Evaluation and Correction of Climate Simulations for the Tibetan Plateau Using the CMIP6 Models
Abstract
1. Introduction
2. Study Area, Materials, and Method
2.1. Study Area and Observational Data
2.2. Model Data
2.3. Analysis Method
2.3.1. Taylor Diagram Method
2.3.2. EOF Error Correction
3. Results
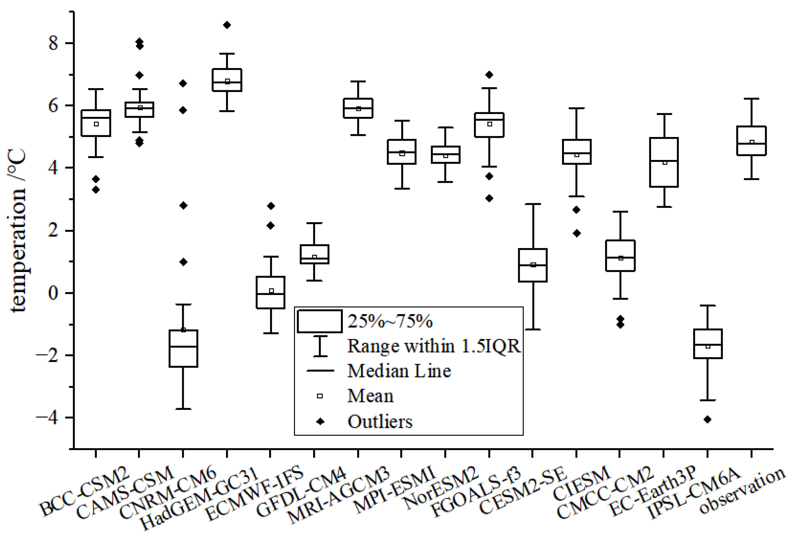
3.1. Characteristics of Temperature and Climate in the TP
3.2. Characteristics of Precipitation in the TP
4. Conclusions
Author Contributions
Funding
Institutional Review Board Statement
Informed Consent Statement
Data Availability Statement
Conflicts of Interest
References
- Kang, S.C.; Xu, Y.W.; You, Q.L.; Flugel, W.A.; Pepin, N.; Yao, T.D. Review of climate and cryospheric change in the Tibetan Plateau. Environ. Res. Lett. 2010, 5, 015101. [Google Scholar] [CrossRef]
- Kang, S.C.; Zhang, Q.G.; Qian, Y.; Ji, Z.M.; Li, X.L.; Cong, Z.Y.; Zhang, Y.L.; Guo, J.M.; Du, W.T.; Huang, J.; et al. Linking atmospheric pollution to cryospheric change in the Third Pole region: Current progress and future prospects. Natl. Sci. Rev. 2019, 6, 796–809. [Google Scholar] [CrossRef] [PubMed]
- Yao, T.D.; Xue, Y.K.; Chen, D.L.; Chen, F.H.; Thompson, L.; Cui, P.; Koike, T.K.-M.; Lau, W.; Lettenmaier, D.; Mosbrugger, V.; et al. Recent Third Pole’s rapid warming accompanies cryospheric melt and water cycle intensification and interactions between monsoon and environment: Multi-disciplinary approach with observation, modeling and analysis. Bull. Am. Meteorol. Soc. 2019, 100, 423–444. [Google Scholar] [CrossRef]
- Liu, S.F.; Duan, A.M.; Wu, G.X. Asymmetrical response of the East Asian summer monsoon to the quadrennial oscillation of global sea surface temperature associated with the Tibetan Plateau thermal feedback. J. Geophys. Res. Atmos. 2020, 125, e2019JD032129. [Google Scholar] [CrossRef]
- Zhang, G.Q.; Yao, T.D.; Xie, H.J.; Yang, K.; Zhu, L.P.; Shum, C.K.; Bolch, T.; Yi, S.; Allen, S.; Jiang, L.G. Response of Tibetan Plateau lakes to climate change: Trends, patterns, and mechanisms. Earth Sci. Rev. 2020, 208, 103. [Google Scholar] [CrossRef]
- Zhai, V.P.; Pirani, A.; Connors, S.L.; Péan, C.; Berger, S.; Caud, N.; Chen, Y.; Goldfarb, L.; Gomis, M.I.; Huang, M.; et al. (Eds.) Climate Change 2021: The Physical Science Basis. Contribution of Working Group I to the Sixth Assessment Report of the Intergovernmental Panel on Climate Change; Cambridge University Press: Cambridge, UK, 2021. [Google Scholar]
- Grotch, S.L.; MacCracken, M.C. The Use of General Circulation Models to Predict Regional Climatic Change. J. Clim. 1991, 4, 286–303. [Google Scholar] [CrossRef]
- Shepherd, T. Atmospheric circulation as a source of uncertainty in climate change projections. Nat. Geosci. 2014, 7, 703–708. [Google Scholar] [CrossRef]
- Peshev, Z.; Deleva, A.; Vulkova, L.; Dreischuh, T. Large-Scale Saharan Dust Episode in April 2019: Study of Desert Aerosol Loads over Sofia, Bulgaria, Using Remote Sensing, In Situ, and Modeling Resources. Atmospheric 2022, 13, 981. [Google Scholar] [CrossRef]
