Seasonal Aspects of Radiative and Advective Air Temperature Populations: A Canadian Perspective
Abstract
:1. Introduction
2. Materials and Methods
Framework for Seasonal Analysis of Homogeneous Air Temperature Populations
3. Results
3.1. Seasonal Radiative and Advective Day Count Averages
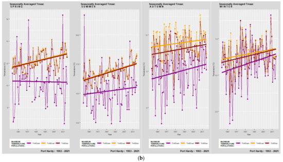
3.2. Time Evolution of Seasonally Averaged Trends of Radiative and Advective Day Counts
3.2.1. Atlantic Canada (ATL)
3.2.2. Great Lakes/St. Lawrence Lowlands (GRL)
3.2.3. Northeastern Forest (NEF)
3.2.4. Northwestern Forest (NWF)
3.2.5. Prairies (PRA)
3.2.6. South British Columbia Mountains (SBC)
3.2.7. Pacific Coast (PAC)
3.2.8. North British Columbia Mountains/Yukon Territory (NBC)
3.2.9. Mackenzie District (MCD)
3.2.10. Arctic Tundra (ART)
3.2.11. Arctic Mountains and Fiords (ARM)
3.3. Seasonal Biases and Trends of Total, Radiative, and Advective Temperature Populations
3.4. Regional Summaries of Changes in Population Counts
3.5. Regional Summaries of Changes in Extrema Temperature Trends
4. Discussion
5. Conclusions
Author Contributions
Funding
Institutional Review Board Statement
Informed Consent Statement
Data Availability Statement
Conflicts of Interest
References
- IPCC. Summary for Policymakers. In Climate Change 2021: The Physical Science Basis. Contribution of Working Group I to the Sixth Assessment Report of the Intergovernmental Panel on Climate Change. Masson-Delmotte, V., Zhai, P., Pirani, A., Connors, S.L., Péan, C., Berger, S., Caud, N., Chen, Y., Goldfarb, L., Gomis, M.I., et al., Eds.; Cambridge University Press: Cambridge, UK, 2021; pp. 3–32. [Google Scholar] [CrossRef]
- World Meteorological Organization (WMO). State of the Global Climate 2020; WMO-No. 1264; World Meteorological Organization: Geneva, Switzerland, 2021. [Google Scholar]
- Sadler, J.E.; Schroll, R.E. An Empirical Model of Diurnal Temperature Patterns. Agron. J. 1997, 89, 542–548. [Google Scholar] [CrossRef]
- Besson, F.; Bazile, E.; Soci, C.; Soubeyroux, J.-M.; Ouzeau, G.; Perrin, M. Diurnal temperature cycle deduced from extreme daily temperatures and impact over a surface reanalysis system. Adv. Sci. Res. 2015, 12, 137–140. [Google Scholar] [CrossRef] [Green Version]
- Žaknić-Ćatović, A.; Gough, W.A. Identification of radiative and advective populations in Canadian temperature time series using the Linear Pattern Discrimination algorithm. Int. J. Climatol. 2021, 41, 5100–5124. [Google Scholar] [CrossRef]
- Parton, W.J.; Logan, J.A. A model for diurnal variation in soil and air temperature. Agric. Meteorol. 1981, 23, 205–216. [Google Scholar] [CrossRef]
- Floyd, R.B.; Braddock, R.D. A simple method for fitting average diurnal temperature curves. Agric. For. Meteorol. 1984, 32, 107–119. [Google Scholar] [CrossRef]
- Wann, M.; Yen, D.; Gold, H.J. Evaluation and calibration of three models for daily cycle of air temperature. Agric. For. Meteorol. 1985, 34, 121–128. [Google Scholar] [CrossRef]
- Reicosky, D.C.; Winkelman, L.; Baker, J.; Baker, D.G. Accuracy of hourly air temperatures calculated from daily minima and maxima. Agric. For. Meteorol. 1989, 46, 193–209. [Google Scholar] [CrossRef] [Green Version]
- Linvill, D.E. Calculating Chilling Hours and Chill Units from Daily Maximum and Minimum Temperature Observations. Hortic. Sci. 1990, 25, 14–16. [Google Scholar] [CrossRef] [Green Version]
- Schaub, W.R., Jr. A Method for Estimating Missing Hourly Temperatures Using Daily Maximum and Minimum Temperatures; USAFETAC/PR-91/017; USAF Environmental Technical Applications Center: Scott Air Force Base, IL, USA, 1991. [Google Scholar]
- Chow, D.; Levermore, G.J. New algorithm for generating hourly temperature values using daily maximum, minimum and average values from climate models. Build. Serv. Eng. Res. Technol. 2007, 28, 237–248. [Google Scholar] [CrossRef]
- Žaknić-Ćatović, A.; Howard, K.W.F.; Ćatović, Z. Modification of the degree-day formula for diurnal meltwater generation and refreezing. Theor. Appl. Climatol. 2018, 131, 1157–1171. [Google Scholar] [CrossRef]
- Aguilar, E.; Auer, I.; Brunet, M.; Peterson, T.C.; Wieringa, J. Guidelines on Climate Metadata and Homogenization; WCDMP No. 53, WMO/TD No.1186; World Meteorological Organization: Geneva, Switzerland, 2003; 52p. [Google Scholar]
- Peterson, T.C.; Easterling, D.R.; Karl, T.R.; Groisman, P.; Nicholls, N.; Plummer, N.; Torok, S.; Auer, I.; Boehm, R.; Gullett, D.; et al. Homogeneity adjustments of in situ atmospheric climate data: A review. Int. J. Climatol. 1998, 18, 1493–1517. [Google Scholar] [CrossRef]
- Vincent, L.A.; Zhang, X.; Bonsal, B.R.; Hogg, W.D. Homogenization of Daily Temperatures over Canada. J. Clim. 2002, 15, 1322–1334. [Google Scholar] [CrossRef]
- Vincent, L.A.; Xiolan, L.W.; Milewska, E.J.; Hopkinson, R.; Malone, R. Bias in Minimum Temperature Introduced by a Redefinition of the Climatological Day at the Canadian Stations. J. Appl. Meteorol. Clim. 2009, 48, 2160–2168. [Google Scholar] [CrossRef]
- Vincent, L.A.; Wang, X.L.; Milewska, E.J.; Wan, H.; Yang, F.; Swail, V. A second generation of homogenized Canadian monthly surface air temperature for climate trend analysis. J. Geophys. Res. Space Phys. 2012, 117, D18110. [Google Scholar] [CrossRef]
- Vincent, L.A.; Milewska, E.J.; Wang, X.L.; Hartwell, M.M. Uncertainty in homogenized daily temperatures and derived indices of extremes illustrated using parallel observations in Canada. Int. J. Climatol. 2018, 38, 692–707. [Google Scholar] [CrossRef] [Green Version]
- Pandžić, K.; Likso, T. Homogeneity of average annual air temperature time series for Croatia. Int. J. Climatol. 2010, 30, 1215–1225. [Google Scholar] [CrossRef]
- Wang, K. Sampling Biases in Datasets of Historical Mean Air Temperature over Land. Sci. Rep. 2014, 4, 4637. [Google Scholar] [CrossRef] [Green Version]
- Government of Canada. Historical Climate Data. Available online: Climate.weather.gc.ca (accessed on 10 April 2022).
