Comparison between Multi-Physics and Stochastic Approaches for the 20 July 2021 Henan Heavy Rainfall Case
Abstract
:1. Introduction
2. Data and Methods
2.1. Data
2.2. Methods
2.2.1. Spread and Root Mean Square Error (RMSE)
2.2.2. Percent Bias
2.2.3. Perturbation Energy
2.2.4. Brier Score
2.2.5. Bias Score
2.2.6. Area Under the Curve
2.2.7. TALAGRANG Histogram
3. Model and Experiment
3.1. Mode Settings
3.2. Experimental Scheme
4. Results
4.1. Near-Ground Variable Forecast Verification
4.2. High Altitude Variable Forecast Verification
4.3. Disturbance Energy
4.4. Heavy Rainfall Forecast Verification
4.4.1. Analysis of 6-h Cumulative Rainfall Results
4.4.2. Brier Score
4.4.3. Bias Score
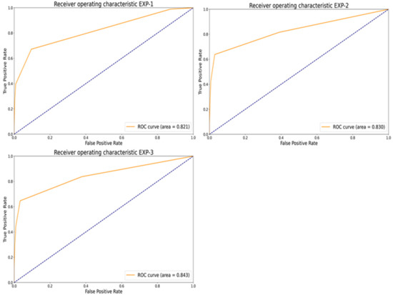
4.4.4. Area Under the Curve (AUC)
4.4.5. Talagrand Histogram
5. Conclusions and Discussions
- (1)
- For the results of heavy rainfall by the three sets of ensemble forecast experiments, the 6-h rainfall areas of the three sets of ensemble forecast experiments were consistent with the observed. The model stochastic physical perturbation method combined with the multi-physics parameterization combination scheme (EXP3) performed the best with at least 5% improvement over the multi-physics parameterization combination scheme (EXP1) and the model stochastic physical perturbation method (EXP2).
- (2)
- For the near-surface variables, the overall forecasting effectiveness of EXP3 was greater than that of EXP1 and EXP2, and was therefore better able to effectively simulate the true state of the atmosphere. This indicates that the model errors in the current ensemble forecast system are extremely complex, and are unlikely to be effectively represented by a single scheme alone.
- (3)
- For the high altitude variable, the model stochastic physical perturbation method was not superior to the forecasting effect of the combined multi-physics parameterization scheme. This implies that the land surface process perturbation is intensely perturbed relative to the high altitude process, thereby effectively improving the forecast for the ground level compared with the forecast for high altitude.
- (4)
- For the perturbation energy, the perturbation energy excited by EXP1 or EXP2 alone was extremely weak, therefore it was unable to accurately describe the energy development of extreme heavy rainfall weather processes. However, the EXP3 effectively resolved this problem.
Author Contributions
Funding
Institutional Review Board Statement
Informed Consent Statement
Data Availability Statement
Acknowledgments
Conflicts of Interest
References
- Lorenz, E.N. A study of the predictability of a 28-variable atmospheric model. Tellus 1965, 17, 321–333. [Google Scholar] [CrossRef] [Green Version]
- Tan, Y.; Chen, D.H. Study of Mesoscale Intense Precipitation Weather Ensemble Forecasting Techniques. 2006. Available online: https://oversea.cnki.net/KCMS/detail/detail.aspx?dbname=CMFD0506&filename=2006083048.nh (accessed on 26 May 2022).
- Wang, T.H.; Chen, D.H. Study of Mesoscale Model Uncertainty and Initial Value Perturbation. 2008. Available online: https://oversea.cnki.net/KCMS/detail/detail.aspx?dbname=CMFD2008&filename=2008125903.nh (accessed on 26 May 2022).
