Evolution of a Stratified Turbulent Cloud under Rotation
Abstract
:1. Introduction
2. The Evolution of a Single Stratified Eddy under Rotation
2.1. Inertial-Gravity Waves
2.2. Analytical Study of a Single Eddy
2.3. Numerical Validation of the Analytical Results
3. A Stratified Turbulent Cloud under Rotation
3.1. DNS of a Turbulent Cloud
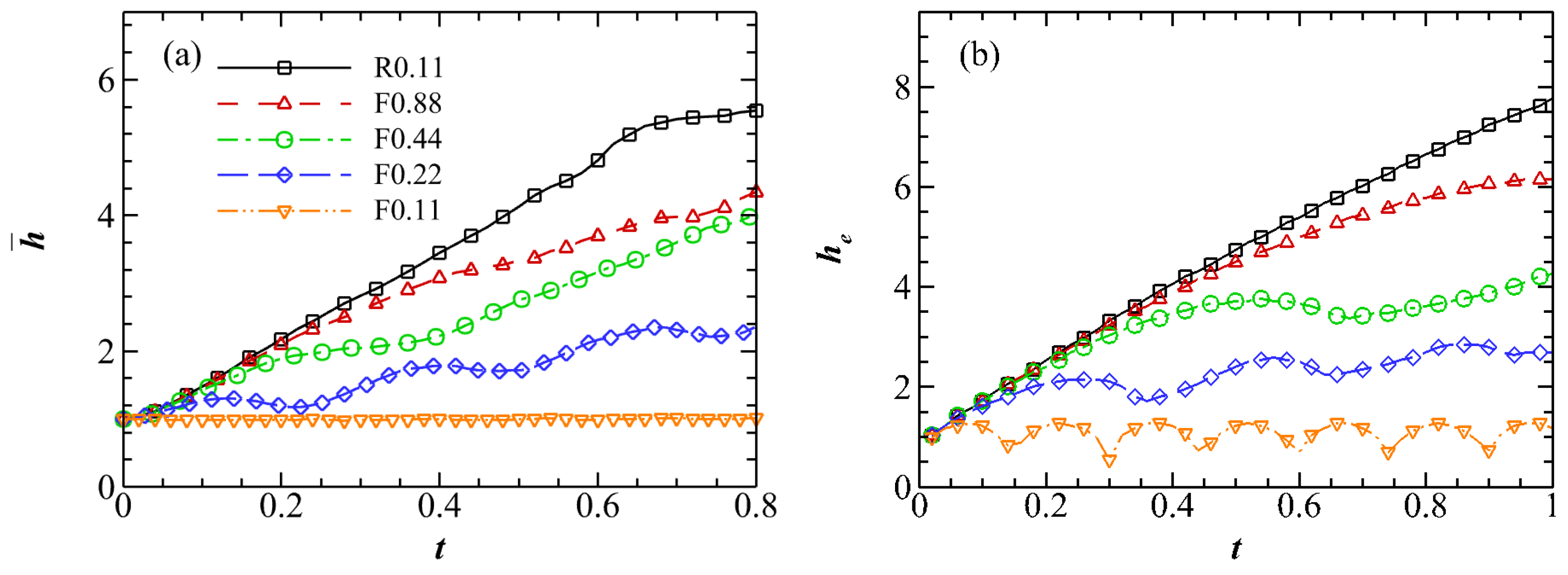
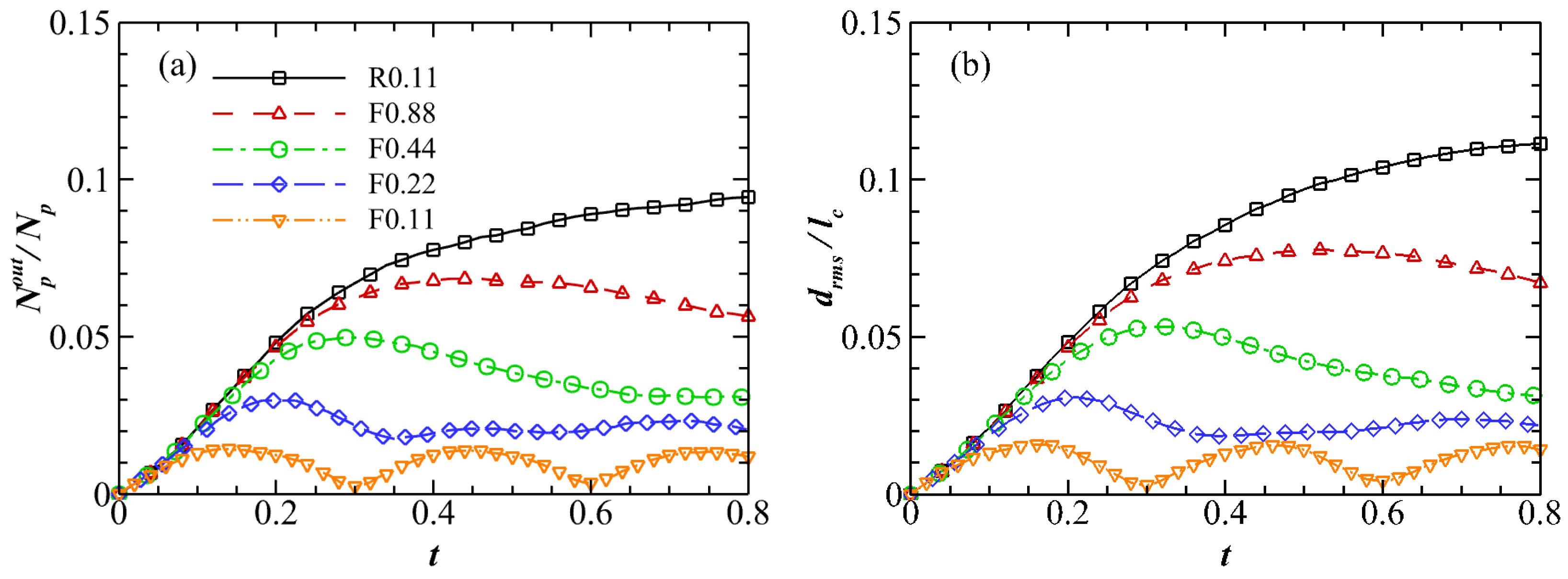
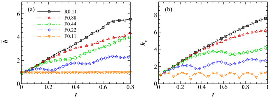
3.2. Evolution of Flow Structures
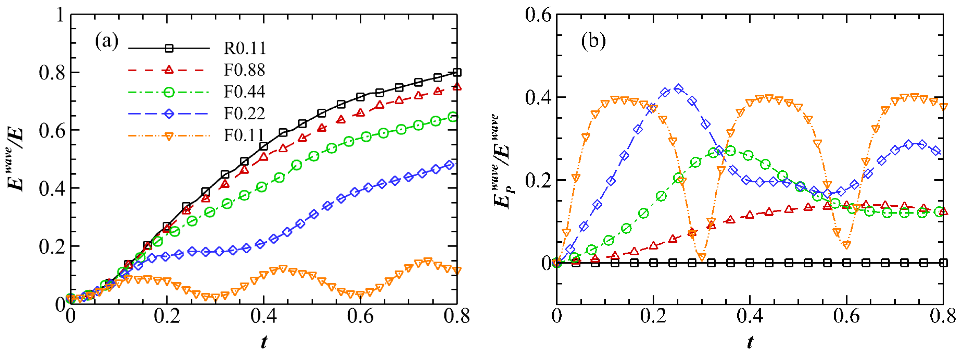
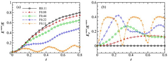
3.3. Are the Flow Structures Formed by Inertial-Gravity Waves?
3.4. Wave-Dominated and Turbulence-Dominated Regions
4. Discussion and Conclusions
Author Contributions
Funding
Institutional Review Board Statement
Data Availability Statement
Acknowledgments
Conflicts of Interest
Abbreviations
| DNS | Direct numerical simulation |
| PV | Potential vorticity |
References
- Grant, H.; Moilliet, A.; Vogel, W. Some observations of the occurrence of turbulence in and above the thermocline. J. Fluid Mech. 1968, 34, 443–448. [Google Scholar] [CrossRef]
- Nasmyth, P.W. Oceanic Turbulence. Ph.D. Thesis, University of British Columbia, Vancouver, BC, Canada, 1970. [Google Scholar]
- Wijesekera, H.W.; Dillon, T.M. Internal waves and mixing in the upper equatorial Pacific Ocean. J. Geophys. Res. Ocean. 1991, 96, 7115–7125. [Google Scholar] [CrossRef]
- Nash, J.; Alford, M.; Kunze, E.; Martini, K.; Kelly, S. Hotspots of deep ocean mixing on the Oregon continental slope. Geophys. Res. Lett. 2007, 34, L01605. [Google Scholar] [CrossRef]
- Davidson, P. Turbulence: An Introduction for Scientists and Engineers; Oxford University Press: Oxford, UK, 2015. [Google Scholar]
- Yang, C.F.; Chi, W.C.; van Haren, H. Deep-sea turbulence evolution observed by multiple closely spaced instruments. Sci. Rep. 2021, 11, 3919. [Google Scholar] [CrossRef] [PubMed]
- Riley, J.J.; Lelong, M.P. Fluid motions in the presence of strong stable stratification. Annu. Rev. Fluid Mech. 2000, 32, 613–657. [Google Scholar] [CrossRef]
- Sutherland, B.R. Internal Gravity Waves; Cambridge University Press: Cambridge, UK, 2010. [Google Scholar]
- Thorpe, S.A. The Turbulent Ocean; Cambridge University Press: Cambridge, UK, 2005. [Google Scholar]
- Yarom, E.; Sharon, E. Experimental observation of steady inertial wave turbulence in deep rotating flows. Nat. Phys. 2014, 10, 510–514. [Google Scholar] [CrossRef]
