Investigation on the Perception of Microclimatic Factors by the Elderly in Humid and Hot Areas: The Case of Guangzhou, China
Abstract
:1. Introduction
1.1. Research Background
1.2. Literature Review
1.3. Research Objective
2. Methodology
2.1. Study Sites
2.2. On-Site Measurement
2.3. Survey Questionnaire
2.4. The Thermal Index
3. Results
3.1. Physiological Characteristics
3.2. Meteorological Parameters
3.3. Distribution of Subjective Perception and Comfort Votes
3.4. Distribution of Preference Vote
3.5. Thermal Sensation and Thermal Acceptability
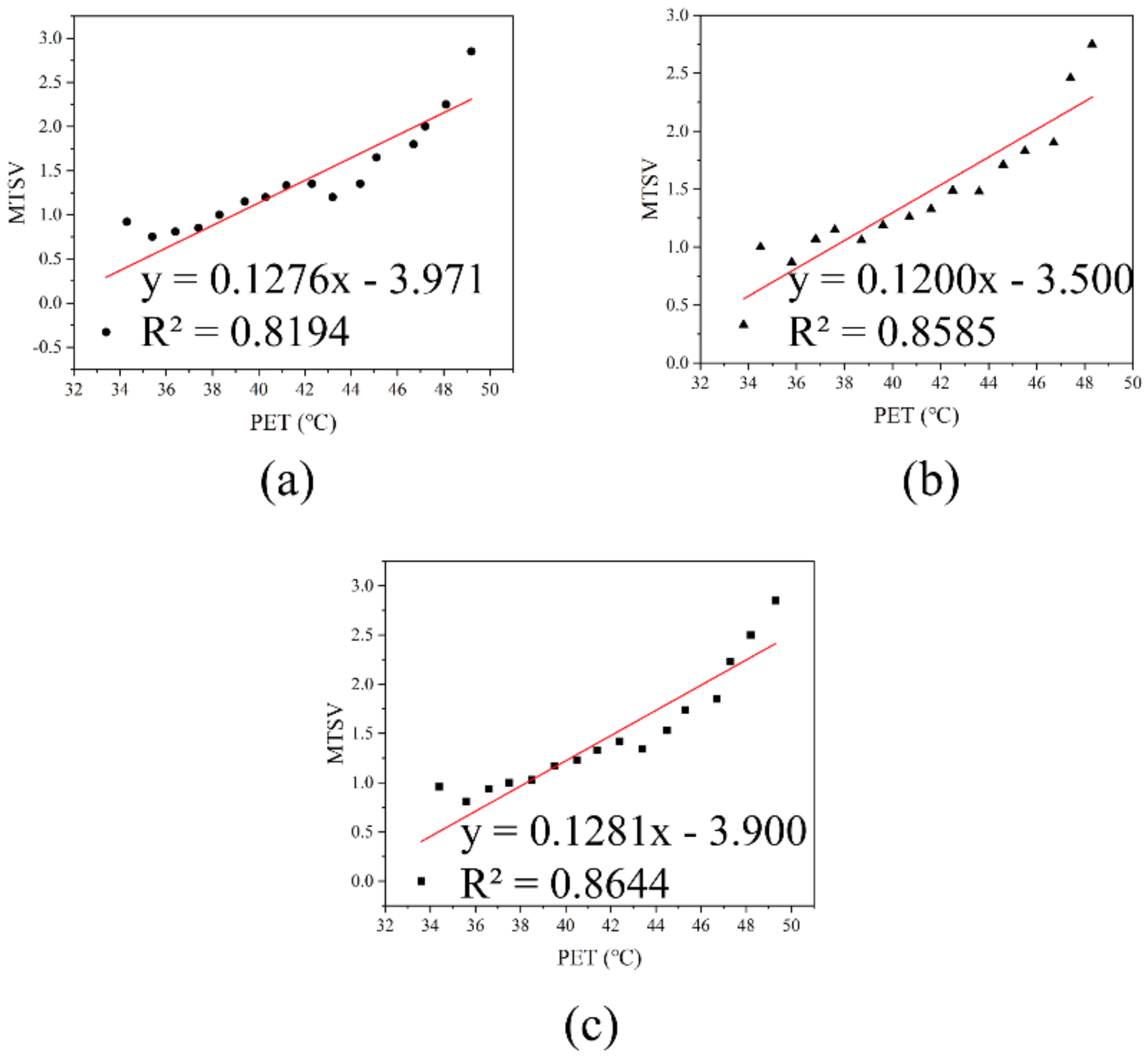
3.5.1. Neutral PET (NPET)
3.5.2. Thermal Acceptability
3.6. Wind Sensation and Wind Acceptability
3.6.1. Neutral Wind Speed (NVa)
3.6.2. Wind Acceptability
3.7. Humidity Sensation and Humidity Acceptability
3.7.1. Neutral Relative Humidity (NRH)
3.7.2. Humidity Acceptability
4. Discussion
4.1. Thermal Environment
4.2. Wind Environment
4.3. Humidity Environment
5. Conclusions
- (1)
- The NPET of the overall respondents was 30.4 °C and the acceptable PET was 33.8 °C; the NVa of the overall respondents was 0.4 m/s and the acceptable Va was 0.4 m/s; the NRH of the overall respondents was 56.49% and the acceptable RH was 64.94%.