- Chen, C.H.; Wang, Y.; He, H.R.; Chen, X.G.; Zhuang, X.R.; Jiang, Y.Q. Review of the Ensemble Prediction Using Stochastic Physics. Adv. Meteorol. Sci. Technol. 2021, 11, 10. [Google Scholar]
- Hagedorn, R.; Doblas-Reyes, F.; Palmer, T.N. The rationale behind the success of multi-model ensembles in seasonal forecasting-I.Basic concept. Tellus 2005, 57, 219–233. [Google Scholar]
- Park, Y.; Buizza, R.; Leutbecher, M. TIGGE: Preliminary results on comparing and combining ensembles. Q. J. R. Meteorol. Soc. 2008, 134, 2029–2050. [Google Scholar] [CrossRef]
- Candille, G. The multi-ensemble approach: The NAEFS example. Mon. Weather Rev. 2009, 137, 1655–1665. [Google Scholar] [CrossRef]
- Clark, A.; Kain, J.; Stensrud, D. Probabilistic precipitation forecast skill as a function of ensemble size and spatial scale in a convection-allowing ensemble. Mon. Weather Rev. 2011, 139, 1410–1418. [Google Scholar] [CrossRef] [Green Version]
- Bright, D.; Mullen, S. Short-range ensemble forecasts of precipitation during the southwest monsoon. Weather Forecast. 2002, 17, 1080–1100. [Google Scholar] [CrossRef]
- Bowler, N.E.; Arribas, A.; Mylne, K.R.; Robertson, K.B.; Beare, S.E. The MOGREPS short-range ensemble prediction system. Q. J. R. Meteorol. Soc. 2008, 134, 703–722. [Google Scholar] [CrossRef]
- Gebhardt, C.; Theis, S.; Krahe, P.; Renner, V. Experimental ensemble forecasts of precipitation based on a convection-resolving model. Atmos. Sci. Lett. 2008, 9, 67–72. [Google Scholar] [CrossRef]
- Berner, J.; Ha, S.Y.; Hacker, J.P.; Fournier, A.; Snyder, C. Model Uncertainty in a Mesoscale Ensemble Prediction System: Stochastic versus Multiphysics Representations. Mon. Weather Rev. 2011, 139, 1972–1995. [Google Scholar] [CrossRef] [Green Version]
- Jankov, I.; Berner, J.; Beck, J.; Jiang, H.; Olson, J.B.; Grell, G.; Smirnova, T.G.; Benjamin, S.G.; Brown, J.M. A Performance Comparison between Multi-Physics and Stochastic Approaches within a North American RAP Ensemble. Mon. Weather Rev. 2017, 145, 1161–1179. [Google Scholar] [CrossRef]
- Buizza, R.; Miller, M.; Palmer, T. Stochastic representation of model uncertainties in the ECMWF ensemble prediction system. Q. J. R. Meteorol. Soc. 1999, 125, 2887–2908. [Google Scholar] [CrossRef]
- Charron, M.; Pellerin, G.; Spacek, L.; Houtekamer, P.L.; Gagnon, N.; Mitchell, H.L.; Michelin, L. Toward random sampling of model error in the Canadian ensemble prediction system. Mon. Weather Rev. 2010, 138, 1877–1901. [Google Scholar] [CrossRef]
- Bouttier, F.; Vié, B.; Nuissier, O.; Raynaud, L. Impact of stochastic physics in a convection-permitting ensemble. Mon. Weather Rev. 2012, 140, 3706–3721. [Google Scholar] [CrossRef]
- Romine, G.S.; Schwartz, C.S.; Berner, J.; Fossell, K.R.; Snyder, C.; Anderson, J.L.; Weisman, M.L. Representing Forecast Error in a Convection-Permitting Ensemble System. Mon. Weather Rev. 2014, 142, 4519–4541. [Google Scholar] [CrossRef] [Green Version]
- Ollinaho, P.; Lock, S.J.; Leutbecher, M.; Bechtold, P.; Beljaars, A.; Bozzo, A.; Forbes, R.M.; Haiden, T.; Hogan, R.J.; Sandu, I. Towards process-level representation of model uncertainties: Stochastically perturbed parametrizations in the ECMWF ensemble. Q. J. R. Meteorol. Soc. 2016, 143, 408–422. [Google Scholar] [CrossRef]
- Xu, Z.Z.; Chen, J.; Wang, Y.; Li, H.Q.; Chen, F.J.; Fan, Y.E. Sensitivity test of random parameter perturbation method for mesoscale precipitation ensemble forecast. Acta Meteorol. Sin. 2019, 7, 849–868. [Google Scholar]
