Numerical Simulation of a Typical Convective Precipitation and Its Cloud Microphysical Process in the Yushu Area, Based on the WRF Model
Abstract
:1. Introduction
2. Data and Methods
2.1. Observational Data
2.1.1. Regular Observational Data
2.1.2. Satellite Data
2.1.3. Radar Data
2.2. Mode Settings
2.3. Statistical Methods
3. The Case Description
4. Verification of Model Simulation
5. Analysis of the Microphysical Process
5.1. Spatiotemporal Distribution
5.2. Source Term Analysis
5.3. Evolutionary Characteristics
6. Conclusions and Discussions
- (1)
- The WRF model with a Lin microphysics parameterization scheme was able to simulate the convective precipitation process in the Yushu area of the TP.
- (2)
- The spatiotemporal distribution of the phase particles shows that the three-phase particles of solid, liquid, and gas are distributed over different height layers. The gaseous particles are mainly distributed in the lower layer. The liquid particles are distributed primarily in the middle and low layers, and the solid particles are mainly distributed on the upper floors. Gaseous hydrates have the highest mixing ratio, liquid hydrates the second highest, and solid hydrates have the lowest mixing ratio.
- (3)
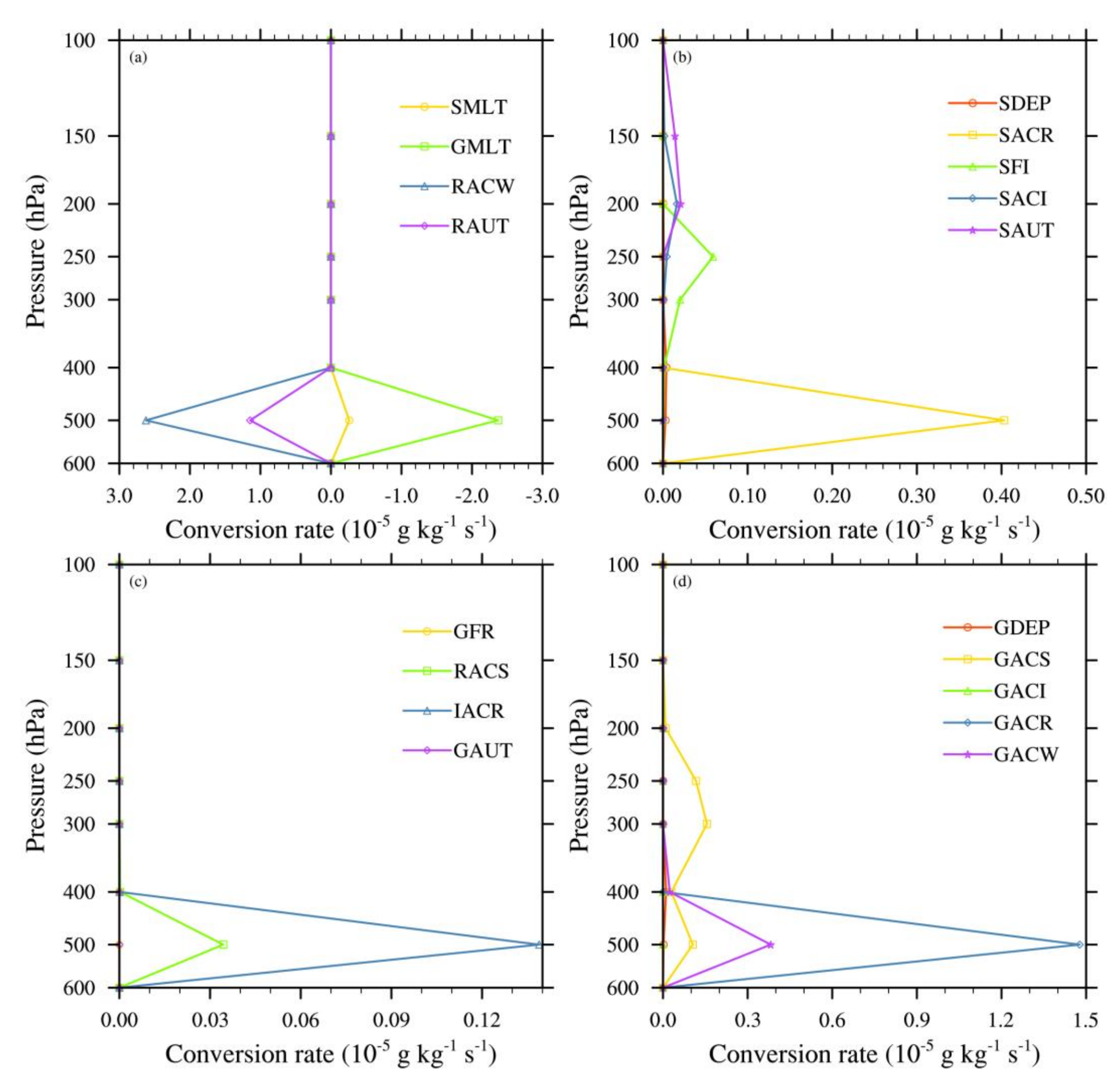
- In the cloud microphysics process, the contribution of rainwater to precipitation is the largest, and it collides, grows, and solidifies. This process is the primary process for the growth of graupel particles and is also essential for producing precipitation. From the evolution characteristics of the microphysical process, it can be seen that the ice particles play a significant role in the TP precipitation process. Condensation contributes less to the formation of hail.
Author Contributions
Funding
Institutional Review Board Statement
Informed Consent Statement
Data Availability Statement
Conflicts of Interest
References
- Ma, Y.; Ma, W.; Zhong, L.; Hu, Z.; Li, M.; Zhu, Z.; Han, C.; Wang, B.; Liu, X. Monitoring and modeling the Tibetan Plateau’s climate system and its impact on east asia. Sci. Rep. 2017, 7, 44574. [Google Scholar] [CrossRef] [PubMed]
- Nan, S.; Zhao, P.; Chen, J.; Liu, G. Links between the thermal condition of the Tibetan Plateau in summer and atmospheric circulation and climate anomalies over the eurasian continent. Atmos. Res. 2021, 247, 105212. [Google Scholar] [CrossRef]
- Zhou, X.; Zhao, P.; Chen, J.; Chen, L.; Li, W. Impacts of thermodynamic processes over the Tibetan Plateau on the northern hemispheric climate. Sci. China Ser. D-Earth Sci. 2009, 52, 1679–1693. [Google Scholar] [CrossRef]
- Xu, X.; Lu, C.; Shi, X.; Gao, S. World water tower: An atmospheric perspective. Geophys. Res. Lett. 2008, 35, L20815. [Google Scholar] [CrossRef]
