Actual Evapotranspiration Estimation Using Sentinel-1 SAR and Sentinel-3 SLSTR Data Combined with a Gradient Boosting Machine Model in Busia County, Western Kenya
Abstract
1. Introduction
2. Materials and Methods
2.1. Study Area
2.2. Used Data and Processing
2.3. Gradient Boosting Machine (GBM)
2.4. Limitations of the Applied Datasets and Methodology
3. Results and Discussion
3.1. Descriptive Statistics
3.1.1. Sentinel-1 and Sentinel-3 Used Variables
3.1.2. Model Training Using a Random Search
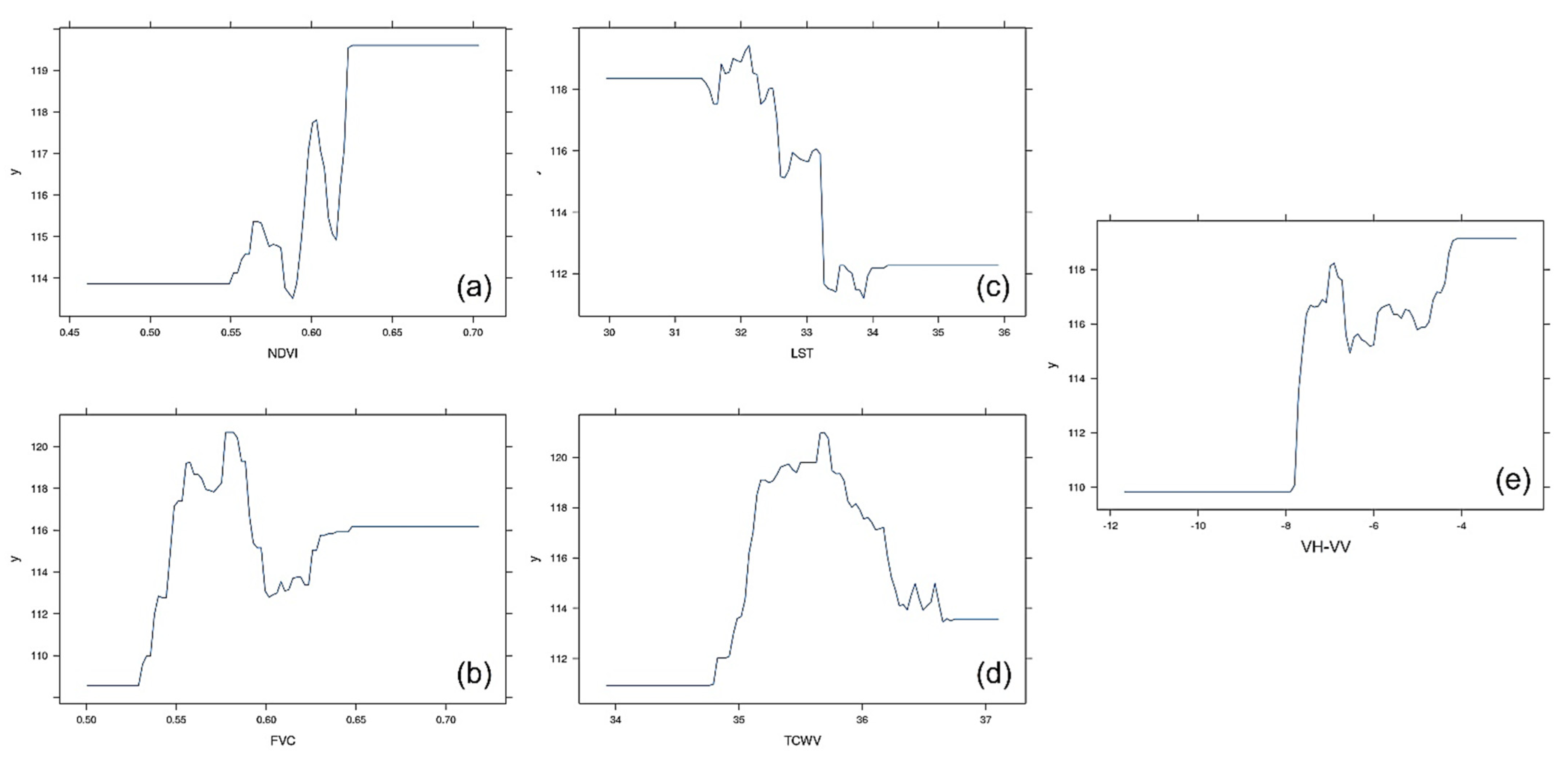
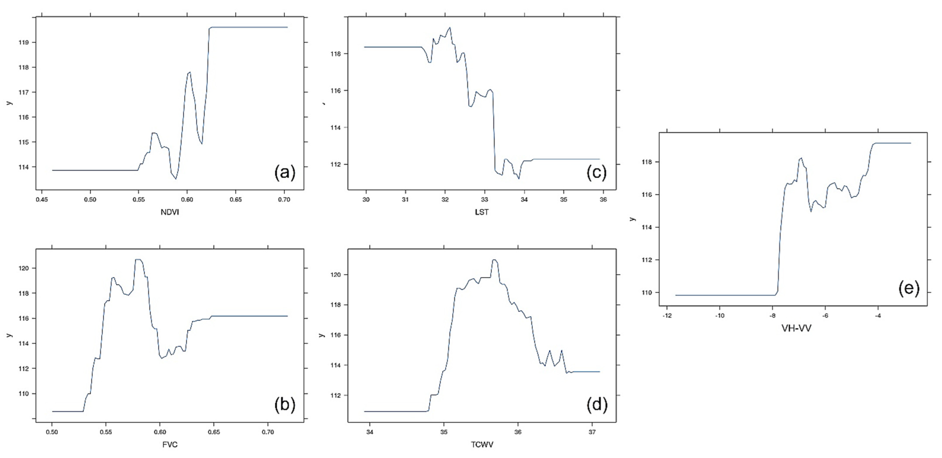
3.1.3. Relative Influences of the Variables on the Model
3.2. Accuracy Assessment Using Correlation Coefficient (R) and Root-Mean-Squared Error (RMSE)
4. Conclusions
Author Contributions
Funding
Institutional Review Board Statement
Informed Consent Statement
Data Availability Statement
Acknowledgments
Conflicts of Interest
References
- UN. The 2030 Agenda and the Sustainable Development Goals: An opportunity for Latin America and the Caribbean (LC/G.2681-P/Rev.3), Santiago. 2018. Available online: https://www.cepal.org/sites/default/files/events/files/2030_agenda_and_the_sdgs_an_opportunity_for_latin_america_and_the_caribbean.pdf (accessed on 18 September 2022).
