Next Article in Journal
Does Ambient Secondary Conversion or the Prolonged Fast Conversion in Combustion Plumes Cause Severe PM2.5 Air Pollution in China?
Next Article in Special Issue
Microphysical and Kinematic Characteristics of Anomalous Charge Structure Thunderstorms in Cordoba, Argentina
Previous Article in Journal
Research on the Spatial Heterogeneity and Influencing Factors of Air Pollution: A Case Study in Shijiazhuang, China
Previous Article in Special Issue
The Electric Field of the Undisturbed Atmosphere in the South of Western Siberia: A Case Study on Tomsk
 
 
Font Type:
Arial Georgia Verdana
Font Size:
Aa Aa Aa
Line Spacing:
Column Width:
Background:
Article

Analysis of Spatio-Temporal Variability of Lightning Activity and Wildfires in Western Siberia during 2016–2021

by
Elena Kharyutkina
1,*,
Konstantin Pustovalov
1,2,
Evgeniia Moraru
1 and
Olga Nechepurenko
2
1
Institute of Monitoring of Climatic and Ecological Systems, Siberian Branch of Russian Academy of Sciences, 634055 Tomsk, Russia
2
Faculty of Geology and Geography, Department of Meteorology and Climatology, National Research Tomsk State University, 634050 Tomsk, Russia
*
Author to whom correspondence should be addressed.
Atmosphere 2022, 13(5), 669; https://doi.org/10.3390/atmos13050669
Submission received: 5 March 2022 / Revised: 19 April 2022 / Accepted: 20 April 2022 / Published: 22 April 2022
(This article belongs to the Special Issue Advances in Atmospheric Electricity)

Abstract

:
This research compares the spatial and temporal variability of lightning activity associated with wildfires in several natural geographical zones of Western Siberia from 2016–2021. The study was based on the World Wide Lightning Location Network (WWLLN) and The Fire Information for Resource Management System (FIRMS) for the warm (April–October) season. It was revealed that areas of hotspots and lightning activity most often coincide in the southwestern part of the territory (near Khanty-Mansiysk and Tyumen), in the mountain regions (Kuznetsk Alatau, Altai), and in the northern part of Kazakhstan. Maximum values of lightning occur in July for the whole territory of Western Siberia, and maximum values of hotspots occur in April in the central and southern regions of Western Siberia. Despite the largest number of fires in the south of the territory, the probability of ignition from lightning over the whole warm season is higher in the northern parts of Western Siberia; it reaches up to 30%. Thus, the revealed lightning–fire association allows us to better understand this process in the region that will be useful in the prediction of the potential fire danger in different natural zones.

1. Introduction

There are three key factors that can influence and modify fire regimes at different temporal and spatial scales. The major ones are climate change, human activity, and vegetation [1]. Some of the meteorological factors of heightened risk for wildfires are air and surface temperature, air and soil moisture, and atmospheric instability [2]. Wind speed also has an impact on a fire behavior [3]. Longer fire activity periods have been connected to meteorological trends that favor long periods of low fuel moisture [4], such as an increase in rainless days [5], earlier higher temperatures, and earlier snowmelt timing [4]. Thunderstorms are a common cause of natural fire initiation [6]. However, because thunderstorms are often accompanied by heavy rain, cloud-to-ground lightning strikes may not always result in a fire. On average, lightning is thought to be responsible for roughly 10% of all forest fires in Russia, but the actual share is likely closer to 30% [7]. The ignition (fire triggering), survival (smoldering), and arrival (flaming combustion) of lightning-ignited wildfires (LIWs) [8] are closely related to intense drought periods and high temperatures [9]. LIWs account for 28% of all fires in Siberia [10], and up to 37% in the Tomsk region [11]. According to previous studies [12,13], lightning ignitions contribute the most to the burned area due to wildfires and CO2 emissions into the atmosphere at subpolar latitudes, where lightning strikes are the most common cause of fires.
Thunderstorm activity and its role in fire occurrence has been the subject of a significant amount of research in different regions of the world: in boreal forests and permafrost zones [13,14,15,16], in mountain regions [17], and in tropical and subtropical ecosystems [18,19,20]. Notably, the contribution of dry thunderstorms to fire hazard is rarely discussed in Russian scientific papers. Most of the current research focuses on either describing the characteristics of certain wildfires and their impact on the atmosphere in specific regions or local spots, or estimating global trends through the building of climatic predictions [21,22,23,24]. Concurrently, landscape zones and their characteristics, which are distinctive of the Siberian and Arctic areas with a predominance of fire-hazardous tendencies, are practically ignored and not investigated as part of a single project.
Extreme climatic events are expected to become more frequent in the 21st century, based on current estimates. According to the high-emissions scenario RCP8.5, by the end of the century, climate change in different regions of Russia is predicted to result in a major increase in the period of fire danger [25]. Concurrently, natural fires will occur and spread over much larger areas, including northern Russia. However, due to a current lack of understanding of natural fire processes, the outcomes of model calculations for both the recent period (including insufficiently excellent agreement with empirical data) and the future are vastly different [12]. As a result, the regional response to global climate change exhibits significant regional and temporal heterogeneity.
Considering the lack of knowledge on natural fires in Western Siberia and the increasing attention to fire activity worldwide driven by global climate change, assessing the spatial and temporal variability of LIWs in different landscapes, appears relevant from this perspective. It will not only help deeper understanding of the current state of knowledge on lightning–fire association, but also specify global and regional climate models and find practical application in various sectors of the national economy in predicting the potential fire danger in different natural zones.
The present study’s goal is to analyze the spatial and temporal variability of lightning activity associated with natural fires in Western Siberia from 2016 to 2021.
The paper is organized as follows: In Section 2, we present datasets and briefly describe the used methods and the procedure of data processing. In Section 3, the results of spatial and temporal distribution of lightning and fires and their associations are presented. In Section 4, we discuss the applied data and methods, obtained results, and make some comparisons with other studies. The conclusion, limitations, and future direction of the research are briefly summarized in Section 5.