- Core Team R. A Language and Environment for Statistical Computing; R Foundation for Statistical Computing: Vienna, Austria, 2022. [Google Scholar]
- Žaknić-Ćatović, A.; Gough, W.A. A comparison of climatological observing windows and their impact on detecting daily temperature extrema. Theor. Appl. Climatol. 2018, 132, 41–54. [Google Scholar] [CrossRef]
- Gough, W.A.; Žaknić-Ćatović, A.; Zajch, A. Sampling frequency of climate data for the determination of daily temperature and daily temperature extrema. Int. J. Climatol. 2020, 40, 5451–5463. [Google Scholar] [CrossRef] [Green Version]
- Gough, W.A.; Leung, A.C.W. Do airports have their own climate? Meteorology 2022, 1, 171–182. [Google Scholar] [CrossRef]
- Gough, W.A. Thermal Metrics to Identify Canadian Coastal Environments. Coasts 2022, 2, 93–101. [Google Scholar] [CrossRef]
- Watanabe, N. An Improved Method for Computing Heat Accumulation from Daily Maximum and Minimum Temperatures. Appl. Èntomol. Zoö I. 1978, 13, 44–46. [Google Scholar] [CrossRef] [Green Version]
- Bonsal, B.; Shabbar, A. Large-Scale Climate Oscillations Influencing Canada, 1900–2008. Canadian Biodiversity: Ecosystem Status and Trends 2010; Technical Thematic Report No.4; Canadian Councils of Resource Ministers: Ottawa, ON, Canada, 2011. [Google Scholar]
- Vincent, L.A.; Zhang, X.; Brown, R.D.; Feng, Y.; Mekis, E.; Milewska, E.J.; Wan, H.; Wang, X.L. Observed Trends in Canada’s Climate and Influence of Low-Frequency Variability Modes. J. Clim. 2015, 28, 4545–4560. [Google Scholar] [CrossRef]
- Leung, A.; Gough, W. Air mass distribution and the heterogeneity of the climate change signal in the Hudson Bay/Foxe Basin region, Canada. Theor. Appl. Climatol. 2016, 125, 583–592. [Google Scholar] [CrossRef]
- Žaknić-Ćatović, A.; Gough, W.A. Diurnal extrema timing—A new climatological parameter? Climate 2022, 10, 5. [Google Scholar] [CrossRef]




















| # | PD | Station Name | Latitude (°N) | Longitude (°W) | Data Range | Missing Data (%) |
|---|---|---|---|---|---|---|
| 1 | AB | Calgary | 51.11 | 114.02 | 1953–2021 | 0.04 |
| 2 | Cold Lake | 54.42 | 110.28 | 1955–2021 | 0.10 | |
| 3 | Fort McMurray | 56.65 | 111.22 | 1953–2021 | 0.35 | |
| 4 | BC | Abbotsford | 49.03 | 122.36 | 1953–2021 | 0.14 |
| 5 | Comox | 49.72 | 124.90 | 1953–2021 | 0.05 | |
| 6 | Fort Nelson | 58.84 | 122.60 | 1953–2021 | 0.10 | |
| 7 | Port Hardy | 50.68 | 127.37 | 1953–2021 | 0.08 | |
| 8 | Vancouver | 49.20 | 123.18 | 1953–2021 | 0.03 | |
| 9 | Victoria | 48.65 | 123.43 | 1953–2021 | 0.07 | |
| 10 | MB | Churchill | 58.74 | 94.07 | 1953–2021 | 0.17 |
| 11 | The Pas | 53.97 | 101.09 | 1953–2021 | 0.12 | |
| 12 | Winnipeg | 49.92 | 97.23 | 1953–2021 | 0.06 | |
| 13 | NB | Fredericton | 45.88 | 66.53 | 1953–2021 | 0.13 |
| 14 | Moncton | 46.11 | 64.68 | 1953–2021 | 0.03 | |
| 15 | Saint John | 45.32 | 65.89 | 1953–2021 | 0.06 | |
| 16 | NL | Gander | 48.95 | 54.58 | 1953–2021 | 0.03 |
| 17 | Goose | 53.71 | 57.04 | 1953–2021 | 0.06 | |
| 18 | St. John’s | 47.62 | 52.74 | 1959–2021 | 0.05 | |
| 19 | NS | Greenwood | 44.98 | 64.92 | 1953–2021 | 0.05 |
| 20 | Yarmouth | 43.83 | 66.09 | 1953–2021 | 0.16 | |
| 21 | NT | Fort Smith | 60.02 | 111.96 | 1953–2021 | 0.10 |
| 22 | Hay River | 60.84 | 115.78 | 1953–2021 | 0.15 | |
| 23 | Norman Wells | 65.28 | 126.80 | 1956–2021 | 0.13 | |
| 24 | Yellowknife | 62.27 | 114.26 | 1953–2021 | 0.05 | |
| 25 | NU | Baker Lake | 64.30 | 96.08 | 1963–2021 | 0.71 |
| 26 | Iqaluit | 63.75 | 69.10 | 1953–2021 | 0.13 | |
| 27 | ON | Kapuskasing | 49.41 | 82.47 | 1953–2021 | 0.13 |
| 28 | Kenora | 49.79 | 94.37 | 1953–2021 | 0.12 | |
| 29 | Ottawa | 45.32 | 75.67 | 1953–2021 | 0.05 | |
| 30 | Sioux Lookout | 50.12 | 91.90 | 1953–2021 | 0.13 | |
| 31 | Toronto | 43.68 | 79.63 | 1953–2021 | 0.03 | |
| 32 | Trenton | 44.12 | 77.53 | 1953–2021 | 1.49 | |
| 33 | Wiarton | 44.75 | 81.11 | 1953–2021 | 0.31 | |
| 34 | Windsor | 42.28 | 82.96 | 1953–2021 | 0.09 | |
| 35 | PE | Charlottetown | 46.17 | 63.07 | 1953–2021 | 0.13 |
| 36 | QC | Bagotville | 48.33 | 71.00 | 1953–2021 | 0.04 |
| 37 | Kuujjuaq | 58.10 | 68.42 | 1953–2021 | 0.05 | |
| 38 | Montreal | 45.28 | 73.44 | 1953–2021 | 0.03 | |
| 39 | SK | Estevan | 49.22 | 102.97 | 1953–2021 | 0.07 |
| 40 | Prince Albert | 53.22 | 105.67 | 1953–2021 | 0.10 | |
| 41 | Regina | 50.43 | 104.67 | 1953–2021 | 0.03 | |
| 42 | Saskatoon | 52.17 | 106.72 | 1953–2021 | 0.06 | |
| 43 | Yorkton | 51.27 | 102.46 | 1953–2021 | 0.21 | |
| 44 | YU | Watson Lake | 60.12 | 128.82 | 1953–2021 | 0.39 |
| 45 | Whitehorse | 60.71 | 135.07 | 1953–2021 | 0.04 |
| CR | Station Name | Annual | Spring | Summer | Fall | Winter | ||||||||||
|---|---|---|---|---|---|---|---|---|---|---|---|---|---|---|---|---|
| RPC (#) | RPP (%) | mRPC (#/c.) | RPC (#) | RPP (%) | mRPC (#/c.) | RPC (#) | RPP (%) | mRPC (#/c.) | RPC (#) | RPP (%) | mRPC (#/c.) | RPC (#) | RPP (%) | mRPC (#/c.) | ||