- UN-Water. Step-by-Step Methodology for Monitoring Water Use Efficiency (6.4.1); Annual Technical Report; UN-Water: Geneva, Switzerland, 2019; Available online: https://www.unwater.org/publications/step-step-methodology-monitoring-water-use-efficiency-641/ (accessed on 18 September 2022).
- UN-Water. Step-by-Step Methodology for Monitoring Water Stress (6.4.2); Annual Technical Report; UN-Water: Geneva, Switzerland, 2019; Available online: https://www.unwater.org/publications/step-step-methodology-monitoring-water-stress-64-2/ (accessed on 18 September 2022).
- ET4FAO 2022. Increasing Crop Water Use Efficiency at Multiple Scales Using Sentinel Evapotranspiration (ET4FAO). Available online: https://eo4society.esa.int/projects/et4fao/ (accessed on 10 September 2022).
- Food and Agriculture Organization of the United Nations. AQUASTAT-FAO. FAO’s Information System on Water and Agriculture. 2018. Available online: http://www.fao.org/aquastat/en/ (accessed on 18 September 2022).
- Budagovskyi, A.I.; Novák, V. Theory of evapotranspiration: Transpiration and its quantitative description. J. Hydrol. Hydromech. 2011, 59, 3–23. [Google Scholar] [CrossRef]
- Baldocchi, D.D.; Falge, E.; Wilson, K. A spectral analysis of biosphere-atmosphere trace gas flux densities and meteorological variables across hour to multi-year time scales. Agric. For. Meteorol. 2001, 107, 1–27. [Google Scholar] [CrossRef]
- Trenberth, K.E.; Smith, L.; Qian, T.; Dai, A.; Fasullo, J. Estimates of the global water budget and its annual cycle using observational and model data. J. Hydrometeorol. 2007, 8, 758–769. [Google Scholar] [CrossRef]
- El-Shirbeny, M.A.; Abutaleb, K.A. Monitoring of Water-Level Fluctuation of Lake Nasser Using Altimetry Satellite Data. Earth Syst. Environ. 2018, 2, 367–375. [Google Scholar] [CrossRef]
- El-Shirbeny, M.A.; Saleh, S.M. Actual evapotranspiration evaluation based on multi-sensed data. J. Arid. Agric. 2021, 7, 95–102. [Google Scholar] [CrossRef]
- El-Shirbeny, M.A.; Ali, A.M.; Khdery, G.A.; Saleh, N.H.; Afify, N.M.; Badr, M.A.; Bauomy, E.M. Monitoring agricultural water in the desert environment of New Valley Governorate for sustainable agricultural development: A case study of Kharga. Euro-Mediterranean J. Environ. Integr. 2021, 6, 56. [Google Scholar] [CrossRef]
- Koster, R.D.; Dirmeyer, P.A.; Guo, Z.; Bonan, G.; Chan, E.; Cox, P.; Gordon, C.T.; Kanae, S.; Kowalczyk, E.; Lawrence, D.; et al. Regions of strong coupling between soil moisture and precipitation. Science 2004, 305, 1138–1140. [Google Scholar] [CrossRef] [PubMed]
- Seneviratne, S.I.; Corti, T.; Davin, E.L.; Hirschi, M.; Jaeger, E.B.; Lehner, I.; Orlowsky, B.; Teuling, A.J. Investigating soil moisture–climate interactions in a changing climate: A review. Earth Sci. Rev. 2010, 99, 125–161. [Google Scholar] [CrossRef]
- Jung, M.; Reichstein, M.; Ciais, P.; Seneviratne, S.I.; Sheffield, J.; Goulden, M.L.; Bonan, G.; Cescatti, A.; Chen, J.; de Jeu, R.; et al. Recent decline in the global land evapotranspiration trend due to limited moisture supply. Nature 2010, 467, 951–954. [Google Scholar] [CrossRef]
- Malik, A.; Saggi, M.K.; Rehman, S.; Sajjad, H.; Inyurt, S.; Bhatia, A.S.; Farooque, A.A.; Oudah, A.Y.; Yaseen, Z.M. Deep learning versus gradient boosting machine for pan evaporation prediction. Eng. Appl. Comput. Fluid Mech. 2022, 16, 570–587. [Google Scholar] [CrossRef]
- Shrivastav, L.K.; Jha, S.K. A gradient boosting machine learning approach in modeling the impact of temperature and humidity on the transmission rate of COVID-19 in India. Appl. Intell. 2021, 51, 2727–2739. [Google Scholar] [CrossRef] [PubMed]
- Frey, U.J. Putting machine learning to use in natural resource management-improving model performance. Ecol. Soc. 2020, 25, 45. [Google Scholar] [CrossRef]
- Gagne, D.J.; Haupt, S.E.; Nychka, D.W.; Thompson, G. Interpretable deep learning for spatial analysis of severe hailstorms. Mon. Weather. Rev. 2019, 147, 2827–2845. [Google Scholar] [CrossRef]
- McGovern, A.; Elmore, K.L.; Gagne, D.J., II; Haupt, S.E.; Karstens, C.D.; Lagerquist, R.; Smith, T.; Williams, J.K. Using artificial intelligence to improve real-time decision-making for high-impact weather. Bull. Amer. Meteor. Soc. 2017, 98, 2073–2090. [Google Scholar] [CrossRef]