- (2)
- Summer TSVs for older adults in hot and humid areas were mainly centered on ‘very hot’ (17.9%); ‘hot’ (30.2%); ‘warm’ (11.6%); and ‘not too hot’ (38.7%). WSVs were centered on ‘slightly windy’ (10.3%); ‘not too windy’ (44.6%); ‘slightly windy’ (44.6%); and ‘little wind’ (11.6%). HSV was mainly concentrated on ‘slightly wet’ (13.3%) and ‘neither wet nor dry’ (69.4%).
- (3)
- There were significant gender differences in PET and RH among older respondents, but no significant gender differences were found in Va among older respondents.
Author Contributions
Funding
Institution Review Board Statement
Informed Consent Statement
Data Availability Statement
Conflicts of Interest
Appendix A. Outdoor Thermal Comfort Questionnaire
| Part I Information for respondents | ||||||||
| Location: | Time: | Date: | ||||||
| Gender: □Male □Female | Age: | Height: (m) | Weight: (kg) | |||||
| Hometown: | Length of time living in Guangzhou: | |||||||
| 1. Please check all of the subject’s current clothing (multiple choice) | ||||||||
| Upper body: □Sleeveless vest □T–shirt: (□Long-sleeved T–shirt/□Short-sleeved T–shirt) □Jacket | ||||||||
| Lower body: □Short trousers □Long trousers (□Thin □Thick) □Short skirt □Long skirt □Dress (□Long-sleeved dress/□Short-sleeved dress) | ||||||||
| Feet: □Socks □Shoes □Boots | ||||||||
| Others: □Hat □Mouthpieces | ||||||||
| If this subject wears other clothes, please describe specifically: | ||||||||
| 2. What was the subject doing in the last 20 min (single choice) | ||||||||
| □High-intensity exercise | □Standing | |||||||
| □Medium-intensity exercise | □Seated | |||||||
| □Low-intensity exercise | □Reclining | |||||||
| Part II: Thermal perception | ||||||||
| 1. Please describe your current thermal sensation: | ||||||||
| □Very cold | □Cold | □Cool | □Neutral | □Warm | □Hot | □Very hot | ||
| 2. Please describe your thermal comfort level: | 3. Please describe your acceptable level for current thermal environment | |||||||
| □Uncomfortable | □Just so-so | □Comfortable | □Unacceptable | □Acceptable | ||||
| 4. Please describe your current wind sensation: | ||||||||
| □Very small | □Small | □A little small | □Neutral | □A little windy | □Windy | □Very windy | ||
| 5. Please describe your wind comfort level: | 6. Please describe your acceptable level for current wind environment | |||||||
| □Uncomfortable | □Just so-so | □Comfortable | □Unacceptable | □Acceptable | ||||
| 7. Please describe your current humidity sensation: | ||||||||
| □Very dry | □Dry | □A little dry | □Neutral | □A little wet | □Wet | □Very wet | ||
| 8. Please describe your humidity comfort level: | 9. Please describe your acceptable level for current humidity environment | |||||||
| □Uncomfortable | □Just so-so | □Comfortable | □Unacceptable | □Acceptable | ||||
| 10. How would you prefer the following meteorological parameters to be? | ||||||||
| Temperature | □Warmer | □No change | □Cooler | |||||
| Wind speed | □Higher | □No change | □Lower | |||||
| Solar radiation | □Stronger | □No change | □Weaker | |||||
| Relative humidity | □Higher | □No change | □Lower | |||||
References
- Zhang, X.; Zhao, L.; Yao, L.; Zhong, X.; Ren, P. Investigating the micro-scale thermal effects of natural underlying surfaces on adjacent spaces in a subtropical zone with an optimized method. Build. Environ. 2022, 222, 109382. [Google Scholar] [CrossRef]