2. Materials and Methods

2.1. Datasets Used in the Study

The investigation was carried out for Western Siberia (45–75° N, 60–95° E) during the warm months (from March to October) for the period of 2016–2021.
The study relied on the following basic data sets:
(1)
World Wide Lightning Location Network data (WWLLN).
A worldwide, real-time WWLLN system detects low-frequency (in the range of 3–30 kHz) electromagnetic waves (atmospherics), which are associated with electrical discharges and propagate in the Earth–ionosphere waveguide. Localization of lightning is carried out based on identifying the time of group arrival for the wave packets from five or more receivers, located at distances of up to 3000 km [26]. The network locates lightning within ~5 km and <10 µs [27]. On the official WWLLN site [28], operational data contains information on lightning discharges every 1 h with a 7-h delay in open access. For the study, we used data sets gathered (for cloud-earth discharges) from 2016 to 2021. To simplify the processing, we merged the data by day using the open-source cross-platform desktop geographic information system (QGIS) and exported it to text files.
(2)
Fire Information for Resource Management System (FIRMS).
These data [29] distribute near real-time (NRT) active fire data from the Moderate Resolution Imaging Spectroradiometer (MODIS) aboard the Aqua and Terra satellites. Based on the MODIS Fires and Thermal Anomalies product (MOD14 and MYD14 for Terra and Aqua, respectively) in spectral channels 4 and 11 µm, the data contains spatio-temporal information (coordinates, date, time, etc.) about hotspots, including wildfires. The fire detection algorithm is based on the interpretation of thermal anomalies, which occur when the temperature exceeds the natural variability of the underlying surface temperature. The spatial resolution of FIRMS data is 1 × 1 km2, and the temporal resolution is 1 day. The coordinates of hotspots are the centers of pixels. We used data from the FIRMS server for 2016–2021 for Western Siberia and adjacent territories.
(3)
MODIS Land Cover images [30].
The MODIS Land Cover Type Product (MCD12Q1) supplies different global land cover types at annual time steps and 500-m spatial resolution from 2001–present. The data is derived using supervised classifications of MODIS Terra and Aqua reflectance data. The IGBP global vegetation classification scheme was used to identify the land cover type.

2.2. Data Processing

To get estimates of the spatial and temporal variability of lightning discharge density and hotspots over the study period, the territory of Western Siberia was divided into a grid with a cell size of 0.25° × 0.25° in longitude and latitude. The estimation was performed separately for different natural zones (based on the MODIS Land Cover images), which are described in more detail in Section 3.1.
The number of lightning discharges and hotspots are calculated in grid cells ( N ( i , j ) ) with the following coordinates:
{ φ i φ φ i + 1 λ j λ λ j + 1
where φ and λ —coordinates of the lightning discharges and hotspots in the cell on latitude { φ i , φ i + 1 } and on longitude { λ i , λ j + 1 } .
The area of each cell (S, in km2) was determined according to the simplified formula:
S ( φ i , λ j ) S i , j = φ i φ i + 1 λ j λ j + 1   R e 2 c o s ( φ )   d λ d φ
where R e —the Earth’s radius.
The lightning discharge and hotspot densities (per km2 per year) were computed using the following formula based on data on the number of lightning discharges/number of hotspots falling into the grid cells and the area of these cells:
ρ ( i , j ) = N ( i , j ) S ( i , j ) × T
where T—the period (years), for which the calculation was performed.
According to the approach described above (calculation in cells), we revealed features of the spatial and temporal variability of lightning and fires in the territory of western Siberia. Additionally, we calculated statistical estimates, including the Pearson’s correlation coefficient (r), and carried out comparative analysis of these values [31]. to Get quantitative estimations of the association, the probability (P) of LIWs was calculated for each 0.25° × 0.25° cell:
P ( i , j ) = n l n × 100 % ,
where nl—the number of fires likely caused by lightning in one cell in one day, and n —the total number of fires in the same cell in the same day.
When using this approach, we suggested that in the same cell minimum 2 strikes and 5 hotspots occur in the same day. These thresholds were chosen to minimize errors and to exclude random events.
We also search for the most probable fire candidates to be ignited by lightning using the approach based on the formula proposed by [14]. For the first step, we calculate a proximity index (A) between each observed lightning (more than 2 strikes) and the active fires (more than 5 hotspots):
A = ( 1 Δ t Δ t m a x ) × ( 1 D D m a x ) ,
where D and Δ t —the distance and time interval between a lightning event and the active fire, and D m a x and Δ t m a x —the maximum time interval (holdover period) and maximum distance (radius) for these events. The choice of D m a x and Δ t m a x was based on the inaccuracy of remote sensing methods for locating fires and thunderstorms. The choice of criterion ∆t (from 1 to 10 days before ignition) is based on the possible duration of the smoldering period [16]. The choice of D m a x is based on the value of stroke location accuracy in the WWLLN data (from 5 to 10 km) [19]. We choose a circle radius of 10 km with a center relative to the fire location (hotspot). Thus, Δ t m a x = 10 days, and D m a x = 10 km.
The probability (B) of a fire caused by each lightning event was calculated for the center of each hotspot pixel as:
B = 1 i = 1 n ( 1 A i ) ,
The application and comparison of two methods, based on the calculation of the probability P, according to (4), and the probability B, according to (6), made it possible to establish an association between lightning and fires and to reveal fire events as likely caused by lightning.