- Bothe, O.; Fraedrich, K.; Zhu, X. Large-scale circulations and Tibetan Plateacu summer drought and wetness in a high-resolution climate model. Int. J. Climatol. 2011, 31, 832–846. [Google Scholar] [CrossRef]
- Ding, Y.; Chan, J. The east asian summer monsoon: An overview. Meteorol. Atmos. Phys. 2005, 89, 117–142. [Google Scholar]
- Ji, C.; Zhang, Y.; Cheng, Q.; Li, Y.; Jiang, T.; Liang, X. On the relationship between the early spring Indian ocean’s sea surface temperature (SST) and the Tibetan Plateau atmospheric heat source in summer. Glob. Planet. Chang. 2018, 164, 1–10. [Google Scholar] [CrossRef]
- Chen, J.; Wu, X.; Yin, Y.; Lu, C. Large-scale circulation environment and microphysical characteristics of the cloud systems over the Tibetan Plateau in boreal summer. Earth Space Sci. 2020, 7, e2020EA001154. [Google Scholar] [CrossRef]
- Wang, X.; Pang, G.; Yang, M. Precipitation over the Tibetan Plateau during recent decades: A review based on observations and simulations. Int. J. Climatol. 2018, 38, 1116–1131. [Google Scholar] [CrossRef]
- Kukulies, J.; Chen, D.; Wang, M. Temporal and spatial variations of convection and precipitation over the Tibetan Plateau based on recent satellite observations. part I: Cloud climatology derived from CloudSat and CALIPSO. Int. J. Climatol. 2019, 39, 5396–5412. [Google Scholar] [CrossRef]
- Hu, L.; Deng, D.; Gao, S.; Xu, X. The seasonal variation of tibetan convective systems: Satellite observation. J. Geophys. Res. Atmos. 2016, 121, 5512–5525. [Google Scholar] [CrossRef]
- Zhang, X.; Shen, W.; Zhuge, X.; Yang, S.; Chen, Y.; Wang, Y.; Chen, T.; Zhang, S. Statistical characteristics of mesoscale convective systems initiated over the Tibetan Plateau in summer by fengyun satellite and precipitation estimates. Remote Sens. 2021, 13, 1652. [Google Scholar] [CrossRef]
- Chen, J.; Wu, X.; Yin, Y.; Lu, C.; Xiao, H.; Huang, Q.; Deng, L. Thermal effects of the surface heat flux on cloud systems over the Tibetan Plateau in boreal summer. J. Clim. 2019, 32, 4699–4714. [Google Scholar] [CrossRef]
- Gao, Y.; Chen, F.; Miguez-Macho, G.; Li, X. Understanding precipitation recycling over the Tibetan Plateau using tracer analysis with WRF. Clim. Dyn. 2020, 55, 2921–2937. [Google Scholar] [CrossRef]
- Yan, Y.; Liu, Y. Vertical structures of convective and stratiform clouds in boreal summer over the Tibetan Plateau and its neighboring regions. Adv. Atmos. Sci. 2019, 36, 1089–1102. [Google Scholar] [CrossRef]
- Gao, W.; Sui, C.; Fan, J.; Hu, Z.; Zhong, L. A study of cloud microphysics and precipitation over the Tibetan Plateau by radar observations and cloud-resolving model simulations. J. Geophys. Res. Atmos. 2016, 121, 13735–13752. [Google Scholar] [CrossRef]