- Buzzicotti, M.; Aluie, H.; Biferale, L.; Linkmann, M. Energy transfer in turbulence under rotation. Phys. Rev. Fluids 2018, 3, 034802. [Google Scholar] [CrossRef]
- Alexakis, A.; Biferale, L. Cascades and transitions in turbulent flows. Phys. Rep. 2018, 767, 1–101. [Google Scholar] [CrossRef]
- Di Leoni, P.C.; Alexakis, A.; Biferale, L.; Buzzicotti, M. Phase transitions and flux-loop metastable states in rotating turbulence. Phys. Rev. Fluids 2020, 5, 104603. [Google Scholar] [CrossRef]
- Savaro, C.; Campagne, A.; Linares, M.C.; Augier, P.; Sommeria, J.; Valran, T.; Viboud, S.; Mordant, N. Generation of weakly nonlinear turbulence of internal gravity waves in the Coriolis facility. Phys. Rev. Fluids 2020, 5, 073801. [Google Scholar] [CrossRef]
- Monsalve, E.; Brunet, M.; Gallet, B.; Cortet, P.P. Quantitative experimental observation of weak inertial-wave turbulence. Phys. Rev. Lett. 2020, 125, 254502. [Google Scholar] [CrossRef] [PubMed]
- Hopfinger, E.; Browand, F.; Gagne, Y. Turbulence and waves in a rotating tank. J. Fluid Mech. 1982, 125, 505–534. [Google Scholar] [CrossRef]
- Dickinson, S.C.; Long, R.R. Oscillating-grid turbulence including effects of rotation. J. Fluid Mech. 1983, 126, 315–333. [Google Scholar] [CrossRef]
- Davidson, P.; Staplehurst, P.; Dalziel, S. On the evolution of eddies in a rapidly rotating system. J. Fluid Mech. 2006, 557, 135–144. [Google Scholar] [CrossRef]
- Ranjan, A.; Davidson, P. Evolution of a turbulent cloud under rotation. J. Fluid Mech. 2014, 756, 488–509. [Google Scholar] [CrossRef]
- Thorpe, S. On the layers produced by rapidly oscillating a vertical grid in a uniformly stratified fluid. J. Fluid Mech. 1982, 124, 391–409. [Google Scholar] [CrossRef]
- Browand, F.; Guyomar, D.; Yoon, S.C. The behavior of a turbulent front in a stratified fluid: Experiments with an oscillating grid. J. Geophys. Res. Ocean. 1987, 92, 5329–5341. [Google Scholar]
- De Silva, I.; Fernando, H. Some aspects of mixing in a stratified turbulent patch. J. Fluid Mech. 1992, 240, 601–625. [Google Scholar] [CrossRef]
- De Silva, I.; Fernando, H.J. Experiments on collapsing turbulent regions in stratified fluids. J. Fluid Mech. 1998, 358, 29–60. [Google Scholar] [CrossRef]
- Gilreath, H.; Brandt, A. Experiments on the generation of internal waves in a stratified fluid. AIAA J. 1985, 23, 693–700. [Google Scholar] [CrossRef]
- Rowe, K.; Diamessis, P.; Zhou, Q. Internal gravity wave radiation from a stratified turbulent wake. J. Fluid Mech. 2020, 888, A25. [Google Scholar] [CrossRef]
