Thermodynamic and Kinematic Structures in the Rainband Region of Typhoon Lekima (2019) at Landfall
Abstract
:1. Introduction
2. Experiment and Database
2.1. Typhoon Lekima (2019)
2.2. Data from Radiosonde Balloons
3. Results and Discussions
3.1. Results from Weather Radar
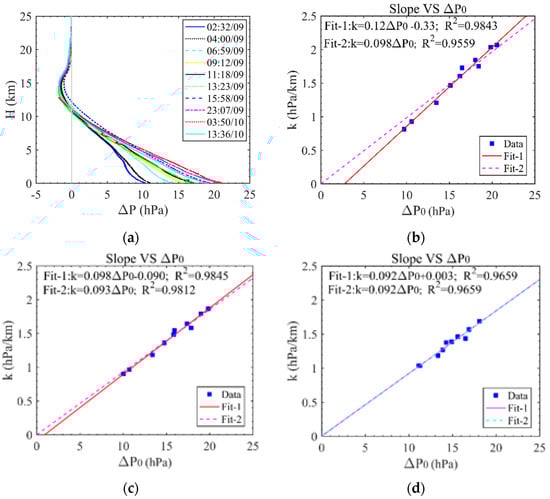
3.2. Pressure Field—Observation and Modeling
3.3. Warm-Core like Structure of TC Rainband
3.4. Wind Characteristics
4. Summary and Conclusions
Author Contributions
Funding
Institutional Review Board Statement
Informed Consent Statement
Data Availability Statement
Acknowledgments
Conflicts of Interest
References
- Pietras, J. Hurricane Katrina; Infobase Publishing: New York, NY, USA, 2008. [Google Scholar]
- Cao, S.; Tamura, Y.; Kikuchi, N.; Saito, M.; Nakayama, I.; Matsuzaki, Y. Wind characteristics of a strong typhoon. J. Wind Eng. Ind. Aerod. 2009, 97, 11–21. [Google Scholar] [CrossRef]
- Li, Q.S.; He, Y.C.; He, Y.H.; Zhou, K.; Han, X.L. Monitoring of wind effects of a landfall typhoon on a 600 m high skyscraper. Struct. Infrastruct. Eng. 2019, 15, 54–71. [Google Scholar] [CrossRef]
- Song, L.; Chen, W.; Wang, B.; Zhi, S.; Liu, A. Characteristics of wind profiles in the landfalling typhoon boundary layer. J. Wind Eng. Ind. Aerod. 2016, 149, 77–88. [Google Scholar] [CrossRef]
- Balderrama, J.A.; Masters, F.J.; Gurley, K.R.; Prevatt, D.O.; Aponte-Bermudez, L.D.; Reinhold, T.A.; Pinelli, P.J.; Subramanian, C.S.; Schiff, S.D.; Chowdhury, A.G. The Florida Coastal Monitoring Program (FCMP): A review. J. Wind Eng. Ind. Aerod. 2011, 99, 979–995. [Google Scholar] [CrossRef]
- Wang, X.J.; Li, Q.S.; Yan, B.W.; Li, J.C. Field measurements of wind effects on a low-rise building with roof overhang during typhoons. J. Wind Eng. Ind. Aerod. 2018, 176, 143–157. [Google Scholar] [CrossRef]
- Bell, M.M.; Lee, W.C. Objective tropical cyclone center tracking using single-Doppler radar. J. Appl. Meteorol. Climatol. 2012, 51, 878–896. [Google Scholar] [CrossRef] [Green Version]
- Li, X.F.; Zhang, J.A.; Yang, X.F.; Pichel, W.G.; Demaria, M.; Long, D.; Li, Z.W. Tropical cyclone morphology from spaceborne synthetic aperture radar. Bull. Am. Meteorol. Soc. 2013, 94, 215–230. [Google Scholar] [CrossRef] [Green Version]
- Hawkins, H.F.; Rubsam, D.T. Hurricane Hilda, 1964: II. Structure and budgets of the hurricane on October 1, 1964. Mon. Weather Rev. 1968, 96, 617–639. [Google Scholar] [CrossRef]
- Hawkins, H.F.; Imbembo, S.M. The structure of a small, intense hurricane-Inez 1966. Mon. Weather Rev. 1976, 104, 418–442. [Google Scholar] [CrossRef] [Green Version]
- He, Y.C.; Chan, P.W.; Li, Q.S. Observations of vertical wind profiles of tropical cyclones at coastal areas. J. Wind Eng. Ind. Aerod. 2016, 152, 1–14. [Google Scholar] [CrossRef]
- Hence, D.A.; Houze, R.A. Vertical structure of hurricane eyewalls as seen by the TRMM Precipitation Radar. J. Atmos. Sci. 2011, 68, 1637–1652. [Google Scholar] [CrossRef] [Green Version]
- Hence, D.A.; Houze, R.A. Vertical structure of tropical cyclones with concentric eyewalls as seen by the TRMM Precipitation Radar. J. Atmos. Sci. 2012, 69, 1021–1036. [Google Scholar] [CrossRef] [Green Version]
- Hence, D.A.; Houze, R.A. Vertical structure of tropical cyclone rainbands as seen by the TRMM Precipitation Radar. J. Atmos. Sci. 2013, 69, 2644–2661. [Google Scholar] [CrossRef] [Green Version]
- Franklin, J.L.; Black, M.L.; Valde, K. GPS dropwindsonde wind profiles in hurricanes and their operational implications. Weather Forecast. 2003, 18, 32–44. [Google Scholar] [CrossRef]