- Gao, W.; Liu, L.; Li, J.; Lu, C. The microphysical properties of convective precipitation over the Tibetan Plateau by a subkilometer resolution cloud-resolving simulation. J. Geophys. Res. Atmos. 2018, 123, 3212–3227. [Google Scholar] [CrossRef]
- Tang, J.; Guo, X.; Chang, Y. A numerical investigation on microphysical properties of clouds and precipitation over the Tibetan Plateau in summer 2014. J. Meteorol. Res. 2019, 33, 463–477. [Google Scholar] [CrossRef]
- Jankov, I.; Grasso, L.; Sengupta, M.; Neiman, P.J.; Zupanski, D.; Zupanski, M.; Lindsey, D.; Brummer, R. An evaluation of five ARW-WRF microphysics schemes using synthetic GOES imagery for an atmospheric river event affecting the california coast. J. Hydrometeorol. 2011, 12, 618–633. [Google Scholar] [CrossRef]
- Maussion, F.; Scherer, D.; Finkelnburg, R.; Richters, J.; Yang, W.; Yao, T. WRF simulation of a precipitation event over the Tibetan Plateau, China-an assessment using remote sensing and ground observations. Hydrol. Earth Syst. Sci. 2011, 15, 1795–1817. [Google Scholar] [CrossRef]
- Maussion, F.; Scherer, D.; Molg, T.; Collier, E.; Curio, J.; Finkelnburg, R. Precipitation seasonality and variability over the Tibetan Plateau as resolved by the high asia reanalysis. J. Clim. 2014, 27, 1910–1927. [Google Scholar] [CrossRef]
- Li, L.; Gochis, D.J.; Sobolowski, S.; Mesquita, M.D.S. Evaluating the present annual water budget of a himalayan headwater river basin using a high-resolution atmosphere-hydrology model. J. Geophys. Res. Atmos. 2017, 122, 4786–4807. [Google Scholar] [CrossRef]
- Lv, M.; Xu, Z.; Yang, Z. Cloud resolving WRF simulations of precipitation and soil moisture over the central Tibetan Plateau: An assessment of various physics options. Earth Space Sci. 2020, 7, e2019EA000865. [Google Scholar] [CrossRef]
- Xu, J.; Ma, Z.; Tang, G.; Ji, Q.; Min, X.; Wan, W.; Shi, Z. Quantitative evaluations and error source analysis of fengyun-2-based and gpm-based precipitation products over mainland China in summer, 2018. Remote Sens. 2019, 11, 2992. [Google Scholar] [CrossRef]
- Zhang, J.; Chen, H.; Zhao, S. A tripole pattern of summertime rainfall and the teleconnections linking northern China to the Indian subcontinent. J. Clim. 2019, 32, 3637–3653. [Google Scholar] [CrossRef]
- Liu, L.; Zheng, J.; Ruan, Z.; Cui, Z.; Hu, Z.; Wu, S.; Dai, G.; Wu, Y. Comprehensive radar observations of clouds and precipitation over the Tibetan Plateau and preliminary analysis of cloud properties. J. Meteorol. Res. 2015, 29, 546–561. [Google Scholar] [CrossRef]
- Wang, H.; Guo, X. Comparative analyses of vertical structure of deep convective clouds retrieved from satellites and ground-based radars at naqu over the Tibetan Plateau. J. Meteorol. Res. 2019, 33, 446–462. [Google Scholar] [CrossRef]
