The Electric Field of the Undisturbed Atmosphere in the South of Western Siberia: A Case Study on Tomsk
Abstract
1. Introduction
2. Materials and Methods

- Total cloud cover did not exceed 5/10 (4 oktas) during the three hours preceding the time of observation and at the current synoptic hour (00, 03, 06, 09, 12, 15, 18, and 21 UTC);
- No low stratus clouds and clouds of vertical development during the preceding and current synoptic hours;
- No thunderstorms, precipitation, fog, haze, snowstorms, sand and dust storms, and smoke condition during the preceding and current synoptic hours;
- Mean wind speed (measured at 10 m) less than 6 m/s during the preceding and current synoptic hours at the Tomsk weather station.
3. Results
3.1. Annual Variations in the Potential Gradient
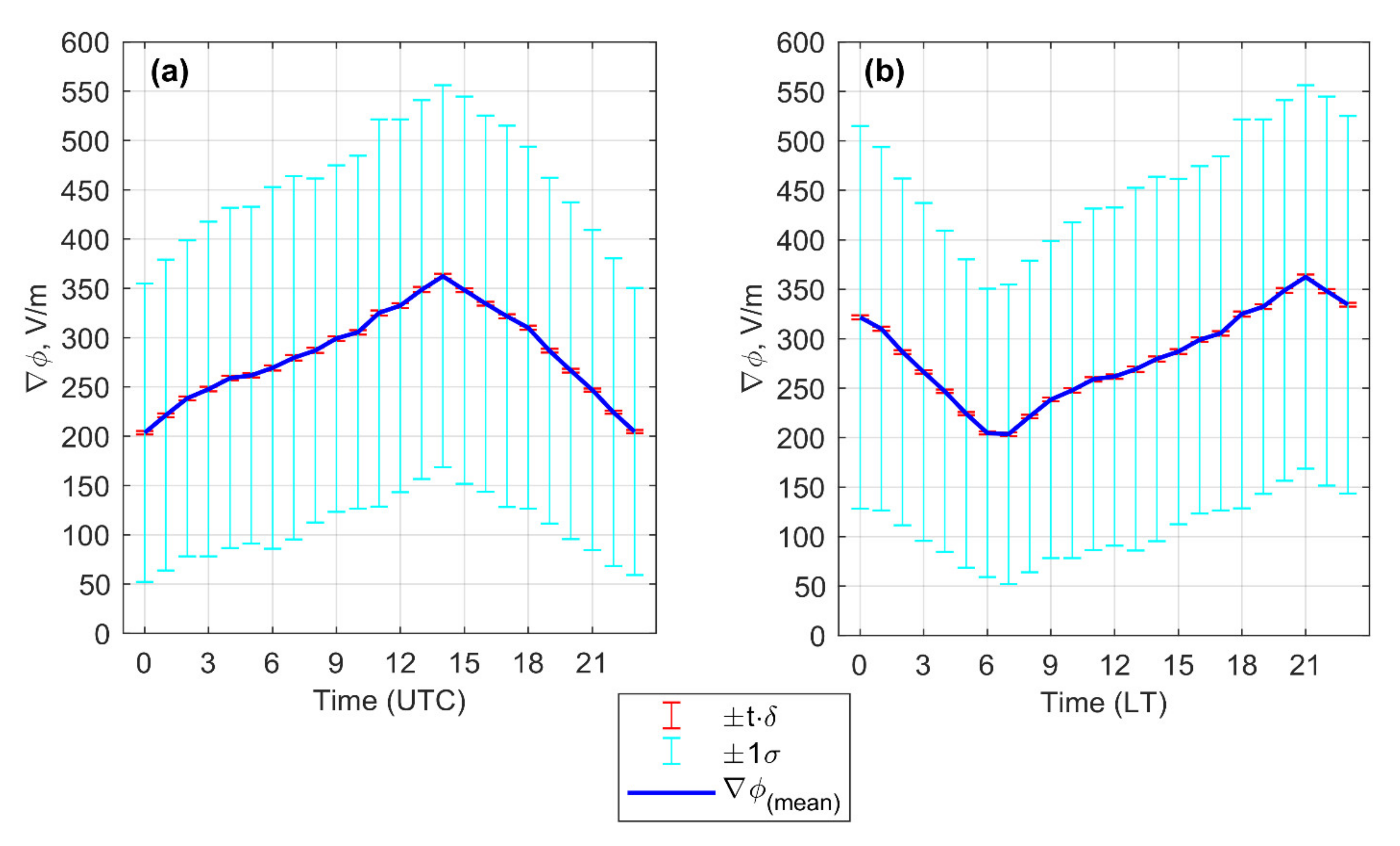
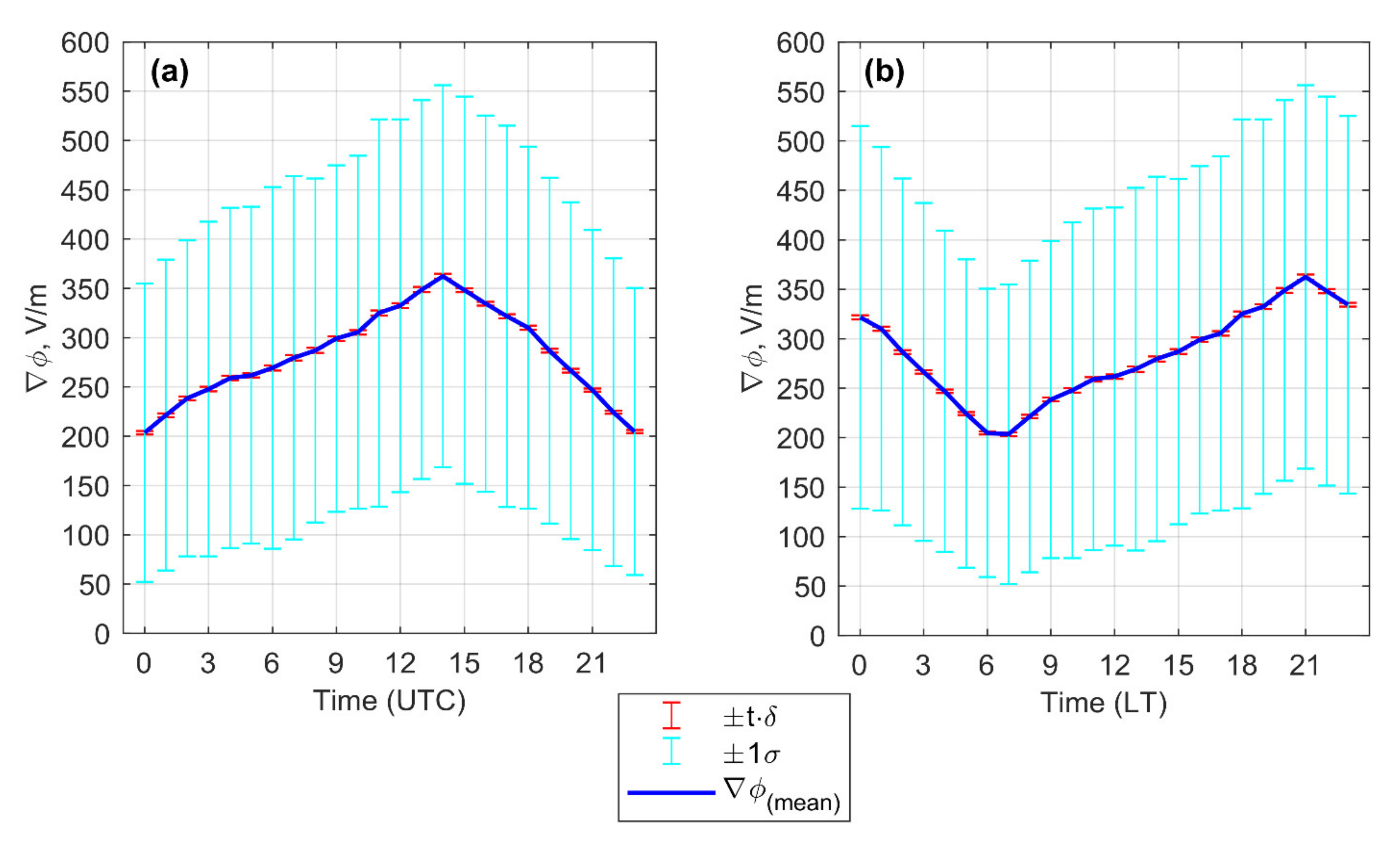
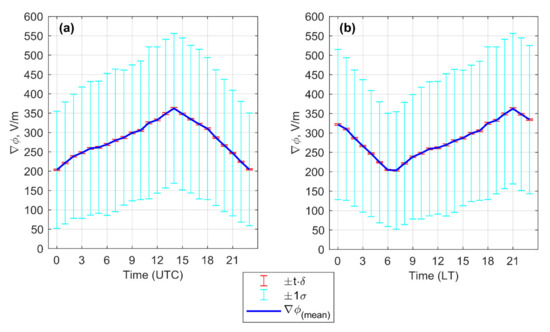
3.2. Diurnal Variations in the Potential Gradient
3.3. Seasonal Variations of the Potential Gradient
4. Discussion
5. Conclusions
- The annual average in the potential gradient in Tomsk is 282 V/m, within a range of between 161 and 372 V/m;
- A lognormal distribution describes the variations in potential gradient values in Tomsk under fair weather conditions;
- On average, the diurnal variations in potential gradient per year are characterized by oscillations of the continental type with a double maximum and minimum;
- Variations have a main minimum of 00 UTC and a main maximum of 14 UTC;
- The diurnal variability in potential gradient accounts for around 56% of the annual average value;
- The changes over the course of a day, normalized by the average potential gradient values, are generally consistent with the daily pattern known as the Carnegie curve; however, their minimum and maximum are shifted relative to the curve by an earlier time (by 3 and 5 h, respectively);
- Most of the diurnal variability of the potential gradient in Tomsk is related to variations in global horizontal irradiance and, as a consequence, air temperature variations; convective disturbances and turbulent mixing change as air temperature varies, causing radon and its decay products (radionuclides) as well as aerosol particles to redistribute in the atmosphere;
- The observed diurnal variations in the potential gradient are driven by diurnal changes in radionuclides and aerosol particles;
- The annual variability in monthly average potential gradient values is 41% of the long-term mean;
- According to the annual mode, the maximum potential gradient is observed in February, and the minimum in June;