| ATL | Charlottetown | 19,705 | 78.2 | 0 | 5695 | 89.7 | 0 | 6061 | 95.4 | 0 | 4267 | 67.8 | 0 | 3682 | 59.4 | 0 |
| ATL | Fredericton | 22,201 | 88.1 | 7 | 6062 | 95.5 | −2 | 6209 | 97.7 | 1 | 5144 | 81.7 | 3 | 4786 | 77.2 | 5 |
| ATL | Gander | 18,337 | 81.0 | 10 | 451 | 7.9 | 4 * | 332 | 5.8 | 0 | 1663 | 29.4 | 4 | 1865 | 33.3 | 2 |
| ATL | Greenwood | 21,185 | 84.1 | 15 * | 5969 | 94.2 | 0 | 6187 | 97.4 | 2 | 4831 | 76.7 | 6 | 4198 | 67.7 | 7 |
| ATL | Moncton | 21,505 | 85.4 | 14 * | 5913 | 93.2 | 3 | 6183 | 97.3 | 1 | 4923 | 78.3 | 2 | 4486 | 72.4 | 8 * |
| ATL | Saint John | 21,173 | 84.0 | 3 | 5874 | 92.5 | 1 | 6061 | 95.5 | 0 | 4751 | 75.5 | −2 | 4487 | 72.4 | 4 |
| ATL | St. John’s | 17,009 | 75.1 | 14 | 4985 | 87.5 | 0 | 5202 | 91.0 | 2 | 3623 | 64.3 | 7 | 3199 | 57.2 | 5 |
| ATL | Yarmouth | 20,042 | 80.0 | 5 | 5765 | 91.0 | 2 | 5998 | 94.4 | 3 | 4496 | 71.5 | −3 | 3783 | 61.0 | 3 |
| GRL | Montreal | 21,054 | 83.6 | 6 | 5955 | 93.9 | 1 | 6166 | 97.1 | 2 | 4822 | 76.5 | 3 | 4111 | 66.3 | 0 |
| GRL | Ottawa | 21,661 | 86.0 | 10 | 6000 | 94.6 | 0 | 6202 | 97.7 | 2 * | 5028 | 80.0 | 3 | 4431 | 71.4 | 5 |
| GRL | Toronto | 21,568 | 85.6 | 0 | 5942 | 93.7 | −1 | 6198 | 97.6 | 0 | 5023 | 80.0 | −2 | 4405 | 71.0 | 3 |
| GRL | Trenton | 21,575 | 85.6 | −3 | 5964 | 93.9 | −4 | 6120 | 96.4 | −2 | 4988 | 79.2 | 1 | 4503 | 72.7 | 2 |
| GRL | Wiarton | 19,637 | 78.0 | 19 * | 5578 | 88.0 | 0 | 5982 | 94.2 | 3 * | 4366 | 69.4 | 7 | 3711 | 60.0 | 9 * |
| GRL | Windsor | 21,697 | 86.1 | −1 | 5885 | 92.8 | 0 | 6192 | 97.4 | 0 | 5135 | 81.6 | 0 | 4485 | 72.3 | −1 |
| NEF | Bagotville | 20,766 | 82.4 | 10 | 5984 | 94.3 | 3 | 6109 | 96.1 | 1 | 4487 | 71.2 | 4 | 4186 | 67.6 | 2 |
| NEF | Churchill | 18,107 | 71.1 | 48 * | 5314 | 82.7 | 7 * | 5514 | 85.9 | 13 * | 3638 | 57.3 | 16 * | 3641 | 58.1 | 12 |
| NEF | Goose | 20,866 | 82.8 | 23 * | 5911 | 93.2 | 0 | 6008 | 94.6 | 3 | 4619 | 73.4 | 12 * | 4328 | 69.8 | 8 |
| NEF | Kapuskasing | 21,301 | 84.6 | 11 * | 5955 | 93.8 | 4 * | 6111 | 96.2 | 0 | 4614 | 73.4 | 8 * | 4621 | 74.6 | −1 |
| NEF | Kenora | 21,388 | 84.9 | 12 * | 6007 | 94.6 | 4 * | 6150 | 96.7 | 1 | 4612 | 73.3 | 2 | 4619 | 74.5 | 5 |
| NEF | Sioux Lookout | 21,218 | 84.2 | 22 * | 5967 | 94.0 | 4 * | 6071 | 95.6 | 3 | 4527 | 72.0 | 8 * | 4653 | 75.1 | 7 |
| NWF | Cold Lake | 21,790 | 89.1 | 16 * | 5990 | 97.2 | 0 | 6046 | 98.1 | 2 * | 5076 | 83.0 | 6 * | 4678 | 77.8 | 8 |
| NWF | Fort McMurray | 22,031 | 87.5 | 14 * | 6166 | 97.1 | 2 | 6252 | 98.5 | 2 * | 4951 | 78.5 | 5 | 4662 | 75.3 | 5 |
| NWF | Fort Nelson | 21,912 | 87.0 | 4 | 6156 | 97.0 | −1 | 6222 | 98.0 | 1 | 4862 | 77.2 | 3 | 4672 | 75.4 | 1 |
| NWF | The Pas | 21,168 | 84.0 | 17 * | 5924 | 93.3 | 1 | 6085 | 95.8 | 1 | 4631 | 73.6 | 7 * | 4528 | 73.1 | 8 |
| PRA | Calgary | 22,539 | 89.5 | 16 * | 6095 | 96.0 | −1 | 6183 | 97.4 | 3 * | 5317 | 84.5 | 3 | 4944 | 79.7 | 11 * |
| PRA | Estevan | 22,113 | 87.8 | 7 | 6054 | 95.5 | 3 | 6251 | 98.5 | 2 * | 5262 | 83.5 | 1 | 4546 | 73.3 | 1 |
| PRA | Prince Albert | 22,172 | 88.0 | 4 | 6087 | 96.0 | 1 | 6246 | 98.3 | 0 | 5149 | 81.7 | 1 | 4690 | 75.7 | 2 |
| PRA | Regina | 22,029 | 87.5 | 14 * | 6069 | 95.7 | 3 * | 6241 | 98.3 | 1 * | 5224 | 82.9 | −1 | 4495 | 72.5 | 11 |
| PRA | Saskatoon | 22,035 | 87.5 | 11 | 6096 | 96.2 | 2 | 6269 | 98.7 | 1 | 5168 | 82.0 | 1 | 4502 | 72.6 | 7 |
| PRA | Winnipeg | 21,219 | 84.2 | 11 * | 5988 | 94.4 | 4 | 6226 | 98.0 | 1 | 4835 | 76.8 | 1 | 4170 | 67.2 | 5 |
| PRA | Yorkton | 21,663 | 86.0 | 9 | 6037 | 95.3 | 2 | 6251 | 98.5 | 1 | 5009 | 79.5 | 2 | 4366 | 70.4 | 4 |
| SBC | Abbotsford | 22,778 | 90.4 | 22 * | 6194 | 97.7 | 1 | 6287 | 98.9 | 0 | 5254 | 83.5 | 6 * | 5043 | 81.3 | 15 * |
| PAC | Comox | 22,360 | 88.8 | 18 * | 6135 | 96.8 | 3 * | 6240 | 98.2 | 2 * | 5064 | 80.4 | 7 * | 4921 | 79.4 | 6 |
| PAC | Port Hardy | 22,061 | 87.6 | 19 * | 6136 | 96.9 | 0 | 6149 | 96.7 | 2 | 4891 | 77.7 | 6 * | 4885 | 78.7 | 11 * |
| PAC | Vancouver | 22,616 | 89.8 | 14 * | 6193 | 97.6 | 2 | 6243 | 98.2 | 1 | 5155 | 81.9 | 6 * | 5025 | 81.0 | 5 |
| PAC | Victoria | 22,799 | 90.5 | 17 * | 6192 | 97.7 | 0 | 6231 | 98.0 | 2 * | 5257 | 83.6 | 4 | 5119 | 82.5 | 11 * |
| NBC | Watson Lake | 21,269 | 84.4 | 13 * | 6225 | 98.2 | 0 | 6263 | 98.6 | 0 | 4481 | 71.1 | 10 * | 4300 | 69.4 | 3 |
| NBC | Whitehorse | 20,703 | 82.2 | 17 * | 6276 | 98.9 | 1 | 6283 | 98.9 | 0 | 4131 | 65.6 | 5 | 4013 | 64.8 | 11 * |
| MCD | Fort Smith | 20,650 | 82.0 | 19 * | 6107 | 96.3 | 2 | 6192 | 97.5 | 1 | 4248 | 67.3 | 8 * | 4103 | 66.3 | 8 * |
| MCD | Hay River | 19,657 | 78.0 | 21 * | 5682 | 89.6 | 6 * | 6004 | 94.6 | 4 * | 4167 | 66.0 | 10 * | 3804 | 61.4 | 1 |
| MCD | Norman Wells | 18,611 | 77.2 | 9 | 5738 | 94.6 | −1 | 5741 | 94.5 | −1 | 3694 | 61.3 | 8 * | 3438 | 57.9 | 3 |
| MCD | Yellowknife | 19,388 | 77.0 | 17 * | 6003 | 94.6 | 5 * | 6068 | 95.6 | 0 | 3620 | 57.4 | 7 | 3697 | 59.7 | 5 |
