Extended-Range Forecast of Regional Persistent Extreme Cold Events Based on Deep Learning
Abstract
:1. Introduction
2. Materials and Methods
2.1. Materials
2.2. Methods
3. Signal Processing of Intraseasonal Oscillation and RPECEs
4. Extended-Range Forecast
4.1. Deep Learning Model for Extended-Range Forecast
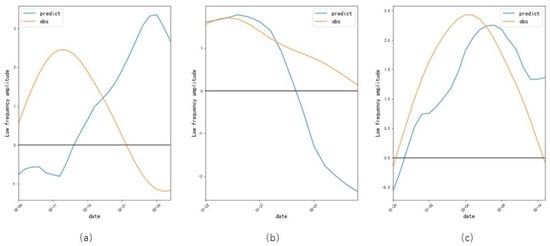
4.2. Model Validation
5. Conclusions
- The minimum temperature in winter exhibited low-frequency oscillations. Morlet wavelet analysis indicated two low-frequency oscillation periods of 10–20 d and 30–60 d. EOF decomposition showed that the oscillation period had a high explained variance for the first mode, indicating uniform coldness in the study area. This result can be used to perform extended-range forecasts.
- A CNN deep learning model was established, and the geopotential height of the reanalysis data field and OLR data were used. The correlation between the large-scale circulation factor feature set and the time coefficient of the low-frequency oscillation of the minimum temperature was calculated.
- The proposed model reflects the state of the atmospheric low-frequency oscillation curve, enabling the prediction of RPECEs.
Author Contributions
Funding
Institutional Review Board Statement
Informed Consent Statement
Data Availability Statement
Conflicts of Interest
References
- Tao, S. Study on East Asian cold waves in China during recent 10 years. Acta Meteorol. Sin. 1959, 30, 226–230. [Google Scholar]
- Ding, Y. The propagation of the winter monsoon during cold air outbreaks in east Asia and the associated planetary-scale effect. J. Appl. Meteorol. Climatol. 1991, 2, 124–132. [Google Scholar]
- Qian, W.; Zhang, W. Changes in Cold Wave Events and Warm Winter in China during the Last 46 Years. Chin. J. Atmos. Sci. 2007, 31, 1266–1278. [Google Scholar]
- Wei, F. Probability Distribution of Minimum Temperature in Winter Half Years in China. Clim. Chang. Res. 2008, 4, 8–11. [Google Scholar]
- Bueh, C. Research on Persistent Extreme Cold Events in China; China Meteorological Press: Beijing, China, 2015. [Google Scholar]
- Shi, N.; Bueh, C. A Specific Stratospheric Precursory Signal for the Extensive and Persistent Extreme Cold Events in China. Chin. J. Atmos. Sci. 2015, 39, 210–220. [Google Scholar]
- Bueh, C.; Fu, X.Y.; Xie, Z.W. Large-scale circulation features typical of wintertime extensive and persistent low temperature events in China. Atmos. Ocean. Sci. Lett. 2011, 4, 235–241. [Google Scholar]
- Zhang, Z.; Qian, W. Precursors of Regional Prolonged Low Temperature Events in China during Winter Half Year. Chin. J. Atmos. Sci. 2012, 36, 1269–1279. [Google Scholar]
- Yang, Q.M. A study of the extended-range forecast for the low frequency temperature and high temperature weather over the lower reaches of Yangtze River Valley in summer. Adv. Earth Sci. 2018, 33, 385–395. [Google Scholar]
- Yang, Q.M. Extended-range forecast for the low-frequency oscillation of temperature and low-temperature weather over the lower reaches of the Yangtze River in winter. Chin. J. Atmos. Sci. 2021, 45, 21–36. [Google Scholar]
- Hsu, P.C.; Li, T.; You, L.; Gao, J.; Ren, H.L. A spatial–temporal projection model for 10–30 day rainfall forecast in South China. Clim. Dyn. 2015, 44, 1227–1244. [Google Scholar] [CrossRef]
- Hsu, P.C.; Zang, Y.X.; Zhu, Z.W.; Li, T. Subseasonal-to-seasonal (S2S) prediction using the spatial-temporal projection model (STPM). Trans. Atmos. Sci. 2020, 43, 212–224. [Google Scholar]
- Zhu, Z.W.; Li, T. Statistical extended-range forecast of winter surface air temperature and extremely cold days over China. Q. J. R. Meteorol. Soc. 2017, 143, 1528–1538. [Google Scholar] [CrossRef]