- Castellvi, F.; Snyder, R.L. A comparison between latent heat fluxes over grass using a weighing lysimeter and surface renewal analysis. J. Hydrol. 2010, 381, 213–220. [Google Scholar] [CrossRef]
- Faharani, H.J.; Howell, T.A.; Shuttleworth, W.J.; Bausch, W.C. Evapotranspiration; Progress in measurement and modeling in agriculture. Trans. ASABE 2007, 50, 1627–1638. [Google Scholar] [CrossRef]
- Loos, C.; Gayler, S.; Priesack, S. Assessment of water balance simulations for large-scale weighing lysimeters. J. Hydrol. 2007, 335, 259–270. [Google Scholar] [CrossRef]
- Wohlfahrt, G.; Ischick, C.; Thalinger, B.; Hörtnagl, L.; Obojes, N.; Hammerle, A. Insights from independent evapotranspiration estimates for closing the energy balance: A grassland case study. Vadose Zone J. 2010, 9, 1025–1033. [Google Scholar] [CrossRef]
- Wegehenkel, M.; Gerke, H. Comparison of real evapotranspiration measured by weighing lysimeters with simulations based on the Penman formula and a crop growth model. J. Hydrol. Hydromech. 2013, 61, 161–172. [Google Scholar] [CrossRef][Green Version]
- Chen, Y.; Xia, J.; Liang, S.; Feng, J.; Fisher, J.B.; Li, X.; Li, X.; Liu, S.; Ma, Z.; Miyata, A.; et al. Comparison of satellite-based evapotranspiration models over terrestrial ecosystems in China. Remote Sens. Environ. 2014, 140, 279–293. [Google Scholar] [CrossRef]
- Jiménez, C.; Prigent, C.; Mueller, B.; Seneviratne, S.I.; McCabe, M.F.; Wood, E.F.; Rossow, W.B.; Balsamo, G.; Betts, A.K.; Dirmeyer, P.A.; et al. Global intercomparison of 12 land surface heat flux estimates. J. Geophys. Res. Atmos. 2011, 116, D02102. [Google Scholar] [CrossRef]
- Miralles, D.G.; Holmes, T.R.H.; De Jeu, R.A.M.; Gash, J.H.; Meesters, A.G.C.A.; Dolman, A.J. Global land-surface evaporation estimated from satellite-based observations. Hydrol. Earth Syst. Sci. 2011, 15, 453–469. [Google Scholar] [CrossRef]
- Mueller, B.; Seneviratne, S.I.; Jimenez, C.; Corti, T.; Hirschi, M.; Balsamo, G.; Ciais, P.P.; Dirmeyer, P.; Fisher, J.B.; Guo, Z.; et al. Evaluation of global observation-based evapotranspiration datasets and IPCC AR4 simulations. Geophys. Res. Lett. 2011, 38, L06402. [Google Scholar] [CrossRef]
- McMahon, T.A.; Peel, M.C.; Lowe, L.; Srikanthan, R.; McVicar, T.R. Estimating actual, potential, reference crop and pan evaporation using standard meteorological data: A pragmatic synthesis. Hydrol. Earth Syst. Sci. 2013, 17, 1331–1363. [Google Scholar] [CrossRef]
- Kim, S.; Sharma, A. The role of floodplain topography in deriving basin discharge using passive microwave remote sensing. Water Resour. Res. 2019, 55, 1707–1716. [Google Scholar] [CrossRef]
- Libertino, A.; Sharma, A.; Lakshmi, V.; Claps, P. A global assessment of the timing of extreme rainfall from TRMM and GPM for improving the hydrologic design. Environ. Res. Lett. 2016, 11, 54003. [Google Scholar] [CrossRef]
- Zhang, R.; Kim, S.; Sharma, A. A comprehensive validation of the SMAP Enhanced Level-3 Soil Moisture product using ground measurements over varied climates and landscapes. Remote Sens. Environ. 2019, 223, 82–94. [Google Scholar] [CrossRef]
- Long, D.; Longuevergne, L.; Scanlon, B.R. Uncertainty in evapotranspiration from land surface modeling, remote sensing, and GRACE satellites. Water Resour. Res. 2014, 50, 1131–1151. [Google Scholar] [CrossRef]
- Bastiaanssen, W.G.M.; Menenti, M.; Feddes, R.A.; Holtslag, A.A.M. A remote sensing surface energy balance algorithm for land (SEBAL), Part 1: Formulation. J. Hydrol. 1998, 212–213, 198–212. [Google Scholar] [CrossRef]
- Su, Z. The Surface Energy Balance System (SEBS) for estimation of turbulent heat fluxes. Hydrol. Earth Syst. Sci. 2002, 6, 85–100. [Google Scholar] [CrossRef]
- Loheide, S.P.; Gorelick, S.M. A local-scale, high-resolution evapotranspiration mapping algorithm (ETMA) with hydroecological applications at riparian meadow restoration sites. Remote Sens. Environ. 2005, 98, 182–200. [Google Scholar] [CrossRef]
- Anderson, M.C.; Norman, J.M.; Mecikalski, J.R.; Otkin, J.A.; Kustas, W.P. A climatological study of evapotranspiration and moisture stress across the continental United States based on thermal remote sensing: 1. Model formulation. J. Geophys. Res. Atmos. 2007, 112, 1–17. [Google Scholar] [CrossRef]
