Analysis of Atmospheric Pollutants and Meteorological Factors on PM2.5 Concentration and Temporal Variations in Harbin
Abstract
:1. Introduction
2. Materials and Methods
2.1. Data
2.2. Random Forest Prediction Model
2.3. Data Analysis Method
3. Results and Discussion
3.1. Prediction Results and Model Evaluation
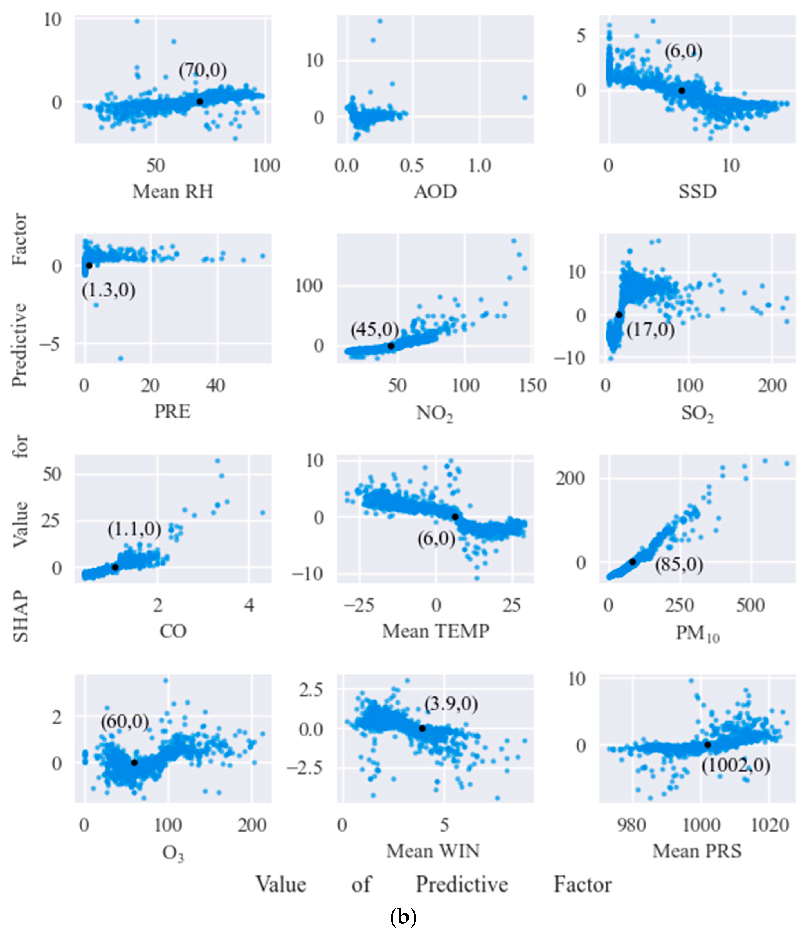
3.2. Influence of Predictive Factors on the PM2.5 Concentration
3.3. Correlation between PM2.5 and Predictors
3.4. Time Series Analysis of PM2.5
3.4.1. Interannual Variation of PM2.5
3.4.2. Monthly Variation of PM2.5
4. Conclusions
Author Contributions
Funding
Institutional Review Board Statement
Informed Consent Statement
Data Availability Statement
Conflicts of Interest
References
- Gupta, V.; Bisht, L.; Deep, A.; Gautam, S. Spatial distribution, pollution levels, and risk assessment of potentially toxic metals in road dust from major tourist city, Dehradun, Uttarakhand India. Stoch. Environ. Res. Risk Assess. 2022, 1–17. [Google Scholar] [CrossRef]
- Westervelt, D.M.; Horowitz, L.W.; Naik, V.; Tai, A.P.K.; Fiore, A.M.; Mauzerall, D.L. Quantifying PM2.5-meteorology sensitivities in a global climate model. Atmos. Environ. 2016, 142, 43–56. [Google Scholar] [CrossRef]
- Sharma, S.; Chandra, M.; Kota, S.H. Health Effects Associated with PM2.5: A Systematic Review. Curr. Pollut. Rep. 2020, 6, 345–367. [Google Scholar] [CrossRef]
- Sun, W.; Shao, M.; Granier, C.; Liu, Y.; Ye, C.S.; Zheng, J.Y. Long-Term Trends of Anthropogenic SO2, NOx, CO, and NMVO-Cs Emissions in China. Earths Future 2018, 6, 1112–1133. [Google Scholar] [CrossRef]
- Cifuentes, F.; Gálvez, A.; González, C.M.; Orozco-Alzate, M.; Aristizábal, B.H. Hourly Ozone and PM2.5 Prediction Using Meteorological Data—Alternatives for Cities with Limited Pollutant Information. Aerosol Air Qual. Res. 2021, 21, 200471. [Google Scholar] [CrossRef]
- Park, I.S.; Park, M.S.; Kim, S.H.; Jang, Y.W.; Lee, J.; Owen, J.S.; Cho, C.R.; Jee, J.B.; Chae, J.H.; Kang, M.S. Meteorological Characteristics during Periods of Greatly Reduced PM2.5 Concentrations in March 2020 in Seoul. Aerosol Air Qual. Res. 2021, 21, 200512. [Google Scholar] [CrossRef]
- Li, X.; Miao, Y.; Ma, Y.; Wang, Y.; Zhang, Y. Impacts of synoptic forcing and topography on aerosol pollution during winter in Shenyang, Northeast China. Atmos. Res. 2021, 262, 105764. [Google Scholar] [CrossRef]
- Chen, Z.; Xie, X.; Cai, J.; Chen, D.; Gao, B.; He, B.; Cheng, N.; Xu, B. Understanding meteorological influences on PM2.5 concentrations across China: A temporal and spatial perspective. Atmos. Chem. Phys. 2018, 18, 5343–5358. [Google Scholar] [CrossRef]