| ART | Baker Lake | 17,106 | 75.5 | 20 * | 5142 | 90.2 | 2 | 5480 | 95.9 | 3 | 3290 | 58.2 | 8 * | 3194 | 57.2 | 7 |
| ART | Kuujjuaq | 19,613 | 77.9 | 22 * | 5693 | 89.7 | 4 * | 6014 | 94.7 | 0 | 4068 | 64.6 | 7 * | 3838 | 61.9 | 11 * |
| ARM | Iqaluit | 19,337 | 76.8 | 9 | 5806 | 91.6 | −1 | 6004 | 94.4 | 0 | 3860 | 61.4 | 5 | 3667 | 59.1 | 5 |
| CR | Station Name | Annual | Spring | Summer | Fall | Winter | ||||||||||
|---|---|---|---|---|---|---|---|---|---|---|---|---|---|---|---|---|
| APC (#) | APP (%) | mAPC (#/c.) | APC (#) | APP (%) | mAPC (#/c.) | APC (#) | APP (%) | mAPC (#/c.) | APC (#) | APP (%) | mAPC (#/c.) | APC (#) | APP (%) | mAPC (#/c.) | ||
| ATL | Charlottetown | 5486 | 21.8 | 0 | 651 | 10.3 | 0 | 295 | 4.6 | 0 | 2026 | 32.2 | 0 | 2514 | 40.6 | 0 |
| ATL | Fredericton | 2990 | 11.9 | −7 | 283 | 4.5 | 2 | 144 | 2.3 | −1 | 1151 | 18.3 | −3 | 1412 | 22.8 | −5 |
| ATL | Gander | 4311 | 19.0 | −10 | 451 | 7.9 | −4 * | 332 | 5.8 | 0 | 1663 | 29.4 | −4 | 1865 | 33.3 | −2 |
| ATL | Greenwood | 4006 | 15.9 | −15 * | 368 | 5.8 | 0 | 168 | 2.6 | −2 | 1465 | 23.3 | −6 | 2005 | 32.3 | −7 |
| ATL | Moncton | 3686 | 14.6 | −14 * | 432 | 6.8 | −3 | 171 | 2.7 | −1 | 1370 | 21.8 | −2 | 1713 | 27.6 | −8 * |
| ATL | Saint John | 4018 | 16.0 | −3 | 478 | 7.5 | −1 | 287 | 4.5 | 0 | 1542 | 24.5 | 2 | 1711 | 27.6 | −4 |
| ATL | St. John’s | 5638 | 24.9 | −14 | 711 | 12.5 | 0 | 516 | 9.0 | −2 | 2016 | 35.7 | −7 | 2395 | 42.8 | −5 |
| ATL | Yarmouth | 5150 | 20.0 | −5 | 585 | 9.2 | −2 | 353 | 5.6 | −3 | 1793 | 28.5 | 3 | 2419 | 39.0 | −3 |
| GRL | Montreal | 4137 | 16.4 | −6 | 387 | 6.1 | −1 | 181 | 2.8 | −2 | 1482 | 23.5 | −3 | 2087 | 33.7 | 0 |
| GRL | Ottawa | 3529 | 14.0 | −10 | 342 | 5.4 | 0 | 148 | 2.3 | −2 * | 1266 | 20.1 | −3 | 1773 | 28.6 | −5 |
| GRL | Toronto | 3622 | 14.4 | 0 | 401 | 6.3 | 1 | 150 | 2.4 | 0 | 1272 | 20.2 | 2 | 1799 | 29.0 | −3 |
| GRL | Trenton | 3615 | 14.3 | 3 | 387 | 6.1 | 4 | 225 | 3.5 | 2 | 1310 | 20.8 | −1 | 1693 | 27.3 | −2 |
| GRL | Wiarton | 5553 | 22.0 | −19 * | 761 | 12.0 | 0 | 370 | 5.8 | −3 * | 1923 | 30.6 | −7 | 2499 | 40.2 | −9 * |
| GRL | Windsor | 3494 | 13.9 | 1 | 454 | 7.2 | 0 | 165 | 2.6 | 0 | 1157 | 18.4 | 0 | 1718 | 27.7 | 1 |
| NEF | Bagotville | 4424 | 17.6 | −10 | 362 | 5.7 | −3 | 247 | 3.9 | −1 | 1813 | 28.8 | −4 | 2002 | 32.4 | −2 |
| NEF | Churchill | 7359 | 28.9 | −48 * | 1108 | 17.3 | −7 * | 904 | 14.1 | −13 * | 2716 | 42.7 | −16 * | 2631 | 41.9 | −12 |
| NEF | Goose | 4324 | 17.2 | −23 * | 429 | 6.8 | 0 | 343 | 5.4 | −3 | 1677 | 26.6 | −12 * | 1875 | 30.2 | −8 |
| NEF | Kapuskasing | 3889 | 15.4 | −11 * | 392 | 6.2 | −4 * | 244 | 3.8 | 0 | 1676 | 26.6 | −8 * | 1577 | 25.4 | 1 |
| NEF | Kenora | 3803 | 15.1 | −12 * | 340 | 5.4 | −4 * | 208 | 3.3 | −1 | 1676 | 26.7 | −2 | 1579 | 25.5 | −5 |
| NEF | Sioux Lookout | 3972 | 15.8 | −22 * | 382 | 6.0 | −4 * | 283 | 4.5 | −3 | 1761 | 28.0 | −8 * | 1546 | 24.9 | −7 |
| NWF | Cold Lake | 2671 | 10.9 | −16 * | 173 | 2.8 | 0 | 120 | 1.9 | −2 * | 1043 | 17.0 | −6 * | 1335 | 22.2 | −8 |
| NWF | Fort McMurray | 3159 | 12.5 | −14 * | 181 | 2.9 | −2 | 97 | 1.5 | −2 * | 1353 | 21.5 | −5 | 1528 | 24.7 | −5 |
| NWF | Fort Nelson | 3278 | 13.0 | −4 | 189 | 3.0 | 1 | 128 | 2.0 | −1 | 1436 | 22.8 | −3 | 1525 | 24.6 | −1 |
| NWF | The Pas | 4023 | 16.0 | −17 * | 423 | 6.7 | −1 | 269 | 4.2 | −1 | 1663 | 26.4 | −7 * | 1668 | 26.9 | −8 |
| PRA | Calgary | 2652 | 10.5 | −16 * | 252 | 4.0 | 1 | 162 | 2.6 | −3 * | 977 | 15.5 | −3 | 1261 | 20.3 | −11 * |
| PRA | Estevan | 3077 | 12.2 | −7 | 286 | 4.5 | −3 | 98 | 1.5 | −2 * | 1037 | 16.5 | −1 | 1656 | 26.7 | −1 |
| PRA | Prince Albert | 3018 | 12.0 | −4 | 256 | 4.0 | −1 | 109 | 1.7 | 0 | 1150 | 18.3 | −1 | 1503 | 24.3 | −2 |
| PRA | Regina | 3161 | 12.5 | −14 * | 271 | 4.3 | −3 * | 107 | 1.7 | −1 * | 1074 | 17.1 | 1 | 1709 | 27.5 | −11 |
| PRA | Saskatoon | 3155 | 12.5 | −11 | 243 | 3.8 | −2 | 85 | 1.3 | −1 | 1131 | 18.0 | −1 | 1696 | 27.4 | −7 |
| PRA | Winnipeg | 3971 | 15.8 | −11 * | 353 | 5.6 | −4 | 125 | 2.0 | −1 | 1461 | 23.2 | −1 | 2032 | 32.8 | −5 |
| PRA | Yorkton | 3527 | 14.0 | −9 | 300 | 4.7 | −2 | 98 | 1.5 | −1 | 1294 | 20.5 | −2 | 1835 | 29.6 | −4 |
| SBC | Abbotsford | 2412 | 9.6 | −22 * | 146 | 2.3 | −1 | 69 | 1.1 | 0 | 1036 | 16.5 | −6 * | 1161 | 18.7 | −15 * |
| PAC | Comox | 2831 | 11.2 | −18 * | 204 | 3.2 | −3 * | 113 | 1.8 | −2 * | 1234 | 19.6 | −7 * | 1280 | 20.6 | −6 |
| PAC | Port Hardy | 3129 | 12.4 | −19 * | 196 | 3.1 | 0 | 209 | 3.3 | −2 | 1405 | 22.3 | −6 * | 1319 | 21.3 | −11 * |
| PAC | Vancouver | 2574 | 10.2 | −14 * | 150 | 2.4 | −2 | 112 | 1.8 | −1 | 1137 | 18.1 | −6 * | 1175 | 19.0 | −5 |
| PAC | Victoria | 2392 | 9.5 | −17 * | 148 | 2.3 | 0 | 126 | 2.0 | −2 * | 1033 | 16.4 | −4 | 1085 | 17.5 | −11 * |
| NBC | Watson Lake | 3923 | 15.6 | −13 * | 117 | 1.8 | 0 | 91 | 1.4 | 0 | 1819 | 28.9 | −10 * | 1896 | 30.6 | −3 |
| NBC | Whitehorse | 4488 | 17.8 | −17 * | 68 | 1.1 | −1 | 71 | 1.1 | 0 | 2165 | 34.4 | −5 | 2184 | 35.2 | −11 * |