- Velpuri, N.M.; Senay, G.B.; Singh, R.K.; Bohms, S.; Verdin, J.P. A comprehensive evaluation of two MODIS evapotranspiration products over the conterminous United States: Using point and gridded FLUXNET and water balance ET. Remote Sens. Environ. 2013, 139, 35–49. [Google Scholar] [CrossRef]
- Arast, M.; Ranjbar, A.; Mousavi, S.H.; Abdollahi, K. Assessment of the Relationship between NDVI-Based actual evapotranspiration by SEBS. Iran. J. Sci. Technol. Trans. A Sci. 2020, 44, 1051–1062. [Google Scholar] [CrossRef]
- Nagler, P.L.; Glenn, E.P.; Nguyen, U.; Scott, R.L.; Doody, T. Estimating riparian and agricultural actual evapotranspiration by reference evapotranspiration and MODIS enhanced vegetation index. Remote Sens. 2013, 5, 384913871. [Google Scholar] [CrossRef]
- McCabe, M.F.; Wood, E.F.; Wójcik, R.; Pan, M.; Sheffield, J.; Gao, H.; Su, H. Hydrological consistency using multi-sensor remote sensing data for water and energy cycle studies. Remote Sens. Environ. 2008, 112, 430–444. [Google Scholar] [CrossRef]
- Conroy, J.W.; Wu, J.; Elliot, W. Modification of the evapotranspiration routines in the WEPP model: Part I. In Proceedings of the ASAE Annual International Meeting, Las Vegas, NV, USA, 27–30 July 2003; pp. 1–16. Available online: http://www.pubs.asce.org/WWWdisplay.cgi?8801815 (accessed on 1 October 2022).
- Builes, V.H.R.; Porch, T.G.; Harmsen, E.W. Genotypic differences in water use efficiency of common bean under drought stress. Agron. J. 2011, 103, 1206–1215. [Google Scholar] [CrossRef]
- Donlon, C.; Berruti, B.; Buongiorno, A.; Ferreira, M.H.; Féménias, P.; Frerick, J.; Goryl, P.; Klein, U.; Laur, H.; Mavrocordatos, C.; et al. The Global Monitoring for Environment and Security (GMES) Sentinel-3 mission. Remote Sens. Environ. 2012, 120, 37–57. [Google Scholar] [CrossRef]
- Veloso, A.; Mermoz, S.; Bouvet, A.; Le Toan, T.; Planells, M.; Dejoux, J.F.; Ceschia, E. Understanding the temporal behavior of crops using Sentinel-1 and Sentinel-2-like data for agricultural applications. Remote Sens. Environ. 2017, 199, 415–426. [Google Scholar] [CrossRef]
- Guzinski, R.; Nieto, H. Evaluating the feasibility of using Sentinel-2 and Sentinel-3 satellites for high-resolution evapotranspiration estimations. Remote Sens. Environ. 2019, 221, 157–172. [Google Scholar] [CrossRef]
- Seelan, S.K.; Laguette, S.; Casady, G.M.; Seielstad, G.A. Remote sensing applications for precision agriculture: A learning community approach. Remote Sens. Environ. 2003, 88, 157–169. [Google Scholar] [CrossRef]
- Guzinski, R.; Nieto, H.; Sandholt, I.; Karamitilios, G. Modeling High-Resolution Actual Evapotranspiration through Sentinel-2 and Sentinel-3 Data Fusion. Remote Sens. 2020, 12, 1433. [Google Scholar] [CrossRef]
- Nsiah, J.J.; Gyamfi, C.; Anornu, G.K.; Odai, S.N. Estimating the spatial distribution of evapotranspiration within the Pra River Basin of Ghana. Heliyon 2021, 7, e06828. [Google Scholar] [CrossRef] [PubMed]
- Shilenje, Z.W.; Murage, P.; Ongoma, V. Estimation of Potential Evaporation Based on Penman Equation under Varying Climate, for Murang’a County, Kenya. Pak. J. Meteorol. 2015, 12, 33–42. Available online: https://www.researchgate.net/publication/297917775 (accessed on 1 September 2022).
- Ogallo, L. The mainstreaming of climate change and variability information into planning and policy development for Africa. Procedia Environ. Sci. 2010, 1, 405–410. [Google Scholar] [CrossRef][Green Version]
- Marshall, M.T.; Funk, C.; Michaelsen, J. Agricultural Drought Monitoring in Kenya Using Evapotranspiration Derived from Remote Sensing and Reanalysis Data. USGS Staff. Publ. Res. 2012, 978, 1–30. Available online: http://digitalcommons.unl.edu/usgsstaffpub/978 (accessed on 1 September 2022).
- Akuja, T.E.; Kandagor, J. A review of policies and agricultural productivity in the arid and semiarid lands (ASALS), Kenya: The case of Turkana County. J. Appl. Biosci. 2019, 140, 14304–14315. [Google Scholar] [CrossRef]
- UN-Water and Sanitation. Water Action Decade 2018–2028. Available online: https://www.un.org/sustainabledevelopment/water-and-sanitation/ (accessed on 5 July 2022).