- Maffioli, A.; Davidson, P.; Dalziel, S.; Swaminathan, N. The evolution of a stratified turbulent cloud. J. Fluid Mech. 2014, 739, 229–253. [Google Scholar] [CrossRef]
- Veronis, G. The analogy between rotating and stratified fluids. Annu. Rev. Fluid Mech. 1970, 2, 37–66. [Google Scholar] [CrossRef]
- Pedlosky, J. Geophysical Fluid Dynamics; Springer: New York, NY, USA, 2013. [Google Scholar]
- Vallis, G.K. Atmospheric and Oceanic Fluid Dynamics; Cambridge University Press: Cambridge, UK, 2017. [Google Scholar]
- Manins, P. Intrusion into a stratified fluid. J. Fluid Mech. 1976, 74, 547–560. [Google Scholar] [CrossRef]
- Davies, P.A.; Fernando, H.J.; Besley, P.; Simpson, R.J. Generation and spreading of a turbulent mixed layer in a rotating, stratified fluid. J. Geophys. Res. Ocean. 1991, 96, 12567–12585. [Google Scholar] [CrossRef]
- Folkard, A.M.; Davies, P.A.; Fernando, H.J. Measurements in a turbulent patch in a rotating, linearly-stratified fluid. Dyn. Atmos. Ocean. 1997, 26, 27–51. [Google Scholar] [CrossRef]
- Wells, J.R.; Helfrich, K.R. A laboratory study of localized boundary mixing in a rotating stratified fluid. J. Fluid Mech. 2004, 516, 83–113. [Google Scholar] [CrossRef]
- Ranjan, A.; Davidson, P. DNS of a Buoyant Turbulent Cloud under Rapid Rotation. In Advances in Computation, Modeling and Control of Transitional and Turbulent Flows; World Scientific: Singapore, 2016; pp. 452–460. [Google Scholar]
- Emery, W.; Lee, W.; Magaard, L. Geographic and seasonal distributions of Brunt-Väisälä frequency and Rossby radii in the North Pacific and North Atlantic. J. Phys. Ocean. 1984, 14, 294–317. [Google Scholar] [CrossRef]
- Jones, E.; Rudels, B.; Anderson, L. Deep waters of the Arctic Ocean: Origins and circulation. Deep. Sea Res. Part I Oceanogr. Res. Pap. 1995, 42, 737–760. [Google Scholar] [CrossRef]
- Woodgate, R.A.; Aagaard, K.; Muench, R.D.; Gunn, J.; Björk, G.; Rudels, B.; Roach, A.; Schauer, U. The Arctic Ocean boundary current along the Eurasian slope and the adjacent Lomonosov Ridge: Water mass properties, transports and transformations from moored instruments. Deep. Sea Res. Part I Oceanogr. Res. Pap. 2001, 48, 1757–1792. [Google Scholar] [CrossRef]
- Lesieur, M. Turbulence in Fluids: Stochastic and Numerical Modelling; Springer Science & Business Media: Dordrecht, The Netherlands, 1987. [Google Scholar]
- Smith, L.M.; Waleffe, F. Generation of slow large scales in forced rotating stratified turbulence. J. Fluid Mech. 2002, 451, 145–168. [Google Scholar] [CrossRef]