- Hock, T.F.; Franklin, J.L. The NCAR GPS dropwindsonde. Bull. Am. Meteorol. Soc. 1999, 80, 407–420. [Google Scholar] [CrossRef] [Green Version]
- Powell, M.D.; Vickery, P.J.; Reinhold, T.A. Reduced drag coefficient for high wind speeds in tropical cyclones. Nature 2003, 422, 279–283. [Google Scholar] [CrossRef]
- Wang, J.H.; Yong, K.; Hock, T.; Lauritsen, D.; Behringer, D. A long-term, high-quality, high-vertical-resolution GPS dropsonde dataset for hurricane and other studies. Bull. Am. Meteorol. Soc. 2015, 96, 961–973. [Google Scholar] [CrossRef] [Green Version]
- Zhang, J.A.; Rogers, R.F.; Nolan, D.S. On the characteristic height scales of the hurricane boundary layer. Mon. Weather Rev. 2011, 139, 2523–2535. [Google Scholar] [CrossRef]
- He, Y.C.; He, J.Y.; Chen, W.C.; Chan, P.W.; Fu, J.Y.; Li, Q.S. Insights from Super-typhoon Mangkhut (1822) for wind engineering practices. J. Wind Eng. Ind. Aerod. 2020, 203, 104238. [Google Scholar] [CrossRef]
- Frank, W.M. The structure and energetics of the tropical cyclone Ι. Storm structure. Mon. Weather Rev. 1997, 105, 1119–1135. [Google Scholar] [CrossRef]
- He, Y.C.; Li, Y.Z.; Chan, P.W.; Fu, J.Y.; Wu, J.R.; Li, Q.S. A height resolving model for tropical cyclone pressure field. J. Wind Eng. Ind. Aerod. 2019, 186, 84–93. [Google Scholar] [CrossRef]
- Frank, W.M. Large-scale characteristics of tropical cyclones. Mon. Weather Rev. 1982, 110, 572–586. [Google Scholar] [CrossRef]
- Chan, J.C.L. Identification of the steering flow for tropical cyclone motion from objective analyzed wind fields. Mon. Weather Rev. 1985, 113, 106–116. [Google Scholar] [CrossRef]
- Prive, N.; Errico, R.M. The impact of increased frequency of rawinsonde observations on forecast skill investigated with an observing system simulation experiment. Mon. Weather Rev. 2014, 142, 1823–1834. [Google Scholar] [CrossRef]
- Duran, P.; Molinari, J. Upper-tropospheric low Richardson number in tropical cyclones: Sensitivity to cyclone intensity and the diurnal cycle. J. Atmos. Sci. 2016, 73, 545–554. [Google Scholar] [CrossRef]
- Wang, Y.Q. How do outer spiral rainbands affect tropical cyclone structure and intensity? J. Atmos. Sci. 2009, 66, 1250–1273. [Google Scholar] [CrossRef]
- Didlake, A.C., Jr.; Houze, R.A. Dynamics of the stratiform sector of a tropical cyclone rainband. J. Atmos. Sci. 2013, 70, 1891–1911. [Google Scholar] [CrossRef]
- Houze, R.A.; Chen, S.S.; Smull, B.F.; Lee, W.C.; Bell, M.M. Hurricane intensity and eyewall replacement. Science 2007, 316, 1235–1239. [Google Scholar] [CrossRef] [Green Version]
- Judt, F.; Chen, S.S. Convectively generated potential vorticity in rainbands and formation of the secondary eyewall in Hurricane Rita of 2005. J. Atmos. Sci. 2010, 678, 3581–3599. [Google Scholar] [CrossRef]
- Donaher, S.; Albrecht, B.A.; Fang, M.; Brown, W. Wind profiles in tropical cyclone stratiform rainbands over land. Mon. Weather Rev. 2013, 141, 3933–3949. [Google Scholar] [CrossRef] [Green Version]
- Kepert, J.D. The boundary layer dynamics of tropical cyclone rainbands. J. Atmos. Sci. 2018, 75, 3777–3795. [Google Scholar] [CrossRef]
- Zhou, X.Q.; Wang, B. Mechanism of concentric eyewall replacement cycles and associated intensity change. J. Atmos. Sci. 2011, 68, 972–988. [Google Scholar] [CrossRef] [Green Version]
- Holland, G.J. An analytic model of the wind and pressure profiles in hurricanes. Mon. Weather Rev. 1980, 108, 1212–1218. [Google Scholar] [CrossRef]