- The seasonal variations in background radiation and aerosol air pollution, which are strongly related to changes in air temperature, wind speed, and snow cover, can partially explain the patterns of season changes in the potential gradient observed in Tomsk.
Author Contributions
Funding
Institutional Review Board Statement
Informed Consent Statement
Data Availability Statement
Conflicts of Interest
Appendix A
| Conditions | 2006 | 2007 | 2008 | 2009 | 2010 | 2011 | 2012 | 2013 | 2014 | 2015 | 2016 | 2017 | 2018 | 2019 | 2020 | Sum | |
|---|---|---|---|---|---|---|---|---|---|---|---|---|---|---|---|---|---|
| Number of the potential gradient values, 103 | Fair- weather | 38 | 35 | 17 | 30 | - | 29 | 73 | 45 | 18 | 53 | 85 | 20 | 86 | 64 | 52 | 645 |
| Different- weather | 214 | 312 | 255 | 201 | - | 133 | 448 | 455 | 161 | 302 | 458 | 265 | 495 | 436 | 514 | 4649 | |
| Total data period, days | Fair- weather | 26.4 | 24.3 | 11.8 | 20.8 | - | 20.1 | 50.7 | 31.3 | 12.5 | 36.8 | 59.0 | 13.9 | 59.7 | 44.4 | 36.1 | 447.9 |
| Different- weather | 148.6 | 216.7 | 177.1 | 139.6 | - | 92.7 | 311.1 | 316.0 | 111.8 | 209.7 | 318.1 | 184.0 | 343.8 | 302.8 | 356.9 | 3228.5 | |
| 2006 | 2007 | 2008 | 2009 | 2010 | 2011 | 2012 | 2013 | 2014 | 2015 | 2016 | 2017 | 2018 | 2019 | 2020 | Mean |
|---|---|---|---|---|---|---|---|---|---|---|---|---|---|---|---|
| 17.8 | 11.2 | 6.7 | 14.9 | - | 21.8 | 16.3 | 9.9 | 11.2 | 17.6 | 18.6 | 7.6 | 17.4 | 14.7 | 10.1 | 14.0 |
| Period | Mean, V/m | Standard Deviation, V/m | Median, V/m | Interquartile Range, V/m | 5th Percentile, V/m | 25th Percentile, V/m | 75th Percentile, V/m | 95th Percentile, V/m |
|---|---|---|---|---|---|---|---|---|
| January | 249 | 238 | 197 | 320 | −30 | 60 | 379 | 740 |
| February | 338 | 213 | 299 | 256 | 53 | 195 | 451 | 780 |
| March | 318 | 192 | 300 | 231 | 30 | 193 | 424 | 664 |
| April | 312 | 157 | 281 | 184 | 123 | 203 | 387 | 612 |
| May | 258 | 133 | 234 | 151 | 87 | 176 | 327 | 498 |
| June | 223 | 128 | 212 | 139 | 59 | 139 | 278 | 442 |
| July | 224 | 139 | 227 | 150 | 10 | 146 | 296 | 450 |
| August | 228 | 107 | 214 | 130 | 85 | 154 | 284 | 425 |
| September | 289 | 166 | 263 | 207 | 87 | 169 | 376 | 627 |
| October | 315 | 157 | 284 | 194 | 123 | 203 | 397 | 612 |
| November | 276 | 206 | 245 | 269 | 15 | 120 | 389 | 682 |
| December | 331 | 194 | 300 | 250 | 72 | 193 | 444 | 695 |
| Year | 282 | 182 | 252 | 211 | 37 | 161 | 372 | 638 |
| Time (UTC/LT) | Absolute Values ∇ϕ,V/m | Relative Values ∇ϕ,% of the Mean | Time(UTC/LT) | Absolute Values ∇ϕ,V/m | Relative Values ∇ϕ,% of the Mean |
|---|---|---|---|---|---|