| MCD | Fort Smith | 4541 | 18.0 | −19 * | 236 | 3.7 | −2 | 156 | 2.5 | −1 | 2062 | 32.7 | −8 * | 2087 | 33.7 | −8 * |
| MCD | Hay River | 5534 | 22.0 | −21 * | 657 | 10.4 | −6 * | 341 | 5.4 | −4 * | 2142 | 34.0 | −10 * | 2394 | 38.6 | −1 |
| MCD | Norman Wells | 5495 | 22.8 | −9 | 329 | 5.4 | 1 | 336 | 5.5 | 1 | 2334 | 38.7 | −8 * | 2496 | 42.1 | −3 |
| MCD | Yellowknife | 5803 | 23.0 | −17 * | 340 | 5.4 | −5 * | 282 | 4.4 | 0 | 2688 | 42.6 | −7 | 2493 | 40.3 | −5 |
| ART | Baker Lake | 5539 | 24.5 | −20 * | 559 | 9.8 | −2 | 235 | 4.1 | −3 | 2360 | 41.8 | −8 * | 2385 | 42.7 | −7 |
| ART | Kuujjuaq | 5577 | 22.1 | −22 * | 653 | 10.3 | −4 * | 339 | 5.3 | 0 | 2226 | 35.4 | −7 * | 2359 | 38.1 | −11 * |
| ARM | Iqaluit | 5854 | 23.2 | −9 | 529 | 8.4 | 1 | 353 | 5.6 | 0 | 2431 | 38.6 | −5 | 2541 | 40.9 | −5 |
| CR | Station Name | Annual | Spring | Summer | Fall | Winter | ||||||||||
|---|---|---|---|---|---|---|---|---|---|---|---|---|---|---|---|---|
| mTTn (°C/c.) | mRTn (°C/c.) | mATn (°C/c.) | mTTn (°C/c.) | mRTn (°C/c.) | mATn (°C/c.) | mTTn (°C/c.) | mRTn (°C/c.) | mATn (°C/c.) | mTTn (°C/c.) | mRTn (°C/c.) | mATn (°C/c.) | mTTn (°C/c.) | mRTn (°C/c.) | mATn (°C/c.) | ||
| ATL | Charlottetown | 1.6 * | 1.5 * | 2.2 * | 1.3 * | 1.2 * | 1.9 | 2.6 * | 2.6 * | 3.9 * | 1.5 * | 1.0 | 2.6 * | 1.4 | 1.0 | 2.1 |
| ATL | Fredericton | 1.4 * | 1.1 * | 2.9 * | 1.1 * | 1.1 | 3.1 | 1.8 * | 1.8 * | 2.1 | 1.5 * | 0.9 | 3.8 * | 1.3 | 1.0 | 2.6 |
| ATL | Gander | 1.6 * | 1.7 * | 0.5 | 0.6 | 0.6 | 1.1 | 2.7 * | 2.8 * | 1.0 | 1.8 * | 2.2 * | 0.4 | 1.5 | 1.5 | 1.5 |
| ATL | Greenwood | 2.2 * | 2.1 * | 1.0 | 2.0 * | 2.1 * | 1.9 | 3.6 * | 3.6 * | 4.3 | 1.8 * | 1.7 * | 1.4 | 1.5 | 1.6 | 1.3 |
| ATL | Moncton | 1.8 * | 1.6 * | 1.6 | 1.5 * | 1.3 * | 3.7 | 3.0 * | 3.0 * | 3.7 | 1.6 * | 1.6 * | 1.5 | 1.2 | 1.6 | 1.0 |
| ATL | Saint John | 0.7 | 0.4 | 1.9 | 0.6 | 0.5 | 1.4 | 0.9 * | 0.9 * | 2.2 | 0.4 | −0.1 | 1.9 | 0.9 | 0.8 | 1.8 |
| ATL | St. John’s | 1.5 * | 1.6 * | 0.8 | 0.8 | 0.6 | 1.1 | 2.6 * | 2.7 * | 1.0 | 1.4 * | 2.0 * | 0.0 | 1.3 | 1.0 | 1.9 |
| ATL | Yarmouth | 1.8 * | 1.8 * | 1.5 * | 1.6 * | 1.5 * | 3.0 | 2.9 * | 2.9 * | 4.2 * | 1.8 * | 1.8 * | 1.9 * | 1.2 | 1.0 | 1.2 |
| GRL | Montreal | 2.8 * | 2.9 * | 1.7 * | 2.4 * | 2.3 * | 1.4 | 3.4 * | 3.3 * | 6.5 * | 2.1 * | 2.2 * | 1.7 | 3.7 * | 3.7 * | 3.3 * |
| GRL | Ottawa | 1.8 * | 1.5 * | 1.4 | 1.3 | 1.3 | 2.3 | 1.5 * | 1.5 * | 1.7 | 1.4 | 1.3 | 1.3 | 3.1 * | 3.2 * | 2.7 |
| GRL | Toronto | 4.5 * | 4.5 * | 4.5 * | 4.1 * | 4.1 * | 4.9 * | 5.6 * | 5.6 * | 1.0 | 3.9 * | 3.8 * | 4.7 * | 4.4 * | 4.6 * | 4.1 * |
| GRL | Trenton | 1.9 * | 1.3 * | 4.6 * | 1.7 | 1.4 | 2.7 | 2.2 * | 2.1 * | 3.0 | 1.0 | 0.5 | 2.5 | 2.6 * | 2.2 | 4.1 * |
| GRL | Wiarton | 1.6 | 1.0 | 2.3 * | 1.4 | 1.2 | 2.6 | 1.4 * | 1.4 * | 1.9 | 1.1 | 0.1 | 2.5 * | 2.9 * | 2.7 * | 3.0 * |
| GRL | Windsor | 2.4 * | 2.4 * | 3.0 * | 2.5 * | 2.4 * | 2.8 | 2.9 * | 2.8 * | 5.8 * | 2.1 * | 1.7 | 3.2 * | 2.4 | 2.3 | 2.5 |
| NEF | Bagotville | 2.4 * | 2.3 * | 1.4 | 1.6 * | 1.7 * | −3.3 | 3.0 * | 3.0 * | 3.8 | 2.1 * | 2.2 * | 1.6 | 3.0 * | 2.8 * | 3.7 |
| NEF | Churchill | 4.2 * | 3.8 * | 1.9 | 3.3 * | 3.2 * | 3.2 | 2.4 * | 2.1 * | 2.3 | 4.6 * | 3.1 | 2.9 | 4.5 * | 4.4 * | 4.8 * |
| NEF | Goose | 1.8 | 1.3 | 1.9 | 1.3 | 1.1 | 5.2 * | 2.5 * | 2.5 * | 1.9 | 2.8 * | 2.5 * | 2.3 | 0.6 | 0.5 | 1.6 |
| NEF | Kapuskasing | 2.5 * | 2.3 * | 2.4 * | 1.5 | 1.4 | 0.6 | 2.9 * | 2.9 * | 2.5 | 2.1 | 1.5 | 2.3 | 4.0 * | 2.9 | 6.8 * |
| NEF | Kenora | 2.9 * | 2.6 * | 2.7 * | 2.4 * | 2.2 * | 3.7 | 2.8 * | 2.8 * | 1.3 | 2.1 | 2.0 | 2.4 | 4.8 * | 4.7 * | 5.4 * |
| NEF | Sioux Lookout | 2.6 * | 2.3 * | 1.3 | 1.9 | 1.5 | 4.3 | 2.0 * | 2.0 * | 1.2 | 2.2 | 2.3 | 1.1 | 4.8 * | 5.2 * | 4.8 * |
| NWF | Cold Lake | 2.9 * | 2.2 * | 4.3 * | 1.4 * | 1.4 | 4.2 | 2.0 * | 2.0 * | −0.7 | 2.3 | 1.5 | 3.3 | 6.2 * | 6.2 * | 6.4 * |
| NWF | Fort McMurray | 3.9 * | 3.5 * | 3.3 * | 3.3 * | 3.3 * | 2.9 | 3.0 * | 2.9 * | 3.5 | 2.1 | 2.2 | 1.1 | 7.3 * | 7.1 * | 8.8 * |
| NWF | Fort Nelson | 3.1 * | 2.8 * | 5.1 * | 2.0 * | 1.9 * | 5.8 | 1.3 * | 1.3 * | 4.9 | 2.8 * | 2.4 * | 3.3 | 6.6 * | 6.4 * | 7.7 * |
| NWF | The Pas | 3.0 * | 2.4 * | 3.3 * | 1.8 | 1.6 | 2.9 | 2.4 * | 2.3 * | 3.8 | 1.8 | 1.8 | 0.4 | 6.4 * | 6.7 * | 6.3 * |
| PRA | Calgary | 2.9 * | 2.3 * | 3.9 * | 2.0 * | 2.0 * | 1.7 | 2.4 * | 2.3 * | −0.1 | 2.4 * | 1.7 | 4.6 | 5.0 * | 4.7 * | 4.2 |
| PRA | Estevan | 0.0 | −0.1 | −0.1 | −0.1 | −0.3 | 0.9 | −0.3 | −0.4 | 2.3 | −0.9 | −1.0 | −0.8 | 1.8 | 1.2 | 3.6 * |
| PRA | Prince Albert | 3.8 * | 3.6 * | 4.2 | 2.7 * | 2.7 * | 6.1 | 2.5 * | 2.4 * | 6.8 * | 2.6 * | 2.6 * | 2.9 | 7.5 * | 7.9 * | 6.2 * |
| PRA | Regina | 1.6 * | 0.8 | 3.3 | 0.7 | 0.5 | −0.7 | 0.6 | 0.5 | 3.6 | 1.1 | 0.8 | 2.6 | 4.1 | 3.8 | 4.8 * |
| PRA | Saskatoon | 1.6 * | 0.9 | 3.3 | 0.6 | 0.3 | 1.6 | 0.7 | 0.6 | 3.1 | 0.5 | 0.3 | 1.6 | 4.8 * | 4.5 * | 5.8 * |