- Berner, J.; Fossell, K.R.; Ha, S.Y.; Hacker, J.P.; Snyder, C. Increasing the Skill of Probabilistic Forecasts: Understanding Performance Improvements from Model-Error Representations. Mon. Weather Rev. 2015, 43, 1295–1320. [Google Scholar] [CrossRef]
- Cai, Y.C.; Min, J.Z.; Zhuang, X.R. Comparison of different stochastic physics perturbation schemes on a storm-scale ensemble forecast in a heavy rain event. Plateau Meteor 2017, 36, 407–423. [Google Scholar]
- Qiao, X.S.; Wang, S.Z.; Min, J.Z. The impact of a stochastically perturbing microphysics scheme on an idealized supercell storm. Mon. Weather Rev. 2018, 146, 95–118. [Google Scholar] [CrossRef]
- Zhang, H.B.; Fan, S.Y.; Chen, M. Study on a Synthetic Model Perturbation Method Based on SKEB and Multi-Physics for Regional Ensemble Forecast. Meteorol. Mon. 2019, 45, 17–28. [Google Scholar]
- Wastl, C.; Wang, Y.; Atencia, A.; Wittmann, C. A Hybrid Stochastically Perturbed Parametrization Scheme in a Convection-Permitting Ensemble. Mon. Weather Rev. 2019, 147, 2217–2230. [Google Scholar] [CrossRef]
- Zhang, X. Impacts of New Implementing Strategies for Surface and Model Physics Perturbations in TREPS on Forecasts of Landfalling Tropical Cyclones. Adv. Atmos. Sci. 2022, 1–26. [Google Scholar] [CrossRef]
- Zhang, K.F.; Wang, D.H.; Zhang, Y.; Wu, Z.Z.; Li, G.P. Study on impacts of dynamic downscaling and multi-physical parameterization scheme combination on ensemble forecast of annually first rainy season in south China. J. Trop. Meteorol. 2020, 36, 668–682. [Google Scholar]
- Yapo, P.O.; Gupta, H.V.; Sorooshian, S. Automatic calibration of conceptual rainfall-runoff models: Sensitivity to calibration data. J. Hydrol. 1996, 181, 23–48. [Google Scholar] [CrossRef]
- Palmer, T.N.; Gelaro, R.; Barkmeijer, J.; Buizza, R. Singular vectors, metrics, and adaptive observations. J. Atmos. 1998, 55, 633–653. [Google Scholar] [CrossRef]
- Ehrendorfer, M.; Errico, R.M.; Raeder, K.D. Singular-Vector Perturbation Growth in a Primitive Equation Model with Moist Physics. J. Atmos. Sci. 1999, 56, 1627–1648. [Google Scholar] [CrossRef] [Green Version]
- Brier, G.W. Verification of forecasts expressed in terms of probability. Mon. Weather Rev. 1950, 78, 1–3. [Google Scholar] [CrossRef]
- Hacker, J.P.; Snyder, C.; Ha, S.-Y.; Pocernich, M. Linear and nonlinear response to parameter variations in amesoscale model. Tellus 2011, 63, 429–444. [Google Scholar] [CrossRef] [Green Version]
- Morrison, H.; Thompson, G.; Tatarskii, V. Impact of Cloud Microphysics on the Development of Trailing Stratiform Precipitation in a Simulated Squall Line: Comparison of One- and Two-Moment Schemes. Mon. Weather Rev. 2009, 137, 991–1007. [Google Scholar] [CrossRef] [Green Version]
- Thompson, G.; Field, P.R.; Rasmussen, R.M.; Hall, W.D. Explicit Forecasts of Winter Precipitation Using an Improved Bulk Microphysics Scheme. Part II: Implementation of a New Snow Parameterization. Mon. Weather Rev. 2008, 136, 5095–5115. [Google Scholar] [CrossRef]
- Hong, S.-Y.; Lim, J.-O.J. The WRF single-moment 6-class microphysics scheme (WSM6). J. Korean Meteor. Soc. 2006, 42, 129–151. [Google Scholar]
- Rogers, E.; Black, T.; Ferrier, B.; Lin, Y.; Parrish, D.; Di Mego, G. National Oceanic and Atmospheric Administration Changes to the NCEP Meso Eta Analysis and Forecast System: Increase in resolution, new cloud microphysics, modified precipitation assimilation, modified 3DVAR analysis. NWS Tech. Proced. Bull 2001, 488, 15. [Google Scholar]
- Morrison, H.; Milbrandt, J.A. Parameterization of cloud microphysics based on the prediction of bulk ice particle properties. Part I: Scheme description and idealized tests. J. Atmos. Sci. 2015, 72, 287–311. [Google Scholar] [CrossRef]