- Zhang, T.; Zheng, J.; Liu, Y. A study on the vertical structure and microphysical characteristic of convective cloud and precipitation over Tibetan Plateau by using ka-band cloud radar. J. Infrared Millim. Waves 2019, 38, 777–789. [Google Scholar]
- Zhou, R.; Wang, G.; Zhaxi, S. Cloud vertical structure measurements from a ground-based cloud radar over the southeastern Tibetan Plateau. Atmos. Res. 2021, 258, 105629. [Google Scholar] [CrossRef]
- Liu, L.; Gao, W. Statistical analysis of microphysical and dynamical parameters for clouds and precipitation over nauq Tibetan Plateau in summertime using ka-band cloud radar. Atmosphere 2020, 11, 818. [Google Scholar] [CrossRef]
- Stamnes, K.; Tsay, S.-C.; Wiscombe, W.; Jayaweera, K. Numerically stable algorithm for discrete-ordinate-method radiative transfer in multiple scattering and emitting layered media. Appl. Opt. 1988, 27, 2502–2509. [Google Scholar] [CrossRef]
- Dudhia, J.; Moncrieff, M.W. A three-dimensional numerical study of an oklahoma squall line containing right-flank supercells. J. Atmos. Sci. 1989, 46, 3363–3391. [Google Scholar] [CrossRef]
- Grell, G.A.; Dévényi, D. A generalized approach to parameterizing convection combining ensemble and data assimilation techniques. Geophys. Res. Lett. 2002, 29, 38-1–38-4. [Google Scholar] [CrossRef]
- Mellor, G.L.; Yamada, T. Development of a turbulence closure model for geophysical fluid problems. Rev. Geophys. 1982, 20, 851–875. [Google Scholar] [CrossRef]
- Janjić, Z.I. The step-mountain coordinate: Physical package. Mon. Weather Rev. 1990, 118, 1429–1443. [Google Scholar] [CrossRef]
- Smirnova, T.G.; Brown, J.M.; Benjamin, S.G.; Kenyon, J.S. Modifications to the rapid update cycle land surface model (ruc lsm) available in the weather research and forecasting (WRF) model. Mon. Weather Rev. 2016, 144, 1851–1865. [Google Scholar] [CrossRef]
- Fu, Y.; Liu, G.; Wu, G.; Yu, R.; Xu, Y.; Wang, Y.; Li, R.; Liu, Q. Tower mast of precipitation over the central Tibetan Plateau summer. Geophys. Res. Lett. 2006, 33, L05802. [Google Scholar] [CrossRef]
- Li, X.; Wang, Y.; Tian, L.; Xu, J.; Qu, S.; Wei, F.; Pan, X. High-resolution precipitation simulation with WRF for the Three-River headwaters region in China. IOP Conf. Ser. Earth Environ. Sci. 2020, 612, 012046. [Google Scholar] [CrossRef]
- Jiang, Y.; Chen, F.; Gao, Y.; He, C.; Barlage, M.; Huang, W. Assessment of uncertainty sources in snow cover simulation in the Tibetan Plateau. J. Geophys. Res. Atmos. 2020, 125, e2020JD032674. [Google Scholar] [CrossRef]
- Gao, Y.; Li, K.; Chen, F.; Jiang, Y.; Lu, C. Assessing and improving Noah-MP land model simulations for the central Tibetan Plateau. J. Geophys. Res. Atmos. 2015, 120, 9258–9278. [Google Scholar] [CrossRef]
