Tomographic Inversion of the Ionosphere by Rejecting Abnormal Corrections and Rays
Abstract
1. Introduction
2. Tomographic Algorithms
2.1. Basics of Ionosphere Tomography
2.2. Tomographic Algorithm of Rejecting Abnormal Corrections and Rays (RACR)
- (1)
- Compute the scaling factors () for each voxel and ray according to Equation (4).
- (2)
- Compute the mean and standard deviation of scaling factors. Remove any abnormal corrections that lie beyond the normal range defined by .
- (3)
- Compute the electron density for each voxel by the normal corrections according to Equation (5).
- (4)
- Compute the rejected ratio for each ray. Discard the ray if its rejected ratio exceeds γ after all voxels and rays have been processed.
- (5)
- Repeat steps 1 to 4 for the next iteration until a preset condition is reached.
3. Validation Data and Method
3.1. Validation Data
3.2. Validation Methods
4. Results
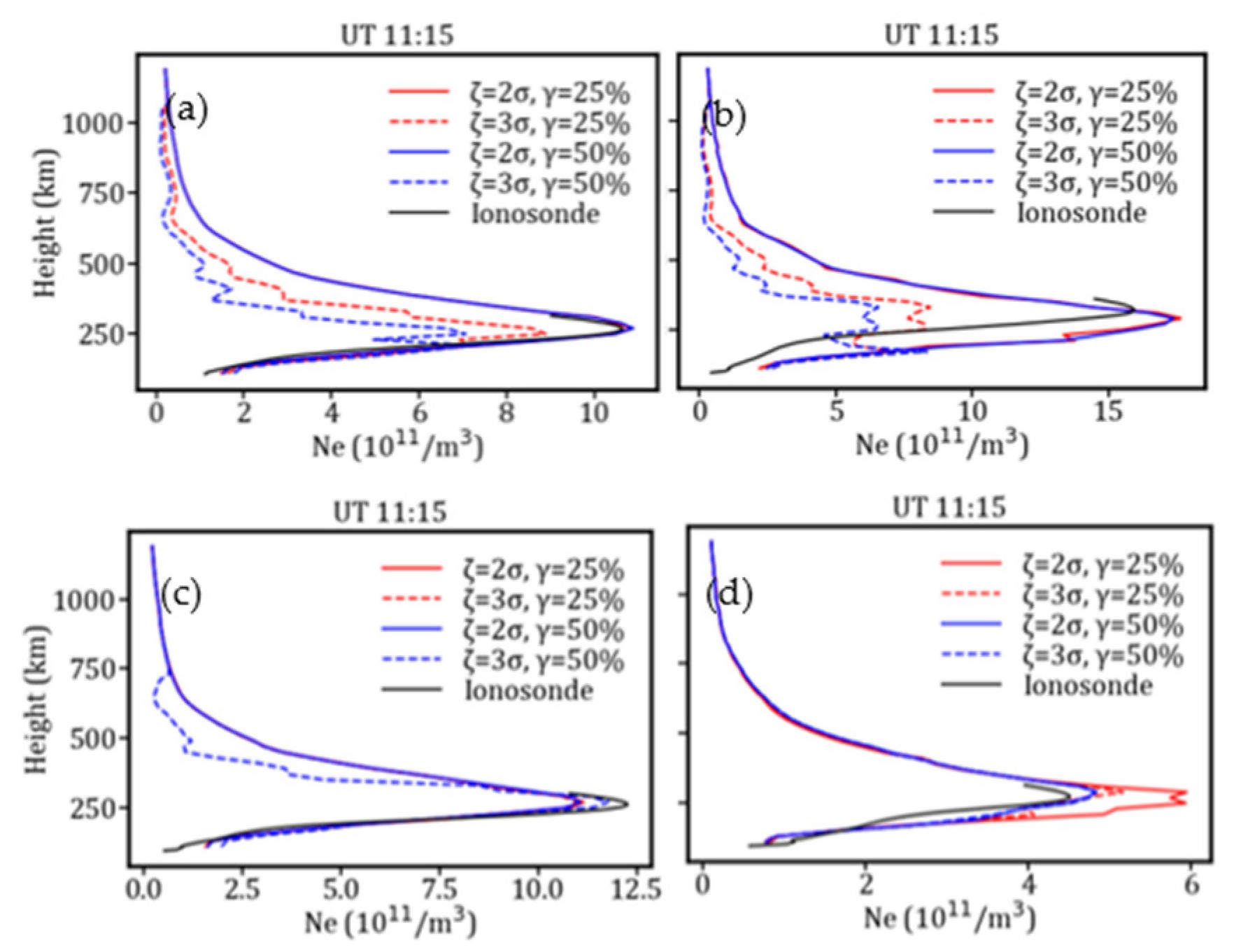
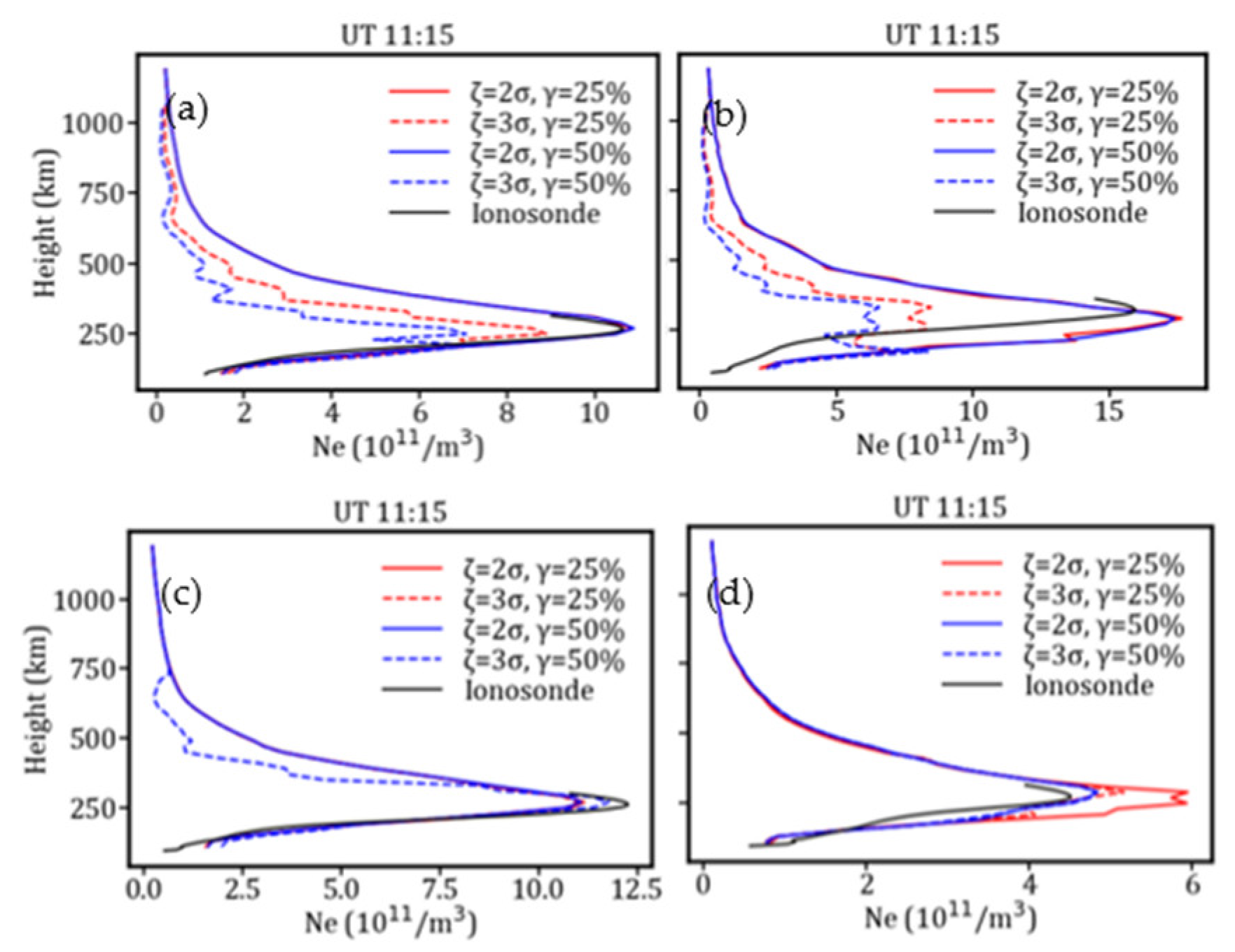
4.1. Validation with Ionosonde Vertical Profiles
4.2. Validation with Ionosonde NmF2 and hmF2
4.3. Validation with Swarm Satellites
4.4. Validation with Independent STEC
4.5. Validations with VTEC Map
5. Discussions
5.1. Night Time Vertical Profiles Offset
5.2. Determinations of Thresholds
6. Conclusions
Author Contributions
Funding
Institutional Review Board Statement
Informed Consent Statement
Data Availability Statement
Acknowledgments
Conflicts of Interest
References
- Bust, G.S.; Mitchell, C.N. History, current state, and future directions of ionospheric imaging. Rev. Geophys. 2008, 46, RG1003. [Google Scholar] [CrossRef]
- Prol, F.S.; Themens, D.R.; Hernndez-Pajares, M.; Paulo, O.C.; Muella, M.T.A.H. Linear Vary-Chap Topside Electron Density Model with Topside Sounder and Radio-Occultation Data. Surv. Geophys. 2019, 40, 277–293. [Google Scholar] [CrossRef]
- Austen, J.R.; Franke, S.J.; Liu, C.H.; Yeh, K.C. Application of computerized tomography techniques to ionospheric research. In Proceedings of the International Beacon Satellite Symposium on Radio Beacon Contribution to the Study of Ionization and Dynamics of the Ionosphere and to Corrections to Geodesy and Technical Workshop, Oulu, Finland, 9–14 June 1986; pp. 25–32. [Google Scholar]