- Jing, Z.; Liu, P.; Wang, T.; Song, H.; Lee, J.; Xu, T.; Xing, Y. Effects of Meteorological Factors and Anthropogenic Precursors on PM2.5 Concentrations in Cities in China. Sustainability. 2020, 12, 3550. [Google Scholar] [CrossRef]
- Zheng, Y.; Li, S.; Zou, C.; Ma, X.; Zhang, G. Analysis of PM2.5 concentrations in Heilongjiang Province associated with forest cover and other factors. Int. J. For. Res. 2019, 30, 269–276. [Google Scholar] [CrossRef]
- Luo, M. Analysis of Influence Factors of PM2.5 in Chengdu Based on VAR Model. IOP Conf. Ser. Earth Environ. Sci. 2017, 63, 012039. [Google Scholar] [CrossRef]
- Zhang, L.; An, J.; Liu, M.; Li, Z.; Liu, Y.; Tao, L.; Liu, X.; Zhang, F.; Zheng, D.; Gao, Q.; et al. Spatiotemporal variations and influencing factors of PM2.5 concentrations in Beijing, China. Environ. Pollut. 2020, 262, 114276. [Google Scholar] [CrossRef] [PubMed]
- Shao, M.; Dai, Q.; Yu, Z.; Zhang, Y.; Xie, M.; Feng, T. Responses in PM2.5 and its chemical components to typical unfavorable meteorological events in the suburban area of Tianjin, China. Sci. Total Environ. 2021, 788, 147814. [Google Scholar] [CrossRef]
- Cheng, F.; Feng, C.; Yang, Z.; Hsu, C.; Chan, K.; Lee, C.; Chang, S. Evaluation of real-time PM2.5 forecasts with the WRF-CMAQ modeling system and weather-pattern-dependent bias-adjusted PM2.5 forecasts in Taiwan. Atmos. Environ. 2021, 244, 118263. [Google Scholar] [CrossRef]
- Zhang, L.; Na, J.; Zhu, J.; Shi, Z.; Zou, C.; Yang, L. Spatiotemporal causal convolutional network for forecasting hourly PM2.5 concentrations in Beijing, China. Comput. Geosci. 2021, 155, 104869. [Google Scholar] [CrossRef]
- Delavar, M.R.; Gholami, A.; Shiran, G.R.; Rashidi, Y.; Nakhaeizadeh, G.R.; Fedra, K.; Afshar, S.H. A Novel Method for Improving Air Pollution Prediction Based on Machine Learning Approaches: A Case Study Applied to the Capital City of Tehran. ISPRS Int. J. Geo-Inf. 2019, 8, 99. [Google Scholar] [CrossRef]
- Sadorsky, P. A Random Forests Approach to Predicting Clean Energy Stock Prices. J. Risk Financ. Manag. 2021, 14, 48. [Google Scholar] [CrossRef]
- Lee, I.H. Topological Invariant Prediction via Deep Learning. J. Korean Phys. Soc. 2020, 76, 401–405. [Google Scholar] [CrossRef]
- Wang, X.; Sun, W. Meteorological parameters and gaseous pollutant concentrations as predictors of daily continuous PM2.5 concentrations using deep neural network in Beijing-Tianjin-Hebei, China. Atmos. Environ. 2019, 211, 128–137. [Google Scholar] [CrossRef]