3. Results

3.1. Spatial Variability of Lightning and Hotspots

Analysis of the spatial distribution of lightning discharge density demonstrated that its activity is higher in the west, in comparison with other parts (Figure 1a).
Maximum lightning activity is observed in the central part of the region, such as over Kondinskaya lowland, Sredneobskaya lowland, Ob-Irtysh interfluves, over the north of the Vasyugan plain, and the eastern periphery of the Southern Urals. Such a peculiarity in the distribution can be explained by several factors. The northern part of the highest lightning activity zone is located on a system of uplands, while the southern part is heavily swamped and includes a large system of small lakes. The highest density of discharges occurs near the Sredneobskaya lowland and the Ob-Irtysh interfluve. Moreover, the location of the center near the Ob-Irtysh agrees well with the outlines of the Great Vasyugan Mire, which is one of the largest swamps in the world [32]. The maximum over the eastern periphery of the Southern Urals is explained mainly by the influence of the area’s orography. In general, the centers with the highest and lowest lightning activity agree with the results of lightning registration by the optical detector of the MicroLab-1 satellite, which recorded discharges over the studied territory from 1995–1999 [33]. The level of registered lightning activity slightly differs, probably because of different registration methods.It was concluded that the maximum number of hotspots during the warm period is mainly observed in the southern part of Western Siberia, in the Tomsk, Novosibirsk, Omsk, and Kemerovo regions, and the Khanty-Mansiysk Autonomous District (Figure 1b). Due to the high population density there compared to the northern part of the territory, the highest number of fires could be attributed to anthropogenic factors. In the northern part of Western Siberia, fires are localized only near the Gulf of Ob. Some of the fire events could have had anthropogenic heat sources (for instance, fuel and energy complex enterprises). In subsequent steps, additional research is needed to exclude these sources.
When comparing data on hotspots with lightning, it was revealed that the areas with the highest values of the indicated parameters coincided near Khanty-Mansiysk and Tyumen, in the foothills of Kuznetsk Alatau, in the Altai region, and in the northern part of Kazakhstan. It should be noted that at higher altitudes, the relative number of LIWs is increasing, which underlines the role of the inducing topographic and climatic factors [34].
From the combined analysis of the spatial distribution of lightning discharge density, hotspot density, and vegetation types on the territory under study (Figure 1 and Figure 2), it is clearly demonstrated that the areas of the highest lightning activity are observed over the territories occupied by forests, while the areas of the lowest lightning activity are linked to grasslands and savannas in the north and south of the region (Figure 2). The highest hotspot density, in contrast, is observed in croplands, savannas, and mixed forests.
We assume that relatively homogeneous natural zones form close conditions for the formation of such hazardous natural phenomena as wildfires, particularly because of lightning activity. Therefore, since the study area is unique in its geographical location and diverse natural-climatic features, it is advisable to conduct research not only for the territory as a whole, but also for its individual landscape zones. Therefore, in addition to forest and steppe zones, areas with swampy terrain were also singled out since they occupy a significant part of Western Siberia.
According to Figure 2, we selected several natural zones with the most specific vegetation types for Western Siberia:
Area 1 (65–75° N, 60–95° E). The northern part, dominated by shrubs and grasslands;
Area 2 (55–65° N, 60–95° E). The central part, occupied to a greater extent by the mixed forest and savannah zones;
Area 3 (45–55° N, 60–95° E). The southern part (including the northeastern Kazakhstan), dominated by grasslands, with cropland, savannah (in the western part) and mixed forest (in the eastern part) only near 53–55° N.
Area 4 (56–59° N, 75–84° E). The Great Vasyugan Mire [32].
Area 5 (61–64° N, 69–77° E). Permanent wetlands.
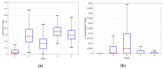
Figure 3 illustrates statistical characteristics of lightning and fires, where the box height is derived from the interquartile range and the horizontal line corresponds to the median values of the series. The values presented in this figure confirm our previous conclusion.
During the period from 2016 to 2021, the maximum density of lightning discharges was observed in the central part of Western Siberia, i.e., where boreal forests and mires are concentrated (0.28, 0.35, and 0.29 per km2 per year in Areas 2, 4, and 5, respectively), and the minimum in the northern part (0.03 per km2 per year) (Figure 3a).
The maximum values of the number of hotspots (Figure 3b) occur in the southern part of the territory (0.005 hotspots per km2 per year), which is primarily due to the predominant role of the anthropogenic factors here. It should be noted that such a distribution pattern is caused by the extremely inhomogeneous location of fire hotspots over the territory; in this connection, this value varies according to the power law of distribution (with right-sided asymmetry of the distribution density).

3.2. Temporal Variability of Lightning and Fires

The greatest similarity of temporal variability in the total number of fires and lightning during the period of 2016–2021, as illustrated in Figure 4, is observed in the northern part of Western Siberia (Area 1 and Area 5).
The largest number of lightning throughout the time interval is revealed in Area 2 and Area 3, in comparison with the other regions. However, their greatest similarity with hotspots is observed only in 2016, 2017, and 2018 for Area 2, and in 2017 for Area 3. Therefore, we can suppose that for these years, the LIW probability is high. Separately for Area 4, there are some similarities in certain years, such as 2017–2018.
As for seasonal variability, the maximum values of lightning occur in July for the whole territory of western Siberia (Figure 5). This is also confirmed by the results, derived in other studies, based on the WWLLN data [35,36] and the results of satellite data [33].
The thunderstorm season in Western Siberia starts in late April or early May and lasts until late September. A similar situation is observed for hotspots only in Areas 1 and 5—the maximum is also observed in July. In Areas 2, 3, and 4, the greatest number of fires is reported in the spring months (April and May). It is also noteworthy that the number of fires in the southern part of the territory is about 1.5 times higher than in the northern part, and the fire season is longer. In March and September, for example, a disproportionately significant number of fires are reported in the south. The shift of the maximum fire hotspots to the spring months in the central and southern regions of Western Siberia may be due to the beginning of the agricultural season. Here fuel moisture (litter) characteristics also play an important role, that meteorological parameters such as air temperature, atmospheric precipitation, and snow cover duration, depth, and dates of its melting should be also taken into account [10,37].
To assess the association between lightning and fire, we constructed scatter plots with the number of flashes and number of hotspots per warm season (May–September) over the period from 2016–2021 (Figure 6). Here, each point represents the sum of the number of lightning strikes and the number of hotspots for each of the indicated months and years (30 points in total).
Practically, in most considered areas (besides Area 3 and Area 4) of Western Siberia, the relationship between lightning and hotspots is positive, however, values of correlation coefficients (r) are statistically insignificant (α = 0.05). The highest values (r varies up to 0.32) are observed in the northern part of the region (Areas 1 and 5).
We also note that without the formation of relevant weather conditions, fire will not be ignited even when lightning occurs. Thus, the relationship between number of lightnings and fires is only expected when we consider meteorological factors, fuel characteristics, and vegetation type.
In the south of Western Siberia (Area 3) the relationship between lightning and hotspots was not revealed, which can probably be explained by the large contribution of the anthropogenic factor to the fire behavior change in this territory. To obtain more accurate estimates of the correlation when identifying cases of fires due to thunderstorms, it is also worth using another approach based on a more thorough selection of cases of lightning and associated fires.