- Garcia, R.; Crespon, F. Radio tomography of the ionosphere: Analysis of an underdetermined, ill-posed inverse problem, and regional application. Radio Sci. 2008, 43, 1–13. [Google Scholar] [CrossRef]
- Jin, S.; Li, D. 3-D ionospheric tomography from dense GNSS observations based on an improved two-step iterative algorithm. Adv. Space Res. 2018, 62, 809–820. [Google Scholar] [CrossRef]
- Yu, J.Q.; Wang, W.Y.; Holden, L.; Liu, Z.P.; Wu, L.X.; Zhang, S.L.; Zhang, K.F. Enhancing the Quality of Tomographic Image by Means of Image Reconstruction Based on Hybrid Grids. Adv. Space Res. 2020, 66, 591–603. [Google Scholar] [CrossRef]
- Wen, D.; Yuan, Y.; Ou, J.; Zhang, K.; Liu, K. A hybrid reconstruction algorithm for 3-D ionospheric tomography. IEEE Trans. Geosci. Remote Sens. 2008, 46, 1733–1739. [Google Scholar] [CrossRef]
- Yao, Y.; Chen, P.; Zhang, S.; Chen, J. A new ionospheric tomography model combining pixel-based and function-based models. Adv. Space Res. 2013, 52, 614–621. [Google Scholar] [CrossRef]
- Lu, W.; Ma, G.; Wan, Q.; Li, J.H.; Wang, X.L.; Fu, W.Z.; Maruyama, T. Virtual reference station-based computerized ionospheric tomography. GPS Solut. 2021, 25, 8. [Google Scholar] [CrossRef]
- Zhou, C.; Fremouw, E.J.; Sahr, J.D. Optimal truncation criterion for application of singular value decomposition to ionospheric tomography. Radio Sci. 1999, 34, 155–166. [Google Scholar] [CrossRef]
- Bhuyan, K.; Singh, S.B.; Bhuyan, P.K. Tomographic reconstruction of the ionosphere using generalized singular value decomposition. Curr. Sci. 2002, 83, 1117–1120. [Google Scholar] [CrossRef]
- Raymund, T.D.; Austen, J.R.; Franke, S.J.; Liu, C.H.; Klobuchar, J.A.; Stalker, J. Application of computerized tomography to the investigation of ionospheric structures. Radio Sci. 1990, 25, 771–789. [Google Scholar] [CrossRef]
- Prol, F.S.; Camargo, P.d.O.; Pajares, M.H.; Muella, M.T.A.H. A New Method for Ionospheric Tomography and Its Assessment by Ionosonde Electron Density, GPS TEC, and Single-Frequency PPP. IEEE Trans. Geosci. Remote Sens. 2019, 57, 2571–2582. [Google Scholar] [CrossRef]
- Kamp, M.J.L. Medium-scale 4-D ionospheric tomography using a dense GPS network. Ann. Geophys. 2013, 31, 75–89. [Google Scholar] [CrossRef]