- Bhaduri, A.; Bogardi, J.; Siddiqi, A.; Voigt, H.; Vörösmarty, C.; Pahl-Wostl, C.; Bunn, S.E.; Shrivastava, P.; Lawford, R.; Foster, S.; et al. Achieving sustainable development goals from a water perspective. Front. Environ. Sci. 2016, 4, 64. [Google Scholar] [CrossRef]
- Carleton, T.A.; Hsiang, S.M. Social and economic impacts of climate. Science 2016, 353, aad9837. [Google Scholar] [CrossRef]
- Sorre, A.M. Effects of climate change on rural livelihoods in Busia County, Kenya. Int. J. Agric. Sci. 2017, 3, 75–89. Available online: https://www.iiardjournals.org/ (accessed on 5 July 2022).
- Masson-Delmotte, V.P.; Zhai, A.; Pirani, S.L.; Connors, C.; Péan, S.; Berger, N.; Caud, Y.; Chen, L.; Goldfarb, M.I.; Gomis, M.; et al. (Eds.) Climate Change 2021: The Physical Science Basis. Contribution of Working Group I to the Sixth Assessment Report of the Intergovernmental Panel on Climate Change; Cambridge University Press: Cambridge, UK; New York, NY, USA, 2021; Available online: https://report.ipcc.ch/ar6/wg1/IPCC_AR6_WGI_FullReport.pdf (accessed on 5 July 2022).
- KNBS 2019. 2019 Kenya Population and Housing Census. Volume IV: Distribution of Population by Socio-Economic Characteristics. December 2019. Available online: https://www.knbs.or.ke/?wpdmpro=2019-kenya-population-and-housing-censusvolume-iv-distribution-of-population-by-socio-economic-characteristics (accessed on 5 July 2022).
- Juma, G.S.; Kituni, N.; Makokha, J.W. Advection, and its applications: Trajectories over Busia County in Kenya. Clim. Change 2020, 6, 186–190. Available online: http://www.discoveryjournals.org/climate_change/current_issue/v6/n22/A3.pdf (accessed on 5 July 2022).
- Makori, A.J.; Abuom, P.O.; Kapiyo, R.; Anyona, O.D.; Dida, O.G. Effects of water Physico-chemical parameters on tilapia (Oreochromis niloticus) growth in earthen ponds in Teso North Sub-County, Busia County. Fish. Aquat. Sci. 2017, 20, 30. [Google Scholar] [CrossRef]
- Sorre, A.M.; Kurgat, A.; Musebe, R.; Sorre, B. Adaptive capacity to climate change among smallholder farmers in Busia County, Kenya. J. Agric. Vet. Sci. 2017, 10, 40–48. Available online: https://www.iosrjournals.org/iosr-javs/papers/Vol10-issue11/Version-1/H1011014048.pdf (accessed on 5 July 2022).
- Kebeney, S.J.; Msanya, B.M.; Ng’etich, W.K.; Semoka, J.M.R.; Serrem, C.K. Pedological Characterization of Some Typical Soils of Busia County, Western Kenya: Soil Morphology, Physico-chemical Properties, Classification, and Fertility Trends. Int. J. Plant Soil Sci. 2014, 4, 29–44. [Google Scholar] [CrossRef]
- Okeyo, B.; Wamugi, S.M. Climate Change Effects and the Resulting Adaptation Strategies of Smallholder Farmers in Three Different Ecological Zones (Kilifi, Embu, and Budalangi) in Kenya. J. Environ. Earth Sci. 2018, 8, 40–70. Available online: https://www.iiste.org/Journals/index.php/JEES/article/view/43354/44682 (accessed on 5 July 2022).
- Wekesa, B.M.; Ayuya, O.I.; Lagat, J.K. Effect of climate-smart agricultural practices on household food security in smallholder production systems: Micro-level evidence from Kenya. Agric. Food Secur. 2018, 7, 80. [Google Scholar] [CrossRef]
- Government of Kenya. Busia County Integrated Development Plan; Government Printers: Nairobi, Kenya, 2013.
- ESA. User Guides. 2022. Available online: https://sentinels.copernicus.eu/web/sentinel/user-guides (accessed on 5 July 2022).
- Coppo, P.; Ricciarelli, B.; Brandani, F.; Delderfield, J.; Ferlet, M.; Mutlow, C.; Munro, G.; Nightingale, T.; Smith, D.; Bianchi, S.; et al. SLSTR: A high accuracy dual scan temperature radiometer for sea and land surface monitoring from space. J. Mod. Opt. 2010, 57, 1815–1830. [Google Scholar] [CrossRef]
- Yang, L.; Li, J.; Sun, Z.; Liu, J.; Yang, Y.; Li, T. Daily actual evapotranspiration estimation of different land use types based on SEBAL model in the agro-pastoral ecotone of northwest China. PLoS ONE 2022, 17, e0265138. [Google Scholar] [CrossRef]
- Harfenmeister, K.; Spengler, D.; Weltzien, C. Analyzing Temporal and Spatial Characteristics of Crop Parameters Using Sentinel-1 Backscatter Data. Remote Sens. 2019, 11, 1569. [Google Scholar] [CrossRef]
- Ishitsuka, K.; Tsuji, T.; Matsuoka, T. Surface Change of the Soil Liquefaction Caused by the 2011 Great East Japan Earthquake Derived from SAR Data. In Proceedings of the International Symposium on Engineering Lessons Learned from the 2011 Great East Japan Earthquake, Tokyo, Japan, 1–4 March 2012; Available online: https://www.jaee.gr.jp/event/seminar2012/eqsympo/pdf/papers/26.pdf (accessed on 5 July 2022).