3.3. Fires Candidates to Be Ignited by Lightning

As a result of the foregoing investigation, similar patterns of spatial and temporal variability of lightning discharges and fire hotspots in different zones of Western Siberia were identified over 2016–2021. The study of the association between lightning and fires during the warm season (May–September) was also carried out based on calculation of LIW probability (Figure 7), based on two methods (in the borders of each cell of 0.25° × 0.25° according to (4) and applying D m a x and Δ t m a x according to (6)).
It is noteworthy that a fire does not necessarily start immediately after a lightning strike; it might also start after some time has passed (called a “smolder period”). According to a previous study [17], more than 60% of the natural fires were detected in less than 1 day. That is why the probability values (P), derived from formula (4), represents likely LIWs with smolder period of 1 day in each cell (left panel on Figure 7). The probability values (B), derived from formula (6), represent likely LIWs with a smolder period of 10 day and radius of 10 km from the hotspot center (right panel on Figure 7).
The locations of areas with fires that are likely caused by lightning strikes revealed from two methods generally coincides. Thus, in the northern regions (Area 1) of Western Siberia, these regions are located near Salekhard, Novy Urengoy, and the Gulf of Ob. In the central regions (Area 2), these areas are predominantly located meridionally along the western boundary of Western Siberia (60–70° E). The maximum probability (B > 0.8) of forest fires caused by lightning is observed in all natural zones (in some local points), however the majority number of events are in the southern part (on the territory of Northern Kazakhstan).
It should be noted that, despite the general similarity in the spatial distribution of the probability estimates obtained by these methods, the distance parameter makes it possible to obtain more accurate results. It could be due to the fact that the first approach (left panel on the Figure 7) may not accurately represent some situations; some fires may be caused by a lightning strike hitting an adjacent cell, wherein the two cases would be unrelated. Conversely, when both the lightning and the hotspot are in the same cell, but due to the large distance between them (for example, near opposite cell boundaries), they are not related to each other, they will be defined as one process. However, qualitative comparison can be carried out based on any of the presented methods. To obtain more accurate results, it is preferable to use the probability estimates (B) derived by the second method. Despite the limitations in the first method, the revealed results could be useful for the same purposes as the reanalysis data, for instance, in the field of climatic projections for different time scales.
Furthermore, we have calculated the relation of likely LIWs (B > 0, when at least one lightning was within 10 km and 10 days from the hotspot center) to the total number of hotspots over the 6-year period (Table 1).
From the analysis of this, it follows that the fire activity caused by lightning discharges in Western Siberia may vary from 5 to 43% from month to month. These maximum values are observed in the central part of the territory in July. However, generally over the entire warm season, the probability is the highest in the northern part, where it can reach to ~30%, while in the southern one, it reaches up to ~20%.