- Yang, L.; Xu, H.; Yu, S. Estimating PM2.5 concentrations in Yangtze River Delta region of China using random forest model and the Top-of-Atmosphere reflectance. J. Environ. Manag. 2020, 272, 111061. [Google Scholar] [CrossRef]
- Zheng, H.; Shang, X. Study on prediction of atmospheric PM2.5 based on RBF neural network. In Proceedings of the 2013 Fourth International Conference on Digital Manufacturing & Automation, Shangdong, China, 29–30 June 2013. [Google Scholar] [CrossRef]
- Shi, P.; Fang, X.; Ni, J.; Zhu, J. An Improved Attention-Based Integrated Deep Neural Network for PM2.5 Concentration Prediction. Appl. Sci. 2021, 11, 4001. [Google Scholar] [CrossRef]
- Lu, X.; Wang, J.; Yan, Y.; Zhou, L.; Ma, W. Estimating hourly PM2.5 concentrations using Himawari-8 AOD and a DBSCAN-modified deep learning model over the YRDUA, China. Atmos. Pollut. Res. 2021, 12, 183–192. [Google Scholar] [CrossRef]
- Du, S.; Li, T.; Yang, Y.; Horng, S. Deep Air Quality Forecasting Using Hybrid Deep Learning Framework. IEEE Trans. Knowl. Data Eng. 2021, 33, 2412–2424. [Google Scholar] [CrossRef]
- Czernecki, B.; Marosz, M.; Jędruszkiewicz, J. Assessment of Machine Learning Algorithms in Short-term Forecasting of PM10 and PM2.5 Concentrations in Selected Polish Agglomerations. Aerosol Air Qual. Res. 2021, 21, 200586. [Google Scholar] [CrossRef]
- Guo, L.; Chen, B.; Zhang, H.; Fang, J. Prediction and Source Contribution Analysis of PM2.5 Using a Combined FLEXPART Model and Bayesian Method over the Beijing-Tianjin-Hebei Region in China. Atmosphere 2021, 12, 860. [Google Scholar] [CrossRef]
- Yun, G.; He, Y.; Jiang, Y.; Dou, P.; Dai, S. PM2.5 Spatiotemporal Evolution and Drivers in the Yangtze River Delta between 2005 and 2015. Atmosphere 2019, 10, 55. [Google Scholar] [CrossRef]
- Zhao, X.; Sun, Y.; Zhao, C.; Jiang, H. Impact of Precipitation with Different Intensity on PM2.5 over Typical Regions of China. Atmosphere 2020, 11, 906. [Google Scholar] [CrossRef]
- Breiman, L. Random Forests. Mach. Learn. 2001, 45, 5–32. [Google Scholar] [CrossRef]
- Lundberg, S.; Lee, S. A Unified Approach to Interpreting Model Predictions, edited. In Proceedings of the 31st International Conference on Neural Information Processing Systems (NIPS’17), Red Hook, NY, USA, 4–9 December 2017. [Google Scholar] [CrossRef]
- Li, Z. Extracting spatial effects from machine learning model using local interpretation method: An example of SHAP and XGBoost. Comput. Environ. Urban Syst. 2022, 96, 101845. [Google Scholar] [CrossRef]