- Angeles, M.E.; Gonzalez, J.E.; Erickson III, D.J.; Hernández, J.L. Predictions of future climate change in the caribbean region using global general circulation models. Int. J. Climatol. 2007, 27, 555–569. [Google Scholar] [CrossRef]
- Smith, D.M.; Eade, R.; Andrews, M.B.; Ayres, H.; Clark, A.; Chripko, S.; Deser, C.; Dunstone, N.J.; García-Serrano, J.; Gastineau, G.; et al. Robust but weak winter atmospheric circulation response to future Arctic sea ice loss. Nat. Commun. 2022, 13, 727. [Google Scholar] [CrossRef]
- Amjad, M.; Yilmaz, M.T.; Yucel, I.; Yilmazb, K.K. Performance Evaluation of Satellite- and Model-based Precipitation Products over Varying Climate and Complex Topography. J. Hydrol. 2020, 584, 124707. [Google Scholar] [CrossRef]
- Zhou, T.J.; Zou, L.W.; Chen, X.L. Commentary on the Coupled Model Intercomparison Project Phase 6 (CMIP6). Adv. Clim. Chang. Res. 2019, 15, 445–456. (In Chinese) [Google Scholar] [CrossRef]
- Wang, X.J.; Pang, G.J.; Yang, M.X. Precipitation over the Tibetan Plateau during recent decades: A review based on observations and simulations. Int. J. Climatol. 2018, 38, 1116–1131. [Google Scholar] [CrossRef]
- Zhang, X.T.; Wang, L.; Chen, D.L. How does temporal trend of reference evapotranspiration over the Tibetan Plateau change with elevation? Int. J. Climatol. 2019, 39, 2295–2305. [Google Scholar] [CrossRef]
- Li, J.; Yu, R.C.; Yuan, W.H.; Chen, H.M.; Sun, W.; Zhang, Y. Precipitation over East Asia simulated by NCAR CAM5 at different horizontal resolutions. J. Adv. Model. Earth. Syst. 2015, 7, 774–790. [Google Scholar] [CrossRef]
- Wang, Z.Z.; Zhan, C.S.; Ning, L.K.; Guo, H. Evaluation of global terrestrial evapotranspiration in CMIP6 models. Theor. Appl. Climatol. 2021, 143, 521–531. [Google Scholar] [CrossRef]
- Shang, W.; Duan, K.Q.; Li, S.S.; Ren, X.J.; Huang, B. Simulation of the dipole pattern of summer precipitation over the Tibetan Plateau by CMIP6 models. Environ. Res. Lett. 2021, 16, 014047. [Google Scholar] [CrossRef]
- Zhang, G.W.; Zeng, G.; Yang, X.Y.; Jiang, Z.H. Future Changes in Extreme High Temperature over China at 1.5 ℃–5 ℃ Global Warming Based on CMIP6 Simulations. Adv. Atmos. Sci. 2021, 38, 253–267. [Google Scholar] [CrossRef]
- Salunke, P.; Jain, S.; Mishra, S.K. Performance of the CMIP5 models in the simulation of the Himalaya-Tibetan Plateau monsoon. Theor. Appl. Climatol. 2019, 137, 909–928. [Google Scholar] [CrossRef]
- Hu, T.; Sun, Y. Anthropogenic influence on extreme temperatures in China based on CMIP6 models. Int. J. Climatol. 2022, 42, 2981–2995. [Google Scholar] [CrossRef]
- Zhou, T.J.; Yu, R.C. Twentieth-century surface air temperature over China and the globe simulated by coupled climate models. J. Clim. 2006, 19, 5843–5858. [Google Scholar] [CrossRef]
- You, Q.L.; Jiang, Z.H.; Wang, D.; Pepin, N.; Kang, S.C. Simulation of temperature extremes in the Tibetan Plateau from CMIP5 models and comparison with gridded observations. Clim. Dyn. 2018, 27, 355–369. [Google Scholar] [CrossRef]