| 00/07 | 203 | 72 | 12/19 | 332 | 118 |
| 01/08 | 221 | 78 | 13/20 | 349 | 123 |
| 02/09 | 239 | 84 | 14/21 | 362 | 128 |
| 03/10 | 248 | 88 | 15/22 | 348 | 123 |
| 04/10 | 259 | 92 | 16/23 | 334 | 118 |
| 05/11 | 262 | 93 | 17/00 | 322 | 114 |
| 06/12 | 269 | 95 | 18/01 | 310 | 110 |
| 07/13 | 280 | 99 | 19/02 | 287 | 101 |
| 08/14 | 287 | 102 | 20/03 | 266 | 94 |
| 09/15 | 299 | 106 | 21/04 | 247 | 87 |
| 10/17 | 305 | 108 | 22/05 | 224 | 79 |
| 11/18 | 325 | 115 | 23/06 | 205 | 72 |

| Period | Mean, V/m | Standard Deviation, V/m | Median, V/m | Interquartile Range, V/m | 5th Percentile, V/m | 25th Percentile, V/m | 75th Percentile, V/m | 95th Percentile, V/m |
|---|---|---|---|---|---|---|---|---|
| January | 202 | 355 | 164 | 277 | −184 | 30 | 307 | 712 |
| February | 217 | 327 | 203 | 285 | −197 | 72 | 357 | 721 |
| March | 164 | 478 | 191 | 263 | −307 | 45 | 307 | 574 |
| April | 187 | 899 | 229 | 218 | −316 | 124 | 342 | 606 |
| May | 124 | 1043 | 205 | 213 | −525 | 101 | 314 | 555 |
| June | 180 | 838 | 211 | 160 | −87 | 131 | 292 | 484 |
| July | 177 | 787 | 207 | 187 | −117 | 121 | 307 | 515 |
| August | 196 | 717 | 214 | 161 | −56 | 139 | 300 | 493 |
| September | 163 | 629 | 188 | 191 | −176 | 102 | 293 | 511 |
| October | 168 | 738 | 180 | 229 | −300 | 63 | 293 | 580 |
| November | 214 | 553 | 169 | 257 | −203 | 53 | 310 | 735 |
| December | 174 | 347 | 161 | 263 | −212 | 30 | 293 | 614 |
| Year | 180 | 680 | 195 | 221 | −218 | 86 | 307 | 588 |



References
- Harrison, R.G. The Carnegie Curve. Surv. Geophys. 2013, 34, 209–232. [Google Scholar] [CrossRef]
- Nicoll, K.A.; Harrison, R.G.; Barta, V.; Bor, J.; Brugge, R.; Chillingarian, A.; Chum, J.; Georgoulias, A.K.; Guha, A.; Kourtidis, K.; et al. A global atmospheric electricity monitoring network for climate and geophysical research. J. Atmos. Terr. Phys. 2019, 184, 18–29. [Google Scholar] [CrossRef]
- Anisimov, S.V.; Afinogenov, K.V.; Shikhova, N. Dynamics of undisturbed midlatitude atmospheric electricity: From observations to scaling. Radiophys. Quantum Electron. 2014, 56, 709–722. [Google Scholar] [CrossRef]
- Toropov, A.A.; Kozlov, V.I.; Karimov, R.R. Variations of the Atmospheric Electric Field by Observations in Yakutsk. Arct. Subarct. Nat. Resour. 2016, 2, 58–65. (In Russian) [Google Scholar]
- Smirnov, S. Annual variation of atmospheric electricity diurnal variation maximum in Kamchatka. EPJ Web Conf. 2021, 254, 01001. [Google Scholar] [CrossRef]
- Yaniv, R.; Yair, Y.; Price, C.; Katz, S. Local and global impacts on the fair-weather electric field in Israel. Atmos. Res. 2016, 172–173, 119–125. [Google Scholar] [CrossRef]
