Microphysical Analysis of Precipitation in the Central and Eastern Margins of the Tibetan Plateau
Abstract
:1. Introduction
2. Materials and Methods
2.1. Site Introduction
2.2. Data Sources and Instrument Introduction
2.2.1. Classification of Precipitation Types
2.2.2. Classification of Rain Intensity Grades
2.2.3. Research Methods
3. Results
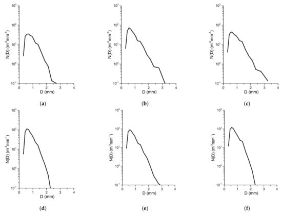
3.1. Raindrop Spectral Distribution
3.2. Spectral Distribution of Raindrops with Different Rain Intensities
Raindrop Spectral Concentration Distribution with Different Rain Intensity Levels
3.3. Distribution and Contribution of Raindrop Size at Four Stations
3.4. Microphysical Characteristics of Different Types of Cloud Precipitation
3.4.1. Spectral Distribution of Raindrops in Different Types of Cloud Precipitation
3.4.2. Gamma Parameter Distribution of Different Types of Cloud Precipitation
3.5. Microphysical Structure of Precipitation Clouds
4. Discussion
5. Conclusions
Author Contributions
Funding
Institutional Review Board Statement
Informed Consent Statement
Data Availability Statement
Conflicts of Interest
References
- Chen, L.; Song, Y.; Liu, J.; Wang, W. Diurnal variation of summer convective cloud systems over the Tibetan Plateau revealed from meteorological satellite data. Chin. J. Meteorol. 1999, 57, 549–560. [Google Scholar]
- Pan, X.; Fu, Y. Analysis of climate characteristics of deep and shallow precipitation clouds over the Tibetan Plateau in summer. Plateau Meteorol. 2015, 34, 1191–1203. [Google Scholar]
- Liu, L.; Zheng, J.; Ruan, Z.; Cui, Z.; Hu, Z.; Wu, S.; Dai, G.; Wu, Y. Tibetan Plateau cloud and precipitation multi-radar comprehensive observation experiment and preliminary analysis results of cloud characteristics. Chin. J. Meteorol. 2015, 73, 635–647. [Google Scholar]
- Ruan, Y.; Ruan, Z.; Wei, M.; Gem, R. Analysis of vertical structure of plateau summer convective clouds based on C-FMCW radar. Plateau Meteorol. 2018, 37, 83–105. [Google Scholar]
- Sato, T.; Yoshikane, T.; Satoh, M.; Miura, H.; Fujinami, H. Resolution dependency of the diurnal cycle of convective clouds over the tibetan plateau in a mesoscale model. J. Meteorol. Soc. Japan. Ser. II 2008, 86, 17–31. [Google Scholar] [CrossRef] [Green Version]
- Collier, E.; Immerzeel, W.W. High-resolution modelling of atmospheric dynamics in the Nepalese Himalaya. J. Geophys. Res. Atmos. 2015, 120, 9882–9896. [Google Scholar] [CrossRef]
- Maussion, F.; Scherer, D.; Finkelnburg, R.; Richters, J.; Yang, W.; Yao, T. WRF simulation of a precipitation event over the Tibetan Plateau, China—An assessment using remote sensing and ground observations. Hydrol. Earth Syst. Sci. 2011, 15, 1795–1817. [Google Scholar] [CrossRef] [Green Version]
- Yin, S.; Li, M.; Liu, X.; Song, X.; Lv, Z.; Shu, L.; Wang, L.; Fu, W. Numerical simulation of convective cloud precipitation and its cloud microphysical process in Nagqu region on 7 August 2014. Plateau Meteorol. 2020, 39, 48–57. [Google Scholar]
- Shu, L.; Li, M.; Watson Solang, J.; Lu, Z.; Fu, W.; Wang, L.; Yin, S. Raindrop spectral characteristics and cloud microphysical structure analysis in Yushu area of eastern Tibetan Plateau. Adv. Meteorol. Sci. Technol. 2021, 11, 113–121. [Google Scholar]