- Li, Z.C.; Wei, Z.G.; Lv, S.H.; Gao, Y.H.; Han, B.; Li, S.S.; Ao, Y.H.; Chen, H. Verifications of surface air temperature and precipitation from CMIP5 model in northern hemisphere and Qinghai-Xizang Plateau. Plateau Meteorol. 2013, 32, 921–928. (In Chinese) [Google Scholar]
- Su, F.G.; Duan, X.L.; Chen, D.L.; Hao, Z.C.; Cuo, L. Evaluation of the global climate models in the CMIP5 over the Tibetan Plateau. J. Clim. 2013, 26, 3187–3208. [Google Scholar] [CrossRef]
- Wang, M.R.; Zhou, S.W.; Sun, Y.; Wang, J.; Ma, S.J.; Yu, Z.S. Assessment of the Spring Sensible Heat Flux over the Central and Eastern Tibetan Plateau Simulated by CMIP6 Multi-models. Chin. J. Atmos. Sci. 2022, 46, 1225–1238. (In Chinese) [Google Scholar] [CrossRef]
- Hu, Q.; Hua, W.; Yang, K.Q.; Ming, J.; Ma, P.; Zhao, Y.; Fan, G.Z. An assessment of temperature simulations by CMIP6 climate models over the Tibetan Plateau and differences with CMIP5 climate models. Theor. Appl. Climatol. 2022, 148, 223–236. [Google Scholar] [CrossRef]
- Zhu, Y.Y.; Yang, S.N. Evaluation of CMIP6 for historical temperature and precipitation over the Tibetan Plateau and its comparison with CMIP5. Adv. Clim. Chang. Res. 2020, 11, 239–251. [Google Scholar] [CrossRef]
- Li, J.D.; Sun, Z.A.; Liu, Y.M.; You, Q.L.; Chen, G.X.; Bao, Q. Top-of-Atmosphere Radiation Budget and Cloud Radiative Effects Over the Tibetan Plateau and Adjacent Monsoon Regions From CMIP6 Simulations. J. Geophys. Res. 2021, 126, e2020JD034345. [Google Scholar] [CrossRef]
- Ji, D.; Dong, W.J.; Hong, T.; Dai, T.L.; Zheng, Z.Y.; Yang, S.L.; Zhu, X. Assessing parameter importance of the weather research and forecasting model based on global sensitivity analysis methods. J. Geophys. Res. Atmos. 2018, 123, 4443e4460. [Google Scholar] [CrossRef]
- Neelin, J.D.; Bracco, A.; Luo, H.; Meyerson, J.E.; Affiliation, A.I. Considerations for parameter optimization and sensitivity in climate models. Proc. Natl. Acad. Sci. USA 2010, 107, 21349e21354. [Google Scholar] [CrossRef]
- Taylor, K.E. Summarizing multiple aspects of model performance in a single diagram. J. Geophys. Res. 2001, 106, 7183–7192. [Google Scholar] [CrossRef]
- Li, F.; Lin, Z.D.; Zuo, R.T.; Zeng, Q.C. The Methods for Correcting the Summer Precipitation Anomaly Predicted Extraseasonally over East Asian Monsoon Region Based on EOF and SVD. Clim. Environ. Res. 2015, 11, 658–668. (In Chinese) [Google Scholar] [CrossRef]
- Hu, Q.; Jiang, D.B.; Fan, G.Z. Evaluation of CMIP5 models over the Qinghai-Tibetan Plateau. Chin. J. Atmos. Sci. 2014, 38, 924–938. (In Chinese) [Google Scholar] [CrossRef]
- Dong, T.Y.; Dong, W.J. Evaluation of extreme precipitation over Asia in CMIP6 models. Clim. Dyn. 2021, 57, 1751–1769. [Google Scholar] [CrossRef]
- Lun, Y.R.; Liu, L.; Cheng, L.; Li, X.P.; Li, H.; Xu, Z.X. Assessment of GCMs simulation performance for precipitation and temperature from CMIP5 to CMIP6 over the Tibetan Plateau. Int. J. Climatol. 2021, 41, 3994–4018. [Google Scholar] [CrossRef]
- Chen, X.; Liu, Y.; Wu, G.X. Understanding the surface temperature cold bias in CMIP5 AGCMs over the Tibetan Plateau. Adv. Atmos. Sci. 2017, 34, 1447–1460. [Google Scholar] [CrossRef]