- Lee, S.; Moon, J.; Wang, B.; Kim, H. Subseasonal Prediction of Extreme Precipitation over Asia: Boreal Summer Intraseasonal Oscillation Perspective. J. Clim. 2017, 30, 2849–2865. [Google Scholar] [CrossRef]
- Lei, L.; Hsu, P.C.; Gao, Q.J.; Xie, H.J. Extended-range forecasting method of summer daily maximum temperature in the Yangtze River Basin based on convolutional neural network. Trans. Atmos. Sci. 2022, 45, 835–849. [Google Scholar]
- Wu, J.; Ren, H.L.; Zhang, P.; Wang, Y.; Liu, Y.; Zhao, C.; Li, Q. The dynamical-statistical subseasonal prediction of precipitation over China based on the BCC new-generation coupled model. Clim. Dyn. 2022, 59, 1213–1232. [Google Scholar] [CrossRef]
- Zhang, K.Y.; Li, J.; Hsu, P.C.; Zhu, Z.W. The dynamical-statistical extended-range prediction of precipitation and extreme precipitation events over southern China. Acta Meteorol. Sin. 2023, 81, 79–93. [Google Scholar]
- Kim, M.; Yoo, C.; Choi, J. Enhancing subseasonal temperature prediction by bridging a statistical model with dynamical Arctic Oscillation forecasting. Geophys. Res. Lett. 2021, 48, e2021GL093447. [Google Scholar] [CrossRef]
- Qian, Y.; Hsu, P.-C.; Murakami, H.; Xiang, B.; You, L. A hybrid dynamical-statistical model for advancing subseasonal tropical cyclone prediction over the western North Pacific. Geophys. Res. Lett. 2020, 47, e2020GL090095. [Google Scholar] [CrossRef]
- Zhang, D.Q.; Zheng, Z.H.; Chen, L.J.; Zhang, P.Q. Advances on the predictability and prediction methods of 10–30 d extended range forecast. J. Appl. Meteorol. Sci. 2019, 30, 416–430. [Google Scholar]
- Chen, G.J.; Wei, F.Y.; Yao, W.Q.; Zhou, X. Extended range forecast experiments of persistent winter low temperature indexes based on intra-seasonal oscillation over southern China. Acta Meteorol. Sin. 2017, 75, 400–414. [Google Scholar]
- Zhang, Z.J.; Qian, W.H. Identifying regional prolonged low temperature events in China. Adv. Atmos. Sci. 2011, 28, 338–351. [Google Scholar] [CrossRef]
- Torrence, C.; Compo, G.P. A practical guide to wavelet analysis. Bull. Am. Meteorol. Soc. 1998, 79, 61–78. [Google Scholar] [CrossRef]
- Fukushima, K. Neocognitron: A self organizing neural network model for a mechanism of pattern recognition unaffected by shift in position. Biol. Cybern. 1980, 36, 193–202. [Google Scholar] [CrossRef]
- Zhu, Y.Y.; Jiang, J. The intraseasonal characteristics of wintertime persistent cold anomaly in China and the role of low frequency oscillation in the low latitude and midlatitude. J. Trop. Meteorol. 2013, 29, 649–655. [Google Scholar]
- Ham, Y.G.; Kim, J.H.; Luo, J.J. Deep learning for multi-year ENSO forecasts. Nature 2019, 573, 568–572. [Google Scholar] [CrossRef]
- He, S.P.; Wang, H.J.; Li, H.; Zhao, J.Z. Machine learning and its potential application to climate prediction. Trans. Atmos. Sci. 2021, 44, 26–38. [Google Scholar]









| Number | Start and End Date | Duration | Peak |
|---|---|---|---|
| 1 | 3 October 1979–15 October | 13 | 10 October 1979 |
| 2 | 5 February 1980–11 February | 7 | 7 February 1980 |
| 3 | 22 October 1981–26 October | 5 | 23 October 1981 |
| 4 | 6 November 1981–10 November | 5 | 8 November 1981 |
| 5 | 24 March 1982–28 March | 5 | 25 March 1982 |
| 6 | 21 January 1983–25 January | 5 | 23 January 1983 |
| 7 | 27 November 1983–2 December | 6 | 1 December 1983 |
| 8 | 18 January 1984–22 January | 5 | 22 January 1984 |
| 9 | 19 December 1984–29 December | 11 | 24 December 1984 |
| 10 | 11 March 1985–16 March | 6 | 12 March 1985 |