- Li, T.; Wan, M.; Wang, J.; Chen, S. Flow structures and kinetic-potential exchange in forced rotating stratified turbulence. Phys. Rev. Fluids 2020, 5, 014802. [Google Scholar] [CrossRef]
- Canuto, C.; Hussaini, M.Y.; Quarteroni, A.; Thomas, A., Jr. Spectral Methods in Fluid Dynamics; Springer Science & Business Media: Berlin/Heidelberg, Germany, 2012. [Google Scholar]
- Cushman-Roisin, B.; Beckers, J.M. Introduction to Geophysical Fluid Dynamics: Physical and Numerical Aspects; Academic Press: Waltham, MA, USA, 2011. [Google Scholar]
- Watanabe, T.; Riley, J.J.; de Bruyn Kops, S.M.; Diamessis, P.J.; Zhou, Q. Turbulent/non-turbulent interfaces in wakes in stably stratified fluids. J. Fluid Mech. 2016, 797, R1. [Google Scholar] [CrossRef]
- Li, T.; Wan, M.; Wang, J.; Chen, S. Spectral energy transfers and kinetic-potential energy exchange in rotating stratified turbulence. Phys. Rev. Fluids 2020, 5, 124804. [Google Scholar] [CrossRef]
- Wingate, B.A.; Embid, P.; Holmes-Cerfon, M.; Taylor, M.A. Low Rossby limiting dynamics for stably stratified flow with finite Froude number. J. Fluid Mech. 2011, 676, 546–571. [Google Scholar] [CrossRef]
- Heywood, K.J.; Garabato, A.C.N.; Stevens, D.P. High mixing rates in the abyssal Southern Ocean. Nature 2002, 415, 1011–1014. [Google Scholar] [CrossRef]
- Van Haren, H.; Millot, C. Gyroscopic waves in the Mediterranean Sea. Geophys. Res. Lett. 2005, 32, L24614. [Google Scholar] [CrossRef]
- Timmermans, M.L.; Melling, H.; Rainville, L. Dynamics in the deep Canada Basin, Arctic Ocean, inferred by thermistor chain time series. J. Phys. Oceanogr. 2007, 37, 1066–1076. [Google Scholar] [CrossRef]
- Timmermans, M.L.; Rainville, L.; Thomas, L.; Proshutinsky, A. Moored observations of bottom-intensified motions in the deep Canada Basin, Arctic Ocean. J. Mar. Res. 2010, 68, 625–641. [Google Scholar] [CrossRef]
- Marino, R.; Mininni, P.D.; Rosenberg, D.; Pouquet, A. Inverse cascades in rotating stratified turbulence: Fast growth of large scales. Europhys. Lett. 2013, 102, 44006. [Google Scholar] [CrossRef]
- Rosenberg, D.; Pouquet, A.; Marino, R.; Mininni, P.D. Evidence for Bolgiano-Obukhov scaling in rotating stratified turbulence using high-resolution direct numerical simulations. Phys. Fluids 2015, 27, 055105. [Google Scholar] [CrossRef]
- Feraco, F.; Marino, R.; Pumir, A.; Primavera, L.; Mininni, P.D.; Pouquet, A.; Rosenberg, D. Vertical drafts and mixing in stratified turbulence: Sharp transition with Froude number. Europhys. Lett. 2018, 123, 44002. [Google Scholar] [CrossRef]