- Tan, Z.; Lau, K.K.-L.; Ng, E. Planning strategies for roadside tree planting and outdoor comfort enhancement in subtropical high-density urban areas. Build. Environ. 2017, 120, 93–109. [Google Scholar] [CrossRef]
- Tang, T.; Zhu, Y.; Zhou, X.; Guo, Z.; Mao, Y.; Jiang, H.; Fang, Z.; Zheng, Z.; Chen, X. Investigation of the effects of face masks on thermal comfort in Guangzhou, China. Build. Environ. 2022, 214, 108932. [Google Scholar] [CrossRef] [PubMed]
- Huang, B.; Hong, B.; Tian, Y.; Yuan, T.; Su, M. Outdoor thermal benchmarks and thermal safety for children: A study in China’s cold region. Sci. Total Environ. 2021, 787, 147603. [Google Scholar] [CrossRef]
- Sanusi, R.; Johnstone, D.; May, P.; Livesley, S.J. Microclimate benefits that different street tree species provide to sidewalk pedestrians relate to differences in Plant Area Index. Landsc. Urban Plan. 2017, 157, 502–511. [Google Scholar] [CrossRef]
- Abdallah, A.S.H.; Hussein, S.W.; Nayel, M. The impact of outdoor shading strategies on student thermal comfort in open spaces between education building. Sustain. Cities Soc. 2020, 58, 102124. [Google Scholar] [CrossRef]
- Shih, W.-M.; Lin, T.-P.; Tan, N.-X.; Liu, M.-H. Long-term perceptions of outdoor thermal environments in an elementary school in a hot-humid climate. Int. J. Biometeorol. 2017, 61, 1657–1666. [Google Scholar] [CrossRef]
- Li, J.; Han, X.; Zhang, X.; Wang, S. Spatiotemporal evolution of global population ageing from 1960 to 2017. BMC Public Health 2019, 19, 1–15. [Google Scholar] [CrossRef]
- Yang, X.; Fan, Y.; Xia, D.; Zou, Y.; Deng, Y. Elderly Residents’ Uses of and Preferences for Community Outdoor Spaces during Heat Periods. Sustainability 2023, 15, 11264. [Google Scholar] [CrossRef]
- Santamouris, M. Recent progress on urban overheating and heat island research. Integrated assessment of the energy, environmental, vulnerability and health impact. Synergies with the global climate change. Energy Build. 2020, 207, 109482. [Google Scholar] [CrossRef]
- Van Hoof, J.; Schellen, L.; Soebarto, V.; Wong, J.K.W.; Kazak, J.K. Ten questions concerning thermal comfort and ageing. Build. Environ. 2017, 120, 123–133. [Google Scholar] [CrossRef]
- Handbook, A. HVAC applications. In ASHRAE Handbook, Fundamentals; Ashrae: New York, NY, USA, 2007. [Google Scholar]
- Chen, R.; Yang, Q. Microclimate adaptability for outdoor recreation in humid and cold cities in winter–a case study of the elderly in Chengdu City. Landsc. Archit. 2018, 10, 16–20. [Google Scholar]
- Larriva, M.T.B.; Higueras, E. Health risk for older adults in Madrid, by outdoor thermal and acoustic comfort. Urban Clim. 2020, 34, 100724. [Google Scholar] [CrossRef]
- Yung, E.H.K.; Wang, S.; Chau, C.-K. Thermal perceptions of the elderly, use patterns and satisfaction with open space. Landsc. Urban Plan. 2019, 185, 44–60. [Google Scholar] [CrossRef]
- Yang, J.; Nam, I.; Sohn, J.-R. The influence of seasonal characteristics in elderly thermal comfort in Korea. Energy Build. 2016, 128, 583–591. [Google Scholar] [CrossRef]
- Chen, L.; Wen, Y.; Zhang, L.; Xiang, W.-N. Studies of thermal comfort and space use in an urban park square in cool and cold seasons in Shanghai. Build. Environ. 2015, 94, 644–653. [Google Scholar] [CrossRef]