- He, Y.C.; Li, Q.S.; Chan, P.W.; Wu, J.R.; Fu, J.Y. Toward modeling the spatial pressure field of tropical cyclones: Insights from Typhoon Hato (1713). J. Wind Eng. Ind. Aerod. 2019, 184, 378–390. [Google Scholar] [CrossRef]
- Stern, D.P.; Nolan, D.S. On the height of the warm core in tropical cyclones. J. Atmos. Sci. 2012, 69, 1657–1680. [Google Scholar] [CrossRef]
- Halverson, B.J.; Simpson, J.; Heymsfield, G.; Pierce, H.; Hock, T.; Ritchie, L. Warm core structure of Hurricane Erin diagnosed from high altitude dropsondes during CAMEX-4. J. Atmos. Sci. 2006, 63, 309–324. [Google Scholar] [CrossRef]
- Emanuel, K.A. Atmospheric Convection; Oxford University Press: Oxford, UK, 1994; p. 580. [Google Scholar]
- Kepert, J.D. Tropical cyclone structure and dynamics. In Global Perspectives on Tropical Cylones—From Science to Mitigation; Chan, J.C.L., Kepert, J.D., Eds.; World Scientific: Singapore, 2010; pp. 3–53. [Google Scholar]
- Bister, M.; Emanuel, K.A. Low frequency variability of tropical cyclone potential intensity: 1. Interannual to interdecadal variability. J. Geophys. Res. 2002, 107, 4801. [Google Scholar] [CrossRef]
- Emanuel, K.A. The maximum intensity of hurricanes. J. Atmos. Sci. 1988, 45, 1143–1155. [Google Scholar] [CrossRef]
- Didlake, A.C., Jr.; Houze, R.A. Convective-scale downdrafts in the principal rainband of Hurricane Katrina (2005). Mon. Weather Rev. 2009, 13, 3269–3293. [Google Scholar] [CrossRef] [Green Version]







| No. | Release (HH:MM/DD) | Maximum Height (km) | Radial Distance (km) | Drift Distance (km) | |||
|---|---|---|---|---|---|---|---|
| Start | End | Toward N | Toward W | Resultant | |||
| 1 | 02:32/09 | 03:35/09 | 23.5 | 507 | 3.7 | 64 | 64 |
| 2 | 04:00/09 | 05:00/09 | 20.3 | 451 | 9.6 | 61 | 62 |
| 3 | 06:59/09 | 08:12/09 | 29.0 | 404 | 11 | 79 | 80 |
| 4 | 09:12/09 | 10:14/09 | 20.1 | 362 | 6.1 | 72 | 72 |
| 5 | 11:18/09 | 12:11/09 | 17.2 | 346 | 18 | 65 | 68 |
| 6 | 13:23/09 | 14:08/09 | 16.9 | 322 | 18 | 60 | 62 |
| 7 | 15:58/09 | 16:41/09 | 18.0 | 300 | 32 | 47 | 57 |
| 8 | 23:07/09 | 00:07/10 | 21.7 | 221 | 56 | 45 | 72 |
| 9 | 03:50/10 | 04:33/10 | 12.9 | 198 | 56 | 17 | 58 |
| 10 | 13:36/10 | 14:34/10 | 22.2 | 200 | 49 | −12 | 50 |
Publisher’s Note: MDPI stays neutral with regard to jurisdictional claims in published maps and institutional affiliations. |
© 2022 by the authors. Licensee MDPI, Basel, Switzerland. This article is an open access article distributed under the terms and conditions of the Creative Commons Attribution (CC BY) license (https://creativecommons.org/licenses/by/4.0/).
Share and Cite
He, Y.; Chen, T.; Tang, J.; Chan, P.; Fu, J. Thermodynamic and Kinematic Structures in the Rainband Region of Typhoon Lekima (2019) at Landfall. Atmosphere 2022, 13, 312. https://doi.org/10.3390/atmos13020312
He Y, Chen T, Tang J, Chan P, Fu J. Thermodynamic and Kinematic Structures in the Rainband Region of Typhoon Lekima (2019) at Landfall. Atmosphere. 2022; 13(2):312. https://doi.org/10.3390/atmos13020312
Chicago/Turabian StyleHe, Yuncheng, Ting Chen, Jie Tang, Pakwai Chan, and Jiyang Fu. 2022. "Thermodynamic and Kinematic Structures in the Rainband Region of Typhoon Lekima (2019) at Landfall" Atmosphere 13, no. 2: 312. https://doi.org/10.3390/atmos13020312
APA StyleHe, Y., Chen, T., Tang, J., Chan, P., & Fu, J. (2022). Thermodynamic and Kinematic Structures in the Rainband Region of Typhoon Lekima (2019) at Landfall. Atmosphere, 13(2), 312. https://doi.org/10.3390/atmos13020312