- Marino, R.; Feraco, F.; Primavera, L.; Pumir, A.; Pouquet, A.; Rosenberg, D.; Mininni, P.D. Turbulence generation by large-scale extreme vertical drafts and the modulation of local energy dissipation in stably stratified geophysical flows. Phys. Rev. Fluids 2022, 7, 033801. [Google Scholar] [CrossRef]
- D’Asaro, E.A.; Lien, R.C.; Henyey, F. High-frequency internal waves on the Oregon continental shelf. J. Phys. Oceanogr. 2007, 37, 1956–1967. [Google Scholar] [CrossRef]
- Buaria, D.; Pumir, A.; Feraco, F.; Marino, R.; Pouquet, A.; Rosenberg, D.; Primavera, L. Single-particle Lagrangian statistics from direct numerical simulations of rotating-stratified turbulence. Phys. Rev. Fluids 2020, 5, 064801. [Google Scholar] [CrossRef]








| Case | Resolution | N | |||||||
|---|---|---|---|---|---|---|---|---|---|
| R0.11 | 0.11 | 21.1 | ∞ | 0.0 | 0.00 | 169 | 0.13 | 3 | |
| F0.88 | 0.11 | 21.1 | 0.88 | 2.6 | 0.02 | 169 | 0.13 | 3 | |
| F0.44 | 0.11 | 21.1 | 0.44 | 5.3 | 0.06 | 169 | 0.13 | 3 | |
| F0.22 | 0.11 | 21.1 | 0.22 | 10.6 | 0.25 | 169 | 0.13 | 3 | |
| F0.11 | 0.11 | 21.1 | 0.11 | 21.1 | 1.00 | 169 | 0.13 | 3 |
| Case | R0.11 | F0.88 | F0.44 | F0.22 | F0.11 |
|---|---|---|---|---|---|
Disclaimer/Publisher’s Note: The statements, opinions and data contained in all publications are solely those of the individual author(s) and contributor(s) and not of MDPI and/or the editor(s). MDPI and/or the editor(s) disclaim responsibility for any injury to people or property resulting from any ideas, methods, instructions or products referred to in the content. |
© 2023 by the authors. Licensee MDPI, Basel, Switzerland. This article is an open access article distributed under the terms and conditions of the Creative Commons Attribution (CC BY) license (https://creativecommons.org/licenses/by/4.0/).
Share and Cite
Li, T.; Wan, M.; Chen, S. Evolution of a Stratified Turbulent Cloud under Rotation. Atmosphere 2023, 14, 1590. https://doi.org/10.3390/atmos14101590
Li T, Wan M, Chen S. Evolution of a Stratified Turbulent Cloud under Rotation. Atmosphere. 2023; 14(10):1590. https://doi.org/10.3390/atmos14101590
Chicago/Turabian StyleLi, Tianyi, Minping Wan, and Shiyi Chen. 2023. "Evolution of a Stratified Turbulent Cloud under Rotation" Atmosphere 14, no. 10: 1590. https://doi.org/10.3390/atmos14101590
APA StyleLi, T., Wan, M., & Chen, S. (2023). Evolution of a Stratified Turbulent Cloud under Rotation. Atmosphere, 14(10), 1590. https://doi.org/10.3390/atmos14101590