| PRA | Winnipeg | 1.8 * | 1.3 | 1.8 | 0.9 | 0.7 | 1.1 | 0.7 | 0.5 | 3.3 | 0.9 | 0.9 | 1.0 | 4.9 * | 5.2 * | 4.2 * |
| PRA | Yorkton | 2.7 * | 2.3 * | 3.4 | 1.5 | 1.3 | 0.8 | 1.8 * | 1.7 * | 6.1 * | 1.5 | 1.2 | 1.6 | 6.4 * | 6.4 * | 6.2 * |
| SBC | Abbotsford | 3.1 * | 3.0 * | 2.3 | 3.6 * | 3.7 * | 1.5 | 4.6 * | 4.6 * | 2.6 | 2.1 * | 2.1 * | 2.2 * | 2.2 * | 2.7 * | 1.6 |
| PAC | Comox | 2.7 * | 2.8 * | 1.7 | 3.0 * | 2.9 * | 5.2 * | 4.0 * | 4.0 * | 1.8 * | 1.8 * | 2.0 * | 1.1 | 2.3 * | 2.3 * | 2.6 * |
| PAC | Port Hardy | 1.4 * | 1.2 * | 1.8 | 1.7 * | 1.7 * | 0.0 | 1.7 * | 1.7 * | 0.4 | 0.6 | 0.4 | 1.2 | 1.5 | 1.4 | 2.6 * |
| PAC | Vancouver | 2.0 * | 1.9 * | 1.7 | 2.1 * | 2.0 * | 3.7 * | 2.9 * | 2.9 * | 2.7 * | 1.3 * | 1.3 * | 1.3 | 1.8 * | 1.6 * | 2.8 * |
| PAC | Victoria | 1.5 * | 1.4 * | 1.5 | 1.5 * | 1.5 * | 3.1 | 2.2 * | 2.2 * | 2.7 | 1.1 * | 0.9 * | 1.2 | 1.5 * | 1.6 * | 1.5 |
| NBC | Watson Lake | 3.4 * | 2.4 * | 5.9 | 2.9 * | 2.8 * | 3.4 | 1.6 * | 1.6 * | 1.2 | 2.7 * | 1.3 | 3.3 | 7.0 * | 6.0 * | 9.5 * |
| NBC | Whitehorse | 3.3 * | 2.1 * | 6.0 | 3.0 * | 3.0 * | 4.8 | 2.2 * | 2.2 * | 5.4 | 2.5 | 1.4 | 3.6 | 5.7 * | 4.7 | 8.3 * |
| MCD | Fort Smith | 4.5 * | 3.7 * | 4.6 | 3.2 * | 3.1 * | 5.0 | 3.1 * | 3.1 * | 2.5 | 3.4 * | 3.5 * | 1.2 | 8.6 * | 8.2 * | 9.6 * |
| MCD | Hay River | 3.3 * | 2.8 * | 2.0 | 2.6 * | 2.7 * | −0.3 | 1.3 * | 1.2 * | 0.9 | 2.5 | 2.1 | 1.2 | 7.0 * | 6.1 * | 8.3 * |
| MCD | Norman Wells | 3.9 * | 2.6 * | 6.2 | 3.6 * | 3.7 * | 1.1 | 1.7 * | 1.6 * | 2.2 | 3.7 * | 1.5 | 5.7 | 6.2 * | 6.0 * | 6.8 * |
| MCD | Yellowknife | 3.3 * | 2.3 * | 3.7 | 2.7 * | 2.4 * | 3.7 | 1.3 | 1.3 | 2.2 * | 3.3 * | 3.1 | 2.0 | 6.3 * | 5.6 * | 7.2 * |
| ART | Baker Lake | 4.2 * | 3.2 * | 3.8 | 3.6 * | 3.5 * | 2.6 | 1.4 * | 1.3 * | 1.6 | 5.9 * | 6.0 * | 4.4 * | 6.0 * | 6.1 * | 5.9 * |
| ART | Kuujjuaq | 2.1 * | 1.3 | 2.7 | 1.6 | 1.3 | 2.7 | 2.2 * | 2.3 * | 0.0 | 3.7 * | 3.6 * | 3.2 | 1.0 | 1.2 | 1.5 |
| ARM | Iqaluit | 2.6 | 1.9 | 3.9 | 2.4 * | 2.3 * | 1.9 | 0.7 | 0.6 | 1.3 | 5.6 * | 5.1 * | 5.1 * | 1.5 | 0.7 | 2.9 |
| CR | Station Name | Annual | Spring | Summer | Fall | Winter | ||||||||||
|---|---|---|---|---|---|---|---|---|---|---|---|---|---|---|---|---|
| mTTx (°C/c.) | mRTx (°C/c.) | mATx (°C/c.) | mTTx (°C/c.) | mRTx (°C/c.) | mATx (°C/c.) | mTTx (°C/c.) | mRTx (°C/c.) | mATx (°C/c.) | mTTx (°C/c.) | mRTx (°C/c.) | mATx (°C/c.) | mTTx (°C/c.) | mRTx (°C/c.) | mATx (°C/c.) | ||
| ATL | Charlottetown | 2.0 * | 2.1 * | 2.4 * | 2.1 * | 2.1 * | 1.7 | 2.7 * | 2.7 * | 3.9 * | 2.0 * | 1.6 | 3.2 * | 1.5 | 1.8 | 2.0 * |
| ATL | Fredericton | 1.5 * | 1.2 * | 3.4 * | 1.4 | 1.5 | 2.7 | 2.0 * | 2.0 * | 3.6 | 1.6 * | 1.1 | 3.8 * | 1.2 | 1.1 | 3.0 * |
| ATL | Gander | 1.8 * | 2.0 * | 0.6 | 1.6 | 1.4 | 2.1 | 2.7 * | 2.8 * | 1.0 | 2.0 * | 2.7 * | 0.4 | 1.2 | 1.3 | 1.6 |
| ATL | Greenwood | 1.9 * | 1.5 * | 1.5 * | 1.6 * | 1.6 * | 1.9 | 2.7 * | 2.7 * | 1.4 | 1.7 * | 1.5 | 1.6 | 1.7 * | 1.5 | 2.5 * |
| ATL | Moncton | 1.9 * | 1.6 * | 2.3 * | 2.0 * | 1.6 * | 3.2 | 2.9 * | 2.8 * | 6.8 * | 1.6 * | 1.7 | 1.9 | 1.4 | 1.6 | 1.8 |
| ATL | Saint John | 2.3 * | 2.2 * | 2.7 * | 2.2 * | 2.1 * | 1.9 | 3.1 * | 3.1 * | 4.3 * | 2.3 * | 2.4 * | 2.6 * | 1.6 * | 1.6 | 2.7 * |
| ATL | St. John’s | 2.1 * | 2.2 * | 1.0 | 2.0 * | 1.9 * | 1.7 | 3.1 * | 3.1 * | 1.3 | 2.1 * | 3.0 * | 0.0 | 1.4 | 1.3 | 1.9 * |
| ATL | Yarmouth | 1.9 * | 2.0 * | 1.6 * | 1.4 * | 1.3 * | 1.3 | 3.1 * | 3.1 * | 2.5 * | 1.8 * | 2.1 * | 1.7 * | 1.4 * | 1.4 | 2.4 * |
| GRL | Montreal | 2.1 * | 2.1 * | 1.4 | 1.9 * | 1.9 * | −0.6 | 2.2 * | 2.0 * | 5.5 * | 1.7 * | 1.4 | 2.0 | 2.8 * | 3.1 * | 3.2 * |
| GRL | Ottawa | 2.1 * | 1.9 * | 1.7 | 1.7 | 1.7 | 3.9 | 2.2 * | 2.1 * | 3.3 * | 1.7 * | 1.9 | 1.4 | 3.1 * | 3.2 * | 3.1 * |
| GRL | Toronto | 2.1 * | 1.9 * | 3.7 * | 1.7 * | 1.7 * | 3.8 | 1.8 * | 1.8 * | −0.3 | 1.6 | 1.4 | 4.1 * | 3.4 * | 3.5 * | 3.2 * |
| GRL | Trenton | 1.7 * | 1.3 * | 4.2 * | 1.5 | 1.5 | 1.3 | 1.5 * | 1.5 * | 2.3 | 1.2 | 0.8 | 2.6 | 2.6 * | 2.6 * | 4.0 * |
| GRL | Wiarton | 1.8 * | 1.1 | 1.9 * | 1.8 * | 1.6 | 1.9 | 1.8 * | 1.6 * | 3.5 | 1.2 | 0.2 | 2.3 | 2.6 * | 2.7 | 2.3 * |
| GRL | Windsor | 1.8 * | 1.7 * | 2.5 * | 2.0 * | 2.1 * | 1.6 | 1.5 * | 1.4 * | 2.7 | 1.2 | 0.7 | 3.1 * | 2.6 | 2.8 | 2.3 |
| NEF | Bagotville | 2.0 * | 2.0 * | 0.8 | 1.5 | 1.3 | −1.3 | 3.1 * | 3.0 * | 3.6 * | 1.7 * | 2.1 * | 1.2 | 2.0 * | 1.9 | 2.3 |
| NEF | Churchill | 4.8 * | 4.5 * | 2.0 | 4.2 * | 4.1 * | 4.9 * | 3.4 * | 2.7 * | 2.3 * | 4.4 * | 3.2 | 2.7 | 4.8 * | 5.0 * | 4.9 * |
| NEF | Goose | 2.1 * | 1.4 | 2.2 | 2.0 | 1.7 | 6.2 * | 2.6 * | 2.5 * | 2.0 | 3.0 * | 2.9 * | 1.9 | 0.9 | 0.5 | 2.3 |
| NEF | Kapuskasing | 2.1 * | 2.0 * | 0.7 | 2.0 | 1.9 | 0.7 | 2.6 * | 2.6 * | 1.1 | 1.5 | 1.0 | 1.3 | 2.5 * | 2.1 | 3.9 * |
| NEF | Kenora | 2.1 * | 1.8 * | 1.3 | 2.3 * | 1.9 | 4.0 | 2.0 * | 2.0 * | −0.5 | 1.0 | 0.9 | 1.3 | 3.4 * | 3.3 | 3.5 * |
| NEF | Sioux Lookout | 2.1 * | 1.7 | 0.2 | 2.3 * | 1.8 | 3.0 | 2.1 * | 2.1 * | 1.3 | 1.4 | 1.3 | 0.3 | 3.1 | 3.1 | 3.0 * |