- Wang, G.; Zhou, R.; Zhaxi, S.; Liu, S. Raindrop Size Distribution Measurements in Southeast Tibetan Plateau During the STEP Project. Atmos. Res. 2021, 249, 105311. [Google Scholar] [CrossRef]
- He, J.; Zheng, J.; Zeng, Z.; Che, Y. A Comparative Study on the Vertical Structures and Microphysical Properties of Stratiform Precipitation over South China and the Tibetan Plateau. Remote Sens. 2021, 13, 2897. [Google Scholar] [CrossRef]
- Yu, J.; Li, M.; Yin, S.; Lu, Z.; Song, X. Raindrop spectrum analysis of microscopic characteristics of cloud precipitation in Naqu region of Tibetan Plateau. J. Chengdu Univ. Inf. Technol. 2020, 35, 188–194. [Google Scholar]
- Zhang, H.; He, H.; Zhang, Y.; Zeng, Q.; Bai, S. Parameter characteristic analysis of precipitation and raindrop spectral fitting model in Nanjing area. Meteorol. Environ. Sci. 2017, 40, 71–78. [Google Scholar]
- Liu, Z.; Wu, X.; Yu, Y.; Ren, Z. Analysis of raindrop spectral characteristics of typical stations in China during rainfall period. Hubei. Agric. Sci. 2021, 60, 53–59. [Google Scholar] [CrossRef]
- Marshall, J.S.; Palmer, W.M.K. The Distribution of Raindrops with Size. J. Meteorol. 1948, 5, 165–166. [Google Scholar] [CrossRef]
- Gong, F.; Liu, J.; Li, Z. Study on the spectral characteristics of three types of precipitation clouds and raindrops. Atmos. Sci. 1997, 1, 96–103. [Google Scholar]
- Mario, M.; Frank, S.M.; Gianfranco, V. Analysis and Synthesis of Raindrop Size Distribution Time Series From Disdrometer Data. IEEE Trans. Geosci. Remote Sens. 2008, 46, 466–478. [Google Scholar]
- Bringi, V.N.; Chandrasekar, V.; Hubbert, J.; Gorgucci, E.; Randeu, W.L.; Schoenhuber, M. Raindrop sizedistribution in different climatic regimes from disdrometer anddual-polarized radar analysis. J. Atmos Sci. 2003, 60, 354–365. [Google Scholar] [CrossRef]
- Liu, C.; Zhou, J.; Gu, J.; Huang, L.; Xiang, G. Spectral characteristics of raindrops in Chengdu area. Chin. J. Appl. Meteorol. 2015, 26, 112–121. [Google Scholar]
- Mehta, S.; Singh, S.; Mitra, A.; Ghosh, S.K.; Raha, S.; Mehta, S.K. Modeling of Raindrop Size Distribution Observed Using Micro Rain Radar Over Darjeeling (27.05oN, 88.26oE): An Eastern Himalayan Region. Pure Appl. Geophys. 2019, 177, 2959–2976. [Google Scholar] [CrossRef]
- Fu, Y.; Pan, X.; Liu, G.; Li, R.; Zhong, L. Research on summer precipitation on Tibetan Plateau based on cloud brightness temperature and precipitation echo top height classification. Atmos. Sci. 2016, 40, 102–120. [Google Scholar]
- Yang, J.; Chen, B.; Han, Y.; Li, P. Statistical characteristics of raindrop spectrum in different regions of Shanxi Province. Meteorol. Sci. 2016, 36, 88–95. [Google Scholar]
- Tokay, A.; Short, D.A. Evidence from tropical raindrop spectra of the origin of rain from stratiform versus convective clouds. J. Appl. Meteorol. 1996, 35, 355–371. [Google Scholar] [CrossRef] [Green Version]
- Chen, B.J.; Hu, Z.Q.; Liu, L.P. Raindrop size distribution measurements at 4500 m on the Tibetan Plateau during TIPEX-III. J. Geophys. Res. Atmos. 2017, 122, 11092–11106. [Google Scholar] [CrossRef]
- Dolan, B.; Fuchs, B.; Rutledge, S.A.; Barnes, E.A.; Thompson, E.J. Primary modes of global drop size distributions. J. Atmos. Sci. 2018, 75, 1453–1476. [Google Scholar] [CrossRef]