- Henderson, F.M.; Lewis, A.J. Principles and Applications of Imaging Radar. Manual of Remote Sensing, 3rd ed.; John Wiley and Sons: New York, NY, USA, 1998. Available online: https://www.osti.gov/biblio/293027 (accessed on 2 October 2022).
- Filipponi, F. Exploitation of Sentinel-2 Time Series to Map Burned Areas at the National Level: A Case Study on the 2017 Italy Wildfires. Remote Sens. 2019, 11, 622. [Google Scholar] [CrossRef]
- Hosen, M.S.; Amin, R. Significant of Gradient Boosting Algorithm in Data Management System. Eng. Int. 2021, 9, 85–100. [Google Scholar] [CrossRef]
- Saatchi, S. SAR methods for mapping and monitoring forest biomass. In SAR Handbook: Comprehensive Methodologies for Forest Monitoring and Biomass Estimation; Flore, A., Herndon, K., Thapa, R., Cherrington, E., Eds.; Servir Global: Huntsville, AL, USA, 2019; pp. 207–246. [Google Scholar] [CrossRef]
- Freund, Y.; Schapire, R. A decision-theoretic generalization of online learning and an application to boosting. J. Comput. Syst. Sci. 1997, 55, 119–139. [Google Scholar] [CrossRef]
- Friedman, J. Greedy boosting approximation: A gradient boosting machine. Ann. Stat. 2001, 29, 1189–1232. [Google Scholar] [CrossRef]
- Bhagat, S.K.; Tiyasha, T.; Tung, T.M.; Mostafa, R.R.; Yaseen, Z.M. Manganese (Mn) removal prediction using extreme gradient model. Ecotoxicol. Environ. Saf. 2020, 204, 111059. [Google Scholar] [CrossRef] [PubMed]
- Naganna, S.R.; Beyaztas, B.H.; Bokde, N.; Armanuos, A.M. On the evaluation of the gradient tree boosting model for groundwater level forecasting. Knowl. Based Eng. Sci. 2020, 1, 48–57. [Google Scholar] [CrossRef]
- Landry, M.; Bartz, A. Machine Learning with R and H2O; H2O.ai: Mountain View, CA, USA, 2022; Available online: https://h2o.ai/resources/booklet/machine-learning-with-r-and-h2o/ (accessed on 5 August 2022).
- Landry, M.; Erlinger, P.T.; Patschke, D.; Varrichio, C. Probabilistic gradient boosting machines for GEFCom2014 wind forecasting. Int. J. Forecast. 2016, 32, 1061–1066. [Google Scholar] [CrossRef]
- Sridharan, K.; Komarasamy, G. Sentiment classification using harmony random forest and harmony gradient boosting machine. Soft Comput. 2020, 24, 7451–7458. [Google Scholar] [CrossRef]
- Zhang, Z.; Zhao, Y.; Canes, A.; Steinberg, D.; Lyashevska, O. written on behalf of AME Big-Data Clinical Trial Collaborative Group. Predictive analytics with gradient boosting in clinical medicine. Ann. Transl. Med. 2019, 7, 152. [Google Scholar] [CrossRef]
- Khoi, D.N.; Quan, N.T.; Linh, D.Q.; Nhi, P.T.T.; Thuy, N.T.D. Using Machine Learning Models for Predicting the Water Quality Index in the La Buong River, Vietnam. Water 2022, 14, 1552. [Google Scholar] [CrossRef]
- Zalakeviciute, R.; Rybarczyk, Y.; Alexandrino, K.; Bonilla-Bedoya, S.; Mejia, D.; Bastidas, M.; Diaz, V. Gradient Boosting Machine to Assess the Public Protest Impact on Urban Air Quality. Appl. Sci. 2021, 11, 12083. [Google Scholar] [CrossRef]
- Bhagat, S.K.; Tung, T.M.; Yaseen, Z.M. Heavy metal contamination prediction using ensemble model: Case study of Bay sedimentation, Australia. J. Hazard. Mater. 2021, 403, 123492. [Google Scholar] [CrossRef] [PubMed]
- Natekin, A.; Knoll, A. Gradient boosting machines, a tutorial. Front. Neurorobot. 2013, 7, 21. [Google Scholar] [CrossRef] [PubMed]
- Gibson, L.A.; Münch, Z.; Engelbrecht, J. Particular uncertainties encountered in using a pre-packaged SEBS model to derive evapotranspiration in a heterogeneous study area in South Africa. Hydrol. Earth Syst. Sci. 2011, 15, 295–310. [Google Scholar] [CrossRef]
- Zhao, F.; Ma, S.; Wu, Y.; Qiu, L.; Wang, W.; Lian, Y.; Chen, J.; Sivakumar, B. The role of climate change and vegetation greening on evapotranspiration variation in the Yellow River basin, China. Agric. For. Meteorol. 2022, 316, 108842. [Google Scholar] [CrossRef]
- Klisch, A.; Atzberger, C. Operational Drought Monitoring in Kenya Using MODIS NDVI Time Series. Remote Sens. 2016, 8, 267. [Google Scholar] [CrossRef]
- Javadnia, E.; Mobasheri, M.R.; Kamali, G.A. MODIS NDVI quality enhancement using ASTER images. J. Agr. Sci. Tech. 2009, 2, 549–558. Available online: https://www.researchgate.net/publication/228947571 (accessed on 5 July 2022).