| NWF | Cold Lake | 2.5 * | 1.8 * | 3.2 * | 1.2 | 1.2 | 6.6 | 2.4 * | 2.2 * | −0.3 | 1.4 | 0.4 | 2.3 | 5.3 * | 5.3 * | 4.9 * |
| NWF | Fort McMurray | 2.8 * | 2.4 * | 2.1 | 2.4 * | 2.4 * | −0.9 | 2.3 * | 2.1 * | 3.5 | 1.0 | 0.9 | 0.5 | 5.9 * | 5.6 * | 7.8 * |
| NWF | Fort Nelson | 2.9 * | 2.7 * | 4.4 * | 2.8 * | 2.8 * | 4.4 | 1.7 * | 1.7 * | −0.2 | 1.7 | 1.5 | 1.6 | 6.0 * | 5.7 * | 7.8 * |
| NWF | The Pas | 2.6 * | 1.9 * | 2.8 * | 2.3 * | 2.0 | 1.9 | 2.1 * | 2.1 * | 1.5 | 1.1 | 1.1 | −0.2 | 5.3 * | 5.0 * | 6.1 * |
| PRA | Calgary | 2.4 * | 1.9 * | 3.1 | 2.0 | 2.2 | 2.1 | 1.8 * | 1.5 | −3.6 | 0.9 | 0.3 | 2.2 | 5.3 * | 5.2 * | 4.4 |
| PRA | Estevan | 0.8 | 0.7 | −0.2 | 1.4 | 1.1 | 2.4 | 0.1 | −0.1 | 5.9 | −0.5 | −0.5 | −0.9 | 2.4 | 2.2 | 3.4 |
| PRA | Prince Albert | 2.1 * | 2.0 * | 2.4 * | 2.0 | 1.9 | 7.3 | 1.2 | 1.2 | 4.6 | 0.5 | 0.7 | 0.1 | 5.2 * | 5.3 * | 4.4 * |
| PRA | Regina | 1.7 | 0.8 | 2.3 | 2.1 | 1.8 | 1.7 | 0.6 | 0.4 | 2.0 | 0.5 | 0.4 | 0.6 | 3.8 | 3.0 | 4.6 * |
| PRA | Saskatoon | 2.1 * | 1.5 * | 2.4 | 2.2 | 2.0 | 1.9 | 1.0 | 0.9 | 0.2 | 0.6 | 0.5 | 0.8 | 4.8 * | 4.6 * | 4.9 * |
| PRA | Winnipeg | 2.2 * | 1.9 * | 1.2 | 2.5 * | 2.2 | 1.0 | 1.7 * | 1.5 | 4.3 | 0.8 | 0.7 | 1.1 | 4.1 * | 4.7 * | 3.1 |
| PRA | Yorkton | 2.1 * | 1.8 * | 2.5 | 2.5 | 2.4 | 4.5 | 1.0 | 0.9 | 3.4 | 0.8 | 0.5 | 1.3 | 4.7 * | 4.4 * | 5.1 * |
| SBC | Abbotsford | 2.2 * | 1.7 * | 2.1 * | 2.0 * | 2.1 * | 0.8 | 3.7 * | 3.7 * | 0.3 | 0.9 | 0.4 | 1.9 | 2.2 * | 2.2 | 1.2 |
| PAC | Comox | 1.5 * | 1.4 * | 0.4 | 1.4 | 1.2 | 3.6 | 2.8 * | 2.7 * | 4.1 * | 0.8 | 0.7 | 0.1 | 1.3 | 1.3 | 1.1 |
| PAC | Port Hardy | 1.5 * | 1.3 * | 1.5 * | 1.5 | 1.6 | 0.7 | 2.1 * | 2.1 * | 0.2 | 0.8 | 0.6 | 0.9 | 1.9 * | 1.7 * | 2.2 * |
| PAC | Vancouver | 1.4 * | 1.2 * | 1.1 | 1.1 * | 1.0 * | 3.3 | 2.3 * | 2.3 * | 1.3 | 0.7 | 0.5 | 0.9 | 1.6 * | 1.5 | 1.9 |
| PAC | Victoria | 1.7 * | 1.5 * | 1.5 | 1.8 * | 1.8 * | 3.5 | 2.7 * | 2.7 * | 2.0 | 0.8 | 0.6 | 1.5 | 1.7 * | 1.5 * | 1.4 |
| NBC | Watson Lake | 2.3 * | 1.4 | 4.0 * | 2.0 * | 2.1 * | −2.7 | 0.7 | 0.7 | 3.7 | 1.3 | −0.1 | 1.4 | 5.6 * | 5.0 * | 7.4 * |
| NBC | Whitehorse | 2.6 * | 1.5 | 4.5 * | 3.0 * | 2.9 * | 5.1 | 1.2 | 1.2 | 2.1 | 1.5 | 0.7 | 2.0 | 5.1 * | 4.0 | 7.1 * |
| MCD | Fort Smith | 3.1 * | 2.4 * | 2.7 * | 2.8 * | 2.7 * | 4.1 | 2.1 * | 2.0 * | 2.2 | 1.7 | 1.7 | −0.3 | 6.3 * | 6.2 * | 7.2 * |
| MCD | Hay River | 3.0 * | 2.8 * | 0.9 | 3.1 * | 2.8 * | 0.2 | 2.5 * | 2.3 * | 1.0 | 1.6 | 1.2 | 0.2 | 5.5 * | 5.4 * | 6.4 * |
| MCD | Norman Wells | 3.9 * | 2.7 * | 7.0 * | 3.7 * | 3.7 * | 4.9 | 1.8 * | 1.7 * | 4.6 * | 4.6 * | 2.3 | 6.4 * | 6.5 * | 6.2 * | 7.4 * |
| MCD | Yellowknife | 3.3 * | 2.5 * | 3.3 * | 3.2 * | 2.9 * | 5.2 | 1.7 * | 1.6 * | 4.4 * | 2.8 * | 3.0 | 1.4 | 6.2 * | 5.8 * | 7.1 * |
| ART | Baker Lake | 4.7 * | 4.0 * | 4.1 * | 3.5 * | 3.5 * | 3.4 | 3.6 * | 3.6 * | 1.4 | 6.0 * | 6.6 * | 4.2 * | 6.3 * | 6.5 * | 6.1 * |
| ART | Kuujjuaq | 3.1 * | 2.3 * | 3.3 * | 3.1 * | 2.7 * | 5.3 * | 3.2 * | 3.3 * | 0.8 | 4.3 * | 4.7 * | 3.1 | 1.7 | 1.7 | 2.3 |
| ARM | Iqaluit | 1.8 * | 1.3 | 3.6 * | 1.0 | 1.0 | 0.9 | 0.8 | 0.7 | 0.4 | 5.3 * | 5.0 * | 5.4 * | 0.8 | 0.3 | 2.4 |
| CR | Annual | Spring | Summer | Fall | Winter | ||||||||||
|---|---|---|---|---|---|---|---|---|---|---|---|---|---|---|---|
| RPC (#) | RPP (%) | mRPC (#/c.) | RPC (#) | RPP (%) | mRPC (#/c.) | RPC (#) | RPP (%) | mRPC (#/c.) | RPC (#) | RPP (%) | mRPC (#/c.) | RPC (#) | RPP (%) | mRPC (#/c.) | |
| ATL | 20,145 | 82 | 9 | 5089 | 81 | 1 | 5279 | 84 | 1 | 4212 | 68 | 2 | 3811 | 63 | 4 |
| GRL | 21,199 | 84 | 5 | 5887 | 93 | −1 | 6143 | 97 | 1 | 4894 | 78 | 2 | 4274 | 69 | 3 |
| NEF | 20,608 | 82 | 21 | 5856 | 92 | 4 | 5994 | 94 | 4 | 4416 | 70 | 8 | 4341 | 70 | 6 |
| NWF | 21,725 | 87 | 13 | 6059 | 96 | 1 | 6151 | 98 | 2 | 4880 | 78 | 5 | 4635 | 75 | 6 |
| PRA | 21,967 | 87 | 10 | 6061 | 96 | 2 | 6238 | 98 | 1 | 5138 | 82 | 1 | 4530 | 73 | 6 |
| SBC | 22,778 | 90.4 | 22 | 6194 | 97.7 | 1 | 6287 | 98.9 | 0 | 5254 | 83.5 | 6 | 5043 | 81.3 | 15 |
| PAC | 22,459 | 89 | 17 | 6164 | 97 | 1 | 6216 | 98 | 2 | 5092 | 81 | 6 | 4988 | 80 | 8 |
| NBC | 20,986 | 83 | 15 | 6251 | 99 | 1 | 6273 | 99 | 0 | 4306 | 68 | 8 | 4157 | 67 | 7 |
| MCD | 19,577 | 79 | 17 | 5883 | 94 | 3 | 6001 | 96 | 1 | 3932 | 63 | 8 | 3761 | 61 | 4 |
| ART | 18,685 | 77 | 17 | 5547 | 91 | 2 | 5833 | 95 | 1 | 3739 | 61 | 7 | 3566 | 59 | 8 |
| ARM | 19,337 | 76.8 | 9 | 5806 | 91.6 | −1 | 6004 | 94.4 | 0 | 3860 | 61.4 | 5 | 3667 | 59.1 | 5 |
| CR | Annual | Spring | Summer | Fall | Winter | ||||||||||
|---|---|---|---|---|---|---|---|---|---|---|---|---|---|---|---|
| APC (#) | APP (%) | mAPC (#/c.) | APC (#) | APP (%) | mAPC (#/c.) | APC (#) | APP (%) | mAPC (#/c.) | APC (#) | APP (%) | mAPC (#/c.) | APC (#) | APP (%) | mAPC (#/c.) | |
| ATL | 4411 | 18 | −9 | 495 | 8 | −1 | 283 | 5 | −1 | 1628 | 27 | −2 | 2004 | 33 | −4 |
| GRL | 3992 | 16 | −5 | 455 | 7 | 1 | 207 | 3 | −1 | 1402 | 22 | −2 | 1928 | 31 | −3 |