- Li, Z.; Tong, X.; Ho, J.; Kwok, T.; Dong, G.; Ho, K.; Yim, S. A practical framework for predicting residential indoor PM2.5 concentration using land-use regression and machine learning methods. Chemosphere 2021, 265, 129140. [Google Scholar] [CrossRef]
- Lou, C.; Liu, H.; Li, Y.; Peng, Y.; Wang, J.; Dai, L. Relationships of relative humidity with PM2.5 and PM10 in the Yangtze River Delta, China. Environ. Monit. Assess 2017, 189, 582. [Google Scholar] [CrossRef] [PubMed]
- Li, M.; Zhang, Q.; Kurokawa, J.; Woo, J.; He, K.; Lu, Z.; Ohara, T.; Song, Y.; Streets, D.G.; Carmichael, G.R.; et al. MIX: A mosaic Asian anthropogenic emission inventory under the international collaboration framework of the MICS-Asia and HTAP. Atmos. Chem. Phys. 2017, 17, 935–963. [Google Scholar] [CrossRef]
- Zhang, S.; Li, D.; Ge, S.; Liu, S.; Wu, C.; Wang, Y.; Chen, Y.; Lv, S.; Wang, F.; Meng, J.; et al. Rapid sulfate formation from synergetic oxidation of SO2 by O3 and NO2 under ammonia-rich conditions: Implications for the explosive growth of atmospheric PM2.5 during haze events in China. Sci. Total Environ. 2021, 772, 144897. [Google Scholar] [CrossRef] [PubMed]
- Ma, J.; Cao, Y.; Xu, J.; Qu, Y.; Yu, Z. PM2.5 concentration distribution patterns and influencing meteorological factors in the central and eastern China during 1980–2018. J. Clean. Prod. 2021, 311, 127565. [Google Scholar] [CrossRef]
- Cao, C.; Jiang, W.; Wang, B.; Fang, J.; Lang, J.; Tian, G.; Jiang, J.; Zhu, T.F. Inhalable Microorganisms in Beijing’s PM2.5 and PM10 Pollutants during a Severe Smog Event. Environ. Sci. Technol. 2014, 48, 1499–1507. [Google Scholar] [CrossRef]
- Sun, Y.; Zhao, C.; Su, Y.; Ma, Z.; Li, J.; Letu, H.; Yang, Y.; Fan, H. Distinct Impacts of Light and Heavy Precipitation on PM2.5 Mass Concentration in Beijing. Earth Space Sci. 2019, 6, 1915–1925. [Google Scholar] [CrossRef]
- Gao, B.; Ouyang, W.; Cheng, H.; Xu, Y.; Lin, C.; Chen, J. Interactions between rainfall and fine particulate matter investigated by simultaneous chemical composition measurements in downtown Beijing. Atmos. Environ. 2019, 218, 117000. [Google Scholar] [CrossRef]
- Wu, J.; Liang, J.; Zhou, L.; Yao, F.; Peng, J. Impacts of AOD Correction and Spatial Scale on the Correlation between High-Resolution AOD from Gaofen-1 Satellite and In Situ PM2.5 Measurements in Shenzhen City, China. Remote Sens. 2019, 11, 2223. [Google Scholar] [CrossRef] [Green Version]
- Harbin’s In-Depth Promotion of Air Pollution Prevention and Control Has Achieved Results. Available online: http://www.harbin.gov.cn/art/2019/1/4/art_452_601290.html (accessed on 9 September 2021).