- Seemala, G.; Yamamoto, M.; Saito, A.; Chen, C. Three-dimensional GPS ionospheric tomography over Japan using constrained least squares. J. Geophys. Res.-Space 2014, 119, 3044–3052. [Google Scholar] [CrossRef]
- Chen, C.H.; Saito, A.; Lin, C.H.; Yamamoto, M.; Suzuki, S.; Seemala, G.K. Medium-scale traveling ionospheric disturbances by three-dimensional ionospheric GPS tomography. Earth Planets Space 2016, 68, 1–9. [Google Scholar] [CrossRef]
- Tang, J.; Yao, Y.; Zhang, L.; Kong, J. Tomographic reconstruction of ionospheric electron density during the storm of 5-6 August 2011 using multi-source data. Sci. Rep. 2015, 5, 13042. [Google Scholar] [CrossRef]
- Prol, F.S.; Manuel, H.P.; Muella, T.A.H.M.; Camargo, P.D.O. Tomographic imaging of ionospheric plasma bubbles based on GNSS and radio occultation measurements. Remote Sens. 2018, 10, 1529. [Google Scholar] [CrossRef]
- Wang, S.; Huang, S.; Lu, S.; Yan, B. 3-D ionospheric tomography using model function in the modified L-Curve method. IEEE Trans. Geosci. Remote Sens. 2019, 57, 3135–3147. [Google Scholar] [CrossRef]
- Li, H.; Yuan, Y.; Li, Z.; Huo, X.; Yan, W. Ionospheric Electron Concentration Imaging Using Combined of LEO Satellites Data with Ground-based GPS Observations over China. IEEE Trans. Geosci. Remote Sens. 2012, 50, 1728–1735. [Google Scholar] [CrossRef]
- Ssessanga, N.; Yamamoto, M.; Saito, S.; Saito, A.; Nishioka, M. Complementing regional ground GNSS-STEC computerized ionospheric tomography (CIT) with ionosonde data assimilation. GPS Solut. 2021, 25, 93. [Google Scholar] [CrossRef]
- Zheng, D.Y.; Yao, Y.B.; Nie, W.F.; Liao, M.; Liang, J.; Ao, M. Ordered Subsets-Constrained ART Algorithm for Ionospheric Tomography by Combining VTEC Data. IEEE Trans. Geosci. Remote Sens. 2021, 59, 7051–7061. [Google Scholar] [CrossRef]
- Cushley, A.C.; Noel, J.M. Ionospheric sounding and tomography using Automatic Identification System (AIS) and other signals of opportunity. Radio Sci. 2020, 55, e2019RS006872. [Google Scholar] [CrossRef]
- Yu, J.Q.; Yang, Z.; Breitsch, B.; Wu, L.X. Fast Determination of Geometric Matrix in Ionosphere Tomographic Inversion with Unevenly Spaced Curvilinear Voxels. GPS Solut. 2022, 26, 1–14. [Google Scholar] [CrossRef]