4. Discussion

This research compares the spatial and temporal variability of lightning activity and wildfires and their probability analysis in several natural-geographical zones of Western Siberia for 2016–2021.
It was revealed that the areas of the highest lightning activity were observed over the territories occupied by boreal forests and the highest hotspot density, in contrast, was observed in croplands, savannas, and mixed forests. The number of fires in the southern part of the territory was about 1.5 times higher than in the northern part, and the fire season is longer. Due to the high population density in the southern part, in comparison with the northern part of the territory, the highest number of fires could be caused by anthropogenic factors. However, for the territory of Western Siberia, there are areas where maximum values of indicated parameters coincided; for instance, they coincided in the southWestern part of the territory (near Khanty-Mansiysk and Tyumen), in the mountain regions (Kuznetsk Alatau, Altai), and in the northern part of Kazakhstan. Such distribution is mainly explained by topographic and climatic factors [17,34].
Although the northern regions in Western Siberia have the lowest values of the total number of fires and lightning, the greatest similarity of their temporal variability during the period of 2016–2021 is observed in this region. In the central and southern parts, this similarity is observed only in some years, for example in 2017. The lightning variability in this year can be explained by the maximum frequency (during the period of 2010–2019) of mesoscale convective complexes occurrence, where thunderstorms can develop [38]. Similarly, since these complexes were predominantly formed in air mass genetic type, we can speak about the major role of regional features of atmospheric circulation in the formation of intense thunderstorm activity this year, which can lead to more fire occurrence.
Differences in lightning activity (with a maximum in July) and hotspots (with maximum in April) in the central and southern regions of Western Siberia could be due to the influence of human activity (the beginning of agricultural season, in particular) as the main cause of fires. Here fuel moisture (litter) characteristics also play an important role, also in addition to such meteorological parameters as air temperature, atmospheric precipitation and snow cover duration, depth, and its date of melting should also be considered [10,37]. Moreover, an increase in the number and duration of droughts in the spring contributes to an increase in forest fire danger [10].
It is noteworthy that LIWs are the most dangerous for boreal forests and for the ecologically vulnerable region of the Arctic. However, there is difficulty in their timely detection. In the regard, thunderstorms are an underestimated threat to Russia’s forests in the mid-latitudes, and the precision with which the characteristics of lightning activity for the examined area are estimated is a matter of high importance [39].
At the present time, there are several sources of data on lightning activity for the region of study: lighting detectors, satellite data, gridded data. Visual and instrumental observations with lightning detectors were the only sources of information about thunderstorms until the end of the 20th century, which made it impossible to obtain reliable estimates of the density of lightning discharges over a given area. Since the 1990s, meteorological satellites have been an additional source of information regarding thunderstorms: Optical Transient Detector (OTD) on the MicroLab-1 satellite, the Lightning Imaging Sensor (LIS) on the TRMM (Tropical Rainfall Measuring Mission) satellite [33]. Satellite systems have been used to monitor the locations and extent of active fires and burned scars worldwide, such as AVHRR, MODIS, or VIIRS [40]. However, to achieve the main goal of the article, datasets that cover the study area and provide reliable information on thunderstorm activity with high spatial and temporal resolution are required. Best of all, the criteria above correspond to the data of WWLLN. The network has been in operation since 2001, under the direction of the University of Washington (USA), and currently has over 70 sensors, including five in the Russian Federation [28].
According to recent studies, the worldwide average efficiency of lightning detection for WWLLN is about 30% [41]. Assessment of the WWLLN detection efficiency by comparison to the Lightning Imaging Sensor (LIS) illustrates that almost 70% of the strokes detected by WWLLN in the LIS field of view were matched with flashes detected by LIS with a mean (median) time difference and distance of 114 ms (24 ms) and 10 km (9 km), respectively. Around 30% of strokes detected by WWLLN in the LIS field of view were not assigned to any flash detected by LIS. These unmatched strokes correspond to cloud-to-ground lightning, given that LIS displays a lower detection efficiency for this type of discharge while WWLLN preferentially detects these kind of events [42]. This feature of WWLLN is favorable for this study since cloud-to-ground lightnings are the cause of fires.
While the WWLLN does not capture every lightning stroke and underestimates stroke density at peak periods, it represents a unique, open-access global gridded data of lightning frequency, providing a basis for climatologies that resolve diurnal in addition to seasonal variations in lightning time series [27,43].
Based on the WWLLN data, studies on the variability of lightning activity and on the identification that forest fires to be caused by lightning were carried out for the following regions of Russia: Gorno-Altaisk [35], Tomsk region [21], Yakutia [36]. Currently, the territory of Western Siberia with various natural landscapes (forest ecosystems, peat bog ecosystems, permafrost zones, and savannas) is understudied for this problem. Therefore, in our study, we attempt to assess the impact of lightning activity on the occurrence of fires in a vast region of Western Siberia using an integrated statistical approach.
Descriptive statistics, correlation, and regression analysis allow us to carry out the comparison analysis of hotspots and lightning based on gridded dataset. A probability analysis applied for different regions of the planet [14,19,20] and based on the proximity index and the probability index calculation allows us to classify a fire as likely caused by lightning for western Siberia. The probability analysis applied in this article demonstrated that the fire activity caused by lightning discharges in Western Siberia may vary from 5 % to 43 % from month to month. Generally, over the whole warm season, the highest probability value is observed in the northern part (up to ~30%). It should be noted that these values nearly coincide with the values (up to 37 %) obtained in [10,11] for the Tomsk region using other methods. Despite the large number of fires in the south of the territory, the probability of ignition from lightning is higher in the central and in the northern parts of Western Siberia. This result is also in agreement with a previous study [12].
Concepts such as hotspots and fires should be distinguished. Thus, as presented in Table 1, proportions could not necessarily fit the actual number of fires caused by lightning. As a rule, only one or few hotspots from a wildfire would reveal the real fire location caused by a lightning, while the other hotspots have a probability B > 0, because they are close in space and time to the revealed fire point. Thus, our revealed proportions are a proxy of the LIW activity in Western Siberia. To obtain estimates that are more accurate, fire scar data should be also applied.
There are factors that have impacts on the probability of LIW occurrence and holdover duration. Among them, for instance, are fuel (e.g., litter depth, moisture, and flammability) and thunderstorm characteristics (e.g., timing and velocity) [14]. Some lightning-caused fires may smolder (i.e., combustion without flaming) up to days depending on the fuel characteristics and weather conditions after ignition [9,20]. The duration of the smoldering survival phase is generally short (i.e., it decreases exponentially with increasing time, and most of the holdover fires last for less than 24 to 48 h) [6,17]. Conversely, holdover durations in boreal forests are longer [44] than in tropical ecosystems [17]. The fire in the forest fuel material caused by lightning can smolder inside the trunk for a certain time until favorable conditions for its development into a forest fire [15]. Therefore, for boreal forests, it seems that 10 consecutive dry days is an important consideration for fire potential [16].
Despite the fact that the choice of the distance parameter was based on the spatial accuracy of lightning data (~10 km), for some wildfires, more restrictive methods should be applied, such as a 5-km search radius or the individual radius approach [17]. The calculation error (in the dependence of changes in the distance parameter) also should be derived, and that will be the future goal of this research.
Fire activity is also influenced by weather factors, such as the amount and duration of precipitation, air temperature, relative humidity, number of days since rain started, snow cover characteristics, etc. [15]. This is important, because without the formation of relevant weather conditions, fire will not be ignited even when lightning occurs. A dry thunderstorm (i.e., when lightning is located without rain nearby) has a significant impact on the fire occurrence probability. For example, it was found that if less than 1 mm of precipitation fell during a thunderstorm, the risk of fire from lightning strikes was four times greater than if precipitation fell [45]. Dry thunderstorms are a hazardous convective phenomenon that causes natural fires, and the study provided in this article is the first step toward identifying them, which is highly important against the background of climate extremality increase in Western Siberia projected to last until the end of the 21st century [46]. To continue the research, the characteristics of atmospheric precipitation and fuel moisture content will be also included in the analysis; a comprehensive approach is required, considering all relevant elements.

5. Conclusions

This research compares the spatial and temporal variability of lightning activity and wildfires in several natural-geographical zones of Western Siberia from 2016–2021, based on the WWLLN and the MODIS data.
It was revealed that the highest lightning activity is observed over the areas with boreal forests, and the highest hotspot density, in contrast, is observed in croplands, savannas, and mixed forests. The number of fires in the southern part of the territory is about 1.5 times higher than in the northern part, and the fire season is longer, which could be caused by the enhanced influence of anthropogenic factors. However, the areas with maximum values of indicated parameters coincided in the southwestern part of the territory (near Khanty-Mansiysk and Tyumen), in the mountain regions (Kuznetsk Alatau, Altai), and in the northern part of Kazakhstan. This similarity in the central and southern parts is clearly pronounced in 2017, which could be explained by the regional atmospheric circulation variability.
As for seasonal variability, maximum values of lightning occur in July for the whole territory of Western Siberia, and maximum values of hotspots occur in April in the central and southern regions of Western Siberia.
It was established that in most considered areas of the region, the relationship between lightning and hotspots is positive. However, correlation coefficients are low and statistically insignificant.
The probability analysis, based on calculation in the borders of each cell and on proximity index calculation (applying distance parameters and temporal windows), had similar results. However, the second method makes it possible to obtain values that are more accurate; the probability analysis applied in this article illustrated that the fire activity caused by lightning discharges in Western Siberia may vary from 5 to 43% during the warm seasons over a 6-year period. Despite the largest number of fires in the south of the territory, the probability of ignition from lightning over the whole warm season is higher in the northern parts of Western Siberia (~20% in the south and ~30% in the north).
Thus, the findings in the study on the spatial and temporal variability of lightning activity, in addition to the number of hotspots, their associations, and the estimation of lightning-ignited fire probability allows us to better understand these events’ variability (particularly considering the lack of studies in this direction for the region) and to identify the areas with the greatest risk of fire danger from lightning. The results of this study will help to improve the assessment of fire regime in different Siberian regions. However, other climatic parameters, such as atmospheric precipitation, air and soil temperature-humidity characteristics, and fire scar data should be considered in the future to identify the phenomenon of dry thunderstorms and their influence on fire occurrence in more detail. It is important to assess the conditions that lead to the formation of dry thunderstorms in various natural zones across the Western Siberia, which will help specify climatic models and improve the fire prevention measures in the regions.