- Bao, S.H.; Letu, H.; Zhao, J.; Shang, H.Z.; Lei, Y.H.; Duan, A.M.; Chen, B.; Bao, Y.Y.; He, J.; Wang, T.X.; et al. Spatiotemporal distributions of cloud parameters and their response to meteorological factors over the Tibetan Plateau during 2003–2015 based on MODIS data. Int. J. Climatol. 2018, 39, 532–543. [Google Scholar] [CrossRef]
- Pang, H.; Hou, S.; Zhang, W.; Wu, S.; Jenk, T.M.; Schwikowski, M.; Jouzel, J. Temperature Trends in the Northwestern Tibetan Plateau Constrained by Ice Core Water Isotopes Over the Past 7000 Years. J. Geophys. Res. Atmos. 2020, 125, e2020JD032560. [Google Scholar] [CrossRef]
- Hu, Y.Y.; Xu, Y.; Li, J.J.; Han, Z.Y. Evaluation on the performance of CMIP6 global climate models with different horizontal resolution in simulating the precipitation over China. Adv. Clim. Chang. Res. 2021, 17, 730–743. (In Chinese) [Google Scholar] [CrossRef]
- Dai, A. Precipitation Characteristics in Eighteen Coupled Climate Models. J. Clim. 2006, 19, 4605–4630. [Google Scholar] [CrossRef]
- You, Q.L.; Min, J.Z.; Kang, S.C. Rapid warming in the Tibetan Plateau from observations and CMIP5 models in recent decades. Int. J. Climatol. 2016, 36, 2660–2670. [Google Scholar] [CrossRef]
- Zhu, X.; Wei, Z.G.; Dong, W.J.; Zheng, Z.Y.; Chen, G.Y.; Liu, Y.J. Projected temperature and precipitation changes on the Tibetan Plateau: Results from dynamical downscaling and CCSM4. Theor. Appl. Climatol. 2019, 138, 861–875. [Google Scholar] [CrossRef]
- Wang, Z.Q.; Duan, A.M.; Wu, G.X.; Yang, S. Mechanism for occurrence of precipitation over the southern slope of the Tibetan Plateau without local surface heating. Int. J. Climatol. 2015, 36, 4164–4171. [Google Scholar] [CrossRef]
- Yu, J.W.; Li, Q.Q.; Ding, Y.; Zhang, J.; Wu, Q.Y.; Shen, X.Y. Long-term trend of water vapor over the Tibetan Plateau in boreal summer under global warming. China Earth. Sci. 2022, 65, 662–674. [Google Scholar] [CrossRef]
- Tang, G.Q.; Long, D.; Hong, Y.; Gao, J.Y.; Wan, W. Documentation of multifactorial relationships between precipitation and topography of the Tibetan Plateau using spaceborne precipitation radars. Remote Sens. Environ. 2018, 208, 82–96. [Google Scholar] [CrossRef]
- Gerlitz, L.; Conrad, O.; Böhner, J. Large-scale atmospheric forcing and topographic modification of precipitation rates over High Asia—A neural-network-based approach. Earth Syst. Dyn. 2015, 6, 61–81. [Google Scholar] [CrossRef]
- Adam, J.C.; Clark, E.A.; Lettenmaier, D.P.; Wood, E.F. Correction of global precipitation products for orographic effects. J. Clim. 2006, 19, 15–38. [Google Scholar] [CrossRef]
- Santer, B.D.; Fyfe, J.C.; Pallotta, G.; Flato, J.C.F.G.M.; Meehl, G.A.; England, M.; Hawkins, E.; Mann, M.; Painter, J.F.; Bonfils, C.; et al. Causes of differences in model and satellite tropospheric warming rates. Nat. Geosci. 2017, 10, 478–485. [Google Scholar] [CrossRef]