| NEF | 4629 | 18 | −21 | 502 | 8 | −4 | 372 | 6 | −4 | 1887 | 30 | −8 | 1868 | 30 | −6 |
| NWF | 3283 | 13 | −13 | 242 | 4 | −1 | 154 | 2 | −2 | 1374 | 22 | −5 | 1514 | 25 | −6 |
| PRA | 3223 | 13 | −10 | 280 | 4 | −2 | 112 | 2 | −1 | 1161 | 18 | −1 | 1670 | 27 | −6 |
| SBC | 2412 | 9.6 | −22 | 146 | 2.3 | −1 | 69 | 1.1 | 0 | 1036 | 16.5 | −6 | 1161 | 18.7 | −15 |
| PAC | 2732 | 11 | −17 | 175 | 3 | −1 | 140 | 2 | −2 | 1202 | 19 | −6 | 1215 | 20 | −8 |
| NBC | 4206 | 17 | −15 | 93 | 1 | −1 | 81 | 1 | 0 | 1992 | 32 | −8 | 2040 | 33 | −7 |
| MCD | 5343 | 21 | −17 | 391 | 6 | −3 | 279 | 4 | −1 | 2307 | 37 | −8 | 2368 | 39 | −4 |
| ART | 5558 | 23 | −21 | 606 | 10 | −3 | 287 | 5 | −2 | 2293 | 39 | −8 | 2372 | 40 | −9 |
| ARM | 5854 | 23.2 | −9 | 529 | 8.4 | 1 | 353 | 5.6 | 0 | 2431 | 38.6 | −5 | 2541 | 40.9 | −5 |
| CR | Annual | Spring | Summer | Fall | Winter | ||||||||||
|---|---|---|---|---|---|---|---|---|---|---|---|---|---|---|---|
| mTTn (°C/c.) | mRTn (°C/c.) | mATn (°C/c.) | mTTn (°C/c.) | mRTn (°C/c.) | mATn (°C/c.) | mTTn (°C/c.) | mRTn (°C/c.) | mATn (°C/c.) | mTTn (°C/c.) | mRTn (°C/c.) | mATn (°C/c.) | mTTn (°C/c.) | mRTn (°C/c.) | mATn (°C/c.) | |
| ATL | 1.6 | 1.5 | 1.6 | 1.2 | 1.1 | 2.2 | 2.5 | 2.5 | 2.8 | 1.5 | 1.4 | 1.7 | 1.3 | 1.2 | 1.7 |
| GRL | 2.5 | 2.3 | 2.9 | 2.2 | 2.1 | 2.8 | 2.8 | 2.8 | 3.3 | 1.9 | 1.6 | 2.7 | 3.2 | 3.1 | 3.3 |
| NEF | 2.7 | 2.4 | 1.9 | 2.0 | 1.9 | 2.3 | 2.6 | 2.6 | 2.2 | 2.7 | 2.3 | 2.1 | 3.6 | 3.4 | 4.5 |
| NWF | 3.2 | 2.7 | 4.0 | 2.1 | 2.1 | 4.0 | 2.2 | 2.1 | 2.9 | 2.3 | 2.0 | 2.0 | 6.6 | 6.6 | 7.3 |
| PRA | 2.1 | 1.6 | 2.8 | 1.2 | 1.0 | 1.6 | 1.2 | 1.1 | 3.6 | 1.2 | 0.9 | 1.9 | 4.9 | 4.8 | 5.0 |
| SBC | 3.1 | 3 | 2.3 | 3.6 | 3.7 | 1.5 | 4.6 | 4.6 | 2.6 | 2.1 | 2.1 | 2.2 | 2.2 | 2.7 | 1.6 |
| PAC | 1.9 | 1.8 | 1.7 | 2.1 | 2.0 | 3.0 | 2.7 | 2.7 | 1.9 | 1.2 | 1.2 | 1.2 | 1.8 | 1.7 | 2.4 |
| NBC | 3.4 | 2.3 | 6.0 | 3.0 | 2.9 | 4.1 | 1.9 | 1.9 | 3.3 | 2.6 | 1.4 | 3.5 | 6.4 | 5.4 | 8.9 |
| MCD | 3.8 | 2.9 | 4.1 | 3.0 | 3.0 | 2.4 | 1.9 | 1.8 | 2.0 | 3.2 | 2.6 | 2.5 | 7.0 | 6.5 | 8.0 |
| ART | 3.2 | 2.3 | 3.3 | 2.6 | 2.4 | 2.7 | 1.8 | 1.8 | 0.8 | 4.8 | 4.8 | 3.8 | 3.5 | 3.7 | 3.7 |
| ARM | 2.6 | 1.9 | 3.9 | 2.4 | 2.3 | 1.9 | 0.7 | 0.6 | 1.3 | 5.6 | 5.1 | 5.1 | 1.5 | 0.7 | 2.9 |
| CR | Annual | Spring | Summer | Fall | Winter | ||||||||||
|---|---|---|---|---|---|---|---|---|---|---|---|---|---|---|---|
| mTTx (°C/c.) | mRTx (°C/c.) | mATx (°C/c.) | mTTx (°C/c.) | mRTx (°C/c.) | mATx (°C/c.) | mTTx (°C/c.) | mRTx (°C/c.) | mATx (°C/c.) | mTTx (°C/c.) | mRTx (°C/c.) | mATx (°C/c.) | mTTx (°C/c.) | mRTx (°C/c.) | mATx (°C/c.) | |
| ATL | 1.9 | 1.9 | 1.9 | 1.8 | 1.7 | 2.1 | 2.8 | 2.8 | 3.1 | 1.9 | 2.0 | 1.9 | 1.4 | 1.5 | 2.2 |
| GRL | 1.9 | 1.7 | 2.6 | 1.8 | 1.8 | 2.0 | 1.8 | 1.7 | 2.8 | 1.4 | 1.1 | 2.6 | 2.9 | 3.0 | 3.0 |
| NEF | 2.5 | 2.2 | 1.2 | 2.4 | 2.1 | 2.9 | 2.6 | 2.5 | 1.6 | 2.2 | 1.9 | 1.5 | 2.8 | 2.7 | 3.3 |
| NWF | 2.7 | 2.2 | 3.1 | 2.2 | 2.1 | 3.0 | 2.1 | 2.0 | 1.1 | 1.3 | 1.0 | 1.1 | 5.6 | 5.4 | 6.7 |
| PRA | 1.9 | 1.5 | 2.0 | 2.1 | 1.9 | 3.0 | 1.1 | 0.9 | 2.4 | 0.5 | 0.4 | 0.7 | 4.3 | 4.2 | 4.3 |
| SBC | 2.2 | 1.7 | 2.1 | 2.0 | 2.1 | 0.8 | 3.7 | 3.7 | 0.3 | 0.9 | 0.4 | 1.9 | 2.2 | 2.2 | 1.2 |
| PAC | 1.5 | 1.4 | 1.1 | 1.5 | 1.4 | 2.8 | 2.5 | 2.5 | 1.9 | 0.8 | 0.6 | 0.9 | 1.6 | 1.5 | 1.7 |
| NBC | 2.5 | 1.5 | 4.3 | 2.5 | 2.5 | 1.2 | 1.0 | 1.0 | 2.9 | 1.4 | 0.3 | 1.7 | 5.4 | 4.5 | 7.3 |
| MCD | 3.3 | 2.6 | 3.5 | 3.2 | 3.0 | 3.6 | 2.0 | 1.9 | 3.1 | 2.7 | 2.1 | 1.9 | 6.1 | 5.9 | 7.0 |
| ART | 3.9 | 3.2 | 3.7 | 3.3 | 3.1 | 4.4 | 3.4 | 3.5 | 1.1 | 5.2 | 5.7 | 3.7 | 4.0 | 4.1 | 4.2 |
| ARM | 1.8 | 1.3 | 3.6 | 1.0 | 1.0 | 0.9 | 0.8 | 0.7 | 0.4 | 5.3 | 5 | 5.4 | 0.8 | 0.3 | 2.4 |
Publisher’s Note: MDPI stays neutral with regard to jurisdictional claims in published maps and institutional affiliations. |
© 2022 by the authors. Licensee MDPI, Basel, Switzerland. This article is an open access article distributed under the terms and conditions of the Creative Commons Attribution (CC BY) license (https://creativecommons.org/licenses/by/4.0/).
Share and Cite
Žaknić-Ćatović, A.; Gough, W.A. Seasonal Aspects of Radiative and Advective Air Temperature Populations: A Canadian Perspective. Atmosphere 2022, 13, 1017. https://doi.org/10.3390/atmos13071017
Žaknić-Ćatović A, Gough WA. Seasonal Aspects of Radiative and Advective Air Temperature Populations: A Canadian Perspective. Atmosphere. 2022; 13(7):1017. https://doi.org/10.3390/atmos13071017
Chicago/Turabian StyleŽaknić-Ćatović, Ana, and William A. Gough. 2022. "Seasonal Aspects of Radiative and Advective Air Temperature Populations: A Canadian Perspective" Atmosphere 13, no. 7: 1017. https://doi.org/10.3390/atmos13071017
APA StyleŽaknić-Ćatović, A., & Gough, W. A. (2022). Seasonal Aspects of Radiative and Advective Air Temperature Populations: A Canadian Perspective. Atmosphere, 13(7), 1017. https://doi.org/10.3390/atmos13071017