- Lu, W.; Ma, G.; Wan, Q. A Review of Voxel-Based Computerized Ionospheric Tomography with GNSS Ground Receivers. Remote Sens. 2021, 13, 3432. [Google Scholar] [CrossRef]
- Kondo, T.; Hobiger, T.; Koyama, Y. Constrained simultaneous algebraic reconstruction technique (C-SART)—A new and simple algorithm applied to ionospheric tomography. Earth Planets Space 2008, 60, 727–735. [Google Scholar] [CrossRef]
- Sui, Y.; Fu, H.; Wang, D.; Xu, F.; Feng, S.; Cheng, J.; Jin, Y. Sparse Reconstruction of 3-D Regional Ionospheric Tomography Using Data From a Network of GNSS Reference Stations. IEEE Trans. Geosci. Remote Sens. 2022, 60, 4102615. [Google Scholar] [CrossRef]
- Zhu, H.Y.; Yu, J.Q.; Dai, Y.C.; Zhu, Y.Y.; Huang, Y.Q. Ionosphere Tomographic Model Based on Neural Network with Balance Cost and Dynamic Correction Using Multi-Constraints. Atmosphere 2022, 13, 426. [Google Scholar] [CrossRef]
- He, L.M.; Heki, K. Three-dimensional tomography of ionospheric anomalies immediately before the 2015 Illapel earthquake, Central Chile. J. Geophys. Res. Space 2018, 123, 4015–4025. [Google Scholar] [CrossRef]
- Razin, M.R.G.; Voosoghi, B. Regional Ionosphere Modeling Using Spherical Cap Harmonics and Empirical Orthogonal Functions over Iran. Acta Geod. Geophys. 2017, 52, 19–33. [Google Scholar] [CrossRef]
- Farzaneh, S.; Forootan, E. Reconstructing Regional Ionospheric Electron Density: A Combined Spherical Slepian Function and Empirical Orthogonal Function Approach. Surv. Geophys. 2018, 39, 289–309. [Google Scholar] [CrossRef]
- Minkwitz, D.; Boogaart, K.G.; Gerzen, T.; Hoque, M.M. Tomography of the Ionospheric Electron Density with Geostatistical Inversion. Ann. Geophys. 2015, 33, 1071–1079. [Google Scholar] [CrossRef]
- Tang, J.; Gao, X. Adaptive Regularization Method for 3-D GNSS Ionospheric Tomography Based on the U-Curve. IEEE Trans. Geosci. Remote Sens. 2021, 59, 4547–4560. [Google Scholar] [CrossRef]
- Ciraolo, L.; Azpilicueta, F.; Brunini, C.; Meza, A.; Radicella, S.M. Calibration errors on experimental slant total electron content (TEC) determined with GPS. J. Geod. 2007, 81, 111–120. [Google Scholar] [CrossRef]
- Nie, W.; Xu, T.; Rovira-Garcia, A.; Zornoza, J.M.J.; Subirana, J.S.; Gonzalez-Casado, G.; Chen, W.; Xu, G.C. Revisit the calibration errors on experimental slant total electron content (TEC) determined with GPS. GPS Solut. 2018, 22, 1–14. [Google Scholar] [CrossRef]