- Li, J. Hourly station-based precipitation characteristics over the Tibetan Plateau. Int. J. Climatol. 2018, 38, 1560–1570. [Google Scholar] [CrossRef]
- Kukulies, J.; Chen, D.; Wang, M. Temporal and spatial variations of convection, clouds and precipitation over the Tibetan Plateau from recent satellite observations. part II: Precipitation climatology derived from global precipitation measurement mission. Int. J. Climatol. 2020, 40, 4858–4875. [Google Scholar] [CrossRef]
- Gong, M.; Li, M.; Shu, L.; Chang, N.; Xu, P.; Ma, Y.; Sun, F.; Yang, Y. Microphysical analysis of precipitation in the central and eastern margins of the Tibetan Plateau. Atmos. 2022, 13, 1082. [Google Scholar] [CrossRef]
- Du, Y.; Xu, T.; Che, Y.; Yang, B.; Chen, S.; Su, Z.; Su, L.; Chen, Y.; Zheng, J. Uncertainty quantification of WRF model for rainfall prediction over the Sichuan basin, China. Atmosphere 2022, 13, 838. [Google Scholar] [CrossRef]
- Zan, B.; Yu, Y.; Dong, L.; Li, J.; Zhao, G.; Zhang, T. Numerical study of the impact of complex terrain and soil moisture on convective initiation. Atmosphere 2020, 11, 871. [Google Scholar] [CrossRef]









| Lin | WSM5 | WSM6 | New Thompson | Morrison | Eta | |
|---|---|---|---|---|---|---|
| R | 0.8489 | 0.5467 | 0.6220 | −0.0864 | 0.8580 | 0.5618 |
| MRE | 0.7358 | 1.0438 | 0.5434 | 1.3317 | 0.8692 | 0.5640 |
| BIAS | 0.1567 | 0.1403 | −0.1135 | −0.0242 | −0.8650 | −0.5691 |
Publisher’s Note: MDPI stays neutral with regard to jurisdictional claims in published maps and institutional affiliations. |
© 2022 by the authors. Licensee MDPI, Basel, Switzerland. This article is an open access article distributed under the terms and conditions of the Creative Commons Attribution (CC BY) license (https://creativecommons.org/licenses/by/4.0/).
Share and Cite
He, M.; Zhang, S.; Yang, X.; Yin, S. Numerical Simulation of a Typical Convective Precipitation and Its Cloud Microphysical Process in the Yushu Area, Based on the WRF Model. Atmosphere 2022, 13, 1311. https://doi.org/10.3390/atmos13081311
He M, Zhang S, Yang X, Yin S. Numerical Simulation of a Typical Convective Precipitation and Its Cloud Microphysical Process in the Yushu Area, Based on the WRF Model. Atmosphere. 2022; 13(8):1311. https://doi.org/10.3390/atmos13081311
Chicago/Turabian StyleHe, Minghao, Shaobo Zhang, Xianyu Yang, and Shucheng Yin. 2022. "Numerical Simulation of a Typical Convective Precipitation and Its Cloud Microphysical Process in the Yushu Area, Based on the WRF Model" Atmosphere 13, no. 8: 1311. https://doi.org/10.3390/atmos13081311
APA StyleHe, M., Zhang, S., Yang, X., & Yin, S. (2022). Numerical Simulation of a Typical Convective Precipitation and Its Cloud Microphysical Process in the Yushu Area, Based on the WRF Model. Atmosphere, 13(8), 1311. https://doi.org/10.3390/atmos13081311

