091403
APA StyleTu, C., Zhao, Z., Zhou, M., Li, W., Xie, M., Ni, C., & Chen, S. (2023). Assessment of Different Boundary Layer Parameterization Schemes in Numerical Simulations of Typhoon Nida (2016) Based on Aircraft Observations. Atmosphere, 14(9), 1403. https://doi.org/10.3390/atmos14091403