- Jiao, Y.; Yu, H.; Wang, T.; An, Y.; Yu, Y. Thermal comfort and adaptation of the elderly in free-running environments in Shanghai, China. Build. Environ. 2017, 118, 259–272. [Google Scholar] [CrossRef]
- Jiao, Y.; Yu, H.; Yu, Y.; Wang, Z.; Wei, Q. Adaptive thermal comfort models for homes for older people in Shanghai, China. Energy Build. 2020, 215, 109918. [Google Scholar] [CrossRef]
- Ma, T.; Xiong, J.; Lian, Z. A human thermoregulation model for the Chinese elderly. J. Therm. Biol. 2017, 70, 2–14. [Google Scholar] [CrossRef]
- Lai, D.; Chen, B.; Liu, K. Quantification of the influence of thermal comfort and life patterns on outdoor space activities. In Building Simulation; Springer: Berlin/Heidelberg, Germany, 2020. [Google Scholar]
- Kumar, P.; Sharma, A. Study on importance, procedure, and scope of outdoor thermal comfort–A review. Sustain. Cities Soc. 2020, 61, 102297. [Google Scholar] [CrossRef]
- Potchter, O.; Cohen, P.; Lin, T.-P.; Matzarakis, A. Outdoor human thermal perception in various climates: A comprehensive review of approaches, methods and quantification. Sci. Total Environ. 2018, 631, 390–406. [Google Scholar] [CrossRef]
- Shao, T.; Jin, H. A field investigation on the winter thermal comfort of residents in rural houses at different latitudes of northeast severe cold regions, China. J. Build. Eng. 2020, 32, 101476. [Google Scholar] [CrossRef]
- Chen, X.; Xue, P.; Liu, L.; Gao, L.; Liu, J. Outdoor thermal comfort and adaptation in severe cold area: A longitudinal survey in Harbin, China. Build. Environ. 2018, 143, 548–560. [Google Scholar] [CrossRef]
- Norouziasas, A.; Ha, P.P.; Ahmadi, M.; Rijal, H.B. Evaluation of urban form influence on pedestrians’ wind comfort. Build. Environ. 2022, 224, 109522. [Google Scholar] [CrossRef]
- Lam, C.K.C.; Cui, S.; Liu, J.; Kong, X.; Ou, C.; Hang, J. Influence of acclimatization and short-term thermal history on outdoor thermal comfort in subtropical South China. Energy Build. 2021, 231, 110541. [Google Scholar] [CrossRef]
- Xu, M.; Hong, B.; Mi, J.; Yan, S. Outdoor thermal comfort in an urban park during winter in cold regions of China. Sustain. Cities Soc. 2018, 43, 208–220. [Google Scholar] [CrossRef]
- Alber-Wallerström, B.; Holmér, I. Efficiency of sweat evaporation in unacclimatized man working in a hot humid environment. Eur. J. Appl. Physiol. Occup. Physiol. 1985, 54, 480–487. [Google Scholar] [CrossRef]
- Du, C.; Li, B.; Liu, H.; Li, C. Effect of Air Humidit y on Human Acceptable Thermal Environments and Evaluation. Chin. J. 2020, 64, 311–324. [Google Scholar]
- Li, C.; Liu, H.; Li, B.; Sheng, A. Seasonal effect of humidity on human comfort in a hot summer/cold winter zone in China. Indoor Built Environ. 2019, 28, 264–277. [Google Scholar] [CrossRef]
- Lu, S.; Xia, H.; Wei, S.; Fang, K.; Qi, Y. Analysis of the differences in thermal comfort between locals and tourists and genders in semi-open spaces under natural ventilation on a tropical island. Energy Build. 2016, 129, 264–273. [Google Scholar] [CrossRef]
- Ng, E.; Cheng, V. Urban human thermal comfort in hot and humid Hong Kong. Energy Build. 2012, 55, 51–65. [Google Scholar] [CrossRef]