- Smirnov, S.E. Influence of a convective generator on the diurnal behavior of the electric field strength in the near-earth atmosphere in Kamchatka. Geomagn. Aeron. 2013, 53, 515–521. [Google Scholar] [CrossRef]
- Lopes, F.; Silva, H.G.; Bennett, A.J.; Reis, A.H. Global Electric Circuit research at Graciosa Island (ENA-ARM facility): First year of measurements and ENSO influences. J. Electrost. 2017, 87, 203–211. [Google Scholar] [CrossRef]
- Silva, H.G.; Conceição, R.; Melgão, M.; Nicoll, K.; Mendes, P.B.; Tlemçani, M.; Reis, A.H.; Harrison, R.G. Atmospheric electric field measurements in urban environment and the pollutant aerosol weekly dependence. Environ. Res. Lett. 2014, 9, 114025. [Google Scholar] [CrossRef]
- Bennett, A.J.; Harrison, R.G. Variability in surface atmospheric electric field measurements. J. Phys. Conf. Ser. 2008, 142, 012046. [Google Scholar] [CrossRef]
- Bennett, A.J.; Harrison, R.G. Atmospheric electricity in different weather conditions. Weather 2007, 62, 277–283. [Google Scholar] [CrossRef]
- Hoppel, W.A. Theory of the electrode effect. J. Atmos. Terr. Phys. 1967, 29, 708–721. [Google Scholar]
- Israël, H. Atmospheric Electricity: Atmosphèarische Elektrizitèat; National Technical Information Service; US Department of Commerce: Springfield, VA, USA, 1970.
- Hoppel, W.A.; Frick, G.M. Ion-aerosol attachment coefficients and the steady state charge distribution on aerosols in a bipolar ion environment. Aerosol Sci. Technol. 1986, 5, 1–21. [Google Scholar] [CrossRef]
- Kupovykh, G.V.; Morozov, V.N.; Shvarts, Y.M. Theory of the Electrode Effect in the Atmosphere; TSURE Publishing: Taganrog, Russia, 1998. (In Russian) [Google Scholar]
- Petrov, A.I.; Petrova, G.G.; Panchishkina, I.N. Profiles of polar conductivities and radon-222 concentration in the atmosphere by stable and labile stratification of surface layer. Atmos. Res. 2009, 91, 206–214. [Google Scholar] [CrossRef]
- Morozov, V.N.; Kupovich, G.V. Theory of Electrical Phenomena in Atmosphere; Lap Lambert Academic Publishing: Saarbruken, Germany, 2012. [Google Scholar]
- Anisimov, S.V.; Galichenko, S.V.; Shikhova, N.M.; Afinogenov, K.V. Electricity of the convective atmospheric boundary layer: Field observations and numerical simulation. Izv. Atmos. Ocean. Phys. 2014, 50, 390–398. [Google Scholar] [CrossRef]
- Adzhiev, A.K.; Kupovykh, G.V. Measurements of the Atmospheric Electric Field under High-Mountain Conditions in the Vicinity of Mt. Elbrus. Izv. Atmos. Ocean. Phys. 2015, 51, 633–638. [Google Scholar] [CrossRef]