Author Contributions

Conceptualization and methodology, E.K., E.M. and K.P.; data resources and curation, K.P. and E.M.; software, K.P.; investigation, E.K.; analysis, O.N. and E.M.; visualization, K.P. and E.M.; writing—original draft, E.K., E.M. and K.P.; writing—review and editing, E.K. and O.N.; funding acquisition, E.K.; supervision and project administration: E.K. All authors have read and agreed to the published version of the manuscript.

Funding

This research is supported by Russian Science Foundation (RSF), project # 22-27-00494, https://www.rscf.ru/en/project/22-27-00494 (accessed on 18 April 2022).

Institutional Review Board Statement

Not applicable.

Informed Consent Statement

Not applicable.

Data Availability Statement

Not applicable.

Conflicts of Interest

The authors declare no conflict of interest.

References

  1. Hantson, S.; Arneth, A.; Harrison, S.P.; Kelley, D.I.; Prentice, I.C.; Rabin, S.S.; Archibald, S.; Mouillot, F.; Arnold, S.R.; Artaxo, P.; et al. The status and challenge of global fire modelling. Biogeosciences 2016, 13, 3359–3375. [Google Scholar] [CrossRef] [Green Version]
  2. Gillett, N.P.; Weaver, A.J.; Zwiers, F.W.; Flannigan, M.D. Detecting the effect of climate change on Canadian forest fires. Geophys. Res. Lett. 2004, 31, 18211. [Google Scholar] [CrossRef] [Green Version]
  3. WMO Statement on the State of the State of the Global Climate in 2017; WMO: Geneva, Switzerland, 2018; Volume 1212, p. 35.
  4. Fill, J.M.; Davis, C.N.; Crandall, R.M. Climate change lengthens southeastern USA lightning-ignited fire seasons. Glob. Chang. Biol. 2019, 25, 3562–3569. [Google Scholar] [CrossRef] [PubMed]
  5. Jain, P.; Wang, X.; Flannigan, M.D. Trend analysis of fire season length and extreme fire weather in North America between 1979 and 2015. Int. J. Wildland Fire 2018, 26, 1009–1020. [Google Scholar] [CrossRef]
  6. Schultz, C.J.; Nauslar, N.J.; Wachter, J.B.; Hain, C.R.; Bell, J.R. Spatial, temporal, and electrical characteristics of lightning in reported lightning-initiated wildfire events. Fire 2019, 2, 18. [Google Scholar] [CrossRef] [Green Version]
  7. Kanickaya, L.V. Lesnaya Pirologiya: Uchebnoe Posobie; BGUEP: Irkutsk, Russia, 2013; p. 206. (In Russian) [Google Scholar]
  8. Anderson, N.F.; Grainger, C.A. Characteristics of strong updrafts in precipitation systems over the central tropical pacific ocean and in the amazon. J. Appl. Meteorol. 2004, 44, 731–738. [Google Scholar] [CrossRef]
  9. Pineda, N.; Rigo, T. The rainfall factor in lightning-ignited wildfires in Catalonia. Agr. For. Meteorol. 2017, 239, 249–263. [Google Scholar] [CrossRef]
  10. Gorbatenko, V.P.; Volkova, M.A.; Nosyreva, O.V.; Zhuravlev, G.G.; Kuzhevskaia, I.V. Influence of climatic conditions on Western Siberian forest fires. In Predicting, Monitoring, and Assessing Forest Fire Dangers and Risks; IGI Global: Tomsk, Russia, 2020; pp. 269–293. [Google Scholar]
  11. Baranovskiy, N.V.; Krechetova, S.; Belikova, M.; Perelygin, A. WWLLN data cluster analysis methods for lightning-caused forest fires monitoring. Int. J. Elect. Comput. Engin. 2017, 6, 3112–3120. [Google Scholar]
  12. Eliseev, A.V.; Mokhov, I.I.; Chernokulsky, A.V. The influence of lightning activity and anthropogenic factors on large-scale characteristics of natural fires. Izv. Atmos. Ocean. Phys. 2017, 53, 1–11. [Google Scholar] [CrossRef]
  13. Chen, Y.; Romps, D.M.; Seeley, J.T.; Veraverbeke, S.; Riley, W.J.; Mekonnen, Z.A.; Randerson, J.T. Future increases in Arctic lightning and fire risk for permafrost carbon. Nat. Clim. Chang. 2021, 11, 404–410. [Google Scholar] [CrossRef]
  14. Larjavaara, M.; Kuuluvainen, T.; Rita, H. Spatial distribution of lightning-ignited forest fires in Finland. For. Ecol. Manag. 2005, 208, 177–188. [Google Scholar] [CrossRef]
  15. Vasiliev, M.S.; Boroyev, R.N. Remote method determining the formation of forest fires from thunderstorms on the example of Yakutia. Atmos. Phys. 2020, 11560, 115605O. [Google Scholar]
  16. Peterson, D.; Wang, J.; Ichoku, C.; Remer, L.A. Effects of lightning and other meteorological factors on fire activity in the North American boreal forest: Implications for fire weather forecasting. Atmos. Chem. Phys. 2010, 10, 6873–6888. [Google Scholar] [CrossRef] [Green Version]
  17. Moris, J.V.; Conedera, M.; Nisi, L.; Bernardi, M.; Cesti, G.; Pezzatti, G.B. Lightning-caused fires in the Alps: Identifying the igniting strokes. Agric. For. Meteorol. 2020, 290, 107990. [Google Scholar] [CrossRef]
  18. Podschwit, H.; Cullen, A. Patterns and trends in simultaneous wildfire activity in the United States from 1984 to 2015. Int. J. Wildl. Fire 2020, 19, 541–557. [Google Scholar] [CrossRef]
  19. Pérez-Invernón, F.J.; Huntrieser, H.; Soler, S.; Gordillo-Vázquez, F.J.; Pineda, N.; Navarro-González, J.; Reglero, V.; Montanyà, J.; van der Velde, O.; Koutsias, N. Lightning-ignited wildfires and long-continuing-current lightning in the Mediterranean Basin: Preferential meteorological conditions. Atmos. Chem. Phys. 2021, 21, 17529–17557. [Google Scholar] [CrossRef]
  20. Menezes, L.S.; de Oliveira, A.M.; Santos, F.L.M.; Russo, A.; de Souza, R.A.F.; Roque, F.O.; Libonati, R. Lightning patterns in the Pantanal: Untangling natural and anthropogenic-induced wildfires. Sci. Total Environ. 2022, 820, 153021. [Google Scholar] [CrossRef]
  21. Baranovskiy, N.V. The Development of application to software origin pro for informational analysis and forecast of forest fire danger caused by thunderstorm activity. J. Automat. Inform. Sci. 2019, 51, 12–23. [Google Scholar] [CrossRef]
  22. Agafontsev, M.V.; Kasymov, D.P. Estimation of the parameters of combustion of the surface of natural combustible materials by the thermography method. J. Eng. Phys. Thermophys. 2020, 93, 998–1003. [Google Scholar] [CrossRef]
  23. Ivanov, V.A.; Korshunov, N.A.; Matveev, P.M. Fire from Lightning in the Forests of Krasnoyarsk Angara; SibGTU: Krasnoyarsk, Russia, 2004; 132p, (In Russian with English Summary). [Google Scholar]
  24. Mokhov, I.I.; Bondur, V.G.; Sitnov, S.A. Satellite monitoring of wildfires and emissions into the atmosphere of combustion products in Russia: Relation to atmospheric blockings. Dokl. Earth Sci. 2020, 495, 921–924. [Google Scholar] [CrossRef]
  25. Sherstyukov, B.G.; Sherstyukov, A.B. Ocenki tendencij usilij lesnyh pozharov v Rossii do konca XXI v. Po dannym scenarnyh eksperimentov klimaticheskih modelej pyatogo pokoleniya. Russ. Meteorol. Hydrol. 2014, 5, 17–30. (In Russian) [Google Scholar]
  26. Hutchins, M.; Holzworth, R.; Rodger, C.; Brundell, J. Far-field power of lightning strokes as measured by the world wide lightning location network. J. Atmos. Ocean. Technol. 2012, 29, 1102–1110. [Google Scholar] [CrossRef]
  27. Virts, K.S.; Wallace, J.M.; Hutchins, M.L.; Holzworth, R.H. Highlights of a new ground-based, hourly global lightning climatology. Bull. Amer. Meteor. Soc. 2013, 94, 1381–1391. [Google Scholar] [CrossRef] [Green Version]
  28. World Wide Lightning Location Network. Available online: https://wwlln.net/ (accessed on 13 April 2022).
  29. Fire Information for Resource Management System. Available online: https://firms.modaps.eosdis.nasa.gov/ (accessed on 13 April 2022).