- Fang, Z.; Xu, X.; Zhou, X.; Deng, S.; Wu, H.; Liu, J.; Lin, Z. Investigation into the thermal comfort of university students conducting outdoor training. Build. Environ. 2019, 149, 26–38. [Google Scholar] [CrossRef]
- Zheng, Z.; Dai, K.; Zhou, X.; Liu, J.; Liu, W.; Lu, J.; Fang, Z. Field investigation of thermal comfort with face masks in outdoor spaces in South China: A case study. Urban Clim. 2023, 51, 101632. [Google Scholar] [CrossRef]
- Zhao, J.; Zhu, N.; Lu, S.L. Productivity model in hot and humid environment based on heat tolerance time analysis. Build. Environ. 2009, 44, 2202–2207. [Google Scholar] [CrossRef]
- Zheng, G.; Zhu, N.; Tian, Z.; Chen, Y.; Sun, B. Application of a trapezoidal fuzzy AHP method for work safety evaluation and early warning rating of hot and humid environments. Saf. Sci. 2012, 50, 228–239. [Google Scholar] [CrossRef]
- Piver, W.T.; Ando, M.; Ye, F.; Portier, C.J. Temperature and air pollution as risk factors for heat stroke in Tokyo, July and August 1980–1995. Environ. Health Perspect. 1999, 107, 911–916. [Google Scholar] [CrossRef]
- Tang, T.; Zhang, Y.; Zheng, Z.; Zhou, X.; Fang, Z.; Liu, W. Detailed thermal indicators analysis based on outdoor thermal comfort indices in construction sites in South China. Build. Environ. 2021, 205, 108191. [Google Scholar] [CrossRef]
- Peel, M.C.; Finlayson, B.L.; McMahon, T.A. Updated world map of the Köppen-Geiger climate classification. Hydrol. Earth Syst. Sci. 2007, 11, 1633–1644. [Google Scholar] [CrossRef]
- Xia, D.; Zhong, Z.; Huang, Y.; Zou, Y.; Lou, S.; Zhan, Q.; Guo, J.; Yang, J.; Guo, T. Impact of coupled heat and moisture transfer on indoor comfort and energy demand for residential buildings in hot-humid regions. Energy Build. 2023, 288, 113029. [Google Scholar] [CrossRef]
- Fang, Z.; Feng, X.; Xu, X.; Zhou, X.; Lin, Z.; Ji, Y. Investigation into outdoor thermal comfort conditions by different seasonal field surveys in China, Guangzhou. Int. J. Biometeorol. 2019, 63, 1357–1368. [Google Scholar] [CrossRef]
- ISO 7726; Ergonomics of the Thermal Environment—Instruments for Measuring Physical Quantities. ISO: Geneva, Switzerland, 1998; pp. 1–56.
- Alfano, F.R.D.; Dell’Isola, M.; Ficco, G.; Palella, B.I.; Riccio, G. On the measurement of the mean radiant temperature by means of globes: An experimental investigation under black enclosure conditions. Build. Environ. 2021, 193, 107655. [Google Scholar] [CrossRef]
- Manavvi, S.; Rajasekar, E. Estimating outdoor mean radiant temperature in a humid subtropical climate. Build. Environ. 2020, 171, 106658. [Google Scholar] [CrossRef]
- Tan, C.L.; Wong, N.H.; Jusuf, S.K. Outdoor mean radiant temperature estimation in the tropical urban environment. Build. Environ. 2013, 64, 118–129. [Google Scholar] [CrossRef]
- Alfano, F.R.D.; Ficco, G.; Frattolillo, A.; Palella, B.I.; Riccio, G. Mean Radiant Temperature Measurements through Small Black Globes under Forced Convection Conditions. Atmosphere 2021, 12, 621. [Google Scholar] [CrossRef]
- Thorsson, S.; Lindberg, F.; Eliasson, I.; Holmer, B. Different methods for estimating the mean radiant temperature in an outdoor urban setting. Int. J. Climatol. 2007, 27, 1983–1993. [Google Scholar] [CrossRef]
- China National Bureau of Statistics 2021. Available online: https://www.stats.gov.cn (accessed on 26 August 2023).