- Steiner, M.; Waldvogel, A. Peaks in rainsrop size distributions. J. Atmos. Sci. 1987, 44, 3127–3133. [Google Scholar] [CrossRef] [Green Version]
- Liu, H.; Lei, H. Analysis of the characteristics of stratiform and convective cloud precipitation based on ground raindrop spectral data. Atmos. Sci. 2006, 30, 693–702. [Google Scholar]
- Xiong, F. Research on Fitting Raindrop Spectrum of GAMMA Distribution; Nanjing University of Information Technology: Nanjing, China, 2016. [Google Scholar]
- Wu, Z.; Zhang, Y.; Zhang, L.; Xie, Y.; Wen, L.; Yang, J. Characteristics of Summer Season Raindrop Size Distribution in Three Typical Regions of Western Pacific. J. Geophys. Res. Atmos. 2019, 124, 4054–4073. [Google Scholar] [CrossRef] [Green Version]
- Seela, B.K.; Janapati, J.; Pay-Liam, L.; Krishna Reddy, K.; Shirooka, R.; Wang, P.K. A Comparison Study of Summer Season Raindrop Size Distribution Between Palau and Taiwan, Two Islands in Western Pacific. J. Geophys. Res. 2017, 122, 11787–11805. [Google Scholar] [CrossRef]
- Wen, L.; Zhao, L.; Wang, M.; Zhang, G. Seasonal Variations of Observed Raindrop Size Distribution in East China. Adv. Atmos. Sci. 2019, 36, 346–362. [Google Scholar] [CrossRef]
- Takeuchi, D.M. Characterizatin on of raindrop size distributions. In Proceedings of the Conference on Cloud Physics and Atmospheric Electricity of the American Meteorological Society, Issaquah, WA, USA, 31 July–4 August 1978; pp. 154–161. [Google Scholar]
- Fletcher, N.H. The Physics of Rain Clouds; Cambridge University Press: Cambridge, UK, 1962; p. 386. [Google Scholar]
- Willis Paul, T. Functional fits to some observ ed drop size distribu tions and paramet erization of rain. J. Atmos. Sci. 1984, 41, 1648–1661. [Google Scholar] [CrossRef] [Green Version]
- Porcù, F.; D’Adderio, L.P.; Prodi, F.; Caracciolo, C. Rain drop size distribution over the Tibetan Plateau. Atmos. Res. 2014, 150, 21–30. [Google Scholar] [CrossRef]
- Atlas, D. Advances in Radar Meteorology. Adv. Geophys. 1964, 10, 317–478. [Google Scholar]
- Zwiebel, J.; Baelen, J.V.; Anquetin, S.; Pointin, Y.; Boudevillain, B. Impacts of orography and rain intensity on rainfall structure: The case of the HyMeX IOP7a event. Q. J. R. Meteorol. Soc. 2016, 142, 310–319. [Google Scholar] [CrossRef]
- Nzeukou, A.; Sauvageot, H.; Ochou, A.D.; Kebe, C.M.F. Raindrop Size Distribution and Radar Parameters at Cape Verde. Appl. Meteorol. 2004, 43, 90–105. [Google Scholar] [CrossRef]
- Zheng, J.; Chen, B. Selection of Raindrop Spectral Distribution Function: A Comparative Study of M-P and Gamma Distributions. Meteorol. Sci. 2007, 1, 17–25. [Google Scholar]
- Wang, H.; Lei, H.; Yang, J.; Zhang, D. Characteristics of microphysical parameters of precipitation in different cloud systems in Shandong. Atmos. Sci. 2020, 44, 315–326. [Google Scholar]
- Li, D.; Bai, A.; Huang, S. Analysis of strong convective weather characteristics in Tibetan Plateau using TRMM satellite data. Plateau Meteorol. 2012, 31, 304–311. [Google Scholar]
- Wu, Y.; Liu, L.; Zhou, J.; Yang, J.; Zheng, J. Research on the influence of the change of raindrop spectrum on precipitation estimation. Plateau Meteorol. 2016, 35, 220–230. [Google Scholar]
- Chang, Y. Airplane Observational Study on Cloud Microphysical Characteristics and Precipitation Formation Mechanism in Nagqu Region of Qinghai-Tibet Plateau in Summer; Chinese Academy of Meteorological Sciences: Beijing, China, 2019. [Google Scholar]