- Ssessanga, N.; Kim, Y.H.; Habarulema, J.B.; Kwak, Y.S. On Imaging South African Regional Ionosphere Using 4D-var Technique. Space Weather 2019, 17, 1584–1604. [Google Scholar] [CrossRef]
- Andersen, A.H.; Kak, A.C. Simultaneous Algebraic Reconstruction Technique (SART): A superior implementation of the ART algorithm. Ultrason. Imaging 1984, 6, 81–94. [Google Scholar] [CrossRef] [PubMed]
- Gerzen, T.; Minkwitz, D. Simultaneous multiplicative column-normalized method (SMART) for 3-D ionosphere tomography in comparison to other algebraic methods. Ann. Geophys. 2016, 34, 97–115. [Google Scholar] [CrossRef][Green Version]
- Yu, J.Q.; Wang, Y.; Zhu, Y.Y.; Huang, Y.Q.; Wu, L.X. Iterative tomography method for ionosphere inversion via parameters smoothing. Chin. J. Geophys. 2022. [Google Scholar] [CrossRef]
- Prol, F.D.; Camargo, P. Ionospheric tomography using GNSS: Multiplicative algebraic reconstruction technique applied to the area of Brazil. GPS Solut. 2016, 20, 807–814. [Google Scholar] [CrossRef]
- Yang, Z.; Song, S.; Jiao, W.; Chen, G.M.; Xue, J.C.; Zhou, W.L.; Zhu, W.Y. Ionospheric tomography based on GNSS observations of the CMONOC: Performance in the topside ionosphere. GPS Solut. 2017, 21, 363–375. [Google Scholar] [CrossRef]
- Li, W.; Wang, G.; Mi, J.; Zhang, S. Calibration errors in determining slant Total Electron Content (TEC) from multi-GNSS data. Adv. Space Res. 2019, 63, 1670–1680. [Google Scholar] [CrossRef]
- Brunini, C.; Azpilicueta, F.J. Accuracy assessment of the GPS-based slant total electron content. J. Geod. 2009, 83, 773–785. [Google Scholar] [CrossRef]
- Strode, P.; Groves, P. GNSS multipath detection using three-frequency signal-to-noise measurements. GPS Solut. 2016, 20, 399–412. [Google Scholar] [CrossRef]
- Gulyaeva, T.L. International standard model of the earth’s inosphere and plasmasphere. Astraonomy Astrophys. 2003, 22, 639–643. [Google Scholar] [CrossRef]
- Bilitza, D.; Altadill, D.; Truhlik, V.; Shubin, V.; Galkin, I.; Reinisch, B.; Huang, X. International Reference Ionosphere 2016: From ionospheric climate to real-time weather predictions. Space Weather 2017, 15, 418–429. [Google Scholar] [CrossRef]


