  30. Worldview. Available online: https://worldview.earthdata.nasa.gov/ (accessed on 13 April 2022).
  31. Von Storch, H.; Zwiers, F.W. Statistical Analysis in Climate Research; Cambridge University Press: Cambridge, UK, 1999; p. 484. ISBN 0-521-45071-3. [Google Scholar]
  32. Kabanov, M.V. Issledovanie Prirodno-Klimaticheskih Processov na Territorii Bol’shogo Vasyuganskogo Bolota. Otv. Red. Ros. Akad. Nauk, Sib. Otd-nie, in-t Monitoringa Klimaticheskih i Ekologicheskih System; Izd-vo SO RAN: Novosibirsk, Russia, 2012; p. 243. (In Russian) [Google Scholar]
  33. Gorbatenko, V.P.; Ershova, T.V.; Konstantinova, D.A. Spatial distribution of lightning discharges density to ground in Western Siberia. Tomsk State Univ. J. 2009, 329, 251–255. (In Russian) [Google Scholar]
  34. Müller, M.M.; Vacik, H.; Diendorfer, G. Analysis of lightning-induced forest fires in Austria. Theor. Appl. Clim. 2013, 111, 183–193. [Google Scholar] [CrossRef] [Green Version]
  35. Karanina, S.; Kocheeva, N.; Belikova, M.; Baranovskiy, N. Analysis of a thunderstorm activity according to WWLLN: A case study. Int. Rev. Electr. Eng. 2018, 13, 69. [Google Scholar] [CrossRef]
  36. Tarabukina, L.; Kozlov, V. Seasonal variability of lightning activity in Yakutia in 2009–2019. Atmosphere 2020, 11, 918. [Google Scholar] [CrossRef]
  37. Wotton, B.M. Interpreting and using outputs from the Canadian forest fire danger rating system in research applications. Environ. Ecol. Stat. 2009, 16, 107–131. [Google Scholar] [CrossRef]
  38. Koshikova, T.S.; Pustovalov, K.N.; Zhukova, V.A.; Kuzhevskaya, I.V.; Nagorskiy, P.M. The spatio-temporal distribution of mesoscale convective complexes over Southeastern Western Siberia. Geosfernye Res. 2021, 3, 115–124. [Google Scholar]
  39. Gorbatenko, V.P.; Gromnickaya, A.A.; Konstantinova, D.A.; Ershova, T.V.; Nechepurenko, O.E. Ocenka roli klimaticheskih faktorov v vozniknovenii i rasprostranenii lesnyh pozharov na territorii tomskoj oblasti. Vestnik TGU 2015, 395, 233–240, (In Russian with English Summary). [Google Scholar]
  40. Li, P.; Xiao, C.; Feng, Z.; Li, W.; Zhang, X. Occurrence frequencies and regional variations in Visible Infrared Imaging Radiometer Suite (VIIRS) global active fires. Glob. Chang. Biol. 2020, 26, 2970–2987. [Google Scholar] [CrossRef] [PubMed]
  41. Inchin, A.; Shpadi, Y.; Lozbin, A.; Shpadi, M.; Inchin, P. The initial results of spatial-temporal distribution research of the lightning discharges in Kazakhstan. Curr. World Environ. 2017, 12, 197–203. [Google Scholar] [CrossRef]
  42. Burgesseur, R.E. Assessment of the World Wide Lightning Location Network (WWLLN) detection efficiency by comparison to the Lightning Imaging Sensor (LIS). Q. J. R. Meteorol. Soc. 2017, 143, 2809–2817. [Google Scholar] [CrossRef]
  43. Kaplan, J.O.; Lau, K.H.K. The WGLC global gridded lightning climatology and time series. Earth Syst. Sci. Data 2021, 13, 3219–3237. [Google Scholar] [CrossRef]
  44. Wotton, B.M.; Martell, D.L. A lightning fire occurrence model for Ontario. Can. J. For. Res. 2005, 35, 1389–1401. [Google Scholar] [CrossRef]
  45. Dowdy, A.J.; Mills, G.A. Atmospheric States Associated with the Ignition of Lightning-Attributed Fires; Centre for Australian Weather and Climate Research: Melbourne, VIC, Australia, 2009; p. 35. [Google Scholar]
  46. Kharyutkina, E.V.; Loginov, S.V.; Moraru, E.I.; Pustovalov, K.N.; Martynova, Y.V. Dynamics of climate extremes and trends of dangerous meteorological phenomena in Western Siberia. Opt. Atmos. Okeana 2022, 35, 136–142, (In Russian with English summary). [Google Scholar] [CrossRef]
Figure 1. The spatial distribution over Western Siberia for the warm season from 2016 to 2021: lightning discharge density (flashes per km2 per year) (a) and hotspots density (hotspots number per km2 per year) (b).
Figure 1. The spatial distribution over Western Siberia for the warm season from 2016 to 2021: lightning discharge density (flashes per km2 per year) (a) and hotspots density (hotspots number per km2 per year) (b).
Atmosphere 13 00669 g001
Figure 2. Vegetation and selected natural zones for Western Siberia on July 15, 2016: 1—Northern part; 2—Central part; 3—Southern part; 4—The Great Vasyugan Mire; 5—Permanent wetlands.
Figure 2. Vegetation and selected natural zones for Western Siberia on July 15, 2016: 1—Northern part; 2—Central part; 3—Southern part; 4—The Great Vasyugan Mire; 5—Permanent wetlands.
Atmosphere 13 00669 g002
Figure 3. Statistical characteristics for natural zones in Western Siberia for the warm season from 2016 to 2021: lightning discharge density (flashes per km2 per year) (a) and hotspots density (hotspots number per km2 per year) (b).
Figure 3. Statistical characteristics for natural zones in Western Siberia for the warm season from 2016 to 2021: lightning discharge density (flashes per km2 per year) (a) and hotspots density (hotspots number per km2 per year) (b).
Atmosphere 13 00669 g003
Figure 4. Interannual variability of total number of hotspots and total number of flashes in Western Siberia during the warm season from 2016 to 2021.
Figure 4. Interannual variability of total number of hotspots and total number of flashes in Western Siberia during the warm season from 2016 to 2021.
Atmosphere 13 00669 g004
Figure 5. Seasonal variability in the total number of lightning (left column) and hotspots (right column) in Western Siberia from 2016 to 2021.
Figure 5. Seasonal variability in the total number of lightning (left column) and hotspots (right column) in Western Siberia from 2016 to 2021.
Atmosphere 13 00669 g005
Figure 6. Relationship between the total number of hotspots and the total number of lightning strikes per warm season (May–September) in Western Siberia from 2016 to 2021.
Figure 6. Relationship between the total number of hotspots and the total number of lightning strikes per warm season (May–September) in Western Siberia from 2016 to 2021.
Atmosphere 13 00669 g006aAtmosphere 13 00669 g006b
Figure 7. Spatial distribution of the probability values between the number of lightning and hotspots in Western Siberia during the warm season of 2016–2021: left panel—cases in each cell with smolder period 1 day (P), right panel—cases applying D m a x = 10 km and Δ t m a x = 10 days (B).
Figure 7. Spatial distribution of the probability values between the number of lightning and hotspots in Western Siberia during the warm season of 2016–2021: left panel—cases in each cell with smolder period 1 day (P), right panel—cases applying D m a x = 10 km and Δ t m a x = 10 days (B).
Atmosphere 13 00669 g007
Table 1. Relation (in %) of total number of hotspots that are likely caused by lightning discharge (B > 0) to total number of hotspots in Western Siberia over the period of 2016–2021.
Table 1. Relation (in %) of total number of hotspots that are likely caused by lightning discharge (B > 0) to total number of hotspots in Western Siberia over the period of 2016–2021.
AreasMonths
MayJuneJulyAugustSeptemberWarm Season
Area 1 (65–75° N, 60–95° E)7.124.437.123.75.130.2
Area 2 (55–65° N, 60–95° E)8.336.243.130.712.824.9
Area 3 (45–55° N, 60–95° E)9.133.531.616.710.319.5
Publisher’s Note: MDPI stays neutral with regard to jurisdictional claims in published maps and institutional affiliations.