- ISO 7730:2006; Ergonomics of the Thermal Environment: Analytical Determination and Interpretation of Thermal Comfort Using Calculation of the PMV and PPD Indices and Local Thermal Comfort Criteria = Ergonomie des Ambiances Thermiques: Détermination Analytique et Interp. ISO: Geneva, Switzerland, 2006.
- ISO 9920:2007; Ergonomics of the Thermal Environment—Estimation of Thermal Insulation and Water Vapour Resistance of A Clothing Ensemble (Corrected Version 2008-11-01). ISO: Geneva, Switzerland, 2009.
- Li, X.; Li, X.; Tang, N.; Chen, S.; Deng, Y.; Gan, D. Summer Outdoor Thermal Perception for the Elderly in a Comprehensive Park of Changsha, China. Atmosphere 2022, 13, 1853. [Google Scholar] [CrossRef]
- Ma, X.; Tian, Y.; Du, M.; Hong, B.; Lin, B. How to design comfortable open spaces for the elderly? Implications of their thermal perceptions in an urban park. Sci. Total Environ. 2021, 768, 144985. [Google Scholar] [CrossRef]
- Yao, F.; Fang, H.; Han, J.; Zhang, Y. Study on the outdoor thermal comfort evaluation of the elderly in the Tibetan plateau. Sustain. Cities Soc. 2022, 77, 103582. [Google Scholar] [CrossRef]
- Höppe, P.R. Heat balance modelling. Experientia 1993, 49, 741–746. [Google Scholar] [CrossRef]
- Höppe, P. The physiological equivalent temperature–a universal index for the biometeorological assessment of the thermal environment. Int. J. Biometeorol. 1999, 43, 71–75. [Google Scholar] [CrossRef]
- Fang, Z.; Feng, X.; Liu, J.; Lin, Z.; Mak, C.M.; Niu, J.; Tse, K.-T.; Xu, X. Investigation into the differences among several outdoor thermal comfort indices against field survey in subtropics. Sustain. Cities Soc. 2019, 44, 676–690. [Google Scholar] [CrossRef]
- Othman, N.E.; Zaki, S.A.; Rijal, H.B.; Ahmad, N.H.; Abd Razak, A. Field study of pedestrians’ comfort temperatures under outdoor and semi-outdoor conditions in Malaysian university campuses. Int. J. Biometeorol. 2021, 65, 453–477. [Google Scholar] [CrossRef]
- Aji, B.; Wijayanti, S.P.M.; Masfiah, S.; Anandari, D.; Chamchan, C. Physical Functioning Among Community-Dwelling Elderly in Rural Indonesia. Community Health Equity Res. Policy 2022, 42, 375–380. [Google Scholar] [CrossRef] [PubMed]
- Meade, R.D.; Akerman, A.P.; Notley, S.R.; McGinn, R.; Poirier, P.; Gosselin, P.; Kenny, G.P. Physiological factors characterizing heat-vulnerable older adults: A narrative review. Environ. Int. 2020, 144, 105909. [Google Scholar] [CrossRef] [PubMed]
- Blatteis, C.M. Age-dependent changes in temperature regulation–a mini review. Gerontology 2012, 58, 289–295. [Google Scholar] [CrossRef]
- Zhen, M.; Chen, Z.; Zheng, R. Outdoor Wind Comfort and Adaptation in a Cold Region. Buildings 2022, 12, 476. [Google Scholar] [CrossRef]
- Du, Y.; Mak, C.M.; Kwok, K.; Tse, K.-T.; Lee, T.-C.; Ai, Z.; Liu, J.; Niu, J. New criteria for assessing low wind environment at pedestrian level in Hong Kong. Build. Environ. 2017, 123, 23–36. [Google Scholar] [CrossRef]
- Tutuncu, Z.; Kavanaugh, A. Rheumatic disease in the elderly: Rheumatoid arthritis. Rheum. Dis. Clin. North Am. 2007, 33, 57–70. [Google Scholar] [CrossRef]
- Lam, C.K.C.; Gao, Y.; Yang, H.; Chen, T.; Zhang, Y.; Ou, C.; Hang, J. Interactive effect between long-term and short-term thermal history on outdoor thermal comfort: Comparison between Guangzhou, Zhuhai and Melbourne. Sci. Total Environ. 2021, 760, 144141. [Google Scholar] [CrossRef]