- Anisimov, S.V.; Galichenko, S.V.; Mareev, E.A. Electrodynamic properties and height of atmospheric convective boundary layer. Atmos. Res. 2017, 194, 119–129. [Google Scholar] [CrossRef]
- Krasnogorskaia, N.V. Electricity of the Lower Layers of the Atmosphere and Methods of Its Measurement; Gidrometeoizdat: Leningrad, Russia, 1972. (In Russian) [Google Scholar]
- Filippov, A.K. Thunderstorms in Eastern Siberia; Gidrometeoizdat: Leningrad, Russia, 1974. (In Russian) [Google Scholar]
- Rakov, V.A.; Uman, M.A. Lightning: Physics and Effects; Cambridge University Press: New York, NY, USA, 2003. [Google Scholar]
- Popov, I.B. Statistical estimations of various of different meteorological phenomena influence on atmospheric electrical potential gradient. Proc. Voeikov Main Geophys. Obs. 2008, 558, 152–161. (In Russian) [Google Scholar]
- Kamra, A.K. Effect of electric field on charge separation by the falling precipitation mechanism in thunderclouds. J. Atmos. Sci. 1970, 27, 1182–1185. [Google Scholar] [CrossRef][Green Version]
- Illingworth, A.J.; Latham, J. Calculations of electric field growth, field structure and charge distributions in thunderstorms. Q. J. R. Meteorol. Soc. 1977, 103, 281–295. [Google Scholar] [CrossRef]
- Chauzy, S.; Raizonville, P. Space charge layers created by coronae at ground level below thunderclouds: Measurements and modeling. J. Geophys. Res. 1982, 87, 3143–3148. [Google Scholar] [CrossRef]
- Chauzy, S.; Médale, J.C.; Prieur, S.; Soula, S. Multilevel measurement of the electric field underneath a thundercloud: 1. A new system and the associated data processing. J. Geophys. Res. 1991, 96, 22319–22326. [Google Scholar] [CrossRef]
- Petersen, W.A.; Rutledge, S.A. On the relationship between cloud-to-ground lightning and convective rainfall. J. Geophys. Res. Atmos. 1998, 103, 14025–14040. [Google Scholar] [CrossRef]
- Stolzenburg, M.; Marshall, T.C. Charged precipitation and electric field in two thunderstorms. J. Geophys. Res. Atmos. 1998, 103, 19777–19790. [Google Scholar] [CrossRef]
- Lang, T.J.; Rutledge, S.A. Relationships between convective storm kinematics, precipitation, and lightning. Mon. Weather Rev. 2002, 130, 2492–2506. [Google Scholar] [CrossRef]
- Soula, S.; Chauzy, S.; Chong, M.; Coquillat, S.; Georgis, J.-F.; Seity, Y.; Tabary, P. Surface precipitation electric current produced by convective rains during the Mesoscale Alpine Program. J. Geophys. Res. 2003, 108, 4395. [Google Scholar] [CrossRef]
- Liou, Y.-A.; Kar, S.K. Study of cloud-to-ground lightning and precipitation and their seasonal and geographical characteristics over Taiwan. Atmos. Res. 2010, 95, 115–122. [Google Scholar] [CrossRef]