- Jiménez, P.A.; Dudhia, J.; González-Rouco, J.F.; Navarro, J.; Montávez, J.P.; García-Bustamante, E. A revised scheme for the WRF surface layer formulation. Mon. Weather Rev. 2012, 140, 898–918. [Google Scholar] [CrossRef] [Green Version]
- Janjic, Z.I. Nonsingular implementation of the Mellor-Yamada Level 2.5 Scheme in the NCEP Meso model. NCEP Off. Note 2002, 437, 61. [Google Scholar]
- Hong, S.-Y.; Yign, N.; Jimy, D. A new vertical diffusion package with an explicit treatment of entrainment processes. Mon. Weather Rev. 2006, 134, 2318–2341. [Google Scholar] [CrossRef] [Green Version]
- Janjic, Z.I. The Step-Mountain Eta Coordinate Model: Further developments of the convection, viscous sublayer, and turbulence closure schemes. Mon. Weather Rev. 1994, 122, 927–945. [Google Scholar] [CrossRef] [Green Version]
- Nakanishi, M.; Niino, H. Development of an improved turbulence closure model for the atmospheric boundary layer. J. Meteor. Soc. Jpn. 2009, 87, 895–912. [Google Scholar] [CrossRef] [Green Version]













| Forecast Occurrence | Forecast Does Not Occur | Observation Summation | |
|---|---|---|---|
| Observations appear | Hits | Misses | Hits + Misses |
| Observations do not appear | Falsealarms | Correctnegatives | Falsealarms + Correctnegatives |
| EXP | Model–Error Representation | Reference |
|---|---|---|
| EXP1 | MP | Hacker et al. [31] |
| EXP2 | SPP + SPPT | Jankov et al. [13] |
| EXP3 | MP + SPP + SPPT | Zhang et al. [25] |
| Members | Micro Physics | Surface Layer | Planetary Boundary Layer |
|---|---|---|---|
| 01 | WSM6 | RMM5 | YSU |
| 02 | Thompson | Eta | MYJ |
| 03 | Morrison | RMM5 | YSU |
| 04 | Eta | RMM5 | YSU |
| 05 | P3 | Eta | MYNN |
| 06 | WSM6 | Eta | MYJ |
| 07 | Thompson | RMM5 | YSU |
| 08 | Morrison | RMM5 | YSU |
| 09 | Eta | Eta | MYJ |
| 10 | P3 | Eta | MYNN |
| 11 | WSM6 | RMM5 | YSU |
| 12 | Thompson | RMM5 | YSU |
| 13 | Morrison | Eta | MYJ |
| 14 | Eta | RMM5 | YSU |
| 15 | P3 | RMM5 | YSU |
| 16 | WSM6 | Eta | MYNN |
| 17 | Thompson | Eta | MYNN |
| 18 | Morrison | RMM5 | MYJ |
| 19 | Eta | Eta | YSU |
| 20 | P3 | RMM5 | MYJ |
Publisher’s Note: MDPI stays neutral with regard to jurisdictional claims in published maps and institutional affiliations. |
© 2022 by the authors. Licensee MDPI, Basel, Switzerland. This article is an open access article distributed under the terms and conditions of the Creative Commons Attribution (CC BY) license (https://creativecommons.org/licenses/by/4.0/).
Share and Cite
Shao, D.; Zhang, Y.; Xu, J.; Zhang, H.; Chen, S.; Tu, S. Comparison between Multi-Physics and Stochastic Approaches for the 20 July 2021 Henan Heavy Rainfall Case. Atmosphere 2022, 13, 1057. https://doi.org/10.3390/atmos13071057
Shao D, Zhang Y, Xu J, Zhang H, Chen S, Tu S. Comparison between Multi-Physics and Stochastic Approaches for the 20 July 2021 Henan Heavy Rainfall Case. Atmosphere. 2022; 13(7):1057. https://doi.org/10.3390/atmos13071057
Chicago/Turabian StyleShao, Duanzhou, Yu Zhang, Jianjun Xu, Hanbin Zhang, Siqi Chen, and Shifei Tu. 2022. "Comparison between Multi-Physics and Stochastic Approaches for the 20 July 2021 Henan Heavy Rainfall Case" Atmosphere 13, no. 7: 1057. https://doi.org/10.3390/atmos13071057
APA StyleShao, D., Zhang, Y., Xu, J., Zhang, H., Chen, S., & Tu, S. (2022). Comparison between Multi-Physics and Stochastic Approaches for the 20 July 2021 Henan Heavy Rainfall Case. Atmosphere, 13(7), 1057. https://doi.org/10.3390/atmos13071057