| AQUI | FATA | JOZ2 | POUS | ZYWI |
|---|---|---|---|---|
| AUT1 | GELL | MARS | PRAT | |
| BCLN | HOE2 | MDOR | SPT0 | |
| BZRG | HOER | MLVL | TARS | |
| DENT | IRBE | OSJE | WARE |
| Times of Iteration | Temporal Resolution | Elevation Cut-Off | |
|---|---|---|---|
| 0.05 | 500 | 15 min | 25o |
| Algorithm | Ionosonde | RMS (NmF2) | RMS (hmF2) |
|---|---|---|---|
| RACR | DB049 | 1.59 | 36.22 |
| JR055 | 1.46 | 37.89 | |
| PQ052 | 1.62 | 28.92 | |
| MART | DB049 | 1.80 | 43.32 |
| JR055 | 1.78 | 49.79 | |
| PQ052 | 7.50 | 94.44 | |
| IRI2016 | DB049 | 1.96 | 36.04 |
| JR055 | 1.90 | 32.42 | |
| PQ052 | 1.94 | 27.76 |
| Algorithm | Swarm A | Swarm B | Swarm C |
|---|---|---|---|
| RACR | 9.39 | 6.79 | 9.18 |
| MART | 9.69 | 7.47 | 9.80 |
| IRI2016 | 10.11 | 7.79 | 9.76 |
| RACR | MART | IRI2016 | |
|---|---|---|---|
| RMS | 2.75 | 3.53 | 9.26 |
| RACR | MART | IRI-2016 | |
|---|---|---|---|
| RMS | 4.99 | 5.31 | 7.51 |
Publisher’s Note: MDPI stays neutral with regard to jurisdictional claims in published maps and institutional affiliations. |
© 2022 by the authors. Licensee MDPI, Basel, Switzerland. This article is an open access article distributed under the terms and conditions of the Creative Commons Attribution (CC BY) license (https://creativecommons.org/licenses/by/4.0/).
Share and Cite
Zhang, J.; Yu, J.; Jia, C.; Dai, Y.; Zhu, Y.; Huang, Y.; Wu, L. Tomographic Inversion of the Ionosphere by Rejecting Abnormal Corrections and Rays. Atmosphere 2022, 13, 1954. https://doi.org/10.3390/atmos13121954
Zhang J, Yu J, Jia C, Dai Y, Zhu Y, Huang Y, Wu L. Tomographic Inversion of the Ionosphere by Rejecting Abnormal Corrections and Rays. Atmosphere. 2022; 13(12):1954. https://doi.org/10.3390/atmos13121954
Chicago/Turabian StyleZhang, Jianmin, Jieqing Yu, Chenyi Jia, Yuchen Dai, Yanyu Zhu, Yingqi Huang, and Lixin Wu. 2022. "Tomographic Inversion of the Ionosphere by Rejecting Abnormal Corrections and Rays" Atmosphere 13, no. 12: 1954. https://doi.org/10.3390/atmos13121954
APA StyleZhang, J., Yu, J., Jia, C., Dai, Y., Zhu, Y., Huang, Y., & Wu, L. (2022). Tomographic Inversion of the Ionosphere by Rejecting Abnormal Corrections and Rays. Atmosphere, 13(12), 1954. https://doi.org/10.3390/atmos13121954