- Barrett, A.B.; Duivenvoorden, S.; Salakpi, E.E.; Muthoka, J.M.; Mwangi, J.; Oliver, S.; Rowhani, P. Forecasting vegetation condition for drought early warning systems in pastoral communities in Kenya. Remote Sens. Environ. 2020, 248, 111886. [Google Scholar] [CrossRef]
- Schirmbeck, J.; Fontana, D.C.; Roberti, D.R. Evaluation of OSEB and SEBAL models for energy balance of a crop area in a humid subtropical climate. Bragantia 2018, 77, 609–621. [Google Scholar] [CrossRef]
- Sun, Z.; Wang, Q.; Batkhishig, O.; Ouyang, Z. Relationship between Evapotranspiration and Land Surface Temperature under Energy- and Water-Limited Conditions in Dry and Cold Climates. Adv. Meteorol. 2016, 2016, 1–9. [Google Scholar] [CrossRef]
- Wang, K.; Dickinson, R.E. A review of global terrestrial evapotranspiration: Observation, modeling, climatology, and climatic variability. Rev. Geophys. 2012, 50, 2. [Google Scholar] [CrossRef]
- Rocha, N.S.d.; Käfer, P.S.; Skokovic, D.; Veeck, G.; Diaz, L.R.; Kaiser, E.A.; Carvalho, C.M.; Cruz, R.C.; Sobrino, J.A.; Roberti, D.R.; et al. The Influence of Land Surface Temperature in Evapotranspiration Estimated by the S-SEBI Model. Atmosphere 2020, 11, 1059. [Google Scholar] [CrossRef]
- Saadi, S.; Boulet, G.; Bahir, M.; Brut, A.; Delogu, É.; Fanise, P.; Mougenot, B.; Simonneaux, V.; Lili Chabaane, Z. Assessment of actual evapotranspiration over a semiarid heterogeneous land surface by means of coupled low-resolution remote sensing data with an energy balance model: Comparison to extra-large aperture scintillometer measurements. Hydrol. Earth Syst. Sci. 2018, 22, 2187–2209. [Google Scholar] [CrossRef]
- Brown, C.E.; Fingas, M.F.; Hawkins, R. Synthetic aperture radar sensors: Viable for marine oil spill response? In Proceedings of the Arctic and Marine OIL SPILL Program Technical Seminar, Ottawa, ON, Canada, 10 January 2003; Volume 1, pp. 299–310. Available online: https://inis.iaea.org/search/search.aspx?orig_q=RN:34059651 (accessed on 5 July 2022).
- Rosenqvist, A.; Perez, A.; Olfindo, N. A Layman’s Interpretation Guide to L-Band and C-Band Synthetic Aperture Radar Data; Committee on Earth Observation Satellites: Washington, DC, USA, 2018; Available online: https://ceos.org/ard/files/Laymans_SAR_Interpretation_Guide_2.0.pdf (accessed on 5 July 2022).
- Vreugdenhil, M.; Wagner, W.; Bauer-Marschallinger, B.; Pfeil, I.; Teubner, I.; Rüdiger, C.; Strauss, P. Sensitivity of Sentinel-1 backscatter to vegetation dynamics: An Austrian case study. Remote Sens. 2018, 10, 1396. [Google Scholar] [CrossRef]
- Liashchynskyi, P.; Liashchynskyi, P. Grid search, random search, genetic algorithm: A big comparison for NAS. arXiv 2019, arXiv:1912.06059. [Google Scholar]
- Bergstra, J.; Bengio, Y. Random search for hyper-parameter optimization. J. Mach. Learn. Res. 2012, 13, 281–305. Available online: https://www.researchgate.net/journal/Journal-of-Machine-Learning-Research-1532-4435 (accessed on 2 August 2022).
- Larochelle, H.; Erhan, D.; Courville, A.; Bergstra, J.; Bengio, Y. An empirical evaluation of deep architectures on problems with many factors of variation. In Proceedings of the Twenty-Fourth International Conference on Machine Learning (ICML’07), Corvallis, OR, USA, 20–24 June 2007; Ghahramani, Z., Ed.; pp. 473–480. [Google Scholar] [CrossRef]
- Probst, P.; Boulesteix, A.L.; Bischl, B. Tunability: Importance of hyperparameters of machine learning algorithms. J. Mach. Learn. Res. 2019, 20, 1934–1965. Available online: https://jmlr.org/papers/volume20/18-444/18-444.pdf (accessed on 1 September 2022).