- Liu, H.; Chen, H.; Lei, H.; Wu, Y. Analysis of the relationship between precipitation intensity and radar reflectivity factor using the 2004 Beijing raindrop spectrum data. Chin. J. Meteorol. 2008, 1, 125–129. [Google Scholar]
- Li, S.; Wang, X.; Wan, R.; Li, G. Spectral characteristics of raindrops at different altitudes on the eastern slope of the Tibetan Plateau. Plateau Meteorol. 2020, 39, 899–911. [Google Scholar]
















| Site | The Proportion of Cumulonimbus Precipitation | The Proportion of Stratiform Cloud Precipitation | Mixed Cloud Precipitation Percentage |
|---|---|---|---|
| Linzhi station | 11.1% | 72.9% | 16% |
| Nagqu Station | 16.72% | 68.21% | 15.06% |
| Yushu Station | 40.67% | 37.00% | 22.31% |
| Emei Mount Station | 25.01% | 51.27% | 13.52% |
| Site | Parameter | Stratiform Cloud | Cumulonimbus | Hybrid Cloud |
|---|---|---|---|---|
| N0(m−3mm−1) | 25,163.583 | 385.084 | 4916.767 | |
| Linzhi Station | μ | 3.95 | 0.068 | 1.45 |
| λ(mm−1) | 10.34 | 1.71 | 5.35 | |
| N0(m−3mm−1) | 2657.795 | 346.962 | 1003.564 | |
| Nagqu Station | μ | 0.74 | 0.04 | 0.16 |
| λ(mm−1) | 5.49 | 2.74 | 3.85 | |
| N0(m−3mm−1) | 15,933.170 | 4843.774 | 9077.487 | |
| Yushu Station | μ | 1.16 | 0.347 | 0.667 |
| λ(mm−1) | 5.830 | 3.280 | 4.360 | |
| N0(m−3mm−1) | 12,225.826 | 331.592 | 671.379 | |
| Emei Mount Station | μ | 2.1 | −0.35 | −0.03 |
| λ(mm−1) | 5.24 | 1.16 | 1.96 |
| Station | Coefficient a | Coefficient b | Coefficient c |
|---|---|---|---|
| Northern Taiwan [31] | 0.0235 | 0.472 | 2.394 |
| West Pacific [30] | 0.0278 | 0.601 | 1.381 |
| Nanjing Jiangning [32] | |||
| Cumulonimbus clouds in Yushu area | 0.9344 | 1.597 | 2.574 |
| Hybrid cloud in Yushu area | 0.0379 | 2.344 | 2.587 |
| stratiform cloud in Yushu area | 0.725 | −0.222 | 4.73 |
Publisher’s Note: MDPI stays neutral with regard to jurisdictional claims in published maps and institutional affiliations. |
© 2022 by the authors. Licensee MDPI, Basel, Switzerland. This article is an open access article distributed under the terms and conditions of the Creative Commons Attribution (CC BY) license (https://creativecommons.org/licenses/by/4.0/).
Share and Cite
Gong, M.; Li, M.; Shu, L.; Chang, N.; Xu, P.; Ma, Y.; Sun, F.; Yang, Y. Microphysical Analysis of Precipitation in the Central and Eastern Margins of the Tibetan Plateau. Atmosphere 2022, 13, 1082. https://doi.org/10.3390/atmos13071082
Gong M, Li M, Shu L, Chang N, Xu P, Ma Y, Sun F, Yang Y. Microphysical Analysis of Precipitation in the Central and Eastern Margins of the Tibetan Plateau. Atmosphere. 2022; 13(7):1082. https://doi.org/10.3390/atmos13071082
Chicago/Turabian StyleGong, Ming, Maoshan Li, Lei Shu, Na Chang, Pei Xu, Yaoming Ma, Fanglin Sun, and Yaoxian Yang. 2022. "Microphysical Analysis of Precipitation in the Central and Eastern Margins of the Tibetan Plateau" Atmosphere 13, no. 7: 1082. https://doi.org/10.3390/atmos13071082
APA StyleGong, M., Li, M., Shu, L., Chang, N., Xu, P., Ma, Y., Sun, F., & Yang, Y. (2022). Microphysical Analysis of Precipitation in the Central and Eastern Margins of the Tibetan Plateau. Atmosphere, 13(7), 1082. https://doi.org/10.3390/atmos13071082