- Klimenko, V.V.; Mareev, E.A.; Shatalina, M.V.; Shlyugaev, Y.V.; Sokolov, V.V.; Bulatov, A.A.; Denisov, V.P. On statistical characteristics of electric fields of the thunderstorm clouds in the atmosphere. Radiophys. Quantum Electron. 2014, 56, 778–787. [Google Scholar] [CrossRef]
- Nagorsky, P.M.; Smirnov, S.V.; Pustovalov, K.N.; Morozov, V.N. Electrode layer in the electric field of deep convective cloudiness. Radiophys. Quantum Electron. 2014, 56, 769–777. [Google Scholar] [CrossRef]
- Pustovalov, K.N.; Nagorskiy, P.M. Response in the surface atmospheric electric field to the passage of isolated air mass cumulonimbus clouds. J. Atmos. Solar Terr. Phys. 2018, 172, 33–39. [Google Scholar] [CrossRef]
- Pustovalov, K.N.; Nagorskiy, P.M. Comparative Analysis of Electric State of Surface Air Layer during Passage of Cumulonimbus Clouds in Warm and Cold Seasons. Atmos. Ocean. Opt. 2018, 31, 685–689. [Google Scholar] [CrossRef]
- Bernard, M.; Underwood, S.J.; Berti, M.; Simoni, A.; Gregoretti, C. Observations of the atmospheric electric field preceding intense rainfall events in the Dolomite Alps near Cortina d’Ampezzo, Italy. Meteorol. Atmos. Phys. 2019, 132, 99–111. [Google Scholar] [CrossRef]
- Whipple, F.J.W. On the association of the diurnal variation of electric potential gradient in fine weather with the distribution of thunderstorms over the globe. Quart. J. R. Met. Soc. 1929, 55, 1–17. [Google Scholar] [CrossRef]
- De, S.S.; Paul, S.; Barui, S.; Pal, P.; Bandyopadhyay, B.; Kala, D.; Ghosh, A. Studies on the seasonal variation of atmospheric electricity parameters at a tropical station in Kolkata, India. J. Atmos. Sol. Terr. Phys. 2013, 105, 135–141. [Google Scholar] [CrossRef]
- Harrison, R.G. Urban smoke concentrations at Kew, London, 1898–2004. Atmos. Environ. 2006, 40, 3327–3332. [Google Scholar] [CrossRef]
- Pkhalagov, Y.A.; Uzhegov, V.N.; Ippolitov, I.I.; Vinarskii, M.V. Investigation of relations between optical and electric characteristics of the surface atmosphere. Opt. Atmos. Okeana 2005, 18, 373–377. (In Russian) [Google Scholar]
- Daskalopoulou, V.; Mallios, S.A.; Ulanowski, Z.; Hloupis, G.; Gialitaki, A.; Tsikoudi, I.; Tassis, K.; Amiridis, V. The electrical activity of Saharan dust as perceived from surface electric field observations. Atmos. Chem. Phys. 2021, 21, 927–949. [Google Scholar] [CrossRef]
- Franzese, G.; Esposito, F.; Lorenz, R.; Silvestro, S.; Popa, C.I.; Molinaro, R.; Cozzolino, F.; Molfese, C.; Marty, L.; Deniskina, N. Electric properties of dust devils. Earth Planet. Sci. Lett. 2018, 493, 71–81. [Google Scholar] [CrossRef]