| 11 | 2 October 1985–6 October | 5 | 3 October 1985 |
| 12 | 7 December 1985–12 December | 6 | 11 December 1985 |
| 13 | 27 February 1986–3 March | 5 | 2 March 1986 |
| 14 | 31 October 1987–4 November | 5 | 3 November 1987 |
| 15 | 27 November 1987–2 December | 6 | 30 November 1987 |
| 16 | 5 December 1987–9 December | 5 | 7 December 1987 |
| 17 | 1 March 1988–5 March | 5 | 5 March 1988 |
| 18 | 29 November 1989–3 December | 5 | 2 December 1989 |
| 19 | 12 November 1991–16 November | 5 | 15 November 1991 |
| 20 | 26 December 1991–30 December | 5 | 28 December 1991 |
| 21 | 17 March 1992–29 March | 13 | 24 March 1992 |
| 22 | 4 October 1992–8 October | 5 | 5 October 1992 |
| 23 | 16 October 1992–21 October | 6 | 18 October 1992 |
| 24 | 9 November 1992–14 November | 6 | 10 November 1992 |
| 25 | 15 January 1993–25 January | 11 | 16 January 1993 |
| 26 | 28 January 1993–1 February | 5 | 29 January 1993 |
| 27 | 7 October 1993–12 October | 6 | 8 October 1993 |
| 28 | 18 November 1993–24 November | 7 | 21 November 1993 |
| 29 | 19 October 1994–26 October | 8 | 23 October 1994 |
| 30 | 17 February 1996–24 February | 8 | 20 February 1996 |
| 31 | 19 March 1998–23 March | 5 | 21 March 1998 |
| 32 | 20 December 1999–25 December | 6 | 23 December 1999 |
| 33 | 2 November 2000–6 November | 5 | 2 November 2000 |
| 34 | 14 November 2001–23 November | 10 | 16 November 2001 |
| 35 | 7 October 2002–12 October | 6 | 8 October 2002 |
| 36 | 2 November 2003–13 November | 6 | 10 November 2003 |
| 37 | 3 October 2004–7 October | 5 | 4 October 2004 |
| 38 | 15 December 2005–19 December | 5 | 15 December 2005 |
| 39 | 22 January 2008–2 February | 13 | 29 January 2008 |
| 40 | 10 January 2009–15 January | 6 | 22 January 2009 |
| 41 | 11 November 2009–19 November | 9 | 17 November 2009 |
| 42 | 16 February 2010–20 February | 5 | 18 February 2010 |
| 43 | 28 October 2010–2 November | 6 | 30 October 2010 |
| 44 | 10 February 2014–15 February | 6 | 11 February 2014 |
| 45 | 23 January 2016–27 January | 5 | 23 January 2016 |
| 46 | 25 January 2018–30 January | 6 | 28 January 2018 |
Disclaimer/Publisher’s Note: The statements, opinions and data contained in all publications are solely those of the individual author(s) and contributor(s) and not of MDPI and/or the editor(s). MDPI and/or the editor(s) disclaim responsibility for any injury to people or property resulting from any ideas, methods, instructions or products referred to in the content. |
© 2023 by the authors. Licensee MDPI, Basel, Switzerland. This article is an open access article distributed under the terms and conditions of the Creative Commons Attribution (CC BY) license (https://creativecommons.org/licenses/by/4.0/).
Share and Cite
Wu, W.; Wang, Y.; Wei, F.; Liu, B.; You, X. Extended-Range Forecast of Regional Persistent Extreme Cold Events Based on Deep Learning. Atmosphere 2023, 14, 1572. https://doi.org/10.3390/atmos14101572
Wu W, Wang Y, Wei F, Liu B, You X. Extended-Range Forecast of Regional Persistent Extreme Cold Events Based on Deep Learning. Atmosphere. 2023; 14(10):1572. https://doi.org/10.3390/atmos14101572
Chicago/Turabian StyleWu, Weichen, Yaqiang Wang, Fengying Wei, Boqi Liu, and Xiaoxiong You. 2023. "Extended-Range Forecast of Regional Persistent Extreme Cold Events Based on Deep Learning" Atmosphere 14, no. 10: 1572. https://doi.org/10.3390/atmos14101572
APA StyleWu, W., Wang, Y., Wei, F., Liu, B., & You, X. (2023). Extended-Range Forecast of Regional Persistent Extreme Cold Events Based on Deep Learning. Atmosphere, 14(10), 1572. https://doi.org/10.3390/atmos14101572