- Huang, L.; Zhu, Y.; Wang, Q.; Zhu, A.; Liu, Z.; Wang, Y.; Allen, D.T.; Li, L. Assessment of the effects of straw burning bans in China: Emissions, air quality, and health impacts. Sci. Total Environ. 2021, 789, 147935. [Google Scholar] [CrossRef]
- Bai, L.; Li, C.; Yu, C.W.; He, Z. Air pollution and health risk assessment in Northeastern China: A case study of Jilin Province. Indoor Built Environ. 2021, 30, 1857–1874. [Google Scholar] [CrossRef]










| Type | Name | Unit | Value Range | Source |
| Air quality data | PM2.5 | g/m3 | 0–704 | China’s Air Quality Online Monitoring and Analysis Platform |
| PM10 | g/m3 | 0–628 | ||
| NO2 | g/m3 | 12–145 | ||
| CO | mg/m3 | 0.4–4.3 | ||
| SO2 | g/m3 | 3–222 | ||
| O3 | g/m3 | 0–232 | ||
| Meteorological data | Mean TEMP | −29.4–30.8 | Greenhouse data-sharing platform | |
| PRE | mm | 0–121 | ||
| Mean RH | 15–99 | |||
| Mean PRS | hPa | 973.2–1025.4 | ||
| SSD | h | 0–14.6 | ||
| Mean WIN | m/s | 0.2–10.2 | ||
| AOD data | AOD | / | 0.2–1.345 | NASA |
| Name | Meaning | Values |
| n_estimators | The number of trees in the forest. | 35 |
| max_features | The number of features to consider when looking for the best split. | 6 |
| max_depth | The maximum depth of the tree. | 10 |
| bootstrap | Whether bootstrap samples are used when building trees. | True |
| criterion | The function to measure the quality of a split. | mse |
| oob_score | Whether to use out-of-bag samples to estimate the generalization score. | True |
| random_state | Controls both the randomness of the bootstrapping of the samples used when building trees and the sampling of the features to consider when looking for the best split at each node. | 20 |
| Spring | Summer | Autumn | Winter | |
| Correlation coefficient | −0.030 | 0.084 | 0.094 | −0.218 |
Publisher’s Note: MDPI stays neutral with regard to jurisdictional claims in published maps and institutional affiliations. |
© 2022 by the authors. Licensee MDPI, Basel, Switzerland. This article is an open access article distributed under the terms and conditions of the Creative Commons Attribution (CC BY) license (https://creativecommons.org/licenses/by/4.0/).
Share and Cite
Gao, X.; Ruan, Z.; Liu, J.; Chen, Q.; Yuan, Y. Analysis of Atmospheric Pollutants and Meteorological Factors on PM2.5 Concentration and Temporal Variations in Harbin. Atmosphere 2022, 13, 1426. https://doi.org/10.3390/atmos13091426
Gao X, Ruan Z, Liu J, Chen Q, Yuan Y. Analysis of Atmospheric Pollutants and Meteorological Factors on PM2.5 Concentration and Temporal Variations in Harbin. Atmosphere. 2022; 13(9):1426. https://doi.org/10.3390/atmos13091426
Chicago/Turabian StyleGao, Xiuyan, Zhaohui Ruan, Jiemei Liu, Qixiang Chen, and Yuan Yuan. 2022. "Analysis of Atmospheric Pollutants and Meteorological Factors on PM2.5 Concentration and Temporal Variations in Harbin" Atmosphere 13, no. 9: 1426. https://doi.org/10.3390/atmos13091426
APA StyleGao, X., Ruan, Z., Liu, J., Chen, Q., & Yuan, Y. (2022). Analysis of Atmospheric Pollutants and Meteorological Factors on PM2.5 Concentration and Temporal Variations in Harbin. Atmosphere, 13(9), 1426. https://doi.org/10.3390/atmos13091426