- Boehmke, B.; Greenwell, B.M. Chapter 12: Gradient Boosting, Hands-On Machine Learning with R, 1st ed.; Chapman and Hall/CRC: London, UK, 2019. [Google Scholar] [CrossRef]
- Wu, B.; Zhu, W.; Yan, N.; Xing, Q.; Xu, J.; Ma, Z.; Wang, L. Regional actual evapotranspiration estimation with land and meteorological variables derived from multi-source satellite data. Remote Sens. 2020, 12, 332. [Google Scholar] [CrossRef]
- Courault, D.; Seguin, B.; Olioso, A. Review on estimation of evapotranspiration from remote sensing data: From empirical to numerical modeling approaches. Irrig. Drain. Syst. 2005, 19, 223–249. [Google Scholar] [CrossRef]
- Cristóbal, J.; Jiménez-Muñoz, J.C.; Prakash, A.; Mattar, C.; Skoković, D.; Sobrino, J.A. An improved single-channel method to retrieve land surface temperature from the Landsat-8 thermal band. Remote Sens. 2018, 10, 431. [Google Scholar] [CrossRef]
- García-Santos, V.; Sánchez, J.M.; Cuxart, J. Evapotranspiration Acquired with Remote Sensing Thermal-Based Algorithms: A State-of-the-Art Review. Remote Sens. 2022, 14, 3440. [Google Scholar] [CrossRef]
- Kim, Y.; Jackson, T.; Bindlish, R.; Lee, H.; Hong, S. Radar vegetation index for estimating the vegetation water content of rice and soybean. IEEE Geosci. Remote Sens. Lett. 2011, 9, 564–568. [Google Scholar] [CrossRef]
- Szigarski, C.; Jagdhuber, T.; Baur, M.; Thiel, C.; Urbazaev, M.; Parrens, M.; Entekhabi, D. Analysis of the radar vegetation index and assessment of potential for improvement. In Proceedings of the IGARSS 2018–2018 IEEE International Geoscience and Remote Sensing Symposium, Valencia, Spain, 22–27 July 2018; pp. 8143–8146. [Google Scholar] [CrossRef]
- Yan, N.; Tian, F.; Wu, B.; Zhu, W.; Yu, M. Spatiotemporal analysis of actual evapotranspiration and its causes in the Hai Basin. Remote Sens. 2018, 10, 332. [Google Scholar] [CrossRef]
- Ma, Z.; Yan, N.; Wu, B.; Stein, A.; Zhu, W.; Zeng, H. Variation in actual evapotranspiration following changes in climate and vegetation cover during an ecological restoration period (2000–2015) in the Loess Plateau, China. Sci. Total Environ. 2019, 689, 534–545. [Google Scholar] [CrossRef] [PubMed]
- Suzuki, R.; Masuda, K. Interannual co-variability found in evapotranspiration and satellite-derived vegetation indices over northern Asia. J. Meteorol. Soc. Jpn. 2004, 82, 1233–1241. [Google Scholar] [CrossRef]
- Li, S.-G.; Eugster, W.; Asanuma, J.; Kotani, A.; Davaa, G.; Oyunbaatar, D.; Sugita, M. Energy partitioning and its biophysical controls above a grazing steppe in central Mongolia. Agric. For. Meteorol. 2006, 137, 89–106. [Google Scholar] [CrossRef]
- Nzioka, J.M.; Njeri, J.K.; Karanja, F.K.; Manene, M.M. On the Relationship between Satellite-based Evapotranspiration and Normalized Difference Vegetation Index, Case Study: Narok County of Kenya. Afr. J. Phys. Sci. 2014, 1, 2313–3317. Available online: https://core.ac.uk/download/pdf/236173325.pdf (accessed on 2 October 2022).
- Glen, A.S.; Dickman, C.R.; Soule, M.E.; Mackey, B.G. Evaluating the role of the dingo as a trophic regulator in Australian ecosystems. Austral Ecol. 2007, 32, 492–501. [Google Scholar] [CrossRef]
- Muir, C.; Southworth, J.; Khatami, R.; Herrero, H.; Akyapı, B. Vegetation Dynamics and Climatological Drivers in Ethiopia at the Turn of the Century. Remote Sens. 2021, 13, 3267. [Google Scholar] [CrossRef]








| Variable | Description |
|---|---|
| VH | Sigma naught (σ°) backscatter intensity in decibels (dB) |
| VV | Sigma naught (σ°) backscatter intensity in decibels (dB) |
| Diff | The difference between VH and VV (dB) |
| ratio | The ratio between VH and VV (dB) |
| RVI | Radar vegetation index in (dB), [75] |
| LST | Land surface temperature in degrees Celsius (°C) |
| FVC | Fractional vegetation cover |
| TCWV | Total column of water vapor (kg/m2) |
| NDVI | Normalized difference vegetation index |
| Actual Evapotranspiration (mm/month) | Unitless | |||
|---|---|---|---|---|
| Mean | Median | Minimum | Maximum | Skewness |
| 115.8 | 117 | 69.8 | 150.9 | −0.24 |
Publisher’s Note: MDPI stays neutral with regard to jurisdictional claims in published maps and institutional affiliations. |
© 2022 by the authors. Licensee MDPI, Basel, Switzerland. This article is an open access article distributed under the terms and conditions of the Creative Commons Attribution (CC BY) license (https://creativecommons.org/licenses/by/4.0/).
Share and Cite
Musyimi, P.K.; Sahbeni, G.; Timár, G.; Weidinger, T.; Székely, B. Actual Evapotranspiration Estimation Using Sentinel-1 SAR and Sentinel-3 SLSTR Data Combined with a Gradient Boosting Machine Model in Busia County, Western Kenya. Atmosphere 2022, 13, 1927. https://doi.org/10.3390/atmos13111927
Musyimi PK, Sahbeni G, Timár G, Weidinger T, Székely B. Actual Evapotranspiration Estimation Using Sentinel-1 SAR and Sentinel-3 SLSTR Data Combined with a Gradient Boosting Machine Model in Busia County, Western Kenya. Atmosphere. 2022; 13(11):1927. https://doi.org/10.3390/atmos13111927
Chicago/Turabian StyleMusyimi, Peter K., Ghada Sahbeni, Gábor Timár, Tamás Weidinger, and Balázs Székely. 2022. "Actual Evapotranspiration Estimation Using Sentinel-1 SAR and Sentinel-3 SLSTR Data Combined with a Gradient Boosting Machine Model in Busia County, Western Kenya" Atmosphere 13, no. 11: 1927. https://doi.org/10.3390/atmos13111927
APA StyleMusyimi, P. K., Sahbeni, G., Timár, G., Weidinger, T., & Székely, B. (2022). Actual Evapotranspiration Estimation Using Sentinel-1 SAR and Sentinel-3 SLSTR Data Combined with a Gradient Boosting Machine Model in Busia County, Western Kenya. Atmosphere, 13(11), 1927. https://doi.org/10.3390/atmos13111927