- Pan, C.; Zhu, B.; Gao, J.H.; Kang, H.Q.; Zhu, T. Quantitative identification of moisture sources over the Tibetan Plateau and the relationship between thermal forcing and moisture transport. Clim. Dyn. 2019, 52, 181–196. [Google Scholar] [CrossRef]
- Zhang, C.; Tang, Q.H.; Chen, D.L.; Ent, R.J.V.; Liu, X.C.; Li, W.H.; Haile, G.G. Moisture source changes contributed to different precipitation changes over the Northern and Southern Tibetan Plateau. J. Hydrometeorol. 2019, 20, 217–229. [Google Scholar] [CrossRef]
- Zhou, C.Y.; Zhao, P.; Chen, J.M. The interdecadal change of summer water vapor over the Tibetan Plateau and associated mechanisms. J. Clim. 2019, 32, 4103–4119. [Google Scholar] [CrossRef]
- Duan, A.M.; Hu, J.; Xiao, Z.X. The Tibetan Plateau summer monsoon in the CMIP5 Simulations. J. Clim. 2013, 26, 7747–7766. [Google Scholar] [CrossRef]










| Model | Institute | Resolution (lon × lat) |
|---|---|---|
| BCC-CSM2 | Beijing Climate Center (China) | 0.45° × 0.45° |
| CAMS-CSM | Chinese Academy of Meteorological Sciences, China | 0.47° × 0.47° |
| CESM2-SE | NCAR, USA | 0.9° × 1.25° |
| CIESM | THU/China | 1.0 ° × 1.0 ° |
| CMCC-CM2 | Centro Euro-Mediterraneo sui Cambiamenti Climatici | 0.25° × 0.25° |
| CNRM-CM6 | National Centre for Meteorological Research, France | 0.5° × 0.5° |
| EC-Earth3P | EC-Earth Consortium, Europe | 0.35° × 0.35° |
| ECMWF-IFS | ECMWF | 0.5° × 0.5° |
| FGOALS-f3 | Chinese Academy of Sciences, China | 0.25° × 0.25° |
| GFDL-CM4 | GFDL/USA | 1.0°× 1.0° |
| HadGEM3-GC31 | Met Office Hadley Centre, UK | 0.23° × 0.35° |
| IPSL-CM6A | IPSL | 0.703° × 0.5° |
| MPI-ESM1 | Max Planck Institute for Meteorology | 0.46° × 0.46° |
| MRI-AGCM3 | Meteorological Research Institute, Japan | 0.19° × 0.19° |
| NorESM2 | Norwegian Climate Service Centre | 0.25° × 0.25° |
Publisher’s Note: MDPI stays neutral with regard to jurisdictional claims in published maps and institutional affiliations. |
© 2022 by the authors. Licensee MDPI, Basel, Switzerland. This article is an open access article distributed under the terms and conditions of the Creative Commons Attribution (CC BY) license (https://creativecommons.org/licenses/by/4.0/).
Share and Cite
Gao, J.; Du, J.; Yang, C.; Deqing, Z.; Ma, P.; Zhuo, G. Evaluation and Correction of Climate Simulations for the Tibetan Plateau Using the CMIP6 Models. Atmosphere 2022, 13, 1947. https://doi.org/10.3390/atmos13121947
Gao J, Du J, Yang C, Deqing Z, Ma P, Zhuo G. Evaluation and Correction of Climate Simulations for the Tibetan Plateau Using the CMIP6 Models. Atmosphere. 2022; 13(12):1947. https://doi.org/10.3390/atmos13121947
Chicago/Turabian StyleGao, Jiajia, Jun Du, Cheng Yang, Zhuoga Deqing, Pengfei Ma, and Ga Zhuo. 2022. "Evaluation and Correction of Climate Simulations for the Tibetan Plateau Using the CMIP6 Models" Atmosphere 13, no. 12: 1947. https://doi.org/10.3390/atmos13121947
APA StyleGao, J., Du, J., Yang, C., Deqing, Z., Ma, P., & Zhuo, G. (2022). Evaluation and Correction of Climate Simulations for the Tibetan Plateau Using the CMIP6 Models. Atmosphere, 13(12), 1947. https://doi.org/10.3390/atmos13121947