Share and Cite

MDPI and ACS Style

Kharyutkina, E.; Pustovalov, K.; Moraru, E.; Nechepurenko, O. Analysis of Spatio-Temporal Variability of Lightning Activity and Wildfires in Western Siberia during 2016–2021. Atmosphere 2022, 13, 669. https://doi.org/10.3390/atmos13050669

AMA Style

Kharyutkina E, Pustovalov K, Moraru E, Nechepurenko O. Analysis of Spatio-Temporal Variability of Lightning Activity and Wildfires in Western Siberia during 2016–2021. Atmosphere. 2022; 13(5):669. https://doi.org/10.3390/atmos13050669

Chicago/Turabian Style

Kharyutkina, Elena, Konstantin Pustovalov, Evgeniia Moraru, and Olga Nechepurenko. 2022. "Analysis of Spatio-Temporal Variability of Lightning Activity and Wildfires in Western Siberia during 2016–2021" Atmosphere 13, no. 5: 669. https://doi.org/10.3390/atmos13050669

APA Style

Kharyutkina, E., Pustovalov, K., Moraru, E., & Nechepurenko, O. (2022). Analysis of Spatio-Temporal Variability of Lightning Activity and Wildfires in Western Siberia during 2016–2021. Atmosphere, 13(5), 669. https://doi.org/10.3390/atmos13050669

Note that from the first issue of 2016, this journal uses article numbers instead of page numbers. See further details here.

Article Metrics

Back to TopTop