- Firstov, P.P.; Akbashev, R.R.; Zharinov, N.A.; Maximov, A.; Manevich, T.; Melnikov, T.D. Electric charging of eruptive clouds from Shiveluch Volcano caused by different types of explosions. J. Volcanol. Seismol. 2019, 13, 172–184. [Google Scholar] [CrossRef]
- Wright, M.D.; Matthews, J.C.; Silva, H.G.; Bacak, A.; Percival, C.; Shallcross, D.E. The relationship between aerosol concentration and atmospheric potential gradient in urban environments. Sci. Total Environ. 2019, 716, 134959. [Google Scholar] [CrossRef]
- Davydenko, S.S.; Mareev, E.A.; Marshall, T.C.; Stolzenburg, M. On the calculation of electric fields and currents of mesoscale convective systems. J. Geophys. Res. 2004, 109, D11103. [Google Scholar] [CrossRef]
- Soula, S.; Georgis, J.F. Surface electrostatic field below weak precipitation and stratiform regions of mid-latitude storms. Atmos. Res. 2013, 132–133, 264–277. [Google Scholar] [CrossRef]
- Wilson, J.G.; Cummins, K.L. Thunderstorm and fair-weather quasi-static electric fields over land and ocean. Atmos. Res. 2021, 257, 105618. [Google Scholar] [CrossRef]
- Toropov, A.; Starodubtzev, S.; Kozlov, V. Strong variations of gamma-ray and atmospheric electric field during various meteorological conditions by observations in Yakutsk and Tiksi. Sol.-Terr. Relat. Phys. Earthq. Precursors 2018, 62, 01013. [Google Scholar] [CrossRef]
- Imyanitov, I.M.; Chubarina, E.V. Electricity of the Free Atmosphere; Israel Program for Scientific Translations Ltd.: Jerusalem, Israel, 1967. [Google Scholar]
- Geophysical Observatory, IMCES SB RAS (GO IMCES). Available online: http://www.imces.ru/index.php?rm=news&action=view&id=899 (accessed on 13 February 2022).
- NOAA. ETOPO2. Available online: https://www.ngdc.noaa.gov/mgg/global/relief/ETOPO2/ (accessed on 13 February 2022).
- The Federal State Budgetary Institution “Voeikov Main Geophysical Observatory” (FGBI “MGO”). Available online: http://voeikovmgo.ru/?lang=en&Itemid=136 (accessed on 3 March 2022).
- ALL-Pribors.ru. Available online: https://all-pribors.ru/docs/55005-13.pdf (accessed on 3 March 2022).
- Campbell Scientific. CS110 Electric Field Meter Sensor. Available online: https://www.campbellsci.com/cs110 (accessed on 3 March 2022).
- CS110 Electric Field Meter: Instruction Manual; Campbell Scientific, Inc.: Logan, UT, USA, 2011.
- Russian GOST: Official Regulatory Library. RD 52.04.168-2017. Available online: https://www.russiangost.com/p-372569-rd-5204168-2017.aspx (accessed on 3 March 2022).
- All-Russian Scientific Research Institute of Hydrometeorological Information—World Data Center (VNIIGMI-WDC). Available online: http://meteo.ru/data/ (accessed on 13 February 2022).