| Instruments | Parameter | Range | Accuracy | Sampling Rate |
|---|---|---|---|---|
| SSDZY-1 | Globe temperature | −20–80 °C | ±0.3 °C | 60 s |
| HOBO Pro | Air temperature | −40–70 °C | ±0.02 °C | |
| Relative humidity | 0–100% | ±2.5% | ||
| Kestrel 5500 | Wind speed | 0–5 m/s | ±0.05 m/s |
| Dates | Number | Clothing Insulation (clo) Mean ± SD | Metabolic Rate (W/m2) Mean ± SD | Physiological Parameter | ||
|---|---|---|---|---|---|---|
| Height (cm) Mean ± SD | Weight (kg) Mean ± SD | Age Mean ± SD | ||||
| 17 August 2023 | 87 | 0.40 ± 0.10 | 93.4 ± 22.6 | 163.4 ± 4.35 | 62.4 ± 4.75 | 69 ± 2.61 |
| 20 August 2023 | 75 | 0.36 ± 0.04 | 85.3 ± 31.4 | 162.8 ± 3.64 | 59.4 ± 3.71 | 67 ± 1.67 |
| 22 August 2023 | 92 | 0.40 ± 0.05 | 97.6 ± 25.3 | 159.7 ± 2.68 | 59.8 ± 4.39 | 71 ± 3.26 |
| 24 August 2023 | 85 | 0.39 ± 0.10 | 90.5 ± 27.6 | 161.2 ± 2.76 | 58.7 ± 4.23 | 72 ± 2.87 |
| 25 August 2023 | 79 | 0.32 ± 0.11 | 87.5 ± 20.2 | 164.5 ± 3.44 | 61.3 ± 4.94 | 67 ± 1.86 |
| 26 August 2023 | 99 | 0.41 ± 0.08 | 74.9 ± 37.3 | 161.7 ± 3.37 | 59.3 ± 3.74 | 69 ± 2.21 |
| Climatic Zone | City | Research Area | Indicators | Crowd | NPET |
|---|---|---|---|---|---|
| Hot summer and warm winter | Guangzhou, China (this study) | Communities | PET | Elderly | 30.4 °C |
| Hot summer and cold winter | Changsha, China [52] | Urban park | PET | Elderly | 24.5 °C |
| Cold | Xi’an, China [53] | Urban park | PET | Elderly | 20.3 °C |
| Severe cold | Lhasa, China [54] | Urban Outdoor Space | PET | Elderly | 20.6 °C |
Disclaimer/Publisher’s Note: The statements, opinions and data contained in all publications are solely those of the individual author(s) and contributor(s) and not of MDPI and/or the editor(s). MDPI and/or the editor(s) disclaim responsibility for any injury to people or property resulting from any ideas, methods, instructions or products referred to in the content. |
© 2023 by the authors. Licensee MDPI, Basel, Switzerland. This article is an open access article distributed under the terms and conditions of the Creative Commons Attribution (CC BY) license (https://creativecommons.org/licenses/by/4.0/).
Share and Cite
Lin, C.; Feng, Q.; Huang, J.; Zhong, R. Investigation on the Perception of Microclimatic Factors by the Elderly in Humid and Hot Areas: The Case of Guangzhou, China. Atmosphere 2023, 14, 1570. https://doi.org/10.3390/atmos14101570
Lin C, Feng Q, Huang J, Zhong R. Investigation on the Perception of Microclimatic Factors by the Elderly in Humid and Hot Areas: The Case of Guangzhou, China. Atmosphere. 2023; 14(10):1570. https://doi.org/10.3390/atmos14101570
Chicago/Turabian StyleLin, Chang, Qiao Feng, Jun Huang, and Ruize Zhong. 2023. "Investigation on the Perception of Microclimatic Factors by the Elderly in Humid and Hot Areas: The Case of Guangzhou, China" Atmosphere 14, no. 10: 1570. https://doi.org/10.3390/atmos14101570
APA StyleLin, C., Feng, Q., Huang, J., & Zhong, R. (2023). Investigation on the Perception of Microclimatic Factors by the Elderly in Humid and Hot Areas: The Case of Guangzhou, China. Atmosphere, 14(10), 1570. https://doi.org/10.3390/atmos14101570