- Gorbatenko, V.P.; Konstantinova, D.A. Convection in the atmosphere above south-east of the Western Siberia. Opt. Atmos. I Okeana 2009, 22, 17–21. (In Russian) [Google Scholar]
- Gorbatenko, V.P.; Nechepurenko, O.E.; Krechetova, S.Y.; Belikova, M.Y. The comparison of atmospheric instability indices retrieved from the data of radio sounding and MODIS spectroradiometer on thunderstorm days over West Siberia. Russ. Meteorol. Hydrol. 2015, 40, 289–295. [Google Scholar] [CrossRef]
- Nechepurenko, O.E.; Gorbatenko, V.P.; Konstantinova, D.A.; Sevastyanov, V.V. Instability indices and their thresholds for the forecast of thunderstorms over Siberia. Hydrometeorol. Res. Forecast. 2018, 2, 44–59. (In Russian) [Google Scholar]
- Gorbatenko, V.P.; Kuzhevskaya, I.V.; Pustovalov, K.N.; Chursin, V.V.; Konstantinova, D.A. Assessment of atmospheric convective potential variability in Western Siberia in changing climate. Russ. Meteorol. Hydrol. 2020, 45, 360–367. [Google Scholar] [CrossRef]
- Ryabkina, X.; Kondratyeva, A.; Nagorskiy, P.; Yakovleva, V. Investigation of seasonal dynamics of β- and γ–radiation fields vertical profile in the surface atmospheric layer. IOP Conf. Ser. Mater. Sci. Eng. 2019, 135, 012036. [Google Scholar]
- Kondratyeva, A.G.; Yakovleva, V.S.; Nagorsky, P.M.; Stepanenko, A.A. Dependences in ground atmosphere radon, thoron and decay products dynamics. J. Ind. Pollut. Control. 2016, 32, 397–400. [Google Scholar]
- Gurmani, S.F.; Ahmad, N.; Tacza, J.; Iqbal, T. First seasonal and annual variations of atmospheric electric field at a subtropical station in Islamabad, Pakistan. J. Atmos. Sol. Terr. Phys. 2018, 179, 441–449. [Google Scholar] [CrossRef]
- Ahmad, N.; Gurmani, S.F.; Basit, A.; Shah, M.A.; Iqbal, T. Impact of local and global factors and meteorological parameters in temporal variation of atmospheric potential gradient. Adv. Space Res. 2021, 67, 2491–2503. [Google Scholar] [CrossRef]
- Afreen, S.; Victor, N.J.; Bashir, G.; Chandra, S.; Ahmed, N.; Siingh, D.; Singh, R.P. First observation of atmospheric electric field at Kashmir valley North Western Himalayas, Srinagar (India). J. Atmos. Sol. Terr. Phys. 2020, 211, 105481. [Google Scholar] [CrossRef]
- Tacza, J.; Raulin, J.-P.; Morales, C.A.; Macotela, E.; Marun, A.; Fernandez, G. Analysis of long-term potential gradient variations measured in the Argentinian Andes. Atmos. Res. 2021, 248, 105200. [Google Scholar] [CrossRef]







Publisher’s Note: MDPI stays neutral with regard to jurisdictional claims in published maps and institutional affiliations. |
© 2022 by the authors. Licensee MDPI, Basel, Switzerland. This article is an open access article distributed under the terms and conditions of the Creative Commons Attribution (CC BY) license (https://creativecommons.org/licenses/by/4.0/).
Share and Cite
Pustovalov, K.; Nagorskiy, P.; Oglezneva, M.; Smirnov, S. The Electric Field of the Undisturbed Atmosphere in the South of Western Siberia: A Case Study on Tomsk. Atmosphere 2022, 13, 614. https://doi.org/10.3390/atmos13040614
Pustovalov K, Nagorskiy P, Oglezneva M, Smirnov S. The Electric Field of the Undisturbed Atmosphere in the South of Western Siberia: A Case Study on Tomsk. Atmosphere. 2022; 13(4):614. https://doi.org/10.3390/atmos13040614
Chicago/Turabian StylePustovalov, Konstantin, Petr Nagorskiy, Mariya Oglezneva, and Sergei Smirnov. 2022. "The Electric Field of the Undisturbed Atmosphere in the South of Western Siberia: A Case Study on Tomsk" Atmosphere 13, no. 4: 614. https://doi.org/10.3390/atmos13040614
APA StylePustovalov, K., Nagorskiy, P., Oglezneva, M., & Smirnov, S. (2022). The Electric Field of the Undisturbed Atmosphere in the South of Western Siberia: A Case Study on Tomsk. Atmosphere, 13(4), 614. https://doi.org/10.3390/atmos13040614

